
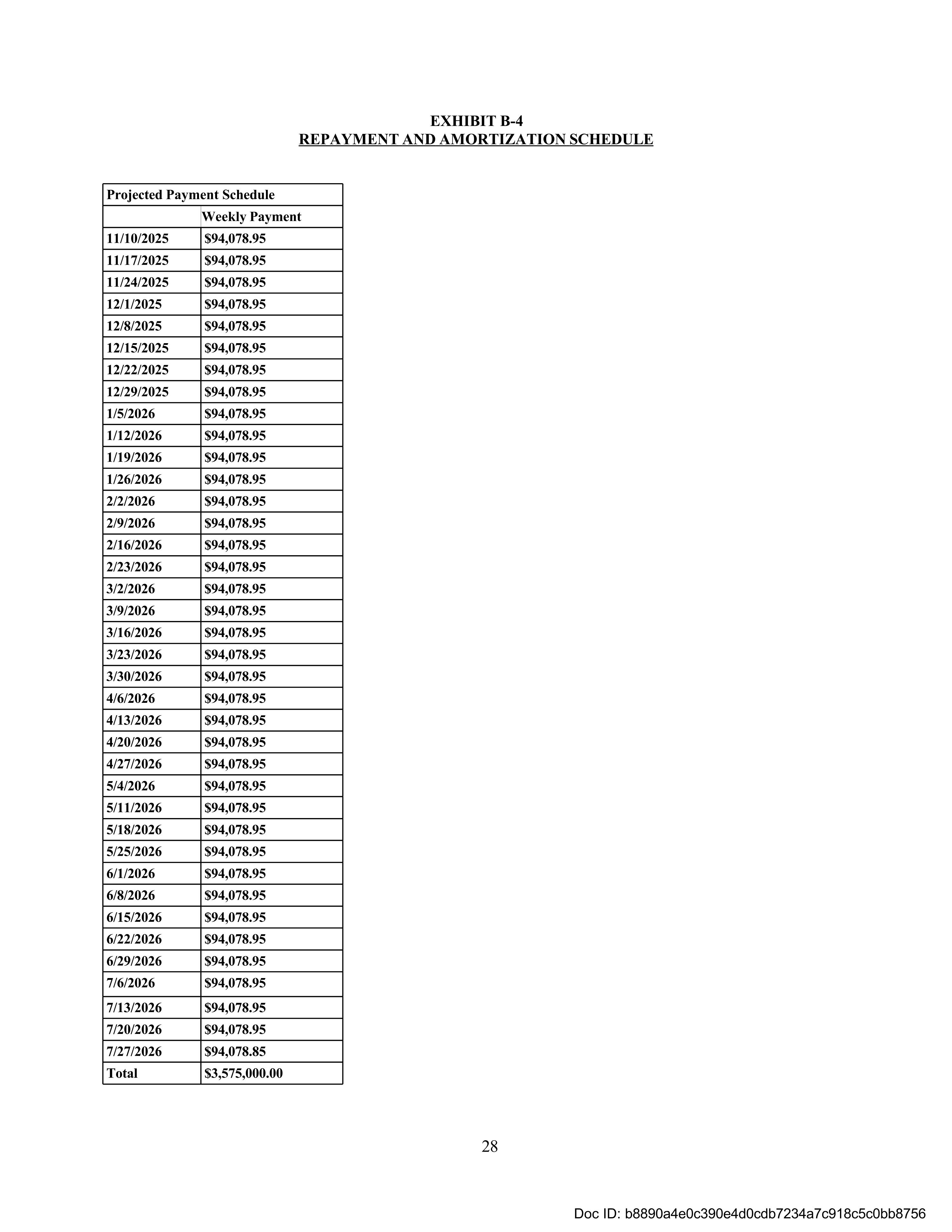
1 BUSINESS LOAN AND SECURITY AGREEMENT THIS BUSINESS LOAN AND SECURITY AGREEMENT (as the same may be amended, restated, modified, or supplemented from time to time, this “Agreement”) dated as of October 29, 2025(the “Effective Date”) among Agile Capital Funding, LLC as collateral agent (in such capacity, together with its successors and assigns in such capacity, “Collateral Agent”), and Agile Lending, LLC, a Virginia limited liability company (“Lead Lender”) and each assignee that becomes a party to this Agreement pursuant to Section 12.1 (each individually with the Lead Lender, a “Lender” and collectively with the Lead Lender, the “Lenders”), and Emmaus Life Sciences, Inc., A Domestic Delaware Corporation(“Parent” or “Borrower”) and its subsidiaries, Emmaus Medical, Inc., A Domestic Delaware Corporation, and EMI HOLDING, INC., A Domestic Delaware Corporation, individually and collectively, jointly and severally, “Guarantors”), and provides the terms on which the Lenders shall lend to Borrower and Borrower shall repay the Lenders the loans described herein. The Collateral Agent, Lenders, and Borrower, each a “Party” and collectively the “Parties”, intending to be legally bound, hereby agree as follows: DEFINITIONS, ACCOUNTING AND OTHER TERMS Capitalized terms used herein shall have the meanings set forth in Section 13 to the extent defined therein. All other capitalized terms used but not defined herein shall have the meaning given to such terms in the Code. Any accounting term used but not defined herein shall be construed in accordance with GAAP and all calculations shall be made in accordance with GAAP. The term “financial statements” shall include the accompanying notes and schedules thereto. Any section, subsection, schedule or exhibit references are to this Agreement unless otherwise specified. LOANS AND TERMS OF PAYMENT Promise to Pay. Borrower hereby unconditionally promises to pay each Lender the outstanding principal amount of the Term Loan advanced to Borrower by such Lender and accrued and unpaid interest thereon and any other amounts due hereunder as and when due in accordance with this Agreement. Term Loans. Availability. The Lenders, relying upon each of the representations and warranties set out in this Agreement, as well as each of the representations, covenants and warranties set out in the other Loan Documents, hereby severally and not jointly agree with the Borrower that, subject to and upon the terms and conditions of this Agreement, shall advance the Principal Loan to the Borrower on the Effective Date, but in any event no later than two (2) Business Days after the date hereof, by wiring the funds to the Borrower’s Account. Repayment. Borrower agrees to pay all amounts owing pursuant to the terms of this Agreement, including any financing charge, specified fees, interest and any other charges that may be assessed as provided in this Agreement or as documented in the Business Loan and Security Agreement Supplement (the “Supplement”) or the Secured Promissory Note (as defined below). The Term Loan shall be repaid by Borrower on the dates specified on Exhibit B-4 of this Agreement (each a “Scheduled Repayment Date”) by the amount set out opposite each Scheduled Repayment Date (each a “Scheduled Repayment Amount”) and in accordance with the Term Loan Amortization Schedule. If any payment on the Secured Promissory Note is due on a day which is not a Business Day, such payment shall be due on the next succeeding Business Day, and such extension of time shall be taken into account in calculating the amount of interest payable under this Note. All unpaid principal and accrued and unpaid interest with respect to the Term Loan is due and payable in full on the Maturity Date. The Term Loan may only be prepaid in accordance with Sections 2.2(c) and 2.2(d). Once repaid, no portion of the Term Loan may be reborrowed. Mandatory Prepayments. If an event described in Section 7.2 hereof occurs, or the Term Loan is accelerated following the occurrence of an Event of Default, Borrower shall immediately pay to Lenders, payableto each Lender in accordance with its respective Pro Rata Share, an amount equal to the sum of: (i) all outstanding Doc ID: b8890a4e0c390e4d0cdb7234a7c918c5c0bb8756 Exhibit 10.53

principal of the Term Loans plus accrued and unpaid interest thereon through the prepayment date, (ii) the Prepayment Fee (as defined in Section 2.2(d) below), plus (iii) all other Obligations that are due and payable, including, without limitation, interest at the Default Rate with respect to any past due amounts. (d) Permissive Prepayments and Make-Whole Premium. Borrower shall have the right to make a full prepayment or partial prepayment of any or all of the Obligations in accordance with the prepayment amendment in Exhibit E of this Agreement. The foregoing notwithstanding, upon the prepayment of any principal amount, Borrower shall be obligated to pay a make-whole premium payment on account of such principal so paid, which shall be equal to the aggregate and actual amount of interest (at the contract rate of interest) that would be paid through the Maturity Date (“Prepayment Fee”). Payment of Interest on the Term Loans. Interest Rate. Borrower agrees to pay in full the interest as set forth in the Supplement found in Exhibit B-5 of this Agreement. Interest shall accrue on the Term Loan commencing on, and including, the Effective Date of such Term Loan, and shall accrue on the principal amount outstanding under the Term Loan through and including the day on which the Term Loan is paid in full. Default Rate. Immediately upon the occurrence and during the continuance of an Event of Default, Obligations shall accrue interest at a fixed per annum rate equal to the rate that is otherwise applicable thereto plus five percentage points (5.00%) (the “Default Rate”). Payment or acceptance of the increased interest rate provided in this Section 2.3(b) is not a permitted alternative to timely payment and shall not constitute a waiver of any Event of Default or otherwise prejudice or limit any rights or remedies of Collateral Agent. 360 Day Year. Interest shall be computed on the basis of a three hundred sixty (360) day year and the actual number of days elapsed. Debit of Accounts; Payments. All payments on the Secured Promissory Note shall be made via automated clearing house transfers of immediately available funds to be initiated by Lender in accordance with the authorization and direction of Borrower to Lead Lender provided in Exhibit B-6 of this Agreement. Usury Savings Clause. This Agreement and the other Loan Documents are subject to the express condition that at no time shall Borrower be required to pay interest on the principal balance of the Term Loan at a rate which could subject Lenders to either civil or criminal liability as a result of being in excess of the Maximum Legal Rate. If by the terms of this Agreement or the other Loan Documents, Borrower is at any time required or obligated to pay interest on the principal balance due hereunder at a rate in excess of the Maximum Legal Rate, the Interest Rate or the Default Rate, as the case may be, shall be deemed to be immediately reduced to the Maximum Legal Rate and all previous payments in excess of the Maximum Legal Rate shall be deemed to have been payments in reduction of principal and not on account of the interest due hereunder. All sums paid or agreed to be paid to the Collateral Agent or Lenders for the use, forbearance, or detention of the sums due under the Loan, shall, to the extent permitted by applicable law, be amortized, prorated, allocated, and spread throughout the full stated term of the Loan until payment in full. Fees. Borrower shall pay to Collateral Agent and/or Lenders: Administrative Agent Fee. The Administrative Agent Fee of TWO HUNDRED FIFTY THOUSAND DOLLARS ($250,000.00), which shall be paid at closing out of proceeds of the Term Loan for the account of Collateral Agent. Secured Promissory Notes. The Term Loan shall be evidenced by a Secured Promissory Note in the form attached as Exhibit D hereto (“Secured Promissory Note”) and shall be repayable as set forth in this Agreement. CONDITIONS OF LOANS Conditions Precedent to Term Loan. Each Lender’s obligation to make the Term Loan is subject to the condition precedent that each Lender shall consent to or shall have received, in form and substance satisfactory to 2 Doc ID: b8890a4e0c390e4d0cdb7234a7c918c5c0bb8756

Doc ID: b8890a4e0c390e4d0cdb7234a7c918c5c0bb8756 REPRESENTATIONS AND WARRANTIES Each Borrower, jointly and severally, represents and warrants to Collateral Agent and the Lenders as follows: Due Organization, Authorization: Power and Authority. Each Borrower and each of its respective Subsidiaries is duly formed, validly existing and in good standing as under the laws of its jurisdiction of organization or formation and each Borrower and each of its respective Subsidiaries is qualified and licensed to do business and is in good standing in any jurisdiction in which the conduct of its businesses or its ownership of property requires that it be qualified except where the failure to do so could not reasonably be expected to result in a Material Adverse Change. Collateral. Borrower and Subsidiaries have good title to, have rights in, and the power to transfer each item of the Collateral upon which it purports to grant a Lien under the Loan Documents, free and clear of any and all Liens except Permitted Liens, and neither Borrower nor any of its Subsidiaries have any deposit accounts, securities accounts, commodity accounts or other investment accounts other than the collateral accounts or other investment accounts (the “Collateral Accounts”), if any, described in the Perfection Certificates delivered to Collateral Agent in connection herewith with respect to which Borrower has given Collateral Agent notice and taken, subject to Section 6.6 (a), such actions as are necessary to give Collateral Agent a perfected security interest therein. The security interests granted herein are and shall at all times continue to be a first priority perfected security interest in the Collateral, subject only to Permitted Liens that are permitted by the terms of this Agreement to have priority to Collateral Agent’s Lien. All Inventory and Equipment that is part of the Collateral is in all material respects of good and marketable quality, free from material defects. Litigation. Except as disclosed on the Perfection Certificate, there are no actions, suits, investigations, or proceedings pending or, to the knowledge of any of the Responsible Officers, threatened in writing by or against Borrower or any of its Subsidiaries involving more than Fifty Thousand Dollars ($50,000.00). 3 each Lender, such documents, and completion of such other matters, as each Lender may reasonably deem necessary or appropriate. CREATION OF SECURITY INTEREST Grant of Security Interest. Effective from and after the Effective Date of the Term Loan, Borrower hereby grants Collateral Agent, for the ratable benefit of the Lenders, to secure the payment and performance in full of all of the Obligations, a continuing security interest in, and pledges to Collateral Agent, for the ratable benefit of the Lenders, the Collateral, wherever located, whether now owned or hereafter acquired or arising, and all proceeds and products thereof. If Borrower shall acquire a commercial tort claim (as defined in the Code), Borrower shall grant to Collateral Agent, for the ratable benefit of the Lenders, a security interest therein and in the proceeds thereof, all upon the terms of this Agreement, with such writing to be in form and substance reasonably satisfactory to Collateral Agent. If this Agreement is terminated, Collateral Agent’s Lien in the Collateral shall continue until the Obligations (other than inchoate indemnity obligations) are repaid in full in cash. Upon payment in full in cash of the Obligations (other than inchoate indemnity obligations) and at such time as the Lenders’ obligation to extend the Term Loan has terminated, Collateral Agent shall, at the sole cost and expense of Borrower, release its Liens in the Collateral and all rights therein shall revert to Borrower. Authorization to File Financing Statements. Borrower hereby authorizes Collateral Agent to file such financing statements and/or take any other action required to perfect Collateral Agent’s security interests in the Collateral, without notice to Borrower, with all appropriate jurisdictions to perfect or protect Collateral Agent’s interest or rights in the Collateral and under the Loan Documents; provided, however, Collateral Agent may only file such financing statements and/or take any other action required to perfect Collateral Agent’s security interests in the Collateral, upon the occurrence of an Event of Default. Guaranty. (Intentionally omitted).

Doc ID: b8890a4e0c390e4d0cdb7234a7c918c5c0bb8756 No Material Adverse Change; Financial Statements. All consolidated financial statements for Parent and its Subsidiaries, delivered to Collateral Agent fairly present, in conformity with GAAP, in all material respects the consolidated financial condition of Parent and its Subsidiaries, and the consolidated results of operations of Parent and its Subsidiaries. Since the date of the most recent financial statements submitted to any Lender, there has not been a Material Adverse Change. Solvency. Borrower and each of its Subsidiaries, when taken as a whole, is Solvent. Regulatory Compliance. Neither Borrower nor any of its Subsidiaries has violated any laws, ordinances or rules, the violation of which could reasonably be expected to result in a Material Adverse Change. Borrower and each of its Subsidiaries has obtained all consents, approvals and authorizations of, made all declarations or filings with, and given all notices to, all governmental authorities that are necessary to continue their respective businesses as currently conducted. Investments. Neither Borrower nor any of its Subsidiaries owns any stock, shares, partnership interestsor other equity securities except for Permitted Investments. Tax Returns and Payments; Pension Contributions. Each Borrower and each of its respective Subsidiaries has timely filed all required tax returns and reports, and, except as disclosed, each Borrower and eachof its respective Subsidiaries, has timely paid all foreign, federal, state, and local taxes, assessments, deposits and contributions owed by such Borrower and such Subsidiaries, in all jurisdictions in which such Borrower or any such Subsidiary is subject to taxes, including the United States, unless such taxes are being contested in good faith. Use of Proceeds. Borrower shall use the proceeds of the Term Loan to pay off existing balance of $1,207,031.25 (Pending current payment clears)for MID:449816 funded by Agile Capital Funding, LLC , on August 06, 2025 and $648,220.48 (Pending current payment and payment on Thursday 10/30/2025 clear) for MID:439638 funded by Agile Capital Funding, LLC , on April 30, 2025 to fund its general business requirements in accordance with the provisions of this Agreement, and not for personal, family, household or agricultural purposes. Full Disclosure. No written representation, warranty or other statement of any Borrower or any of its Subsidiaries in any certificate or written statement given to Collateral Agent or any Lender, as of the date such representation, warranty, or other statement was made, taken together with all such written certificates and written statements given to Collateral Agent or any Lender, contains any untrue statement of a material fact or omits to state a material fact necessary to make the statements contained in the certificates or statements not misleading (it being recognized that projections and forecasts provided by Borrower in good faith and based upon reasonable assumptions are not viewed as facts and that actual results during the period or periods covered by such projections and forecasts may differ from the projected or forecasted results). Shares. Each Borrower has full power and authority to create a first lien on its Shares and no disability or contractual obligation exists that would prohibit such Borrower from pledging the Shares pursuant to this Agreement. To Borrower’s knowledge, there are no subscriptions, warrants, rights of first refusal or other restrictions on transfer relative to, or options exercisable with respect to the Shares. With respect to each Subsidiary which is a corporation, the Shares have been and will be duly authorized and validly issued, and are fully paid and non-assessable. To Borrower’s knowledge, the Shares are not the subject of any present or threatened suit, action, arbitration, administrative or other proceeding, and Borrower knows of no reasonable grounds for the institution of any such proceedings. Guarantee. (Intentionally omitted) AFFIRMATIVE COVENANTS Borrower shall, and shall cause each of its Subsidiaries to, do all of the following: Government Compliance. Maintain its and all its Subsidiaries’ legal existence and good standing in their respective jurisdictions of organization and maintain qualification in each jurisdiction in which the failure to so qualify could reasonably be expected to have a Material Adverse Change. 4

Doc ID: b8890a4e0c390e4d0cdb7234a7c918c5c0bb8756 6.2 Financial Statements, Reports, Certificates, Notices. (a) Deliver to Collateral Agent and each Lender: (i) as soon as available, but no later than thirty (30) days after the last day of each month, a company prepared consolidated and consolidating balance sheet, income statement and cash flow statement covering the consolidated operations of Parent and its Subsidiaries for such month certified by a Responsible Officer and in a form reasonably acceptable to Collateral Agent; (ii) prompt notice of any material amendments of or other changes to the capitalization table of Borrower (other than Parent) and to the Operating Documents of Borrower or any of its Subsidiaries, together with any copies reflecting such amendments or changes with respect thereto; (iii) as soon as available, but no later than thirty (30) days after the last day of each month, copies of the month end account statements for each Collateral Account maintained by Borrower or its Subsidiaries, which statements may be provided to Collateral Agent and each Lender by Borrower or directly from the applicable institution(s); (iv) prompt notice of any event that (A) could reasonably be expected to materially and adversely affect the Borrower’s Intellectual Property and (B) could reasonably be expected to result in a Material Adverse Change; (v) written notice at least (10) days’ prior to Borrower’s creation of a new Subsidiary in accordance with the terms of Section 6.10; (vi) written notice at least (30) days’ prior to Borrower’s (A) changing its jurisdiction of organization, (B) changing its organizational structure or type, (C) changing its legal name, (D) changing any organizational number (if any) assigned by its jurisdiction of organization, or (E) registering or filing any Intellectual Property; (vii) upon Borrower becoming aware of the existence of any Event of Default or event which, with the giving of notice or passage of time, or both, would constitute an Event of Default, prompt (and in any event within three (3) Business Days) written notice of such occurrence, which such notice shall include a reasonably detailed description of such Event of Default or event which, with the giving of notice or passage of time, or both, would constitute an Event of Default; (viii) notice of any commercial tort claim of Borrower or any Guarantor and of the general details thereof; (ix) other information as reasonably requested by Collateral Agent or any Lender. (x) written notice of any litigation or governmental proceedings pending or threatened (in writing) against Borrower or any of its Subsidiaries, which could reasonably be expected to result in damages or costs to Borrower or any of its Subsidiaries of more than Fifty Thousand Dollars ($50,000.00); and (xi) written notice of all returns, recoveries, disputes and claims regarding Inventory that involve more than Fifty Thousand Dollars ($50,000.00) individually or in the aggregate in any calendar year. (b) Keep proper, complete and true books of record and account in accordance with GAAP and in all material respects. Borrower shall, and shall cause each of its Subsidiaries to, allow, at the sole cost of Borrower, Collateral Agent or any Lender, during regular business hours upon reasonable prior notice (provided that no notice shall be required when an Event of Default has occurred and is continuing), to visit and inspect any of its properties, to examine and make abstracts or copies from any of its books and records, and to conduct a collateral audit and analysis of its operations and the Collateral. Such audits shall be conducted no more often than twice every year unless (and more frequently if) an Event of Default has occurred and is continuing. Notwithstanding the foregoing, upon request of any Lender, Borrower agrees to permit such Lender to communicate with Borrower’s accounting firm, in the presence of a Responsible Officer of the Borrower or the Parent, with respect to the consolidated financial statements delivered pursuant to this Section 6.2. Inventory and Returns. Keep all Inventory in good and marketable condition, free from material defects. Returns and allowances between Borrower, or any of its Subsidiaries, and their respective account debtors shall follow Borrower’s, or such Subsidiary’s, customary practices as they exist at the Effective Date. Taxes. Timely file and require each of its Subsidiaries to timely file, all required tax returns and reports and timely pay, and require each of its Subsidiaries to timely pay, all foreign, federal, state, and local taxes, assessments, deposits and contributions owed by Borrower or its Subsidiaries, except as otherwise permitted pursuant to the terms of Section 5.8 hereof. Insurance. Keep Borrower’s and its Subsidiaries’ business and the Collateral insured for risks and in amounts standard for companies in Borrower’s and its Subsidiaries’ industry and location and as Collateral Agent may reasonably request (including customary lender’s loss payable endorsements and naming the Collateral Agent as an additional insured), and give the Collateral Agent thirty (30) days’ prior written notice before any such policy or policies shall be materially altered or canceled (other than cancellation for non-payment of premiums, for which ten (10) days’ prior written notice shall be required). At Collateral Agent’s request, Borrower shall deliver certified copies of policies and evidence of all premium payments to Collateral Agent. If Borrower or any of its Subsidiaries 5

Doc ID: b8890a4e0c390e4d0cdb7234a7c918c5c0bb8756 fails to obtain insurance as required under this Section 6.5 or to pay any amount or furnish any required proof of payment to third persons, Collateral Agent and/or any Lender may make (but has no obligation to do so), at Borrower’s expense, all or part of such payment or obtain such insurance policies required in this Section 6.5, and take any action under the policies Collateral Agent or such Lender deems prudent. Operating Accounts. Borrower shall provide Collateral Agent ten (10) days’ prior written notice before Borrower or any of its Subsidiaries establishes any Collateral Account. Litigation Cooperation. Commencing on the Effective Date and continuing through the termination of this Agreement, make available to Collateral Agent and the Lenders, without expense to Collateral Agent or the Lenders, Borrower and each of Borrower’s officers, employees and agents and Borrower’s books and records, to the extent that Collateral Agent or any Lender may reasonably deem them necessary to prosecute or defend any third party suit or proceeding instituted by or against Collateral Agent or any Lender with respect to any Collateral or relating to Borrower. Landlord Waivers; Bailee Waivers. In the event that Borrower, after the Effective Date, intends to add any new offices or business locations, including warehouses, or otherwise store any portion of the Collateral with, or deliver any portion of the Collateral to, a bailee, in each case pursuant to Section 7.2, then Borrower must first receive the written consent of Collateral Agent to do so. Further Assurances. Execute any further instruments and take any and all further action as Collateral Agent or any Lender reasonably requests to perfect or continue Collateral Agent’s Lien in the Collateral or to effect the purposes of this Agreement, including without limitation, permit Collateral Agent or any Lender to discuss Borrower’s financial condition with Borrower’s accountants in the presence of a Responsible Officer of the Borrower or the Parent. Lockbox Agreement. Upon the request of any Lender at any time after the Effective Date and for any reason in Lenders’ sole and absolute discretion, Borrower shall enter into a lockbox arrangement with Lenders with respect to Borrower’s accounts receivable at a financial institution of the Lenders’ choosing in their sole and absolute discretion and shall execute a deposit control agreement in favor of Lenders in a form satisfactory to Lenders in their sole and absolute discretion. NEGATIVE COVENANTS Borrower shall not, and shall not permit any of its Subsidiaries to, do any of the following without the prior written consent of the Required Lenders: Dispositions. Convey, sell, lease, transfer, assign, dispose of (collectively, “Transfer”), or permit any of its Subsidiaries to Transfer, all or any part of its business or property (including Intellectual Property), except for Transfers (a) of (i) Inventory in the ordinary course of business and (ii) Inventory, that, prior to the Effective Date, has been written down or written off, together with related tangible assets and non-material Intellectual Property; (b) of worn out or obsolete Equipment; (c) in connection with Permitted Liens, Permitted Investments and Permitted Licenses; (d) of any non-material Intellectual Property; (e) from (i) Borrower to another Borrower Guarantor, (ii) a non-Borrower Subsidiary to a Borrower, and (iii) a non-Borrower Subsidiary to another non-Borrower ; or (f) permitted under Section 7.3 below. Changes in Business or Management, Ownership. (a) Engage in or permit any of its Subsidiaries to engage in any business other than the businesses engaged in by Borrower as of the Effective Date or reasonably related thereto; (b) liquidate or dissolve or permit any of its Subsidiaries to liquidate or dissolve; or (c) cause or permit, voluntarily or involuntarily, any Key Person to cease to be actively engaged in the management of Borrower unless written notice thereof is provided to Collateral Agent and each Lender within ten (10) days of such Key Person ceasing to be actively engaged in the management of Borrower, Mergers or Acquisitions. Merge or consolidate, or permit any of its Subsidiaries to merge or consolidate, with any other Person, or acquire, or permit any of its Subsidiaries to acquire, all or substantially all of the capital stock, shares or property of another Person. 6

Doc ID: b8890a4e0c390e4d0cdb7234a7c918c5c0bb8756 Indebtedness. Create, incur, assume, or be liable for any Indebtedness, or permit any Subsidiary to do so, other than Permitted Indebtedness. For the avoidance of doubt, Indebtedness includes Merchant Cash Advances. Encumbrance. Create, incur, allow, or suffer any Lien on any of its property, or assign or convey any right to receive income, including the sale of any Accounts, or permit any of its Subsidiaries to do so, except for Permitted Liens, or permit any Collateral not to be subject to the first priority security interest granted herein (except for Permitted Liens), or enter into any agreement, document, instrument or other arrangement (except with or in favor of Collateral Agent, for the ratable benefit of the Lenders) with any Person which directly or indirectly prohibits or has the effect of prohibiting Borrower, or any of its Subsidiaries, from assigning, mortgaging, pledging, granting a security interest in or upon, or encumbering any of Borrower’s or such Subsidiary’s Intellectual Property. Maintenance of Collateral Accounts. Maintain any Collateral Account except pursuant to the terms of Section 6.6 hereof. Restricted Payments. Pay any dividends (other than dividends payable solely in capital stock) or make any distribution or payment in respect of or redeem, retire or purchase any capital stock. Investments. Directly or indirectly make any Investment other than Permitted Investments, or permit any of its Subsidiaries to do so. Transactions with Affiliates. Directly or indirectly enter into or permit to exist any material transaction with any Affiliate of Borrower or any of its Subsidiaries (other than among Borrower), except for (a) transactions that are in the ordinary course of Borrower’s or such Subsidiary’s business, upon fair and reasonable terms that are no less favorable to Borrower or such Subsidiary than would be obtained in an arm’s length transaction with a non-affiliated Person, and (b) Subordinated Debt or equity investments by Borrower’s investors in Borrower or its Subsidiaries. Subordinated Debt. Make or permit any payment on any Subordinated Debt or alternative financings that may encumber any assets of Borrower. Material Agreements. Other than in the ordinary course of business, (a) enter into a Material Agreement or (b) terminate or materially amend a Material Agreement. Financial Covenants. Waived. EVENTS OF DEFAULT Any one of the following shall constitute an event of default (an “Event of Default”) under this Agreement: Payment Default. Borrower fails to (a) make any payment of principal or interest on the Term Loan on its due date, or (b) pay any other Obligation within three (3) Business Days after such Obligation is due and payable (which three (3) Business Day grace period shall not apply to payments due on the Maturity Date or the date of acceleration pursuant to Section 9.1 (a) hereof. Covenant Default. Borrower or any of its Subsidiaries fails or neglects to perform any obligation in Sections 6.2 (Financial Statements, Reports, Certificates), 6.4 (Taxes), 6.5 (Insurance), 6.6 (Operating Accounts), or Borrower violates any provision in Section 7. Material Adverse Change. A Material Adverse Change has occurred. Attachment; Levy; Restraint on Business. (i) The service of process seeking to attach, by trustee or similar process, any funds of Borrower or any of its Material Subsidiaries or of any entity under control of Borrower or its Material Subsidiaries on deposit with any institution at which Borrower or any of its Subsidiaries maintains a Collateral Account, or (ii) a notice of 7

Doc ID: b8890a4e0c390e4d0cdb7234a7c918c5c0bb8756 8 lien, levy, or assessment is filed against Borrower or any of its Material Subsidiaries or their respective assets by any government agency, and the same under subclauses (i) and (ii) hereof are not, within ten (10) days after the occurrence thereof, discharged or stayed (whether through the posting of a bond or otherwise); and (b) (i) any material portion of Borrower’s or any of its Subsidiaries’ assets is attached, seized, levied on, or comes into possession of a trustee or receiver, or (ii) any court order enjoins, restrains, or prevents Borrower or any of its Subsidiaries from conducting any part of its business; 8.5 Insolvency. (a) Parent is or becomes Insolvent; (b) Parent and its Subsidiaries, taken as a whole, are or become Insolvent; (c) Borrower or any Material Subsidiary begins an Insolvency Proceeding; or (d) an Insolvency Proceeding is begun against Borrower or any Material Subsidiary and is not dismissed or stayed within forty five (45) days (but no Term Loan shall be extended while Parent or any Subsidiary is Insolvent and/or until any Insolvency Proceeding is dismissed); Other Agreements. There is a default in any agreement between Borrower or any of its Subsidiaries and a third party or parties resulting in a right by such third party or parties, whether or not exercised, to accelerate the maturity of any Indebtedness. Judgments. (a) One or more judgments, orders, or decrees for the payment of money in an amount, individually or in the aggregate, of at least Fifty Thousand Dollars ($50,000.00) (not covered by independentthird party insurance) shall be rendered against Borrower or any of its Subsidiaries and shall remain unsatisfied, unvacated, or unstayed for a period of twenty (20) days after the entry thereof or (b) any judgments, orders or decrees rendered against Borrower that could reasonably be expected to result in a Material Adverse Change; Misrepresentations. Borrower or any of its Subsidiaries or any Person acting for Borrower or any of its Subsidiaries makes any representation, warranty, or other statement now or later in this Agreement, any Loan Document or in any writing delivered to Collateral Agent and/or Lenders or to induce Collateral Agent and/or the Lenders to enter this Agreement or any Loan Document, and such representation, warranty, or other statement, when taken as a whole, is incorrect in any material respect when made. Subordinated Debt. A default or breach occurs under any agreement between Borrower or any of its Subsidiaries and any creditor of Borrower or any of its Subsidiaries that signed a subordination, intercreditor, or other similar agreement with Collateral Agent or the Lenders, or any creditor that has signed such an agreement with Collateral Agent or the Lenders breaches any terms of such agreement; Guaranty. (Intentionally Omitted) Lien Priority. Any Lien created hereunder or by any other Loan Document shall at any time fail to constitute a valid and perfected first Lien on any of the Collateral purported to be secured thereby, subject tono prior or equal Lien, other than Permitted Liens arising as a matter of applicable law. RIGHTS AND REMEDIES Rights and Remedies. Upon the occurrence of an Event of Default hereunder (unless all Events of Default have been cured by Borrower, as applicable, or waived by Lenders in writing), Lenders may, at their option: (i) by written notice to Borrower, declare the entire unpaid principal balance of the Term Loan, together with all accrued interest thereon and any other charges or fees payable hereunder, immediately due and payable regardless of any prior forbearance and (ii) exercise any and all rights and remedies available to it hereunder, under the Secured Promissory Note and/or under applicable law, including, without limitation, the right to collect from Borrower all sums due under this Agreement and the Secured Promissory Note and repossess any Collateral at Borrower’s expense. Borrower shall pay all reasonable costs and expenses incurred by or on behalf of Lenders or Collateral Agent in connection with Lenders’ exercise of any or all of its rights and remedies under this Agreement or the Secured Promissory Note, including, without limitation, reasonable attorneys' fees. Borrower waives the right to any stay of execution and the benefit of all exemption laws now or hereafter in effect.

Doc ID: b8890a4e0c390e4d0cdb7234a7c918c5c0bb8756 9 Power of Attorney. Borrower hereby irrevocably appoints Collateral Agent as its lawful attorney in fact, exercisable upon the occurrence and during the continuance of an Event of Default, to: (a) endorse Borrower’s or any of its Subsidiaries’ name on any checks or other forms of payment or security; (b) sign Borrower’s or any of its Subsidiaries’ name on any invoice or bill of lading for any Account or drafts against Account Debtors; (c) settle and adjust disputes and claims about the Accounts directly with Account Debtors, for amounts and on terms Collateral Agent determines reasonable; (d) make, settle, and adjust all claims under Borrower’s insurance policies; (e) pay, contest or settle any Lien, charge, encumbrance, security interest, and adverse claim in or to the Collateral, or any judgment based thereon, or otherwise take any action to terminate or discharge the same; and (f) transfer the Collateral into the name of Collateral Agent or a third party as the Code or any applicable law permits. Borrower hereby appoints Collateral Agent as its lawful attorney in fact to sign Borrower’s or any of its Subsidiaries’ name on any documents necessary to perfect or continue the perfection of Collateral Agent’s security interest in, and lien on, the Collateral regardless of whether an Event of Default has occurred until all Obligations (other than inchoate indemnity obligations) have been satisfied in full and Collateral Agent and the Lenders are under no further obligation to extend the Term Loan hereunder. Collateral Agent’s foregoing appointment as Borrower’s or any of its Subsidiaries’ attorney in fact, and all of Collateral Agent’s rights and powers, coupled with an interest, are irrevocable until all Obligations (other than inchoate indemnity obligations) have been fully repaid and performed and Collateral Agent’s and the Lenders’ obligation to provide the Term Loan terminates. No Waiver; Remedies Cumulative. Failure by Collateral Agent or any Lender, at any time or times, to require strict performance by Borrower of any provision of this Agreement or any other Loan Document shall not waive, affect, or diminish any right of Collateral Agent or any Lender thereafter to demand strict performance and compliance herewith or therewith. No waiver hereunder shall be effective unless signed by Collateral Agent and the Required Lenders and then is only effective for the specific instance and purpose for which it is given. The rights and remedies of Collateral Agent and the Lenders under this Agreement and the other Loan Documents are cumulative. Collateral Agent and the Lenders have all rights and remedies provided under the Code, any applicable law, by law, or in equity. The exercise by Collateral Agent or any Lender of one right or remedy is not an election, and Collateral Agent’s or any Lender’s waiver of any Event of Default is not a continuing waiver. Collateral Agent’s or any Lender’s delay in exercising any remedy is not a waiver, election, or acquiescence. Demand Waiver. Borrower waives, to the fullest extent permitted by law, demand, notice of default or dishonor, notice of payment and nonpayment, notice of any default, nonpayment at maturity, release, compromise, settlement, extension, or renewal of accounts, documents, instruments, chattel paper, and guarantees held by Collateral Agent or any Lender on which Borrower or any Subsidiary is liable.

Doc ID: b8890a4e0c390e4d0cdb7234a7c918c5c0bb8756 10 10. NOTICES All notices, consents, requests, approvals, demands, or other communication (collectively, “Communication”) by any party to this Agreement or any other Loan Document must be in writing and shall be deemed to have been validly served, given, or delivered: (a) upon the earlier of actual receipt and three (3) Business Days after deposit in the U.S. mail, first class, registered or certified mail return receipt requested, with proper postage prepaid; (b) upon transmission, when sent by facsimile transmission or e-mail; (c) one (1) Business Day after deposit with a reputable overnight courier with all charges prepaid; or (d) when delivered, if hand delivered by messenger, all of which shall be addressed to the party to be notified and sent to the address, facsimile number, or email address indicated below. Any of Collateral Agent, any Lender or Borrower may change its mailing address or facsimile number by giving the other party written notice thereof in accordance with the terms of this Section 10. If to Borrower: Willis Lee, c/o Emmaus Medical 21250 Hawthorne Blvd, Suite 800 E-Mail Address: Torrance, CA 90503 wlee@emmauslifesciences.com If to Collateral Agent: Agile Capital Funding, LLC 244 Madison Ave, Suite 168 New York, NY 10016 E-Mail Address: aaron@agilecapitalfunding.com CHOICE OF LAW, VENUE AND JURY TRIAL WAIVER Waiver of Jury Trial. EACH OF BORROWER, COLLATERAL AGENT AND LENDERS UNCONDITIONALLY WAIVES ANY AND ALL RIGHT TO A JURY TRIAL OF ANY CLAIM OR CAUSE OF ACTION BASED UPON OR ARISING OUT OF THIS AGREEMENT, ANY OF THE OTHER LOAN DOCUMENTS, ANY OF THE INDEBTEDNESS SECURED HEREBY, ANY DEALINGS AMONG BORROWER, COLLATERAL AGENT AND/OR LENDERS RELATING TO THE SUBJECT MATTER OF THIS TRANSACTION OR ANY RELATED TRANSACTIONS, AND/OR THE RELATIONSHIP THAT IS BEING ESTABLISHED AMONG BORROWER, COLLATERAL AGENT AND/OR LENDERS. THE SCOPE OF THIS WAIVER IS INTENDED TO BE ALL ENCOMPASSING OF ANY AND ALL DISPUTES THATMAY BE FILED IN ANY COURT. THIS WAIVER IS IRREVOCABLE. THIS WAIVER MAY NOT BE MODIFIED EITHER ORALLY OR IN WRITING. THE WAIVER ALSO SHALL APPLY TO ANY SUBSEQUENT AMENDMENTS, RENEWALS, SUPPLEMENTS OR MODIFICATIONS TO THIS AGREEMENT, ANY OTHER LOAN DOCUMENTS, OR TO ANY OTHER DOCUMENTS OR AGREEMENTS RELATING TO THIS TRANSACTION OR ANY RELATED TRANSACTION. THIS AGREEMENT MAY BE FILED AS A WRITTEN CONSENT TO A TRIAL BY THE COURT. Governing Law and Jurisdiction. THIS AGREEMENT, THE OTHER LOAN DOCUMENTS (EXCLUDING THOSE LOAN DOCUMENTS THAT BY THEIR OWN TERMS ARE EXPRESSLY GOVERNED BY THE LAWS OF ANOTHER JURISDICTION) AND THE RIGHTS AND OBLIGATIONS OF THE PARTIES HEREUNDERAND THEREUNDER SHALL IN ALL RESPECTS BE GOVERNED BY AND CONSTRUED IN ACCORDANCE WITH, THE INTERNAL LAWS OF THE COMMONWEALTH OF VIRGINIA (WITHOUT REGARD TO THE CONFLICT OF LAWS PRINCIPLES THAT WOULD RESULT IN THE APPLICATION OF ANY LAWS OTHER THAN THE LAWS OF THE COMMONWEALTH OF VIRGINIA), INCLUDING ALL MATTERS OF CONSTRUCTION, VALIDITY AND PERFORMANCE, REGARDLESS OF THE LOCATION OF THE COLLATERAL, PROVIDED, HOWEVER, THAT IF THE LAWS OF ANY JURISDICTION OTHER THAN VIRGINIA SHALL GOVERN IN REGARD TO THE VALIDITY, PERFECTION OR EFFECT OF PERFECTION OF ANY LIEN OR IN REGARD TO PROCEDURAL MATTERS AFFECTINGENFORCEMENT

Doc ID: b8890a4e0c390e4d0cdb7234a7c918c5c0bb8756 OF ANY LIENS IN COLLATERAL, SUCH LAWS OF SUCH OTHER JURISDICTIONS SHALL CONTINUE TO APPLY TO THAT EXTENT. Submission to Jurisdiction. Any legal action or proceeding with respect to the Loan Documentsshall be brought exclusively in the courts of the Commonwealth of Virginia, including, without limitation the Circuit Court of Arlington County in the Commonwealth of Virginia and, by execution and delivery of this Agreement, Borrower hereby accepts for itself and in respect of its Property, generally and unconditionally, the jurisdiction of the aforesaid courts. Notwithstanding the foregoing, Collateral Agent and Lenders shall have the right to bring any action or proceeding against Borrower (or any property of Borrower) in the court of any other jurisdiction Collateral Agent or Lenders deem necessary or appropriate in order to realize on the Collateral or other security for the Obligations. The parties hereto hereby irrevocably waive any objection, including any objection to the laying of venue or based on the grounds of forum non conveniens, that any of them may now or hereafter have to the bringing of any such action or proceeding in such jurisdictions. Borrowers expressly acknowledge that they are subject to personal jurisdiction in the Commonwealth of the Virginia, that they intentionally entered into the transactions that are the subject of this Agreement with Collateral Agent and Lender, who are located in the Commonwealth of Virginia, and that Borrowers waive any and all objections to the exercise of personal jurisdiction over them of the Commonwealth of Virginia and to venue in the Circuit Court for Arlington County, Virginia and any other court within the Commonwealth of Virginia. Service of Process. Borrower irrevocably waives personal service of any and all legal process, summons, notices and other documents and other service of process of any kind and consents to such service in any suit, action or proceeding brought in the United States of America with respect to or otherwise arising out of or in connection with any Loan Document by any means permitted by applicable requirements of law, including by the mailing thereof (by registered or certified mail, postage prepaid) to the address of Borrower specified herein (and shall be effective when such mailing shall be effective, as provided therein). Borrower agrees that a final judgment in any such action or proceeding shall be conclusive and may be enforced in other jurisdictions by suit on the judgment or in any other manner provided by law. Non-exclusive Jurisdiction. Nothing contained in this Section 11.2 shall affect the right of Collateral Agent or Lenders to serve process in any other manner permitted by applicable requirements of law or commence legal proceedings or otherwise proceed against Borrower in any other jurisdiction. GENERAL PROVISIONS Successors and Assigns. This Agreement binds and is for the benefit of the successors and permitted assigns of each Party. Borrower may not transfer, pledge or assign this Agreement or any rights or obligations under it without Collateral Agent’s prior written consent (which may be granted or withheld in Collateral Agent’s discretion, subject to Section 12.5). The Lenders have the right, without the consent of or notice to Borrower, tosell, transfer, assign, pledge, negotiate, or grant participation in (any such sale, transfer, assignment, negotiation, or grant of a participation, a “Lender Transfer”) all or any part of, or any interest in, any one or more Lenders’ obligations, rights, and benefits under this Agreement and the other Loan Documents. In the event of such a Lender Transfer, Collateral Agent or Lead Lender shall have the right to, at its respective sole and absolute option, (a) notify Borrower of such Lender Transfer, in accordance with Section 10 hereof, and direct Borrower to make payments directly to such other Lender or Lenders, indicating such other Lenders’ Pro Rata share of the Term Loan and the amount of the payment to be made in connection therewith, or (b) continue to collect payments hereunder and under the other Loan Documents and pay such other Lenders their Pro Rata Share of the Term Loan, in accordance with, and on such terms, as are determined by and between the Lenders. Indemnification. Borrower, jointly and severally, agrees to indemnify, defend and hold Collateral Agent and the Lenders and their respective members, managers, directors, officers, employees, consultants, agents, attorneys, or any other Person affiliated with or representing Collateral Agent or the Lenders (each, an “Indemnified Person”) harmless against: (a) all obligations, demands, claims, and liabilities (collectively, “Claims”) asserted by any other party in connection with; related to; following; or arising from, out of or under, the transactions contemplated by the Loan Documents; and (b) all losses or expenses incurred, or paid by Indemnified Person in connection with; related to; following; or arising from, out of or under, the transactions contemplatedby the Loan Documents between Collateral Agent, and/or the Lenders and Borrower (including reasonable attorneys’ fees and expenses), except for Claims and/or losses directly caused by such Indemnified Person’s gross negligence or willful misconduct. Borrower hereby further, jointly and severally, indemnifies, defends and holds each Indemnified Person harmless from and against any and all liabilities, obligations, losses, damages, penalties, actions, judgments, suits, claims, costs, expenses and disbursements of any kind or nature whatsoever (including the fees and disbursements of counsel for such Indemnified Person) in connection with any investigative, response, remedial, 11

Doc ID: b8890a4e0c390e4d0cdb7234a7c918c5c0bb8756 administrative or judicial matter or proceeding, whether or not such Indemnified Person shall be designated a party thereto and including any such proceeding initiated by or on behalf of Borrower, and the reasonable expenses of investigation by engineers, environmental consultants and similar technical personnel and any commission, fee or compensation claimed by any broker (other than any broker retained by Collateral Agent or Lenders) asserting any right to payment for the transactions contemplated hereby which may be imposed on, incurred by or asserted against such Indemnified Person as a result of or in connection with the transactions contemplated hereby and the use or intended use of the proceeds of the loan proceeds except for liabilities, obligations, losses, damages, penalties, actions, judgments, suits, claims, costs, expenses and disbursements directly caused by such Indemnified Person’s gross negligence or willful misconduct. Severability of Provisions. Each provision of this Agreement is severable from every other provision in determining the enforceability of any provision. Correction of Loan Documents. Collateral Agent may correct patent errors and fill in any blanks in this Agreement and the other Loan Documents consistent with the agreement of the parties. Amendments in Writing; Integration. (a) No amendment, modification, termination or waiver of any provision of this Agreement or any other Loan Document, no approval or consent thereunder, and no consent to any departure by Borrower or any of its Subsidiaries therefrom, shall in any event be effective unless the same shall be in writing and signed by Borrower, Collateral Agent and the Required Lenders provided that: no such amendment, waiver or other modification that would have the effect of increasing or reducing a Lender’s Term Loan Commitment or Commitment Percentage shall be effective as to such Lender without such Lender’s written consent; no such amendment, waiver or modification that would affect the rights and duties of Collateral Agent shall be effective without Collateral Agent’s written consent or signature; and no such amendment, waiver or other modification shall, unless signed by all the Lenders directly affected thereby, (A) reduce the principal of, rate of interest on or any fees with respect to the Term Loan or forgive any principal, interest (other than default interest) or fees (other than late charges) with respect to the Term Loan (B) postpone the date fixed for, or waive, any payment of principal of the Term Loan or of interest on the Term Loan (other than default interest) or any fees provided for hereunder (other than late charges or for any termination of any commitment); (C) change the definition of the term “Required Lenders” or the percentage of Lenders which shall be required for the Lenders to take any action hereunder; (D) release all or substantially all of any material portion of the Collateral, authorize Borrower to sell or otherwise dispose of all or substantially all or any material portion of the Collateral, except, in each case with respect to this clause (D), as otherwise may be expressly permitted under this Agreement or the other Loan Documents (including in connection with any disposition permitted hereunder); (E) amend, waive or otherwise modify this Section 12.5 or the definitions of the terms used in this Section 12.5 insofar as the definitions affect the substance of this Section 12.5; (F) consent to the assignment, delegation or other transfer by Borrower of any of its rights and obligations under any Loan Document or release Borrower of its payment obligations under any Loan Document, except, in each case with respect to this clause (F), pursuant to a merger or consolidation permitted pursuant to this Agreement; (G) amend any of the provisions of Section 9.4 or amend any of the definitions of Pro Rata Share, Term Loan Commitment, Commitment Percentage or that provide for the Lenders to receive their Pro Rata Shares of any fees, payments, setoffs or proceeds of Collateral hereunder; (H) subordinate the Liens granted in favor of Collateral Agent securing the Obligations. It is hereby understood and agreed that all Lenders shall be deemed directly affected by an amendment, waiver or other modification of the type described in the preceding clauses (C), (D), (E), (F), (G) and (H) of the immediately preceding sentence. Other than as expressly provided for in Section 12.5(a)(i) (iii), Collateral Agent may, if requested by the Required Lenders, from time to time designate covenants in this Agreement less restrictive by notification to a representative of Borrower. This Agreement and the Loan Documents represent the entire agreement about this subject matter and supersede prior negotiations or agreements with respect to such subject matter. All prior agreements, 12

Doc ID: b8890a4e0c390e4d0cdb7234a7c918c5c0bb8756 understandings, representations, warranties, and negotiations between the parties about the subject matter of this Agreement and the Loan Documents merge into this Agreement and the Loan Documents. Counterparts; Electronic Signatures. This Agreement may be executed in any number of counterparts and by different parties on separate counterparts, each of which, when executed and delivered, is an original, and all taken together, constitute one Agreement. Any and all electronic signatures, whether by scan, e-mail, PDF, Docusign or similar means, and any electronic delivery of signature pages hereto, shall be treated as originals. Survival. All covenants, representations and warranties made in this Agreement continue in full force and effect until this Agreement has terminated pursuant to its terms and all Obligations (other than inchoate indemnity obligations and any other obligations which, by their terms, are to survive the termination of this Agreement) have been satisfied. The obligation of Borrower in Section 12.2 to indemnify each Lender and Collateral Agent, as well as the confidentiality provisions in Section 12.8 below, shall survive until the statute of limitations with respect to such claim or cause of action shall have run. Confidentiality. In handling any confidential information of Borrower, the Lenders and Collateral Agent shall exercise the same degree of care that it exercises for their own proprietary information, but disclosure of information may be made: (a) subject to the terms and conditions of this Agreement, to the Lenders’ and Collateral Agent’s Subsidiaries or Affiliates; (b) to prospective transferees (other than those identified in (a) above) or purchasers of any interest in the Term Loan (provided, however, the Lenders and Collateral Agent shall obtain such prospective transferee’s or purchaser’s agreement to the terms of this provision or to similar confidentiality terms); (c) as required by law, regulation, subpoena, or other order; (d) to Lenders’ or Collateral Agent’s regulators or as otherwise required in connection with an examination or audit; (e) as Collateral Agent reasonably considers appropriate in exercising remedies under the Loan Documents; and (f) to third party service providers of the Lenders and/or Collateral Agent so long as such service providers have executed a confidentiality agreement or have agreed to similar confidentiality terms with the Lenders and Collateral Agent with terms no less restrictive than those contained herein. Confidential information does not include information that either: (i) is in the public domain or in the Lenders’ and/or Collateral Agent’s possession when disclosed to the Lenders and/or Collateral Agent, or becomes part of the public domain after disclosure to the Lenders and/or Collateral Agent at no fault of the Lenders or the Collateral Agent; or (ii) is disclosed to the Lenders and/or Collateral Agent by a third party, if the Lenders and/or Collateral Agent does not know that the third party is prohibited from disclosing the information. Collateral Agent and the Lenders may use confidential information for any purpose, including, without limitation, for the development of client databases, reporting purposes, and market analysis. The provisions of the immediately preceding sentence shall survive the termination of this Agreement. The agreements provided under this Section 12.8 supersede all prior agreements, understanding, representations, warranties, and negotiations between the parties about the subject matter of this Section 12.8. Right of Set Off. Borrower hereby grants to Collateral Agent and to each Lender, a lien, security interest and right of set off as security for all Obligations to Collateral Agent and each Lender hereunder, whether now existing or hereafter arising, upon and against all deposits, credits, collateral and property, now or hereafter in the possession, custody, safekeeping or control of Collateral Agent or the Lenders or any entity under the control of Collateral Agent or the Lenders (including a Collateral Agent affiliate) or in transit to any of them. At any time after the occurrence and during the continuance of an Event of Default, without demand or notice, Collateral Agent or the Lenders may set off the same or any part thereof and apply the same to any liability or obligation of Borrower even though unmatured and regardless of the adequacy of any other collateral securing the Obligations. ANY AND ALL RIGHTS TO REQUIRE COLLATERAL AGENT TO EXERCISE ITS RIGHTS OR REMEDIES WITHRESPECT TO ANY OTHER COLLATERAL WHICH SECURES THE OBLIGATIONS, PRIOR TO EXERCISING ITS RIGHT OF SETOFF WITH RESPECT TO SUCH DEPOSITS, CREDITS OR OTHER PROPERTY OF BORROWER ARE HEREBY KNOWINGLY, VOLUNTARILY AND IRREVOCABLY WAIVED BY BORROWER. Borrower Liability. Each Borrower may, acting singly, request credit extensions hereunder. Each Borrower hereby appoints the other as agent for the other for all purposes hereunder, including with respect to requesting credit extensions hereunder. Each Borrower hereunder shall be jointly and severally obligated to repay all credit extensions made hereunder, regardless of which Borrower actually receives said credit extension, as if each Borrower hereunder directly received all credit extensions. Each Borrower waives (a) any suretyship defenses 13

Doc ID: b8890a4e0c390e4d0cdb7234a7c918c5c0bb8756 available to it under the Code or any other applicable law, and (b) any right to require Collateral Agent or any Lender to: (i) proceed against any Borrower or any other person; (ii) proceed against or exhaust any security; or (iii) pursue any other remedy. Collateral Agent and/or any Lender may exercise or not exercise any right or remedy it has against any Borrower or any security it holds (including the right to foreclose by judicial or non-judicial sale) without affecting any Borrower’s liability. Notwithstanding any other provision of this Agreement or other related document, each Borrower irrevocably waives all rights that it may have at law or in equity (including, without limitation, any law subrogating Borrower to the rights of Collateral Agent and the Lenders under this Agreement) to seek contribution, indemnification or any other form of reimbursement from any other Borrower, or any other Person now or hereafter primarily or secondarily liable for any of the Obligations, for any payment made by Borrower with respect to the Obligations in connection with this Agreement or otherwise and all rights that it might have to benefit from, or to participate in, any security for the Obligations as a result of any payment made by Borrower with respect to the Obligations in connection with this Agreement or otherwise. Any agreement providing for indemnification, reimbursement or any other arrangement prohibited under this Section 12.10 shall be null and void. If any payment is made to a Borrower in contravention of this Section 12.10, such Borrower shall hold such payment in trust for Collateral Agent and the Lenders and such payment shall be promptly delivered to Collateral Agent for application to the Obligations, whether matured or unmatured. 12.11. Change of Law. If, due to any change in applicable law or regulations, or the interpretation thereof by any court of law or other governing body having jurisdiction subsequent to the date of this Agreement, the performance of any provision of this Agreement, the loans granted pursuant hereto or any transaction contemplated hereby shall become unlawful, impracticable or impossible, the Lender shall have the right, with the consent of the Borrower not to be unreasonably withheld, conditioned or delayed, to amend the terms hereof in good faith so as to comply with the then current laws, rules and/or regulations in the way that, in its reasonable judgment, best and most closely reflects the terms and conditions negotiated herein and intended hereby. 13. DEFINITIONS As used in this Agreement, the following terms have the following meanings: “Accounts” shall mean accounts receivable of Parent. “Affiliate” of any Person is a Person that owns or controls directly or indirectly the Person, any Person that controls or is controlled by or is under common control with the Person, and each of that Person’s senior executive officers, directors, partners if such Person is a partnership and, for any Person that is a limited liability company, that Person’s managers and members. “Borrowing Base” shall mean, at any time, an amount equal to 100% of Eligible Accounts. “Business Day” is any day that is not a Saturday, Sunday or a day on which banks are closed in the Commonwealth of Virginia. “Code” is the Uniform Commercial Code, as enacted in the Commonwealth of Virginia. “Collateral” is any and all properties, rights and assets of Borrower described on Exhibit A. “Disbursement Instruction Form” is that certain form attached hereto as Exhibit B-2. “Drawdown” means any principal amount borrowed or to be borrowed (by any means) under the provisions hereof. “Eligible Accounts” shall mean Accounts that are not excluded as ineligible by virtue of one or more of the criteria set forth below. None of the following shall be Eligible Accounts: (A) Accounts (i) with respect to which the scheduled due date is more than 60 days after the original invoice date, (ii) which are unpaid more than (A) 90 days after the date of the original invoice therefor; (B) Accounts which (i) do not arise from the sale of goods or performance of services in the ordinary course of business, (ii) are not evidenced by an invoice or other documentation reasonably satisfactory to the Collateral Agent, (iii) represent a progress billing, or (iv) are 14

Doc ID: b8890a4e0c390e4d0cdb7234a7c918c5c0bb8756 contingent upon any Borrower’s completion of any further performance; (C) Accounts which are owed by an account debtor which (i) does not maintain its chief executive office in the United States or (ii) is not organized under any applicable law of the United States, any State of the United States or the District of Columbia; (D) Accounts which are owed in any currency other than dollars; or (E) Accounts which are owed by any Affiliate, employee, officer, director or stockholder of any Borrower or Guarantor. “Equipment” is all “equipment” as defined in the Code with such additions to such term as may hereafter be made, and includes without limitation all machinery, fixtures, goods, vehicles (including motor vehicles and trailers), and any interest in any of the foregoing. “Existing Indebtedness” is the indebtedness of Borrower listed in the Perfection Certificate. “Indebtedness” is (a) indebtedness for borrowed money or the deferred price of property or services, such as reimbursement and other obligations for surety bonds and letters of credit, (b) obligations evidenced by notes, bonds, debentures or similar instruments, (c) capital lease obligations, (d) merchant cash advances; and (e) Contingent Obligations in respect of any of the foregoing. “Insolvency Proceeding” is any proceeding by or against any Person under the United States Bankruptcy Code, or any other bankruptcy or insolvency law, including assignments for the benefit of creditors, compositions or proceedings seeking reorganization, arrangement, or other relief. “Insolvent” means not Solvent. “Intellectual Property” shall mean, all (a) trademarks, trademark rights, trade names, trade name rights, service marks, service mark rights, logos, trade dress, domain names, web sites, and all other indicia of origin or quality, and goodwill associated therewith and arising therefrom; (b) patents and patent rights; and (c) works of authorship and copyrights therein, and all common law rights in all of the foregoing, and registration and applications for all of the foregoing issued by or filed with the US Patent and Trademark Office, any State of the US, the US Copyright Office, or any foreign equivalent thereof, and all of the foregoing (a)-(c) used in, at, or in connection with and/or necessary for the (i) conduct of any Borrower’s business and/or (ii) use and/or operation of the Collateral. “Inventory” is all “inventory” as defined in the Code in effect on the date hereof with such additions to such term as may hereafter be made under the Code, and includes without limitation all merchandise, raw materials, parts, supplies, packing and shipping materials, work in process and finished products, including without limitation such inventory as is temporarily out of any Person’s custody or possession or in transit and including any returned goods and any documents of title representing any of the above. “Investment” is any beneficial ownership interest in any Person (including stock, partnership interest or other securities), and any loan, advance or capital contribution to any Person. “Key Person” is WILLIS C. LEE “Lien” is a mortgage, deed of trust, levy, charge, pledge, security interest, or other encumbrance of any kind, whether voluntarily incurred or arising by operation of law or otherwise against any property. “Loan Documents” are, collectively, this Agreement, each Secured Promissory Note, each Disbursement Instruction Form, any subordination agreements, any note, or notes or guaranties executed by Borrower or any other Person, and any other present or future document, certificate, form or agreement entered into by Borrower or any other Person for the benefit of the Lenders and Collateral Agent in connection with this Agreement; all as amended, restated, or otherwise modified or supplemented from time to time. “Material Adverse Change” is (a) a material adverse change in the business, operations or condition (financial or otherwise) of Parent, or Parent and each Subsidiary, taken as a whole; (b) a material impairment of the prospect of repayment of any portion of the Obligations, or (c) a material adverse effect on the Collateral. 15

Doc ID: b8890a4e0c390e4d0cdb7234a7c918c5c0bb8756 16 “Material Agreement” is any license, agreement or other similar contractual arrangement with a Person or Governmental Authority whereby Borrower or any of its Subsidiaries is reasonably likely to be required to transfer, either in-kind or in cash, prior to the Maturity Date, assets or property valued (book or market) at more than Fifty Thousand Dollars ($50,000.00) in the aggregate or any license, agreement or other similar contractual arrangement conveying rights in or to any material Intellectual Property. “Maturity Date” is 38 weeks from the Effective Date. “Maximum Legal Rate” shall mean the maximum nonusurious interest rate, if any, that at any time or from time to time may be contracted for, taken, reserved, charged or received on the indebtedness evidenced by the Note and as provided for herein or the other Loan Documents, under the laws of such state or states whose laws are held by any court of competent jurisdiction to govern the interest rate provisions of the Term Loan. “Obligations” are all of Borrower’s obligations to pay when due any debts, principal, interest, the Prepayment Fee, the Final Fee, and other amounts Borrower owes the Lenders now or later, in connection with, related to, following, or arising from, out of or under, this Agreement or, the other Loan Documents, or otherwise, and including interest accruing after Insolvency Proceedings begin (whether or not allowed) and debts, liabilities, or obligations of Borrower assigned to the Lenders and/or Collateral Agent, and the performance of Borrower’s duties under the Loan Documents. “Operating Documents” are, for any Person, such Person’s formation documents, as certified by the Secretary of State (or equivalent agency) of such Person’s jurisdiction of organization on a date that is no earlier than thirty (30) days prior to the Effective Date, and, (a) if such Person is a corporation, its bylaws in current form, if such Person is a limited liability company, its limited liability company agreement (or similar agreement), and if such Person is a partnership, its partnership agreement (or similar agreement), each of the foregoing with all current amendments or modifications thereto. “Perfection Certificate” is that certain form attached hereto as Exhibit B-1. “Permitted Indebtedness” is: (a) Borrower’s Indebtedness to the Lenders and Collateral Agent under this Agreement and the other Loan Documents; (b) Indebtedness existing on the Effective Date and disclosed on the Perfection Certificate(s); (c) unsecured Indebtedness to trade creditors and Indebtedness in connection with credit cards incurred in the ordinary course of business; (d) extensions, refinancings, modifications, amendments and restatements of any items of Permitted Indebtedness (a) through (c) above, provided that the principal amount thereof is not increased or the terms thereof are not modified to impose materially more burdensome terms upon Borrower, or its Subsidiary, as the case may be; “Permitted Investments” are: (a) investments (including debt obligations) received in connection with the bankruptcy or reorganization of customers or suppliers and in settlement of delinquent obligations of, and other disputes with, customers or suppliers arising in the ordinary course of business; (b) Investments consisting of notes receivable of, or prepaid royalties and other credit extensions, to customers and suppliers who are not Affiliates, in the ordinary course of business; provided that this paragraph (b) shall not apply to Investments of Borrower in any Subsidiary. “Permitted Licenses” are licenses of over-the-counter software that is commercially available to the public. “Permitted Liens” are Liens existing on the Effective Date and disclosed on the Perfection Certificates or arising under this Agreement and the other Loan Documents; “Person” is any individual, sole proprietorship, partnership, limited liability company, joint venture, company, trust, unincorporated organization, association, corporation, institution, public benefit corporation, firm, joint stock company, estate, entity or government agency. “Property” means any interest in any kind of property or asset, whether real, personal or mixed, and whether tangible or intangible.

Doc ID: b8890a4e0c390e4d0cdb7234a7c918c5c0bb8756 17 “Pro Rata Share” is, as of any date of determination, with respect to each Lender, a percentage (expressed as a decimal, rounded to the ninth decimal place) determined by dividing the outstanding principal amount of the Term Loan held by such Lender by the aggregate outstanding principal amount of the Term Loan. “Related Persons” means, with respect to any Person, each Affiliate of such Person and each director, officer, employee, agent, trustee, representative, attorney, accountant and each insurance, environmental, legal, financial and other advisor and other consultants and agents of or to such Person or any of its Affiliates. “Required Lenders” means (i) for so long as the Lead Lender has not assigned or transferred any of its interests in the Term Loan, Lenders holding one hundred percent (100%) of the aggregate outstanding principal balance of the Term Loan, or (ii) at any time from and after the Lead Lender has assigned or transferred any interest in its Term Loan, Lenders holding at least fifty one percent (51%) of the aggregate outstanding principal balance of the Term Loan. “Responsible Officer” is any of the President, Chief Executive Officer, or Chief Financial Officer of Borrower or Parent. “Secured Promissory Note” is defined in Section 2.5. “Shares” means one hundred percent (100.0%) of the stock, units or other evidence of equity ownership held by Borrower or its Subsidiaries of any Subsidiary which is organized under the laws of the United States. “Solvent” is, with respect to any Person: the fair salable value of such Person’s consolidated assets (including goodwill minus disposition costs) exceeds the fair value of such Person’s liabilities; such Person is not left with unreasonably small capital after the transactions in this Agreement; and such Person is able to pay its debts (including trade debts) as they mature in the ordinary course (without taking into account any forbearance and extensions related thereto). “Subordinated Debt” is indebtedness incurred by Borrower or any of its Subsidiaries subordinated to all Indebtedness of Borrower and/or its Subsidiaries to the Lenders (pursuant to a subordination, intercreditor, or other similar agreement in form and substance satisfactory to Collateral Agent and the Lenders entered into between Collateral Agent, Borrower, and/or any of its Subsidiaries, and the other creditor), on terms acceptable to Collateral Agent and the Lenders. “Subsidiary” is, with respect to any Person, any Person of which more than fifty percent (50%) of the voting stock or other equity interests (in the case of Persons other than corporations) is owned or controlled, directly or indirectly, by such Person or through one or more intermediaries. Unless otherwise specified, references herein to a Subsidiary means a Subsidiary of Borrower. “Term Loan” is defined in Section 2.2(a) hereof. “Term Loan Amortization Schedule” means the amortization schedule set forth in Exhibit B-4 of this Agreement. [Balance of Page Intentionally Left Blank]

18 IN WITNESS WHEREOF, the Parties have caused this Agreement to be duly executed by one of its officers thereunto duly authorized on the date hereof. Parties Name of Signatory and Title Signature Borrowers EMMAUS LIFE SCIENCES, INC. WILLIS C. LEE, CEO EMMAUS MEDICAL, INC. WILLIS C. LEE, CEO EMI HOLDING, INC. WILLIS C. LEE, CEO Guarantors EMMAUS LIFE SCIENCES, INC. WILLIS C. LEE, CEO EMMAUS MEDICAL, INC. WILLIS C. LEE, CEO EMI HOLDING, INC. WILLIS C. LEE, CEO LEAD LENDER: Agile Lending, LLC COLLATERAL AGENT: Agile Capital Funding, LLC By: Aaron Greenblott Its: Member By: Aaron Greenblott Its: Member EXHIBITS TO FOLLOW Doc ID: b8890a4e0c390e4d0cdb7234a7c918c5c0bb8756

Doc ID: b8890a4e0c390e4d0cdb7234a7c918c5c0bb8756 19 APPENDIX 1 BORROWER LIST

Doc ID: b8890a4e0c390e4d0cdb7234a7c918c5c0bb8756 20 EXHIBIT A DESCRIPTION OF COLLATERAL The Collateral consists of all of Borrower’s right, title and interest in and to the following property: All of Borrower’s goods, Accounts, Equipment, Inventory, contract rights or rights to payment of money, leases, license agreements, franchise agreements, General Intangibles (including Intellectual Property), commercial tort claims, documents, instruments (including any promissory notes), chattel paper (whether tangible or electronic), cash, deposit accounts and other Collateral Accounts, all certificates of deposit, fixtures, letters of credit rights (whether or not the letter of credit is evidenced by a writing), securities, and all other investment property, supporting obligations, and financial assets, whether now owned or hereafter acquired, wherever located; and All of Borrower’s books and records relating to the foregoing, and any and all claims, rights and interests in any of the above and all substitutions for, additions, attachments, accessories, accessions and improvements to and replacements, products, proceeds and insurance proceeds of any or all of the foregoing. Notwithstanding the foregoing, the Collateral does not include (i) any license or contract, in each case if the granting of a Lien in such license or contract is prohibited by or would constitute a default under the agreement governing such license or contract (but (A) only to the extent such prohibition is enforceable under applicable law and (B) other than to the extent that any such term would be rendered ineffective pursuant to Sections 9-406, 9-408 or 9-409 (or any other Section) of Division 9 of the Code); provided that upon the termination, lapsing or expiration of any such prohibition, such license or contract, as applicable, shall automatically be subject to the security interest granted in favor of Collateral Agent hereunder and become part of the “Collateral.”

21 EXHIBIT B-1 PERFECTION CERTIFICATE The undersigned, the CEO of Emmaus Life Sciences, Inc., A Domestic Delaware Corporation(the “Parent” or “Borrower”), hereby certifies, with reference to (i) the Business Loan and Security Agreement, dated as of October 29, 2025(the “Loan Agreement”), among Agile Capital Funding, LLC as collateral agent (in such capacity, together with its successors and assigns in such capacity, “Collateral Agent”),and Agile Lending, LLC, a Virginia limited liability company (“Lead Lender”) and each assignee that becomes a party to this Agreement pursuant to Section 12.1 (each individually with the Lead Lender, a “Lender” and collectively with the Lead Lender, the “Lenders”), and the Borrower and its subsidiaries, Emmaus Medical, Inc., A Domestic Delaware Corporation, and EMI HOLDING, INC., A Domestic Delaware Corporation., individually and collectively, jointly and severally, “Guarantors”) as Guarantors, to the Lender as follows: 1. Name, Tax ID, and State of Formation. The exact legal name of the Borrower and Guarantors as that name appears on its Certificate of Organization, as amended, is as follows: Name Tax ID State of Formation EMMAUS LIFE SCIENCES, INC. 87-0419387 Delaware EMMAUS MEDICAL, INC. 06-1708146 Delaware EMI HOLDING, INC. 41-2254389 Delaware Other Identifying Factors. The following is the mailing address of the Borrower and Guarantors: 21250 HAWTHORNE BLVD STE 800 TORRANCE CA 90503-5513 The following are any DBAs of the Borrower: Doc ID: b8890a4e0c390e4d0cdb7234a7c918c5c0bb8756

22 3. Other Current Locations. The following are all other locations in which the Borrower maintains any books or records relating to any of the Collateral consisting of accounts, instruments, chattel paper, general intangibles or mobile goods: The following are all other places of business of the Company in the United States of America: The following are all other locations where any of the Collateral consisting of inventory or equipment is located: The following are the names and addresses of all persons or entities other than the Company, such as lessees, consignees, warehousemen or purchasers of chattel paper, which have possession or are intended to have possession of any of the Collateral consisting of instruments, chattel paper, inventory or equipment: Prior Locations. Set forth below is the information required by §4(a) or (b) with respect to each location or place of business previously maintained by the Company at any time during the past five years in a state in which the Company has previously maintained a location or place of business at any time during the past fourmonths: Set forth below is the information required by §4(c) or (d) with respect to each other location at which, or other person or entity with which, any of the Collateral consisting of inventory or equipment has been previously held at any time during the past twelve months: Fixtures. Set forth below is the information required by UCC §9-502(b) or former UCC §9-402(5) of each state in which any of the Collateral consisting of fixtures are or are to be located and the name and address of each real estate recording office where a mortgage on the realestate on which such fixtures are or are to be located would be recorded. Intellectual Property. Set forth below is a complete list of all United States and foreign patents, copyrights, trademarks, trade names and service marks registered or for which applications are pending in the name of the Company. Securities; Instruments. Set forth below is a complete list of all stocks, bonds, debentures, notes and other securities and investment property owned by the Company (provide name of issuer, a description of security and value). 8. Motor Vehicles. The following is a complete list of all motor vehicles owned by the Borrower (describe each vehicle by make, model and year and indicate for each the state in which registered and the state in which based): Vehicle State of Registration State in Which Based Truck Plate VIN Make Doc ID: b8890a4e0c390e4d0cdb7234a7c918c5c0bb8756

23 9. Permitted Indebtedness. Lender Balance Total Payment (indicate daily, weekly, or monthly) 10. Permitted Liens: 11. Bank Accounts. The following is a complete list of all bank accounts (including securities and commodities accounts) maintained by the Borrower (provide name and address of depository bank, type ofaccount and account number): Bank Account Account Number Account Routing US Bank 122235821 Doc ID: b8890a4e0c390e4d0cdb7234a7c918c5c0bb8756

Doc ID: b8890a4e0c390e4d0cdb7234a7c918c5c0bb8756 24 12. Unusual Transactions. All of the Collateral has been originated by the Borrower in the ordinarycourse of the Borrower’s business or consists of goods which have been acquired by the Borrower in the ordinary course from a person in the business of selling goods of that kind.

25 Litigation The following is a complete list of pending and threatened litigation or claims involving amounts claimed against the Borrower in an indefinite amount or in excess of $50,000 in each case: The following are the only claims which the Borrower has against others (other than claims on accounts receivable), which the Borrower is asserting or intends to assert, and in which the potential recovery exceeds $50,000: 14. Insurance Broker. The following broker handles the Borrower’s property insurance: Broker Contact Telephone Email The Borrower agrees to advise you of any change or modification to any of the foregoing information or any supplemental information provided on any continuation pages attached hereto, and, until such notice is received by you, you shall be entitled to rely upon such information and presume it is correct. The Borrower acknowledges that your acceptance of this Perfection Certificate and any continuation pages does not imply any commitment on your part to enter into a loan transaction with the Borrower, and that any such commitment may only be made by an express written loan commitment, signed by one of your authorized officers. Date: October 29, 2025 [ ] By: Name: WILLIS C. LEE Its: CEO Email: wlee@emmauslifesciences.com Doc ID: b8890a4e0c390e4d0cdb7234a7c918c5c0bb8756

26 EXHIBIT B-2 DISBURSEMENT INSTRUCTION FORM The proceeds of the first advance of Term Loan shall be disbursed as follows: The proceeds of the first advance of Term Loan shall be disbursed as follows: Term Loan $2,500,000.00 Less: Administrative Agent Fee to be remitted to Agile Capital Funding, LLC EMMAUS MEDICAL, INC. - 439638 - (Pending current payment and payment from Thursday 10/30/2025 Clear) ($250,000.00) ($648,220.48) EMMAUS MEDICAL, INC. - 449816 - (Pending current payment clears) ($1,207,031.25) TOTAL TERM LOAN NET PROCEEDS TO BORROWER $394,748.27 The aggregate net proceeds of the Term Loan shall be transferred to the Designated Deposit Account as follows: BORROWER: EMMAUS MEDICAL, INC. Account Name: Emmaus Medical, Inc. Bank Name: ABA Number: Account Number: The proceeds of the subsequent advances of the Term Loan shall be disbursed as follows: Doc ID: b8890a4e0c390e4d0cdb7234a7c918c5c0bb8756 US Bank 122235821

Doc ID: b8890a4e0c390e4d0cdb7234a7c918c5c0bb8756 27 EXHIBIT B-3 DRAWDOWN SCHEDULE Within 2 Business Days of Closing Date.

Doc ID: b8890a4e0c390e4d0cdb7234a7c918c5c0bb8756 28 EXHIBIT B-4 REPAYMENT AND AMORTIZATION SCHEDULE Projected Payment Schedule Weekly Payment 11/10/2025 $94,078.95 11/17/2025 $94,078.95 11/24/2025 $94,078.95 12/1/2025 $94,078.95 12/8/2025 $94,078.95 12/15/2025 $94,078.95 12/22/2025 $94,078.95 12/29/2025 $94,078.95 1/5/2026 $94,078.95 1/12/2026 $94,078.95 1/19/2026 $94,078.95 1/26/2026 $94,078.95 2/2/2026 $94,078.95 2/9/2026 $94,078.95 2/16/2026 $94,078.95 2/23/2026 $94,078.95 3/2/2026 $94,078.95 3/9/2026 $94,078.95 3/16/2026 $94,078.95 3/23/2026 $94,078.95 3/30/2026 $94,078.95 4/6/2026 $94,078.95 4/13/2026 $94,078.95 4/20/2026 $94,078.95 4/27/2026 $94,078.95 5/4/2026 $94,078.95 5/11/2026 $94,078.95 5/18/2026 $94,078.95 5/25/2026 $94,078.95 6/1/2026 $94,078.95 6/8/2026 $94,078.95 6/15/2026 $94,078.95 6/22/2026 $94,078.95 6/29/2026 $94,078.95 7/6/2026 $94,078.95 7/13/2026 $94,078.95 7/20/2026 $94,078.95 7/27/2026 $94,078.85 Total $3,575,000.00

Doc ID: b8890a4e0c390e4d0cdb7234a7c918c5c0bb8756 29 EXHIBIT B-5 Business Loan and Security Agreement Supplement Principal Amount of Loan: $2,500,000.00, including the Administrative Agent Fee, available as set forth in the Drawdown Schedule found in Exhibit B-3 of this Agreement. Total Repayment Amount: The total repayment amount of the Term Loan, including all interest, lender fees, and third-party fees, assuming all payments are made on time is $$3,575,000.00. Payment Schedule: As set forth in the Repayment and Amortization Schedule found in Exhibit B-4 of the Agreement. Payment Multiplier: (The per dollar cost of the loan inclusive of all interest and fees). 1.43 Interest Charge: $1,075,000.00, assuming all payments are made on time. Fees payable to Collateral Agent and its designees: Administrative Agent Fee: $250,000.00, payable at closing out of proceeds of the Term Loan

30 ________________ Print Name: Title: _CEO Borrower’s Tax ID: _0 6-1708146 Date: 10 / 29 / 2025 EXHIBIT B-6 AUTHORIZATION AGREEMENT FOR AUTOMATED CLEARING HOUSE TRANSACTIONS Borrower hereby authorizes Lender and / or Servicer (or its representatives) to present automated clearing house (ACH) debits to the following checking account in the amount of fees and other obligations due to Lender from Borrower under the terms of the Business Loan and Security Agreement and Subordinated Secured Promissory Note entered into between Lender and Borrower, as it may be amended, supplemented or replaced from time to time. In addition, if an Event of Default (as defined in the Business Loan and Security Agreement or Secured Promissory Note) occurs, Borrower authorizes Lender and / or Servicer (or its representatives) to debit any and all accounts controlled by Borrower or controlled by any entity with the same Federal Tax Identification Number as Borrower up to the total amount, including but not limited to, all fees and charges, due to Lender from Borrower under the terms of the Agreement. Transfer Funds To/From: Account Name: Emmaus Medical, Inc. Bank Name: US Bank ABA Number: 122235821 Account Number: This authorization is to remain in full force and effect until all obligations due to Borrower under the Agreement have been fulfilled. Borrower Information: Borrower’s Name: Emmaus Medical Signature of Authorized Representative: _ Doc ID: b8890a4e0c390e4d0cdb7234a7c918c5c0bb8756 WILLIS C. LEE

Doc ID: b8890a4e0c390e4d0cdb7234a7c918c5c0bb8756 31 EXHIBIT D CONFESSED JUDGMENT SECURED PROMISSORY NOTE IMPORTANT NOTICE: THIS INSTRUMENT CONTAINS A CONFESSION OF JUDGMENT PROVISION WHICH CONSTITUTES A WAIVER OF IMPORTANT RIGHTS YOU MAY HAVE AS A DEBTOR AND ALLOWS THE CREDITOR TO OBTAIN A JUDGMENT AGAINST YOU WITHOUT ANY FURTHER NOTICE. CONFESSED JUDGMENT SECURED PROMISSORY NOTE $2,500,000.00 Dated: October 29, 2025 FOR VALUE RECEIVED, the undersigned Emmaus Life Sciences, Inc., A Domestic Delaware Corporation(“Parent” or “Borrower”) and its subsidiaries, Emmaus Medical, Inc., A Domestic Delaware Corporation, and EMI HOLDING, INC., A Domestic Delaware Corporation, individually and collectively, jointly and severally, “Guarantors”), HEREBY JOINTLY AND SEVERALLY PROMISE TO PAY to the order of Agile Lending, LLC, or its designees or assigns (“Lead Lender”) the principal amount of TWO MILLION FIVE HUNDRED THOUSAND DOLLARS($2,500,000.00) or such lesser amount as shall equal the outstanding principal balance of the Term Loan made to Borrower by Lender, plus interest on the aggregate unpaid principal amount of such Term Loan, at the rates and in accordance with the terms of the Business Loan and Security Agreement dated October 29, 2025, by and among Borrower, Lender, Collateral Agent, and the other Lenders from time to time party thereto (as amended, restated, supplemented or otherwise modified from time to time, the “Loan Agreement”). If not sooner paid, the entire principal amount and all accrued and unpaid interest hereunder shall be due and payable on the Maturity Date as set forth in the Loan Agreement. Any capitalized term not otherwise defined herein shall have the meaning attributed to such term in the Loan Agreement. Principal, interest and all other amounts due with respect to the Term Loan, are payable in lawful money of the United States of America to Lender as set forth in the Loan Agreement and this Confessed Judgment Secured Promissory Note (this “Note”). The Loan Agreement, among other things, (a) provides for the making of a secured Term Loan by Lender to Borrower, and (b) contains provisions for acceleration of the maturity hereof upon the happening of certain stated events. This Note may not be prepaid except as set forth in Section 2.2 (c) and Section 2.2(d) of the Loan Agreement. This Note and the obligation of Borrower to repay the unpaid principal amount of the Term Loan, interest on the Term Loan and all other amounts due Lender under the Loan Agreement is secured as provided under the Loan Agreement. Presentment for payment, demand, notice of protest and all other demands and notices of any kind in connection with the execution, delivery, performance and enforcement of this Note are hereby waived. Borrower shall pay all reasonable fees and expenses, including, without limitation, reasonable attorneys’ fees and costs, incurred by Lender in the enforcement or attempt to enforce any of Borrower’s obligations hereunder not performed when due. This Note shall be governed by, and construed and interpreted in accordance with, the internal laws of the Commonwealth of Virginia.

Doc ID: b8890a4e0c390e4d0cdb7234a7c918c5c0bb8756 The ownership of an interest in this Note shall be registered on a record of ownership maintained by Lender or its agent. Notwithstanding anything else in this Note to the contrary, the right to the principal of, and stated interest on, this Note may be transferred only if the transfer is registered on such record of ownership and the transferee is identified as the owner of an interest in the obligation. Borrower shall be entitled to treat the registered holder of this Note (as recorded on such record of ownership) as the owner in fact thereof for all purposes and shall not be bound to recognize any equitable or other claim to or interest in this Note on the part of any other person or entity. BORROWER HEREBY KNOWINGLY, VOLUNTARILY AND INTELLIGENTLY WAIVES ANY AND ALL RIGHTS THAT EACH PARTY TO THIS NOTE MAY NOW OR HEREAFTER HAVE UNDER THE LAWS OF THE UNITED STATES OF AMERICA OR THE COMMONWEALTH OF VIRGINIA, TO A TRIAL BY JURY OF ANY AND ALL ISSUES ARISING DIRECTLY OR INDIRECTLY IN ANY ACTION OR PROCEEDING RELATING TO THIS NOTE, THE LOAN DOCUMENTS OR ANY TRANSACTIONS CONTEMPLATED THEREBY OR RELATED THERETO. IT IS INTENDED THAT THIS WAIVER SHALL APPLY TO ANY AND ALL DEFENSES, RIGHTS, CLAIMS AND/OR COUNTERCLAIMS IN ANY SUCH ACTION OR PROCEEDING. BORROWER EXPRESSLY ACKNOWLEDGES THAT BORROWER IS SUBJECT TO PERSONAL JURISDICTION IN THE COMMONWEALTH OF THE VIRGINIA, THAT BORROWER INTENTIONALLY ENTERED INTO THE TRANSACTIONS THAT ARE THE SUBJECT OF THIS CONFESSED JUDGMENT PROMISSORY NOTE WITH LENDER, WHO IS LOCATED IN THE COMMONWEALTH OF VIRGINIA, AND THAT BORROWER WAIVES ANY AND ALL OBJECTIONS TO THE EXERCISE OF PERSONAL JURISDICTION OVER BORROWER OF THE COMMONWEALTH OF VIRGINIA AND TO VENUE IN THE CIRCUIT COURT FOR ARLINGTON COUNTY, VIRGINIA AND ANY OTHER COURT WITHIN THE COMMONWEALTH OF VIRGINIA. BORROWER UNDERSTANDS THAT THIS WAIVER IS A WAIVER OF A CONSTITUTIONAL SAFEGUARD, AND EACH PARTY INDIVIDUALLY BELIEVES THAT THERE ARE SUFFICIENT ALTERNATE PROCEDURAL AND SUBSTANTIVE SAFEGUARDS, INCLUDING, A TRIAL BY AN IMPARTIAL JUDGE, THAT ADEQUATELY OFFSET THE WAIVER CONTAINED HEREIN. UPON THE OCCURRENCE OF AN EVENT OF DEFAULT HEREUNDER OR UNDER THE LOAN AGREEMENT, LEAD LENDER MAY CONFESS JUDGMENT AGAINST BORROWER AS PROVIDED HEREIN. UPON THE OCCURRENCE OF ANY EVENT OF DEFAULT HEREUNDER, BORROWER HEREBY AUTHORIZES AND EMPOWERS THE CLERK OF ANY COURT OF RECORD IN THE COMMONWEALTH OF VIRGINIA, INCLUDING BUT NOT LIMITED TO THE CLERK OF THE CIRCUIT COURT FOR THE COUNTY OF ARLINGTON TO ENTER JUDGMENT BY CONFESSION AGAINST BORROWER IN FAVOR OF LEAD LENDER FOR THE FULL AMOUNT DUE AND PAYABLE UNDER THE FINANCING AGREEMENTS AND SECURED BY THE LOAN AGREEMENT, TOGETHER WITH ALL PERMITTED FEES AND INTEREST, AS EVIDENCED BY AN AFFIDAVIT SIGNED BY AN OFFICER OF LEAD LENDER SETTING FORTH THE AMOUNT THEN DUE, TOGETHER WITH REASONABLE ATTORNEYS’ FEES AND COLLECTION COSTS INCURRED BY LEAD LENDER AS PROVIDED IN THIS INSTRUMENT, TO THE EXTENT PERMITTED BY LAW, EXPRESSLY WAIVING SUMMONS AND OTHER PROCESS, AND DOES HEREBY CONSENT TO THE IMMEDIATE EXECUTION OF SUCH JUDGMENT, EXPRESSLY WAIVING THE BENEFIT OF ALL EXEMPTION OR HOMESTEAD LAWS. BORROWER HEREBY CONSTITUTES AND APPOINTS JODIE E. BUCHMAN, ESQ., PIERCE C. MURPHY, ESQ., OF SILVERMAN, THOMPSON, SLUTKIN & WHITE, 400 E PRATT ST, SUITE 900, BALTIMORE, MD, 21202, OR A DULY APPOINTED SUBSTITUTE AS THE TRUE AND LAWFUL ATTORNEY-IN-FACT FOR BORROWER AND ALL PERSONS CLAIMING THROUGH OR UNDER BORROWER TO SIGN AN AGREEMENT FOR ENTERING IN ANY COMPETENT COURT AN AMICABLE ACTION IN EJECTMENT FOR POSSESSION OF THE COLLATERAL AND/OR TO APPEAR IN THE CLERK’S OFFICE OF THE CIRCUIT COURT OF ARLINGTON COUNTY,VIRGINIA, OR ANY COURT OF COMPETENT JURISDICTION AND TO CONFESS JUDGMENT AGAINST BORROWER, AND ALL PERSONS CLAIMING UNDER OR THROUGH BORROWER IN FAVOR OF LEAD LENDER, FOR WHICH THIS NOTE, OR A COPY THEREOF VERIFIED BY AFFIDAVIT, SHALL BE SUFFICIENT WARRANT; WHEREUPON A WRIT OF POSSESSION MAY IMMEDIATELY ISSUE FOR POSSESSION OF THE COLLATERAL, WITHOUT ANY PRIOR WRIT OR PROCEEDING WHATSOEVER AND WITHOUT ANY STAY OF EXECUTION. LEAD LENDER MAY BRING AN AMICABLE ACTION IN EJECTMENT AND/OR CONFESS JUDGMENT THEREIN EITHER BEFORE OR AFTER THE INSTITUTION OF PROCEEDINGS TO ENFORCE THIS NOTE AND/OR AFTER ENTRY OF JUDGMENT ON THIS NOTE, OR AFTER A PUBLIC SALE OF THE COLLATERAL IN WHICH LEAD LENDER IS THE SUCCESSFUL BIDDER. 32

Doc ID: b8890a4e0c390e4d0cdb7234a7c918c5c0bb8756 33 BORROWER HEREBY RATIFIES AND CONFIRMS ALL THAT SAID ATTORNEY OR ATTORNEYS MAY DO PURSUANT TO THE FOREGOING POWER. PURSUANT TO SECTION 8.01-435 OF THE CODE OF VIRGINIA OF 1950, AS AMENDED, BORROWER IS HEREBY NOTIFIED THAT A SUBSTITUTE ATTORNEY-IN-FACT UNDER THIS PARAGRAPH MAY BE APPOINTED BY THE LEAD LENDER, OBLIGEE, OR PERSON OTHERWISE ENTITLED TO PAYMENT UNDER THIS AGREEMENT BY RECORDING AN INSTRUMENT NAMING SUCH SUBSTITUTE ATTORNEY-IN- FACT IN THE CLERK’S OFFICE WHERE JUDGMENT IS TO BE CONFESSED. THE FOREGOING AUTHORIZATION TO PURSUE PROCEEDINGS FOR CONFESSING JUDGMENT AND ANY AND ALL JUDGMENT ENFORCEMENT MEASURES THAT LEAD LENDER OPTS TO PURSUE, INCLUDING BUT NOT LIMITED TO OBTAINING POSSESSION OF THE COLLATERAL, AND IS AN ESSENTIAL PART OF LEAD LENDER’S REMEDIES FOR ENFORCEMENT OF THIS NOTE AND THE LOAN AGREEMENT AND SHALL SURVIVE ANY ENFORCEMENT ACTIONS OR FORECLOSURE SALE BY OR TO LEAD LENDER. [Signature Page to Follow}

34 IN WITNESS WHEREOF, Borrower caused this Note to be duly executed under seal by one of its officers thereunto duly authorized on the date hereof. BORROWER: BORROWER: [SEAL] [SEAL] By: WILLIS C. LEE By: Date: Date: STATE: COUNTY OF: I hereby certify that on , before me, the undersigned, Notary Public in and for the State of , at large, personally appeared WILLIS C. LEE, individually and as the CEO of Emmaus Life Sciences, Inc., A Domestic Delaware Corporation(“Parent”) and its subsidiaries, Emmaus Medical, Inc., A Domestic Delaware Corporation, and EMI HOLDING, INC., A Domestic Delaware Corporation known to me or satisfactorily proven to be the person whose name is subscribed to the foregoing instrument and acknowledged that he executed the foregoing on behalf of himself individually, Emmaus Life Sciences, Inc., A Domestic Delaware Corporation (“Parent”) and its subsidiaries, Emmaus Medical, Inc., A Domestic Delaware Corporation, and EMI HOLDING, INC., A Domestic Delaware Corporation for the purposes set forth therein. (Seal) Notary Public My Commission Expires: Registration Number: Doc ID: b8890a4e0c390e4d0cdb7234a7c918c5c0bb8756