As filed with the Securities and Exchange Commission on June 10, 2019
Registration No. 333-229660
UNITED STATES
SECURITIES AND EXCHANGE COMMISSION
Washington, D.C. 20549
Amendment No. 1
to
Form S-4
REGISTRATION STATEMENT
UNDER
THE SECURITIES ACT OF 1933
MYND ANALYTICS, INC.
(Exact name of registrant as specified in its charter)
| Delaware | 8090 | 87-0419387 | ||
| (State or other jurisdiction of | (Primary Standard Industrial | (I.R.S. Employer | ||
| incorporation or organization) | Classification Code Number) | Identification Number) |
26522 La Alameda, Suite 290
Mission Viejo, CA 92691
(949) 420-4400
(Address, including zip code, and telephone number, including area code, of registrant’s principal executive offices)
Patrick Herguth, Chief Executive Officer
MYnd Analytics, Inc.
26522 La Alameda, Suite 290
Mission Viejo, CA 92691
(949) 420-4400
(Name, address, including zip code, and telephone number, including area code, of agent for service)
Copies to:
|
Jeffrey A. Baumel, Esq. Ilan Katz, Esq. Dentons US LLP 1221 Avenue of the Americas New York, New York 10020 (212) 768-6700 |
Yutaka Niihara, M.D., M.P.H. Chairman and Chief Executive Officer Emmaus Life Sciences, Inc. 21250 Hawthorne Boulevard, Suite 800 Torrance, California 90503 (310) 214-0065 |
Dale E. Short, Esq. General Counsel Emmaus Life Sciences, Inc. 21250 Hawthorne Boulevard, Suite 800 Torrance, California 90503 (310) 214-0065 |
Approximate date of commencement of proposed sale to the public: As soon as practicable after the effective date of this registration statement and the satisfaction or waiver of all other conditions under the Merger Agreement described herein.
If the securities being registered on this Form are being offered in connection with the formation of a holding company and there is compliance with General Instruction G, check the following box: ☐
If this Form is filed to register additional securities for an offering pursuant to Rule 462(b) under the Securities Act, check the following box and list the Securities Act registration statement number of the earlier effective registration statement for the same offering. ☐
If this Form is a post-effective amendment filed pursuant to Rule 462(d) under the Securities Act, check the following box and list the Securities Act registration statement number of the earlier effective registration statement for the same offering. ☐
Indicate by check mark whether the registrant is a large accelerated filer, an accelerated filer, a non-accelerated filer, smaller reporting company, or an emerging growth company. See the definitions of “large accelerated filer,” “accelerated filer,” “smaller reporting company,” and “emerging growth company” in Rule 12b-2 of the Transaction Act.
| Large accelerated filer ☐ | Accelerated filer ☐ | |
| Non-accelerated filer ☐ | Smaller reporting company ☒ | |
| Emerging growth company ☐ |
If an emerging growth company, indicate by check mark if the registrant has elected not to use the extended transition period for complying with any new or revised financial accounting standards provided pursuant to Section 7(a)(2)(B) of the Securities Act. ☐
If applicable, place an X in the box to designate the appropriate rule provision relied upon in conducting this transaction:
Exchange Act Rule 13e-4(i) (Cross-Border Issuer Tender Offer) ☐
Exchange Act Rule 14d-1(d) (Cross-Border Third-Party Tender Offer) ☐
CALCULATION OF REGISTRATION FEE
| Title of each class of securities to be registered | Amount to be registered
| Proposed maximum offering price per share | Proposed maximum aggregate offering price (2) | Amount of registration fee (3) | ||||||||||
| Common stock, par value $0.001 per share | 400,000,000 | N/A | $ | 16,724 | $ | 3.00 | ||||||||
| (1) | Represents the estimated maximum number of shares of common stock, $0.001 par value per share, of MYnd Analytics, Inc., a Delaware corporation, issuable to holders of common stock, $0.001 par value per share, of Emmaus Life Sciences, Inc., a Delaware corporation, or Emmaus, and holders of options, warrants, convertible promissory notes and other indebtedness exercisable for or convertible into Emmaus common stock pursuant to the proposed merger of Athena Merger Subsidiary, Inc., a Delaware corporation and wholly-owned subsidiary of MYnd, with and into Emmaus. The amount of MYnd common stock to be registered is based on the estimated number of shares of common stock that are expected to be issued to the stockholders of Emmaus in connection with the merger, before taking into account the effect of the proposed reverse stock split of MYnd common stock. The estimated exchange ratio is based upon MYnd’s and Emmaus’ capitalization immediately prior to the filing of this registration statement and will be adjusted as necessary to account for any changes in the capitalization of MYnd or Emmaus prior to the merger. |
| (2) | Estimated solely for purposes of calculating the registration fee in accordance with Rule 457(f) of the Securities Act of 1933, as amended. No market exists for Emmaus’ securities, and Emmaus has an accumulated capital deficit. Therefore, the proposed maximum aggregate offering price is based upon one-third of the aggregate par value of the Emmaus securities expected to be exchanged in the proposed merger. |
| (3) | Determined in accordance with Section 6(b) of the Securities Act at a rate equal to $121.20 per $1,000,000 of the proposed maximum aggregate offering price. |
The Registrant hereby amends this registration statement on such date or dates as may be necessary to delay its effective date until the Registrant shall file a further amendment which specifically states that this registration statement shall thereafter become effective in accordance with Section 8(a) of the Securities Act of 1933, as amended, or until the registration statement shall become effective on such date as the Securities and Exchange Commission, acting pursuant to said Section 8(a), may determine.
The information in this joint proxy statement/prospectus is not complete and may be changed. These securities may not be sold until the registration statement filed with the Securities and Exchange Commission is effective. This joint proxy statement/prospectus is not an offer to sell and it is not soliciting an offer to buy these securities in any jurisdiction where the offer or sale is not permitted.
SUBJECT TO COMPLETION, DATED JUNE [●], 2019
![]() |
|
PROPOSED MERGER
YOUR VOTE IS VERY IMPORTANT
To the Stockholders of MYnd Analytics, Inc. and Emmaus Life Sciences, Inc.:
On January 4, 2019, MYnd Analytics, Inc., or MYnd, and Emmaus Life Sciences, Inc., or Emmaus, entered into an Agreement and Plan of Merger and Reorganization (as amended from time to time), or the Merger Agreement, pursuant to which a wholly owned subsidiary of MYnd named Athena Merger Subsidiary, Inc. will merge with and into Emmaus, with Emmaus surviving as a subsidiary of MYnd, which is referred to as the Merger. The Merger will result in a commercial-stage biopharmaceutical company engaged in the discovery, development, marketing and sale of innovative treatments and therapies, including those in the rare and orphan disease categories.
The Merger Agreement provides that, subject to the completion of the Merger, all or substantially all of the business, assets and liabilities of MYnd are expected to be transferred to Telemynd, Inc., a newly formed wholly-owned subsidiary of MYnd, which is referred to as Telemynd, and holders of record of MYnd common stock at the close of business on July 9, 2019 are expected to receive a pro rata distribution of Telemynd’s common stock based upon a distribution ratio to be determined by MYnd, which is referred to as the Spin-Off. In furtherance of the Spin-Off, MYnd and Telemynd entered into an Amended and Restated Separation and Distribution Agreement, or Separation Agreement, on March 27, 2019. The Spin-Off is intended to be effected promptly after the Reverse Stock Split described below.
At the effective time of the Merger, each outstanding share of Emmaus common stock, including shares issued upon conversion of Emmaus convertible promissory notes or other indebtedness, will be converted into the right to receive a number of shares of MYnd common stock referred to in this joint proxy statement/prospectus as the Exchange Ratio. It is currently anticipated that, at the closing of the Merger, the Exchange Ratio will be approximately [●] shares of MYnd common stock for each share of Emmaus common stock. MYnd will assume each outstanding and unexercised option and warrant (if permitted by the terms of the warrant) to purchase Emmaus common stock and any indebtedness (if permitted by the terms of the indebtedness) convertible into Emmaus common stock, which will be converted into an option or warrant, as applicable, to purchase MYnd common stock or indebtedness convertible into MYnd common stock. MYnd stockholders will continue to own and hold their existing shares of MYnd common stock and MYnd preferred stock will convert into common stock. The Exchange Ratio is subject to adjustment to account for the effect of a possible reverse stock split of MYnd common stock in accordance with a ratio to be determined by mutual agreement of MYnd and Emmaus, and approved by the MYnd board of directors, within a range of one share of MYnd common stock for every two to ten shares of MYnd common stock (or any number in between), which we refer to in this joint proxy statement/prospectus as the Reverse Stock Split, to be implemented prior to the consummation of the Merger as discussed in this joint proxy statement/prospectus. The actual Exchange Ratio will be determined pursuant to a formula in the Merger Agreement and described in this joint proxy statement/prospectus, and these estimates are subject to adjustment for any changes in the capitalization of MYnd or Emmaus prior to the Merger.
Immediately after the Merger, (i) MYnd securityholders (including holders of MYnd common and preferred stock and holders of options and warrants to purchase shares of MYnd common stock) are expected to own 5.9% of the combined company, and (ii) Emmaus securityholders (including holders of Emmaus common stock, options, warrants, convertible promissory notes and other indebtedness convertible into shares of Emmaus common stock) are expected to own 94.1% of the combined company, in each case on a fully-diluted basis.
Shares of MYnd common stock are currently listed on The NASDAQ Capital Market under the symbol “MYND.” Prior to consummation of the Merger, MYnd intends to apply for initial listing of the combined company common stock on The NASDAQ Capital Market. After completion of the Merger, MYnd will be renamed “Emmaus Life Sciences, Inc.” and expects to trade on The NASDAQ Capital Market under the symbol “EMMA.” On June [●], 2019, the last trading day before the date of this joint proxy statement/prospectus, the closing sale price of MYnd common stock was $[●] per share.
MYnd and Emmaus will each hold special meetings of their respective stockholders in connection with the Merger and related matters.
The MYnd special meeting will be held on July 9, 2019, at 2:00 P.M. Eastern Time (unless postponed or adjourned to a later date) via live webcast. The special meeting will be a completely virtual meeting of stockholders. You will only be able to attend the special meeting of stockholders online and submit your questions during the meeting by visiting www.virtualshareholdermeeting.com/MYnd2019. You will also be able to vote your shares electronically at the online special meeting. At the MYnd special meeting, MYnd will ask its stockholders to:
| ● | approve the issuance of shares of MYnd common stock to Emmaus stockholders pursuant to the terms of the Merger Agreement; |
| ● | consider and approve a spin-off transaction whereby all of the business and assets of MYnd and those liabilities of MYnd not retained by MYnd in connection with the Merger will be contributed to a wholly-owned subsidiary of MYnd, referred to as Telemynd, and holders of record of MYnd’s common stock on July 9, 2019 will receive a pro rata distribution of Telemynd’s common stock based upon a distribution ratio to be determined by MYnd, contingent upon the consummation of the Merger; |
| ● | approve an amendment to the certificate of incorporation of MYnd changing the MYnd corporate name to “Emmaus Life Sciences, Inc.”; |
| ● | to approve the certificate of amendment to the certificate of incorporation of MYnd to effect a reverse stock split of MYnd common stock in accordance with a ratio to be determined by mutual agreement of MYnd and Emmaus, and approved by MYnd board of directors, within a range of one share of MYnd common stock for every two to ten shares of MYnd common stock (or any number in between); |
| ● | consider and vote upon a proposal to approve, on a non-binding advisory vote basis, compensation that will or may become payable by MYnd to its named executive officers in connection with the Merger; |
| ● | consider and vote upon a proposal to adjourn the MYnd special meeting, if necessary, to solicit additional proxies if there are not sufficient votes in favor of the proposals set forth above; and |
| ● | transact such other business as may properly come before the MYnd special meeting or any adjournment or postponement thereof. |
The Emmaus special meeting will be held virtually on July 9, 2019, at 3:30 P.M. Pacific Time (unless postponed or adjourned to a later date). The Emmaus special meeting will be held solely via the Internet and can be accessed at www.virtualshareholdermeeting.com/ELS2019, where you can listen to the live proceedings at the Emmaus special meeting, submit questions and vote online. At the Emmaus special meeting, Emmaus will ask its stockholders to:
| ● | consider a proposal to adopt and approve the Merger Agreement and the Merger; |
| ● | consider a proposal to adjourn the Emmaus special meeting, if necessary, to solicit additional proxies if there are not sufficient votes in favor of the proposal set forth above; and |
| ● | transact such other business as may properly come before the Emmaus special meeting or any adjournment or postponement thereof. |
As described in the accompanying joint proxy statement/prospectus, the executive officers and directors of Emmaus, who in the aggregate own or control approximately 30% of the outstanding shares of Emmaus common stock, and the executive officers and directors of MYnd, who in the aggregate own or control approximately 34% of the outstanding shares of MYnd common stock on an as-converted to common stock basis, are parties to voting agreements with MYnd and Emmaus, respectively, whereby such parties have agreed to vote in favor of certain proposals described in this joint proxy statement/prospectus, subject to the terms of the voting agreements.
After careful consideration, each of the MYnd board of directors and the Emmaus board of directors have approved and declared advisable the Merger Agreement and the respective proposals for consideration at the MYnd special meeting and the Emmaus special meeting described in this joint proxy statement/prospectus, and the MYnd board of directors has determined that it is advisable to consummate the Merger and the Spin-Off and the Emmaus board of directors has determined that it is advisable to consummate the Merger. The MYnd board of directors and the Emmaus board of directors recommend that their respective stockholders vote “FOR” the proposals.
More information about MYnd, Emmaus, the Merger and the Spin-Off is contained in the accompanying joint proxy statement/prospectus. MYnd and Emmaus urge you to read the accompanying joint proxy statement/prospectus carefully and in its entirety. IN PARTICULAR, YOU SHOULD CAREFULLY CONSIDER THE MATTERS DISCUSSED UNDER “RISK FACTORS” BEGINNING ON PAGE 17.
MYnd and Emmaus are excited about the opportunities the Merger and Spin-Off brings to both MYnd’s and Emmaus’ stockholders, and thank you for your consideration and continued support.
|
Robin L. Smith
Chairman of the Board
MYnd Analytics, Inc. |
Yutaka Niihara, M.D., M.P.H.
Chairman and Chief Executive Officer,
Emmaus Life Sciences, Inc. |
Neither the SEC nor any state securities commission has approved or disapproved of these securities or passed upon the adequacy or accuracy of this joint proxy statement/prospectus. Any representation to the contrary is a criminal offense.
The accompanying joint proxy statement/prospectus is dated June [●], 2019, and is first being mailed to MYnd stockholders and Emmaus stockholders on or about June [●], 2019.

26522 La Alameda, Suite 290
Mission Viejo, CA 92691
NOTICE OF SPECIAL MEETING OF STOCKHOLDERS
TO BE HELD ON JULY 9, 2019
Dear Stockholders of MYnd:
On behalf of the board of directors of MYnd Analytics, Inc., a Delaware corporation, or MYnd, MYnd is pleased to deliver this joint proxy statement/prospectus for the proposed merger between MYnd and Emmaus Life Sciences, Inc., a Delaware corporation, or Emmaus, pursuant to which Athena Merger Subsidiary, Inc., a wholly owned subsidiary of MYnd, or Merger Sub, will merge with and into Emmaus, with Emmaus surviving as a subsidiary of MYnd. The Merger Agreement also provides that if the transactions contemplated by the Merger Agreement are completed, all of the business, assets and liabilities of MYnd are expected to be transferred to, Telemynd, Inc., a wholly-owned subsidiary of MYnd, which is referred to as Telemynd, and holders of record of MYnd common stock at the close of business on July 9, 2019 are expected to receive a pro rata distribution of Telemynd’s common stock based upon a distribution ratio to be determined by MYnd, which is referred to as the Spin-Off.
The MYnd special meeting will be held on July 9, 2019, at 2:00 P.M. Eastern Time (unless postponed or adjourned to a later date) The MYnd special meeting will be held solely via the Internet and can be accessed at www.virtualshareholdermeeting.com/MYnd2019, where you and your proxy will be deemed present at the MYnd special meeting and you can listen to the live proceedings, submit questions and vote online. Instructions for attending the MYnd special meeting and voting your shares are included in the joint proxy statement/prospectus. The purposes of the MYnd special meeting are:
| 1. | To approve the issuance of shares of common stock of MYnd to stockholders of Emmaus pursuant to the terms of the Agreement and Plan of Merger and Reorganization between MYnd, Emmaus and Athena Merger Subsidiary, Inc., dated January 4, 2019, a copy of which is attached as Annex A to the accompanying joint proxy statement/prospectus, which is referred to as the Merger Agreement; |
| 2. | To consider and approve a spin-off transaction whereby all of the business and assets of MYnd and those liabilities of MYnd not retained by MYnd in connection with the Merger will be contributed to a wholly-owned subsidiary of MYnd, referred to as Telemynd, and whereby holders of record of MYnd’s common stock on July 9, 2019 will receive a pro rata distribution of Telemynd’s common stock based upon a distribution ratio to be determined by MYnd, contingent upon, the consummation of the Merger; |
| 3. | To approve the certificate of amendment to the certificate of incorporation of MYnd changing the MYnd corporate name to “Emmaus Life Sciences, Inc.” in the form attached as Annex D to the accompanying Joint Proxy Statement/Prospectus; |
| 4. | To approve the certificate of amendment to the certificate of incorporation of MYnd to effect a reverse stock split of MYnd common stock in accordance with a ratio to be determined by mutual agreement of MYnd and Emmaus, and approved by the MYnd board of directors, within a range of one share of MYnd common stock for every two to ten shares of MYnd common stock (or any number in between) in the form attached as Annex E to the accompanying joint proxy statement/prospectus; |
| 5. | To consider and vote upon a proposal to approve, on a non-binding advisory vote basis, compensation that will or may become payable by MYnd to its named executive officers in connection with the Merger; |
| 6. | To consider and vote upon an adjournment of the MYnd special meeting, if necessary, to solicit additional proxies if there are not sufficient votes in favor of MYnd Stockholder Proposal Nos. 1, 2, 3, 4 and 5; and; |
| 7. | To transact such other business as may properly come before the MYnd stockholders at the MYnd special meeting or any adjournment or postponement thereof. |
The board of directors of MYnd has fixed June 7, 2019 as the record date for the determination of stockholders entitled to notice of, and to vote at, the MYnd special meeting and any adjournment or postponement thereof. Only holders of record of shares of MYnd common stock at the close of business on the record date are entitled to notice of, and to vote at, the MYnd special meeting.
Your vote is important. The affirmative vote of the holders of a majority of the shares of MYnd common stock (which includes the MYnd preferred stock on an as-converted basis to MYnd common stock) having voting power present in person or represented by proxy at the MYnd special meeting, presuming a quorum is present, is required for approval of MYnd Stockholder Proposal Nos. 1, 5, 6 and 7. The affirmative vote of the holders of a majority of shares of MYnd common stock having voting power outstanding on the record date for the MYnd special meeting is required for approval of MYnd Stockholder Proposal Nos. 2, 3 and 4. Each of Proposal Nos. 1, 2, 3 and 4 is conditioned upon each other. Therefore, the Merger cannot be consummated without the approval of Proposal Nos. 1, 2, 3 and 4.
Even if you plan to participate online at the MYnd special meeting, MYnd requests that you sign and return the enclosed proxy or submit an electronic proxy card via the Internet to ensure that your shares will be represented at the MYnd special meeting if you are unable to participate.
| By Order of the MYnd board of directors, | |
| Patrick Herguth | |
| Chief Executive Officer | |
| MYnd Analytics, Inc. | |
| June [●], 2019 |
THE MYND BOARD OF DIRECTORS HAS DETERMINED AND BELIEVES THAT EACH OF THE PROPOSALS OUTLINED ABOVE IS ADVISABLE TO, AND IN THE BEST INTERESTS OF, MYND AND ITS STOCKHOLDERS AND HAS APPROVED EACH SUCH PROPOSAL. THE MYND BOARD OF DIRECTORS UNANIMOUSLY RECOMMENDS THAT MYND STOCKHOLDERS VOTE “FOR” EACH SUCH PROPOSAL.

21250 Hawthorne Blvd., Suite 800
Torrance, California 90503
NOTICE OF SPECIAL MEETING OF STOCKHOLDERS
TO BE HELD ON JULY 9, 2019
Dear Emmaus Stockholders:
On behalf of the board of directors of Emmaus Life Sciences, Inc., a Delaware corporation, or Emmaus, Emmaus is pleased to deliver the accompanying joint proxy statement/prospectus regarding the proposed merger, or the Merger, between Emmaus and MYnd pursuant to which Athena Merger Subsidiary, Inc., or Merger Sub, a wholly owned subsidiary of MYnd, Analytics, Inc., a Delaware corporation, or MYnd, will merge with and into Emmaus, with Emmaus surviving as a subsidiary of MYnd.
The Emmaus special meeting will be held virtually on July 9, 2019, at 3:30 P.M. Pacific Time (unless postponed or adjourned to a later date). The Emmaus special meeting will be held solely via the Internet and can be accessed at www.virtualshareholdermeeting.com/ELS2019, where you and your proxy will be deemed present at the Emmaus special meeting and you can listen to the live proceedings, submit questions and vote online. Instructions for attending the Emmaus special meeting and voting your shares are included in the joint proxy statement/prospectus. The purposes of the Emmaus special meeting are:
| 1. | To consider a proposal to adopt and approve the Agreement and Plan of Merger and Reorganization between MYnd, Emmaus and Merger Sub, dated January 4, 2019 (as amended from time to time), a copy of which is attached as Annex A to the accompanying joint proxy statement/prospectus, which is referred to as the Merger Agreement, and the Merger; |
| 2. | To consider a proposal to adjourn the Emmaus special meeting from time to time, if necessary, to solicit additional proxies if there are not sufficient votes in favor of Emmaus Stockholder Proposal No. 1; and |
| 3. | To transact such other business as may properly come before the Emmaus stockholders at the Emmaus special meeting or any adjournment or postponement thereof by or at the direction of the Emmaus board of directors. |
The board of directors of Emmaus has fixed June 7, 2019 as the record date for the determination of stockholders entitled to notice of, and to vote at, the Emmaus special meeting and any adjournment or postponement thereof. Only holders of record of shares of Emmaus common stock at the close of business on the record date are entitled to notice of, and to vote at, the Emmaus special meeting. The Emmaus stockholder list may be examined online during the Emmaus special meeting using the same Internet address for the meeting. During the ten-day period prior to the Emmaus special meeting, the Emmaus stockholder list may be examined at Emmaus’ principal offices at the address shown above.
Your vote is important. The affirmative vote of the holders of a majority of the shares of Emmaus common stock outstanding on the record date for the Emmaus special meeting is required for approval of Emmaus Stockholder Proposal No. 1. The affirmative vote of the holders of a majority of the shares of Emmaus common stock voted on Emmaus Stockholder Proposal No. 2, whether or not a quorum is present, is required for approval of Emmaus Stockholder Proposal No. 2.
Even if you plan to participate online at the Emmaus special meeting, Emmaus requests that you sign and return the enclosed proxy or submit an electronic proxy card via the Internet to ensure that your shares will be represented at the Emmaus special meeting if you are unable to participate.
| By Order of the Emmaus board of directors, | |
| Yutaka Niihara, M.D., M.P.H. | |
| Chairman and Chief Executive Officer, | |
| Emmaus Life Sciences, Inc. | |
| June [●], 2019 |
THE EMMAUS BOARD OF DIRECTORS HAS DETERMINED AND BELIEVES THAT EACH OF THE PROPOSALS OUTLINED ABOVE IS ADVISABLE TO, AND IN THE BEST INTERESTS OF, EMMAUS AND ITS STOCKHOLDERS AND HAS APPROVED EACH SUCH PROPOSAL. THE EMMAUS BOARD OF DIRECTORS UNANIMOUSLY RECOMMENDS THAT EMMAUS STOCKHOLDERS VOTE “FOR” EACH SUCH PROPOSAL.
REFERENCES TO ADDITIONAL INFORMATION
This joint proxy statement/prospectus incorporates important business and financial information about MYnd and Emmaus that is not included in or delivered with this document. You may obtain this information without charge through the SEC website (www.sec.gov) or by requesting it in writing or by telephone from MYnd or Emmaus at the following addresses and telephone numbers:
| MYnd Analytics, Inc. | Emmaus Life Sciences, Inc. |
| 26522 La Alameda, Suite 290 | 21250 Hawthorne Boulevard, Suite 800 |
| Mission Viejo, CA 92691 | Torrance, California 90503 |
| (949) 420-4400 | (310) 214-0065 |
If you would like to request documents, please do so no later than five business days before the MYnd special meeting and the Emmaus special meeting, each to be held on July 9, 2019.
For additional details about where you can find information about MYnd or Emmaus, please see the section titled “Where You Can Find More Information” in this joint proxy statement/prospectus.
TABLE OF CONTENTS
i
ii
ANNEX A – AGREEMENT AND PLAN OF MERGER AND REORGANIZATION, AS AMENDED BY AMENDMENT NO. 1
ANNEX B – AMENDED AND RESTATED SEPARATION AND DISTRIBUTION AGREEMENT
ANNEX C – OPINION OF THINKEQUITY
ANNEX D – CERTIFICATE OF AMENDMENT TO CERTIFICATE OF INCORPORATION OF MYND TO EFFECT NAME CHANGE
ANNEX E – CERTIFICATE OF AMENDMENT TO CERTIFICATE OF INCORPORATION OF MYND TO EFFECT REVERSE STOCK SPLIT
ANNEX F – SECTION 262 OF THE DELAWARE GENERAL CORPORATION LAW
iii
QUESTIONS AND ANSWERS ABOUT THE TRANSACTIONS
The following section provides brief answers to certain questions that you may have regarding the Merger Agreement, the proposed Merger and the Spin-Off. Please note that this section does not address all issues that may be important to you as a MYnd stockholder or an Emmaus stockholder. Accordingly, you should carefully read this entire joint proxy statement/prospectus, including each of the Annexes and the documents that are incorporated by reference into this joint proxy statement/prospectus.
Except where specifically noted, the following information and all other information contained in this joint proxy statement/prospectus does not give effect to the possible Reverse Stock Split described in MYnd Stockholder Proposal No. 4.
Q: Why am I receiving this joint proxy statement/prospectus?
A: You are receiving this joint proxy statement/prospectus because you were a stockholder of record of MYnd or Emmaus as of the close of business on the record date for the special meeting of MYnd stockholders, or the MYnd Special Meeting, or the special meeting of Emmaus stockholders, or the Emmaus Special Meeting, respectively.
This document serves as:
| ● | a proxy statement of MYnd used to solicit proxies for the MYnd Special Meeting to vote on the MYnd Stockholder Proposals; |
| ● | a proxy statement of Emmaus used to solicit proxies for the Emmaus special meeting to vote on the Emmaus Stockholder Proposals; and |
| ● | a prospectus of MYnd used to offer shares of MYnd common stock issuable in exchange for shares of Emmaus common stock in the Merger or upon the exercise or conversion, as applicable, of Emmaus options and warrants or convertible promissory notes and other indebtedness of Emmaus convertible into shares of Emmaus common stock. |
Q: What is the Merger?
A: MYnd Analytics, Inc., or MYnd, and Emmaus Life Sciences, Inc., or Emmaus, have entered into an Agreement and Plan of Merger and Reorganization, dated January 4, 2019, or the Merger Agreement. The Merger Agreement contains the terms and conditions of the proposed reverse recapitalization of MYnd and Emmaus. Under the Merger Agreement, MYnd Merger Subsidiary, Inc., a wholly-owned subsidiary of MYnd, or Merger Sub, will merge with and into Emmaus, with Emmaus surviving as a subsidiary of MYnd. After the completion of the Merger, MYnd will change its corporate name to “Emmaus Life Sciences, Inc.” This transaction is referred to as the Merger.
At the effective time of the Merger, each outstanding share of Emmaus common stock, including shares issued upon conversion of Emmaus convertible promissory notes or other indebtedness, will be converted into the right to receive a number of shares of MYnd common stock referred to in this joint proxy statement/prospectus as the Exchange Ratio. It is currently anticipated that, based upon the current capitalization of MYnd and Emmaus, the Exchange Ratio will be approximately seven shares of MYnd common stock for each share of Emmaus common stock, without giving effect to the Reverse Stock Split. MYnd will assume each outstanding and unexercised option and warrant (if permitted by the terms of the warrant) to purchase Emmaus common stock and any indebtedness (if permitted by the terms of indebtedness) convertible into Emmaus common stock, which will be converted into an option or warrant, as applicable, to purchase MYnd common stock or indebtedness convertible into MYnd common stock. MYnd stockholders will continue to own and hold their existing shares of MYnd common stock. The actual Exchange Ratio will be determined pursuant to a formula in the Merger Agreement and described in this joint proxy statement/prospectus, and these estimates are subject to adjustment for any changes in the capitalization of MYnd or Emmaus prior to the Merger.
Immediately after the Merger, (i) MYnd securityholders (including holders of MYnd common stock and preferred stock and holders of options and warrants to purchase shares of MYnd common stock) are expected to own 5.9% of the combined company and (ii) Emmaus securityholders (including holders of Emmaus common stock, options, warrants and convertible promissory notes and other indebtedness convertible into shares of Emmaus common stock) are expected to own 94.1% of the combined company, in each case on a fully-diluted basis.
1
Q: Why are the two companies proposing to merge?
A: MYnd and Emmaus believe that the Merger will result in a commercial-stage biopharmaceutical company engaged in the discovery, development, marketing and sale of innovative treatments and therapies, including those in the rare and orphan disease categories. For a discussion of MYnd’s and Emmaus’ reasons for the Merger, please see the sections entitled “The Merger—MYnd Reasons for the Merger” beginning on page 10 of this joint proxy statement/prospectus and “The Merger—Emmaus Reasons for the Merger” beginning on page 10 of this joint proxy statement/prospectus.
Q: As a stockholder of MYnd or Emmaus, what will happen to my stock?
A: Immediately prior to the effective time of the Merger, each share of outstanding MYnd preferred stock will be converted into one share of MYnd common stock in accordance with the MYnd certificate of incorporation. MYnd stockholders, warrant holders and holders of MYnd equity awards will not receive anything as a result of the Merger, but will continue to hold the same amount of MYnd common stock, warrants to purchase MYnd common stock and MYnd equity awards held immediately prior to the Merger, as appropriately adjusted for the Reverse Stock Split, if it is effected.
At the effective time of the Merger, each share of Emmaus common stock issued and outstanding immediately prior to the effective time of the Merger will be converted into and represent the right to receive a number of shares of MYnd common stock equal to the Exchange Ratio.
It is currently anticipated that, based upon the current capitalization of MYnd and Emmaus, the Exchange Ratio will be approximately seven shares of MYnd common stock for each share of Emmaus common stock, without giving effect to the Reverse Stock Split. MYnd will assume each outstanding and unexercised option and warrant (if permitted by the terms of the warrant) to purchase Emmaus common stock, which will be converted into options or warrants, as applicable, to purchase MYnd common stock. The actual Exchange Ratio is determined pursuant to a formula in the Merger Agreement and described in the attached joint proxy statement/prospectus, and these estimates are subject to adjustment for any changes in the capitalization of MYnd or Emmaus prior to the Merger. See the section entitled “The Merger Agreement—Exchange Ratio” beginning on page 12 of this joint proxy statement/prospectus. Shares of Emmaus common stock held by stockholders who exercise and perfect appraisal or dissenters’ rights will be treated as described in the section entitled “The Merger—Appraisal Rights and Dissenters’ Rights” beginning on page 117 of this joint proxy statement/prospectus.
For a more complete description of what Emmaus stockholders and other security holders will receive in the Merger, please see the section entitled “The Merger Agreement—Merger Consideration” beginning on page 12 of this joint proxy statement/prospectus.
Q. Why is MYnd proposing the Spin-Off?
A. As a condition to the consummation of the Merger, MYnd is required to: (i) transfer all or substantially all of its business and assets and those liabilities of MYnd which are not to be retained by MYnd, referred to as the Separation, to a newly formed wholly-owned subsidiary of MYnd, which is referred to as Telemynd; and subsequently, (ii) spin off Telemynd, referred to as the Spin-Off, as a separate, independent corporation, with such spin-off being achieved by means of a stock distribution. In furtherance of the Separation, MYnd and Telemynd entered into an Amended and Restated Separation and Distribution Agreement, or Amended Separation Agreement, on March 27, 2019. Approval by the stockholders of MYnd is required to effect and adopt the Spin-Off.
MYnd believes that Spin-Off will provide MYnd’s existing stockholders with the opportunity to continue to participate in MYnd’s existing business as stockholders of Telemynd.
Q: Who is entitled to receive shares of Telemynd in the Spin-Off?
A: Holders of record of MYnd’s common stock immediately prior to a date prior to the closing of the Merger, or the Spin-Off Record Date, will receive a pro rata distribution of one share of Telemynd’s common stock for each share of MYnd common stock held immediately prior to the Spin-Off Record Date; provided that, pursuant to an exchange agreement described in more detail below, current holders of MYnd preferred stock will exchange each share of MYnd preferred stock held immediately prior to the Spin-Off Record Date for one share of Telemynd’s preferred stock and one share of MYnd common stock.
2
Q: When will the Spin-Off occur?
A: The Spin-Off is expected to occur immediately prior to, and is contingent upon, the consummation of the Merger. The Spin-Off is expected to occur promptly after the Reverse Stock Split.
Q. What will Telemynd’s relationship be with MYnd following the separation?
A. After the distribution, Emmaus and Telemynd will be separate companies with separate management teams and separate boards of directors, except that Robin L. Smith, the current Chairman of the board of directors of MYnd, will continue to serve as a director of MYnd following the Merger.
Q. Who will manage Telemynd after the Spin-Off?
A. Telemynd will be managed by the officers and directors of MYnd prior to the Spin-Off except that (i) Robin Smith will not serve as Chairman of Telemynd, but rather will serve as an advisor to Telemynd under a consulting agreement and (ii) George Carpenter, MYnd’s current President and Chief Information Officer will not serve as an officer of Telemynd and will continue in his current role for Telemynd’s subsidiary, MYnd Analytics, Inc., a California corporation.
Q: What information about Telemynd is publicly available?
A: Telemynd will continue the business of MYnd and MYnd Analytics, Inc. MYnd files annual, quarterly and current reports, proxy statements and other documents with the SEC under the Exchange Act. These SEC filings are available to the public from commercial document retrieval services and at www.sec.gov. The description of MYnd’s business and financial condition, as well as all risk factors, in MYnd’s periodic reports filed with the SEC, including but not limited to its Annual Report on 10-K for the year ended September 30, 2018 and its Quarterly Report on Form 10-Q for the quarters ended December 31, 2018 and March 31, 2019, are applicable to those shares of stock of Telemynd to be distributed further to the Spin-Off. If any of those risks and uncertainties develops into actual events, these events could have a material adverse effect on Telemynd’s businesses, financial conditions or results of operations. In addition, past financial performance may not a reliable indicator of future performance, and historical trends should not be used to anticipate results or trends in future periods.
Q: What approvals by the stockholders of MYnd are required to consummate the Merger and the Spin-Off?
A: The Merger will require MYnd stockholder approval of Proposal Nos. 1 through 5, below. MYnd is also requesting that MYnd stockholders approve Proposal No. 6, below, which, collectively with Proposal Nos. 1 through 6, is referred to as the MYnd Stockholder Proposals. The MYnd Stockholder Proposals are:
| 1. | To approve the issuance of shares of common stock of MYnd to stockholders of Emmaus pursuant to the terms of the Agreement and Plan of Merger and Reorganization between MYnd, Emmaus and Merger Sub, dated January 4, 2019, a copy of which is attached as Annex A to this joint proxy statement/prospectus, which is referred to as the Merger Agreement; |
| 2. | To consider and approve a spin-off transaction whereby all or substantially all of the business and assets of MYnd and those liabilities of MYnd not retained by MYnd in connection with the Merger will be contributed to a wholly-owned subsidiary of MYnd, referred to as Telemynd, and holders of record of MYnd’s common stock on July 9, 2019 will receive a pro rata distribution of Telemynd’s common stock based upon a distribution ratio to be determined by MYnd, contingent upon the consummation of the Merger; |
| 3. | To approve the certificate of amendment to the certificate of incorporation of MYnd changing the MYnd corporate name to “Emmaus Life Sciences, Inc.” in the form attached as Annex D this joint proxy statement/prospectus; |
| 4. | To approve the certificate of amendment to the certificate of incorporation of MYnd to effect a reverse stock split of MYnd common stock in accordance with a ratio to be determined by mutual agreement of MYnd and Emmaus, and approved by the MYnd board of directors, within a range of one share of MYnd common stock for every two to ten shares of MYnd common stock (or any number in between) in the form attached as Annex E to this joint proxy statement/prospectus; |
3
| 5. | To consider and vote upon a proposal to approve, on a non-binding advisory vote basis, compensation that will or may become payable by MYnd to its named executive officers in connection with the Merger; and |
| 6. | To consider and vote upon an adjournment of the MYnd special meeting, if necessary, to solicit additional proxies if there are not sufficient votes in favor of MYnd Stockholder Proposal Nos. 1, 2, 3, 4 and 5. |
The presence, online or represented by proxy, at the MYnd special meeting of the holders of a majority of the shares of MYnd common stock outstanding and entitled to vote at the MYnd special meeting is necessary to constitute a quorum at the meeting. Abstentions and broker non-votes will be counted towards a quorum. The affirmative vote of the holders of a majority of the shares of MYnd common stock and MYnd preferred stock on an as-converted basis to MYnd common stock having voting power present in person or represented by proxy at the MYnd special meeting is required for approval of MYnd Stockholder Proposal Nos. 1, 5 and 6. The affirmative vote of the holders of a majority of shares of MYnd common stock having voting power outstanding on the record date for the MYnd special meeting is required for approval of MYnd Stockholder Proposal Nos. 2, 3 and 4. Each of MYnd Stockholder Proposal Nos. 1, 2, 3, 4 is conditioned upon each other. Therefore, the Merger cannot be consummated without the approval of MYnd Stockholder Proposal Nos. 1, 2, 3 and 4.
Votes will be counted by the inspector of election appointed for MYnd special meeting, who will separately count “FOR” and “AGAINST” votes, abstentions and broker non-votes. Abstentions will be counted towards the vote total for each MYnd Stockholder Proposal and will have the same effect as “AGAINST” votes for MYnd Stockholder Proposal Nos. 2, 3 and 4, but will have no effect on the outcome of voting on MYnd Stockholder Proposal Nos. 1, 5 and 6. Similarly, broker non-votes will have the same effect as “AGAINST” votes for MYnd Stockholder Proposal Nos. 2, 3 and 4, but will have no effect on the outcome of voting on MYnd Stockholder Proposal Nos. 1, 5 and 6.
Q: What approval by the stockholders of Emmaus is required to consummate the Merger?
A: The Merger will require Emmaus stockholder approval of Proposal No. 1, below. Emmaus is also requesting that Emmaus stockholders approve Proposal No. 2, below, which, together with Proposal No. 1, is referred to as the Emmaus Stockholder Proposals. The Emmaus Stockholder Proposals are:
| 1. | To consider a proposal to adopt and approve the Agreement and Plan of Merger and Reorganization between MYnd, Emmaus and Merger Sub, dated January 4, 2019 (as amended from time to time), a copy of which is attached as Annex A to the accompanying joint proxy statement/prospectus, which is referred to as the Merger Agreement, and the Merger; and |
| 2. | To consider a proposal to adjourn the Emmaus special meeting from time to time, if necessary, to solicit additional proxies if there are not sufficient votes in favor of Emmaus Stockholder Proposal No. 1. |
The presence, online or represented by proxy, at the Emmaus special meeting of the holders of a majority of the shares of Emmaus common stock outstanding and entitled to vote at the Emmaus special meeting is necessary to constitute a quorum at the meeting. Abstentions will be counted towards a quorum. The approval of Emmaus Stockholder Proposal No. 1 requires the affirmative vote of the holders of a majority of the shares of Emmaus common stock outstanding as of the record date for the Emmaus special meeting. The approval of Emmaus Stockholder Proposal No. 2 requires the affirmative vote of holders of a majority of the shares of Emmaus common stock voted on such Proposal, whether or not a quorum is present.
Votes will be counted by the inspector of election appointed for Emmaus special meeting, who will separately count “FOR” and “AGAINST” votes and abstentions. Abstentions will be counted towards the vote total and will have the same effect as “AGAINST” votes for Emmaus Stockholder Proposal No. 1. Abstentions will not be counted and will have no effect on the voting on Emmaus Stockholder Proposal No. 2.
Q: Who will be the directors of MYnd following the Merger?
A: Immediately following the Merger, MYnd’s board of directors is expected to be composed of up to six directors to be designated by Emmaus, who are expected to be the incumbent Emmaus directors, and one director designated by MYnd, who will remain on the board.
4
Q: Who will be the executive officers of MYnd immediately following the Merger?
A: Immediately following the Merger, the combined company’s executive management team is expected to be composed of the members of the Emmaus executive management team prior to the Merger, including Yutaka Niihara, M.D., M.P.H., the Chairman and Chief Executive Officer of Emmaus, and the other incumbent executive officers described under “Management Following the Merger” beginning on page 16 of this joint proxy statement/prospectus.
Q: As an MYnd stockholder, how does MYnd’s board of directors recommend that I vote?
A: After careful consideration, MYnd’s board of directors unanimously recommends that MYnd stockholders vote “FOR” all of the MYnd Stockholder Proposals.
Q: What interests do MYnd’s directors and officers have in the approval of the MYnd Stockholder Proposals?
A: When considering the recommendation of the MYnd board of directors that MYnd stockholders vote in favor of the adoption of the MYnd Stockholder Proposals, MYnd stockholders should be aware that MYnd’s directors and executive officers have interests in the MYnd Stockholder Proposals that may be different from, or in addition to, the interests of MYnd stockholders generally, including potential severance benefits, treatment of outstanding MYnd equity awards pursuant to the Merger Agreement, potential vesting of such awards in connection with the Merger, rights to ongoing indemnification and insurance coverage and the expectation that certain of MYnd’s directors and executive officers will become directors and executive officers of Telemynd and will be eligible to receive stock option grants and board fees from Telemynd and that Robin L. Smith, MYnd’s Chairman, will continue to serve as a director of MYnd following the Merger and will be eligible to receive stock option grants and board fees from MYnd. See “Interests of MYnd’s Directors and Executive Officers in the Merger” beginning on page 109 of this joint proxy statement/prospectus for a more detailed description of these interests. The board of directors of each of MYnd and Emmaus were aware of these potential conflicts of interest and considered them, among other matters, in reaching their respective decisions to approve the Merger Agreement and the Merger, and to recommend, as applicable, that the MYnd stockholders approve the MYnd Stockholders Proposals to be presented to the MYnd stockholders for consideration at the MYnd special meeting as contemplated by this joint proxy statement/prospectus, and that the Emmaus stockholders approve the Emmaus Stockholders Proposals to be presented to the Emmaus stockholders for consideration at the Emmaus special meeting as contemplated by this joint proxy statement/prospectus.
Q: As an Emmaus stockholder, how does Emmaus’ board of directors recommend that I vote?
A: After careful consideration, Emmaus’ board of directors unanimously recommends that Emmaus stockholders vote “FOR” each of the Emmaus Stockholder Proposals.
Q: What risks should I consider in deciding whether to vote in favor of the Merger or to execute and return the written consent, as applicable?
A: You should carefully review the section of this joint proxy statement/prospectus titled “Risk Factors,” which sets forth certain risks and uncertainties related to the Merger, risks and uncertainties to which the combined company’s business will be subject, and risks and uncertainties to which each of MYnd and Emmaus, as an independent company, is subject.
Q: Has the original Merger Agreement entered into on January 4, 2019 been amended?
A: Yes. On May 10, 2019, MYnd, Emmaus and Merger Sub entered into amendment no. 1 to the original Merger Agreement, which we refer to as amendment no. 1. By executing amendment no. 1, MYnd, Emmaus and Merger Sub agreed that: (i) the definition “Parent California Subsidiary” should be amended to refer to Telemynd, Inc., the newly formed wholly-owned corporation, (ii) MYnd would not adopt a new equity incentive plan at closing, which had been contemplated previously and determined to be unnecessary at this time, (iii) MYnd would be entitled to receive credit in its Net Liabilities calculation for certain agreed upon prepaid costs, (iv) Telemynd would be entitled to receive shares of MYnd after closing if the exchange ratio applicable to any Emmaus Warrants, Emmaus Convertible Notes or Emmaus Debentures is modified in a manner which causes additional shares of Emmaus to be issued upon exercise, conversation or exchange, during the six (6) month period after the closing of the Merger for any reason, and (v) the outside termination date was extended from May 31, 2019 to July 31, 2019.
5
Q: Has the original Separation Agreement entered into on January 4, 2019 been amended?
A: Yes. On March 27, 2019, MYnd, MYnd Analytics, Inc., a California corporation, and Telemynd entered into an Amended and Restated Separation and Distribution Agreement, which we refer to as the Amended Separation Agreement, which amended in certain respects and restated in its entirety the original Separation and Distribution Agreement dated January 4, 2019. As a result of the execution of the Amended Separation Agreement: (i) all references to MYnd Analytics, Inc., a California corporation were replaced with references to Telemynd, (ii) Telemynd will be entitled to receive shares of MYnd after closing if the exchange ratio applicable to any Company Warrants, Company Convertible Notes or Company Debentures is reduced during the six (6) month period after the closing of the Merger for any reason, and (v) it was clarified that the MYnd board of directors retains flexibility to determine the distribution ratio to be used in the Spin-Off.
Q: Have there been any other changes to the Merger Agreement or the Amended Separation Agreement?
A: No. Other than as set forth in amendment no. 1, the terms and conditions of the Merger Agreement have not changed. A copy of amendment no. 1 is attached as a part of Annex A to this proxy statement/prospectus/consent solicitation. Other than as set forth in the Amended Separation Agreement, the terms and conditions of the Amended Separation Agreement have not changed. A copy of the Amended Separation Agreement is attached as Annex B to this proxy statement/prospectus/consent solicitation.
Q: When do you expect the Merger to be consummated?
A: The Merger is anticipated to occur promptly after the MYnd special meeting and the Emmaus special meeting, each to be held on July 9, 2019, assuming the stockholder proposals are approved at the special meetings and the other conditions to the completion of the Merger are satisfied or waived, but the exact timing cannot be predicted. For more information, please see the section titled “The Merger Agreement—Conditions to the Completion of the Merger” in this joint proxy statement/prospectus.
Q: What do I need to do now?
A: MYnd and Emmaus urge you to read this joint proxy statement/prospectus carefully, including its annexes, and to consider how the Merger affects you.
If you are a MYnd stockholder of record, you may provide your proxy instructions in one of three ways. First, you can access the MYnd special meeting and vote your shares online. Second, you can mail your signed proxy card in the enclosed return envelope. Third, you can provide your proxy instructions via fax by following the instructions on your proxy card. If you hold your shares in “street name” (as described below), you may provide your proxy instructions via telephone or the internet by following the instructions on your vote instruction form. Please provide your proxy instructions only once, unless you are revoking a previously delivered proxy instruction, and as soon as possible so that your shares can be voted at the special meeting of MYnd stockholders.
If you are an Emmaus stockholder of record, you also may provide your proxy instructions in one of three ways. First, you can access the Emmaus special meeting and vote your shares online at the Emmaus special meeting. Second, you can provide your proxy instructions via the Internet by following the instructions on your proxy card. Third, you can mail your signed proxy card in the enclosed postage-paid return envelope. Please provide your proxy instructions only once, unless you are revoking a previously delivered proxy instruction, and as soon as possible so that your shares can be voted at the Emmaus special meeting.
Q: What happens if I do not return a proxy card or otherwise provide proxy instructions, as applicable?
A: If you are an MYnd stockholder, the failure to return your proxy card or otherwise provide proxy instructions will reduce the aggregate number of votes required to approve MYnd Stockholder Proposal Nos. 1, 5, 6 and 7 and will have the same effect as voting against MYnd Stockholder Proposal Nos. 2, 3 and 4. Also, your shares will not be counted for purposes of determining whether a quorum is present at the MYnd special meeting.
If you are an Emmaus stockholder, the failure to return your proxy card or access the Emmaus special meeting and vote your shares of Emmaus common stock will have the same effect as voting against Emmaus Stockholder Proposal No 1. and will have no effect on the approval of Emmaus Stockholder Proposal No. 2. Also, your shares will not be counted for purposes of determining whether a quorum is present at the Emmaus special meeting.
6
Q: May I vote at MYnd special meeting?
A: If your shares of MYnd common stock are registered directly in your name with MYnd’s transfer agent, you are considered to be the stockholder of record with respect to those shares, and the proxy materials and proxy card are being sent directly to you by MYnd. If you are an MYnd stockholder of record, you may access the special meeting of MYnd stockholders and vote your shares online. Even if you plan to do so, MYnd requests that you sign and return the enclosed proxy card or submit an electronic proxy card via the Internet to ensure that your shares will be represented at the MYnd special meeting.
If your shares of MYnd common stock are held in a brokerage account or by another nominee, you are considered the beneficial owner of shares held in “street name,” and the proxy materials are being forwarded to you by your broker or other nominee together with a voting instruction form. As the beneficial owner, you are also invited to access the special meeting of MYnd stockholders. Because a beneficial owner is not the stockholder of record, you may not vote these shares at the MYnd special meeting unless you obtain a legal proxy from the broker, trustee or nominee that holds your shares, giving you the right to vote the shares.
Q: When and where is the special meeting of MYnd stockholders being held?
A: The MYnd special meeting will be held on July 9, 2019, at 2:00 P.M. Eastern Time (unless postponed or adjourned to a later date) via live webcast. The special meeting will be a completely virtual meeting of stockholders. You will only be able to attend the special meeting of stockholders online and submit your questions during the meeting by visiting www.virtualshareholdermeeting.com/MYnd2019. You will also be able to vote your shares electronically at the online special meeting.
Q: May I vote at the Emmaus special meeting:
A: Yes. You may access the Emmaus special meeting and vote your shares online. Even if you plan to do so, Emmaus requests that you sign and return the enclosed proxy card or submit an electronic proxy card via the Internet to ensure that your shares will be represented at the Emmaus special meeting.
Q: When and where is the special meeting of Emmaus stockholders being held?
A: The Emmaus special meeting will be held virtually on July 9, 2019, at 3:30 P.M. Pacific Time (unless postponed or adjourned to a later date). The Emmaus special meeting will be held solely via the Internet and can be accessed at www.virtualshareholdermeeting.com/ELS2019, where you can listen to the live proceedings at the Emmaus special meeting, submit questions and vote online.
Q: If my MYnd shares are held in “street name” by my broker, will my broker vote my shares for me?
A: Unless your broker has discretionary authority to vote on certain matters, your broker will not be able to vote your shares of MYnd common stock on matters requiring discretionary authority without instructions from you.
If you do not give instructions to your broker, your broker can vote your MYnd shares with respect to “discretionary” items but not with respect to “non-discretionary” items. Discretionary items are proposals considered routine under the rules of The NASDAQ Capital Market on which your broker may vote shares held in “street name” in the absence of your voting instructions. On non-discretionary items for which you do not give your broker instructions, the MYnd shares will be treated as broker non-votes. It is anticipated that MYnd Stockholder Proposal Nos. 1, 2, 3, 4 and 5 will be non-discretionary items. To make sure that your vote is counted, you should instruct your broker to vote your shares, following the procedures provided by your broker.
Q: May I change my vote after I have submitted a proxy or provided proxy instructions?
A: Yes. MYnd and Emmaus stockholders of record may change their vote at any time before their proxy is voted at the MYnd special meeting or the Emmaus special meeting in one of three ways. First, a stockholder of record can send a written notice to the Secretary of MYnd or Emmaus, as applicable, stating that the stockholder would like to revoke its proxy. Second, a stockholder of record can submit a later dated proxy card or new proxy instructions via the Internet. Third, a stockholder of record can access the MYnd special meeting or the Emmaus special meeting and vote online. Accessing the MYnd special meeting or the Emmaus special meeting, alone, however, will not revoke a proxy. If a MYnd stockholder who owns MYnd shares in “street name” has instructed a broker to vote its shares of MYnd common stock, the stockholder must follow directions received from its broker to change those instructions.
7
Q: Who is paying for this proxy solicitation?
A: MYnd and Emmaus will each bear the cost of printing and mailing this joint proxy statement/prospectus to their respective stockholders. MYnd also will make arrangements with brokerage firms and other custodians, nominees and fiduciaries who are record holders of MYnd common stock for the forwarding of solicitation materials to the beneficial owners of MYnd common stock. MYnd will reimburse these brokers, custodians, nominees and fiduciaries for the reasonable out-of-pocket expenses they incur in connection with the forwarding of solicitation materials. MYnd has retained Alliance Advisors LLC to assist it in soliciting proxies using the means referred to above. MYnd will pay the fees of Alliance Advisors LLC, which are expected to be approximately $5,000, plus reimbursement of out-of-pocket expenses.
Q: Are there tax consequences to MYnd’s stockholders as a result of the Spin-Off?
A: The distribution to MYnd stockholders of stock in Telemynd will be a taxable event to each MYnd stockholder. Please read with particular care the detailed description of material U.S. Federal income tax to MYnd’s stockholders of the distribution of stock in Telemynd described in “Proposal No. 5—Approval of the Spin-Off—Material United States Federal Income Tax Considerations” beginning on page 149 of this joint proxy statement/prospectus.
Q: What are the material U.S. federal income tax consequences of the Reverse Stock Split to MYnd stockholders?
A: The Reverse Stock Split described in MYnd Stockholder Proposal No. 5, if effected, should constitute a “recapitalization” for U.S. federal income tax purposes. As a result, a U.S. Holder (as described in more detail in the section titled “Matters Being Submitted to a Vote of MYnd Stockholders—MYnd Stockholder Proposal No. 5: Approval of the Amendment to the Certificate of incorporation of MYnd Authorizing the Reverse Stock Split—Material U.S. Federal Income Tax Consequences of the Reverse Stock Split”) of MYnd common stock generally should not recognize gain or loss upon such Reverse Stock Split, except with respect to cash received in lieu of a fractional share of MYnd common stock, as discussed below in the section titled “Matters Being Submitted to a Vote of MYnd Stockholders—MYnd Stockholder Proposal No. 5: Approval of the Amendment to the Certificate of incorporation of MYnd Authorizing the Reverse Stock Split—Material U.S. Federal Income Tax Consequences of the Reverse Stock Split—Cash in Lieu of Fractional Shares.” A U.S. Holder’s aggregate tax basis in the shares of MYnd common stock received pursuant to such Reverse Stock Split should equal the aggregate tax basis of the shares of the MYnd common stock surrendered (excluding any portion of such basis that is allocated to any fractional share of MYnd common stock), and such U.S. Holder’s holding period in the shares of MYnd common stock received should include the holding period in the shares of MYnd common stock surrendered. Treasury Regulations provide detailed rules for allocating the tax basis and holding period of the shares of MYnd common stock surrendered to the shares of MYnd common stock received in a recapitalization pursuant to such Reverse Stock Split. U.S. Holders of shares of MYnd common stock acquired on different dates and at different prices should consult their tax advisors regarding the allocation of the tax basis and holding period of such shares. For more information, please see the section titled “Matters Being Submitted to a Vote of MYnd Stockholders—MYnd Stockholder Proposal No. 5: Approval of the Amendment to the Certificate of incorporation of MYnd Authorizing the Reverse Stock Split—Material U.S. Federal Income Tax Consequences of the Reverse Stock Split.”
Q: What are the material U.S. federal income tax consequences of the Merger to Emmaus stockholders?
A: Each of MYnd and Emmaus intends the Merger to qualify as a reorganization within the meaning of Section 368(a) of the Internal Revenue Code of 1986, as amended, or the Code. In general, and subject to the qualifications and limitations set forth in the section titled “The Merger—Material U.S. Federal Income Tax Consequences of the Merger,” if the Merger qualifies as a “reorganization” within the meaning of Section 368(a) of the Code, the material tax consequences to U.S. Holders of Emmaus common stock will be as follows:
| ● | an Emmaus stockholder will not recognize gain or loss upon the exchange of Emmaus common stock for MYnd common stock pursuant to the Merger, except to the extent of cash received in lieu of a fractional share of MYnd common stock as described below; |
8
| ● | an Emmaus stockholder who receives cash in lieu of a fractional share of MYnd common stock in the Merger will recognize capital gain or loss in an amount equal to the difference between the amount of cash received in lieu of a fractional share and the stockholder’s tax basis allocable to such fractional share; |
| ● | an Emmaus stockholder’s aggregate tax basis for the shares of MYnd common stock received in the Merger (including any fractional share interest for which cash is received) will equal the stockholder’s aggregate tax basis in the shares of Emmaus common stock surrendered in the Merger; and |
| ● | the holding period of the shares of MYnd common stock received by an Emmaus stockholder in the Merger will include the holding period of the shares of Emmaus common stock surrendered in exchange therefor. |
Tax matters are very complicated, and the tax consequences of the Merger to a particular Emmaus stockholder will depend on such stockholder’s circumstances. Accordingly, you are strongly urged to consult your tax advisor for a full understanding of the tax consequences of the Merger to you, including the applicability and effect of federal, state, local and non-U.S. income and other tax laws. For more information, please see the section titled “The Merger—Material U.S. Federal Income Tax Consequences of the Merger.”
Q: Who can help answer my questions?
A: If you are an MYnd stockholder and would like additional copies of this joint proxy statement/prospectus without charge or if you have questions about the Merger, including the procedures for voting your shares, you should contact Alliance Advisors LLC:
200 Broadacres Drive, 3rd Floor
Bloomfield, NJ 07003
Call Toll-Free: (844) 858-7387
If you are an Emmaus stockholder and would like additional copies of this joint proxy statement/prospectus without charge or if you have questions about the Merger, including the procedures for voting your shares, you should contact Emmaus’ information agent, Broadridge Corporate Issuer Solutions, Inc.:
Toll-Free (855) 600-2571
Email: shareholder@broadridge.com
9
This summary highlights selected information from this joint proxy statement/prospectus and may not contain all of the information that is important to you. To better understand the Merger, the Spin-Off and the proposals to be considered at the MYnd special meeting and the Emmaus special meeting, you should read this entire joint proxy statement/prospectus carefully, including the Merger Agreement, the Amended Separation Agreement and the other Annexes to this joint proxy statement/prospectus. For more information, please see the section entitled “Where You Can Find More Information” beginning on page 232 of this joint proxy statement/prospectus.
MYnd, Inc.
26522 La Alameda, Suite 290
Mission Viejo, CA 92691
(949) 420-4400
MYnd Analytics, Inc., with its wholly owned subsidiary Arcadian Telepsychiatry Services, LLC, is a technology-enabled telepsychiatry and teletherapy company that provides enhanced access to behavioral health services, improves patient outcomes and helps lower the costs associated with behavioral health issues. The MYnd Psychiatric EEG Evaluation Registry (PEER) is a predictive analytics decision support tool that helps physicians reduce trial and error treatment for behavioral health conditions. PEER provides the physician a personalized care plan with recommended treatment options based on a patient’s unique brain markers, reducing treatment time and treatment costs. Arcadian Telepsychiatry Services, LLC provides a suite of complementary telemedicine services that can be combined with PEER, including telepsychiatry, teletherapy, digital patient screening, curbside consultation, on-demand services, and scheduled encounters for all age groups. MYnd’s customers include major health plans, health systems, and community-based organizations.
Emmaus Life Sciences, Inc.
21250 Hawthorne Boulevard, Suite 800
Torrance, California 90503
(310) 214-0065
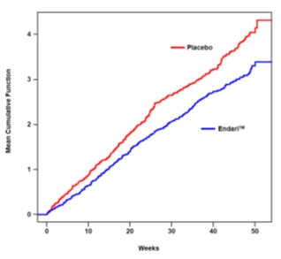
Emmaus is a commercial-stage biopharmaceutical company engaged in the discovery, development, marketing and sale of innovative treatments and therapies, primarily for rare and orphan diseases. On July 7, 2017, the U.S. Food and Drug Administration, or FDA, approved Emmaus’ lead product, Endari™ (L-glutamine oral powder), to reduce the severe complications of sickle cell disease, or SCD, in adult and pediatric patients five years of age and older, and in January 2018 we began marketing and selling Endari™ in the U.S. Endari™ has received Orphan Drug designation from the FDA and Orphan Medical designation from the European Commission, or EC, which designations afford marketing exclusivity for Endari™ for a seven-year period in the U.S. and ten-year period in the European Union, respectively, following marketing approval.
Athena Merger Subsidiary, Inc.
26522 La Alameda, Suite 290
Mission Viejo, CA 92691
(949) 420-4400
Athena Merger Subsidiary, Inc., or Merger Sub, is a wholly owned subsidiary of MYnd and was formed solely for the purposes of carrying out the Merger and has no obligations or liabilities and has not engaged in any business activities, except in connection with its incorporation and the Merger.
(see page [●])
If the Merger is completed, Merger Sub will merge with and into Emmaus, with Emmaus surviving as a subsidiary of MYnd.
At the effective time of the Merger, each outstanding share of Emmaus common stock, including shares issued upon conversion of Emmaus convertible promissory notes or other indebtedness, will be converted into the right to receive a number of shares of MYnd common stock referred to in this joint proxy statement/prospectus as the Exchange Ratio. It is currently anticipated that, based upon the current capitalization of MYnd and Emmaus, the Exchange Ratio will be approximately seven shares of MYnd common stock for each share of Emmaus common stock, without giving effect to the Reverse Stock Split. MYnd will assume each outstanding and unexercised Emmaus option and warrant (if permitted by the terms of the warrant) and any indebtedness (if permitted by the terms of the indebtedness convertible into Emmaus common stock, which will be converted into a MYnd option or warrant, as applicable), or indebtedness convertible into MYnd common stock. MYnd stockholders will continue to own and hold their existing shares of MYnd common stock and MYnd options and warrants and will remain outstanding in accordance with their terms. Immediately prior to the effective time of the Merger, each share of outstanding MYnd preferred stock will be converted into one share of MYnd common stock in accordance with the MYnd certificate of incorporation.
10
Immediately after the Merger, (i) MYnd securityholders (including holders of MYnd common stock and holders of options and warrants to purchase shares of MYnd common stock) are expected to own 5.9% of the combined company and (ii) Emmaus securityholders (including holders of Emmaus common stock, holders of options and warrants to purchase shares of Emmaus common stock and holders of convertible promissory notes and other indebtedness that is convertible into Emmaus common stock) are expected to own 94.1% of the combined company, in each case on a fully-diluted basis.
The Exchange Ratio is determined pursuant to a formula described in more detail in the Merger Agreement. For a more complete description of the Exchange Ratio, please see the section entitled “The Merger Agreement—Exchange Ratio” beginning on page 122 of this joint proxy statement/prospectus.
The closing of the Merger will occur no later than three business days after the last of the conditions to the Merger has been satisfied or waived, or at another time as MYnd and Emmaus agree. MYnd and Emmaus anticipate that the consummation of the Merger will occur promptly after the MYnd special meeting and the Emmaus special meeting, assuming MYnd stockholder approval and Emmaus stockholder approval are received. However, because the Merger is subject to a number of conditions, neither MYnd nor Emmaus can predict exactly when the closing will occur or if it will occur at all. In connection with the Merger, assuming that MYnd receives the required stockholder approval of MYnd Stockholder Proposal No. 3, MYnd will be renamed “Emmaus Life Sciences, Inc.”
The reasons for the Merger and the Spin-Off are described under the sections entitled “The Merger—MYnd Reasons for the Merger” “The Merger—Emmaus Reasons for the Merger” and beginning on pages 100 and 102, respectively, of this joint proxy statement/prospectus.
The Reverse Stock Split
The Exchange Ratio is subject to adjustment to account for the effect of a possible reverse stock split of MYnd common stock, or Reverse Stock Split, in accordance with a ratio to be determined by mutual agreement of MYnd and Emmaus, and approved by the MYnd board of directors, within a range of one share of MYnd common stock for every two to ten shares of MYnd common stock to be implemented prior to the consummation of the Merger as discussed in this joint proxy statement/prospectus.
The MYnd board of directors has adopted resolutions (i) declaring that filing an amendment to MYnd’s Certificate of Incorporation to effect the Reverse Stock Split was advisable, and (ii) directing that a proposal to approve the Reverse Stock Split be submitted to the holders of MYnd’s common and preferred stock for their approval.
The MYnd board of directors is submitting the Reverse Stock Split proposal to MYnd’s stockholders for approval with the intent of increasing the market price of MYnd’s common stock to enhance MYnd’s ability to meet the continued listing requirements of The NASDAQ Capital Market and to ensure that Emmaus will be able to meet the initial listing requirements of The NASDAQ Capital Market after consummation of the Merger. Please see the section entitled “The Reverse Stock Split” for more information.
The Spin-Off
The Merger Agreement also provides that, subject to completion of the Merger, all or substantially all of the business, assets and liabilities of MYnd is expected to be transferred to a newly formed wholly-owned subsidiary of MYnd, which is referred to as Telemynd, and holders of record of MYnd common stock and preferred stock at the close of business on July 9, 2019 are expected to receive a pro rata distribution of one share of Telemynd’s common stock or preferred stock, as applicable, for each share of MYnd common stock held at the close of business on July 9, 2019, which is referred to as the Spin-Off. In furtherance of the Spin-Off, MYnd and Telemynd entered the Amended Separation Agreement. Upon completion of the Spin-Off, Telemynd will be 100%-owned by the MYnd stockholders of record as of July 9, 2019.
11
Opinion of MYnd’s Financial Advisor
(see page [●])
ThinkEquity, a division of Fordham Financial Management, Inc., or ThinkEquity, the financial advisor of MYnd, delivered to the MYnd board of directors, a written opinion dated January 3, 2019, addressed to the MYnd board of directors, to the effect that, as of such date and based on and subject to the various assumptions, factors, qualifications and limitations set forth in the opinion, the Exchange Ratio and the Spin-Off is fair, from a financial point of view, to MYnd. The full text of this written opinion, which sets forth, among other things, the procedures followed, assumptions made, qualifications and limitations on the review undertaken and other matters considered by ThinkEquity in preparing its opinion, is attached as Annex C to this joint proxy statement/prospectus and is incorporated by reference in its entirety into this joint proxy statement/prospectus. Holders of MYnd common stock are encouraged to read the opinion carefully in its entirety. The ThinkEquity opinion was prepared for the information of the MYnd board of directors for its use in connection with its consideration of the Merger and the Spin—Off. Neither ThinkEquity’s written opinion nor the summary of its opinion and the related analyses set forth in this joint proxy statement/prospectus are intended to be, and they do not constitute, a recommendation to any stockholder as to how such stockholder should act or vote with respect to any matter relating to the Merger, the Spin-Off or any other matter.
Overview of the Merger Agreement and Agreements Related to the Merger Agreement
Immediately prior to the effective time of the Merger, each share of MYnd preferred stock issued and outstanding immediately prior to the effective time of the Merger will be converted into one share of MYnd common stock.
Merger Consideration (see page [●])
At the effective time of the Merger, upon the terms and subject to the conditions set forth in the Merger Agreement:
| ● | each share of Emmaus common stock issued and outstanding immediately prior to the effective time of the Merger, including shares issued upon conversion of Emmaus convertible promissory notes or other indebtedness, will be converted into and represent the right to receive a number of shares of MYnd common stock equal to the Exchange Ratio, as described below; and |
| ● | each share of MYnd preferred stock issued and outstanding immediately prior to the effective time of the Merger will be converted into one share of MYnd common stock. |
Immediately after the Merger, (a) MYnd securityholders (including holders of MYnd common stock and holders of options and warrants to purchase shares of MYnd common stock) are expected to own 5.9% of the combined company on a fully-diluted basis and (b) Emmaus securityholders (including holders of Emmaus common stock, holders of options and warrants to purchase shares of Emmaus common stock and holders of convertible promissory notes and other indebtedness that is convertible into Emmaus common stock) are expected to own 94.1% of the combined company.
There will be no adjustment to the total number of shares of MYnd common stock that Emmaus stockholders will be entitled to receive for changes in the market price of MYnd common stock. Accordingly, the market value of the shares of MYnd common stock issued pursuant to the Merger will depend on the market value of the shares of MYnd common stock at the time the Merger closes and could vary significantly from the market value on the date of this joint proxy statement/prospectus.
In connection with the Merger Agreement, MYnd has agreed to either transfer certain agreements to Telemynd in connection with the Spin-Off or to terminate these agreements prior to the effective time of the Merger.
Treatment of Emmaus Options (see page [●])
As of the date of this joint proxy statement/prospectus, 6,642,000 shares of Emmaus common stock were issuable upon the exercise of outstanding options at a weighted-average exercise price of $4.40 per share. At the effective time of the Merger, each option to purchase common stock of Emmaus, or an Emmaus Option, will become an option to purchase shares of common stock of MYnd. The number of shares of MYnd common stock subject to each Emmaus Option will be determined by multiplying (i) the number of shares of Emmaus common stock that were subject to the underlying Emmaus Option by (ii) the Exchange Ratio, with the resulting number rounded down to the nearest whole number of shares of MYnd common stock. The per share exercise price for the MYnd common stock subject to each Emmaus Option will be determined by dividing (a) the per share exercise price of the underlying Emmaus Option by (b) the Exchange Ratio, with the resulting number rounded up to the nearest whole cent.
12
Any restrictions on the exercise of Emmaus Options will continue in full force and effect following the conversion and the term, exercisability, vesting schedules, status as an “incentive stock option” under Section 422 of the Code, if applicable, and other provisions of the Emmaus Options will generally remain unchanged, provided, that any Emmaus Options may be subject to adjustment to reflect changes in MYnd’s capitalization after the effective time of the Merger and the MYnd board of directors or any committee thereof will succeed to the authority of the Emmaus board of directors with respect to each Emmaus Option.
Treatment of Emmaus Warrants (see page [●])
As of the date of this joint proxy statement/prospectus, 1,340,000 shares of Emmaus common stock were issuable upon the exercise of Emmaus Warrants exercisable at an exercise price of $11.30 per share. Of such Emmaus Warrants, Emmaus Warrant to purchase up to 1,220,000 shares of Emmaus common stock will be amended and restated immediately prior to the effective time of the Merger to provide that they will be exercisable to purchase up to 1,464,000 shares of Emmaus common stock at an exercise price of $10 per share. In addition, as of the date of this joint proxy statement/prospectus, 2,045,431 shares of Emmaus common stock were issuable upon the exercise of other Emmaus Warrants at a weighted-average exercise price of $6.25 per share. At the effective time of the Merger, all Emmaus Warrants will become exercisable for shares of common stock of MYnd.
With respect to each Emmaus Warrant, (i) the number of shares of MYnd common stock subject to such Emmaus Warrant will be determined by multiplying (a) the number of shares of Emmaus common stock that were subject to such Emmaus Warrant by (b) the Exchange Ratio, with the resulting number rounded down to the nearest whole number of shares of MYnd common stock, and (ii) the per share exercise price for the MYnd common stock subject to such Emmaus Warrant will be determined by dividing (a) the per share exercise price for Emmaus common stock subject to such Emmaus Warrant by (b) the Exchange Ratio, with the resulting number rounded up to the nearest whole cent.
Treatment of Emmaus Convertible Notes (see page [●])
As of the date of this joint proxy statement/prospectus, Emmaus had outstanding approximately $34.5 million principal amount of Emmaus Convertible Notes convertible into shares of Emmaus common stock at conversion prices ranging from $3.05 to $10.00 per share. None of the outstanding Emmaus Convertible Notes originally provided for their conversion into Emmaus common stock or assumption by MYnd in connection with the Merger. In order to facilitate the Merger and to satisfy its covenants in the Merger Agreement, Emmaus entered into negotiations with the holders of Emmaus Convertible Notes to amend the terms thereof to provide that they will be converted automatically into shares of Emmaus common stock at their respective conversion prices immediately prior to the effective time of the Merger, which shares would be outstanding immediately prior to the Merger and would be converted into shares of MYnd common stock in the same manner as other outstanding shares of Emmaus common stock based the Exchange Ratio. As of the date of this joint proxy statement/prospectus the holders of an aggregate of approximately $29.5 million, or approximately 86%, principal amount of Emmaus Convertible Notes, have agreed to such amendments. In connection with such amendments, the conversion price of up to approximately $15.1 million principal amount of Emmaus Convertible Notes, including Emmaus Convertible Notes held by an Emmaus director and his affiliate, has been or is expected to be reduced from $10 a share to $8.25 a share. The Merger Agreement provides that, among other conditions to MYnd’s obligations to complete the Merger, at least 90% of the Emmaus Convertible Notes become converted notes. Accordingly, Emmaus intends to continue negotiations to similarly amend the one remaining outstanding Emmaus Convertible Note. However, there is no guarantee that it will be able to do so on the same or similar terms, or at all. See the section entitled “Index To Unaudited Pro Forma Condensed Financial Statements” in this joint proxy statement/prospectus for pro forma financial information of the combined company which reflects Emmaus’ expectations regarding the amount and terms of the Emmaus Convertible Notes to be converted in connection with the Merger.
13
Treatment of Emmaus Debentures (see page [●])
As of the date of this joint proxy statement/prospectus, Emmaus had outstanding $12.2 million principal amount of debentures, or Emmaus Debentures. Emmaus and the holders of the Emmaus Debentures have entered into a securities amendment agreement pursuant to which the Emmaus Debentures will be amended and restated immediately prior to the effective time of the Merger to provide, among other things, that, the principal amount thereof will be convertible at the option of the holders into shares of Emmaus common stock at an initial conversion price of $10 per share, subject to adjustment as provided in the amended and restated Emmaus Debentures. At the effective time of the Merger, the Emmaus Debentures will become convertible into shares of common stock of MYnd.
With respect to each Emmaus Convertible Note and Emmaus Debenture, (i) the number of shares of MYnd common stock subject to such Emmaus Convertible Note and Emmaus Debenture will be determined by multiplying (a) the number of shares of Emmaus common stock that were subject to such Emmaus Convertible Note and Emmaus Debenture by (b) the Exchange Ratio, with the resulting number rounded down to the nearest whole number of shares of MYnd common stock, and (ii) the per share conversion price for the MYnd common stock subject to such Emmaus Convertible Note and Emmaus Debenture will be determined by dividing (a) the per share conversion price for Emmaus common stock subject to such Emmaus Convertible Note and Debenture by (b) the Exchange Ratio, with the resulting number rounded up to the nearest whole cent.
Conditions to the Completion of the Merger (see page [●])
To consummate the Merger, (i) the MYnd stockholders must approve the issuance of shares of MYnd common stock in the Merger, (ii) the Emmaus stockholders must adopt and approve the Merger Agreement and the Merger, (iii) the shares of MYnd common stock issuable in the Merger must be approved for listing upon notice of issuance on The NASDAQ Capital Market, or the NASDAQ Approval Condition (iv) Emmaus must have sufficient cash on hand and working capital to operate its business for at least 12 months following the Merger and at least 90% of the Emmaus Convertible Notes shall have become converted notes and (v) the shares represented by stockholders of Emmaus who have validly exercised appraisal rights or dissenters’ rights shall not exceed 20% of the outstanding voting shares of Emmaus, or the Appraisal Rights Condition.
In addition, the Merger Agreement anticipates approval of a certificate of amendment to the certificate of incorporation of MYnd (a) authorizing the MYnd board of directors to effect the Reverse Stock Split and (b) effecting a change of the MYnd name to “Emmaus Life Sciences, Inc.” In addition to obtaining such stockholder approvals and appropriate regulatory approvals, each of the other closing conditions set forth in the Merger Agreement must be satisfied or waived.
No Solicitation (see page [●])
Each of MYnd and Emmaus agreed that, subject to limited exceptions, MYnd and Emmaus will not, and will not authorize or permit any of their respective subsidiaries or any of their respective controlled affiliates, officers, directors, employees, partners, attorneys, accountants, advisors, agents or representatives of such parties or of any such party’s subsidiaries or other controlled affiliates to, directly or indirectly:
| ● | solicit, initiate, knowingly encourage, induce or facilitate the making, submission or announcement of any “acquisition proposal,” as defined below, or take any action that would reasonably be expected to lead to an acquisition proposal; |
| ● | furnish any nonpublic information regarding it to any person in connection with or in response to an acquisition proposal or an inquiry or indication of interest that could lead to an acquisition proposal; |
| ● | engage in discussions or negotiations with any person with respect to any acquisition proposal; |
| ● | approve, endorse or recommend an acquisition proposal; or |
| ● | enter into any letter of intent or similar document or any agreement contemplating or otherwise relating to an “acquisition transaction,” as defined in the Merger Agreement. |
14
However, before obtaining the applicable MYnd or Emmaus stockholder approvals required to adopt the Merger Agreement, each party may furnish nonpublic information regarding such party and its respective subsidiaries to, may enter into discussions with, or facilitate or cooperate with the submission of an acquisition proposal made by any person in response to any such acquisition proposal, that after consultation with a financial advisor and outside legal counsel, such party’s board of directors determines in good faith is, or would reasonably be expected to result in a “superior offer,” as defined in the Merger Agreement, if:
| ● | such acquisition proposal did not result from a breach of the no solicitation provisions of the Merger Agreement described above such party’s board of directors concludes in good faith, after having taken into account the advice of its outside legal counsel, that such action is required in order for the board of directors to comply with its fiduciary duty obligations to its stockholders under applicable legal requirements; |
| ● | at least two business days prior to furnishing any information or entering into discussions with a third party, such party must (i) give the other party written notice of the identity of the third party, the terms and conditions of any proposals or offers (including, if applicable, copies of any written requests, proposals or offers, including proposed agreements) made thereby and of that party’s intention to furnish information to, or enter into discussions with such third party and (ii) such party must receive from the third party an executed confidentiality agreement on terms no less favorable to such party than those in the confidentiality agreement between MYnd and Emmaus, with such new confidentiality agreement to contain customary limitations on the use and disclosure of all nonpublic written and oral information furnished to such third party on or behalf of such party (as well as customary “standstill” provisions if MYnd is the party entering into a new confidentiality agreement with the third party); and |
| ● | substantially contemporaneous with furnishing of any information to a third party, such party furnishes the same information to the other party to the extent not previously furnished. |
Termination of the Merger Agreement (see page [●])
Either MYnd or Emmaus can terminate the Merger Agreement under certain circumstances, which would prevent the Merger from being consummated.
Termination Fees (see page [●])
If the Merger Agreement is terminated under certain circumstances, MYnd or Emmaus will be required to pay the other $750,000 in termination fees. If the Merger Agreement is terminated for failure to satisfy the NASDAQ Approval Condition, Emmaus will be required to pay MYnd $1,600,000 in termination fees. In addition, MYnd or Emmaus may be required to reimburse the other party for expenses incurred in connection with the Merger, up to a maximum of $600,000.
Voting Agreements (see page [●])
The director and executive officers of Emmaus and the executive officers and directors of MYnd are parties to voting agreements with MYnd and Emmaus, respectively, whereby such parties agreed to vote in favor of certain proposals described in this joint proxy statement/prospectus, subject to the terms of the voting agreements.
Lock-Up Agreements (see page [●])
Certain officers and directors of Emmaus entered into lock-up agreements, or the Lock-Up Agreements, with Emmaus and MYnd pursuant to which the Emmaus officers and directors agreed, except in certain limited circumstances, to refrain from the following items, or the Lock-Up Restrictions, (i) offering, pledging, selling, contracting to sell, selling any option or contract purchase, purchasing any option or contract to sell, granting any option, right or warrant to purchase, making any short sale or otherwise transferring or disposing of or lending any shares of MYnd common stock or securities convertible into, exercisable or exchangeable for or that represent the right to receive MYnd common stock whether then owned or thereafter acquired, or the Lock-Up Securities, (ii) entering into any swap or other agreement that transfers, in whole or in part, any of the economic consequences of ownership of the Lock-Up Securities, (iii) making any demanded for or exercise any right with respect to the registration of any MYnd common stock or any security convertible into or exercisable or exchangeable for MYnd common stock or (iv) publicly disclosing the intention to do any of the foregoing.
The restrictions in the Lock-Up Agreements automatically terminate 120 days following the effective time of the Merger for the Emmaus officers and directors and 90 days following the effective time of the Merger for the MYnd officers and directors.
15
Management Following the Merger
(see page [●])
Effective as of the closing of the Merger, the combined company’s executive officers are expected to be the current Emmaus management team.
Interests of Certain Directors, Officers and Affiliates of MYnd and Emmaus
(see pages [●] and [●])
When considering the recommendation of the MYnd board of directors, you should be aware that MYnd’s executive officers and directors have interests in the Merger that are different from, or in addition to, your interests as a stockholder. The MYnd board of directors was aware of and considered these interests, among other matters, in evaluating and negotiating the Merger Agreement and the Merger, and in recommending that MYnd stockholders approve the MYnd Stockholder Proposals. In addition, certain of MYnd’s directors and executive officers have options and/or restricted shares, which shall vest immediately prior to the consummation of the Merger. None of MYnd’s directors and executive officers are expected to continue with the combined company following the Merger except for Robin L. Smith, who is expected to continue as a director of MYnd upon the closing of the Merger. All of MYnd’s directors and executive officers are entitled to certain indemnification and liability insurance coverage pursuant to the terms of the Merger Agreement and coverage pursuant to insurance policies maintained by MYnd. All of MYnd’s directors, including Robin L. Smith in her capacity as an advisor to Telemynd, and certain of MYnd’s officers are expected to remain directors of and officers of Telemynd and will be eligible to receive stock option grants and board fees from Telemynd. Dr. Smith also will be eligible to receive stock option grants and board fees as an ongoing director of MYnd following the Merger.
On May 30, 2019, MYnd and Dr. Smith entered into an amendment to the Chairman Services Agreement, dated July 14, 2017, by and between MYnd and Dr. Smith (or the Chairman Services Agreement) which provides that the Chairman Services Agreement will terminate at the effective time of the Merger, as required by the Merger Agreement, and that Dr. Smith will receive a $150,000 bonus, which is to be paid after, and contingent upon, the approval of the MYnd Stockholder Proposals; provided that this payment will be returned to MYnd if the Merger is not consummated for any reason.
Also on May 30, 2019, Telemynd and Dr. Smith entered into a Consultant Agreement which provides that Dr. Smith will receive a $15,000 monthly fee during the consulting term and that, upon the closing of the Spin-Off, Dr. Smith will be granted (i) an option to purchase up to 200,000 shares of common stock of Telemynd (which may be exercised at any time during the ten year period following the grant) and (ii) 100,000 restricted shares of common stock of Telemynd. The option and the restricted stock grant will vest upon the completion of Telemynd’s anticipated listing on a national securities exchange. Telemynd has also agreed to pay Dr. Smith a $100,000 bonus at the effective time of such listing.
As of May 24, 2019, the directors and executive officers of MYnd, together with their affiliates, owned approximately 34% of the outstanding shares of MYnd common stock on an as-converted to common stock basis. All of MYnd’s directors and executive officers have entered into Voting Agreements and Lock-Up Agreements in connection with the Merger.
In considering the recommendation of the Emmaus board of directors with respect to approving the Merger and related transactions by written consent, Emmaus stockholders should be aware that certain members of the board of directors and executive officers of Emmaus have interests in the Merger that may be different from, or in addition to, interests they have as Emmaus stockholders. For example, certain of Emmaus’ directors and executive officers hold Emmaus Options subject to vesting and Emmaus Warrants, which will be converted into and become MYnd Options and MYnd Warrants. All of Emmaus’ directors and executive officers are expected to continue as directors and executive officers of the combined company upon the closing of the Merger. Certain of Emmaus’ directors and executive officers also hold Emmaus Convertible Notes which are expected to be converted into shares of Emmaus common stock immediately prior to the Merger, which shares will then be converted into shares of MYnd common stock based upon the Exchange Rate in the same manner as other outstanding shares of Emmaus common stock.
16
As of April 30, 2019, the directors and executive officers of Emmaus, together with their affiliates, owned approximately 30% of the outstanding shares of Emmaus common stock. All of Emmaus’ directors and executive officers have entered into Voting Agreements and Lock-Up Agreements in connection with the Merger.
Considerations with Respect to U.S. Federal Income Tax Consequences of the Merger
(see page [●])
Each of MYnd and Emmaus intends the Merger to qualify as a reorganization within the meaning of Section 368(a) of the United States Internal Revenue Code, as amended, or the Code. Assuming the Merger qualifies as a reorganization, in general, and subject to the qualifications and limitations set forth in the section entitled “The Merger—Material U.S. Federal Income Tax Consequences of the Merger,” the material U.S. federal income tax consequences to U.S. Holders (as defined herein) of Emmaus common stock should be as follows:
| ● | an Emmaus stockholder should not recognize gain or loss upon the exchange of Emmaus common stock for MYnd common stock pursuant to the Merger, except to the extent of cash received in lieu of a fractional share of MYnd common stock as described below; |
| ● | an Emmaus stockholder’s aggregate tax basis for the shares of MYnd common stock received in the Merger (including any fractional share interest for which cash is received) should equal the stockholder’s aggregate tax basis in the shares of Emmaus common stock surrendered upon completion of the Merger; |
| ● | the holding period of the shares of MYnd common stock received by an Emmaus stockholder in the Merger should include the holding period of the shares of Emmaus common stock surrendered in exchange therefor provided the surrendered Emmaus common stock is held as a capital asset (generally, property held for investment) at the time of the Merger; and |
| ● | an Emmaus stockholder who receives cash in lieu of a fractional share of MYnd common stock in the Merger should recognize capital gain or loss in an amount equal to the difference between the amount of cash received instead of a fractional share and the stockholder’s tax basis allocable to such fractional share. |
Tax matters are very complicated, and the tax consequences of the Merger to a particular Emmaus stockholder will depend on such stockholder’s circumstances. Accordingly, you should consult your tax advisor for a full understanding of the tax consequences of the Merger to you, including the applicability and effect of federal, state, local and non-U.S. income and other tax laws. For more information, please see the section entitled “The Merger—Material U.S. Federal Income Tax Consequences of the Merger” beginning on page 17 of this joint proxy statement/prospectus.
(see page [●])
Both MYnd and Emmaus are subject to various risks associated with their businesses and their industries. In addition, the Merger, including the possibility that the Merger may not be completed, poses a number of risks to each company and its respective stockholders, including the following:
| ● | The Exchange Ratio is not adjustable based on the market price of MYnd common stock or on any relative valuations of MYnd and Emmaus, and Emmaus stockholders may not realize benefits from the Merger commensurate with the dilution in their percentage ownership of Emmaus’ business and assets they will experience in connection with the Merger; |
| ● | There is no assurance as to the market price of the combined company common stock following the Merger; |
| ● | Failure to complete the Merger may result in MYnd and Emmaus paying termination fees and expenses to the other and could harm the common stock price of MYnd and the future business, liquidity and operations of each company; |
| ● | If any of the conditions to the Merger, including the NASDAQ Approval Condition and the Appraisal Rights Condition, are not met, the Merger may not occur; |
17
| ● | Emmaus stockholders are entitled to appraisal rights in connection with the Merger, and the exercise of such rights could have a material adverse effect on the combined company’s financial condition and may interfere with the intended tax treatment of the Merger to Emmaus stockholders; |
| ● | The Merger may be completed even though material adverse changes may result from the announcement of the Merger, industry-wide changes and other causes; |
| ● | Some MYnd and Emmaus executive officers and directors have interests in the Merger that are different from yours and that may influence them to support or approve the Merger without regard to your interests; |
| ● | The combined company may need to raise capital to fund its business and operations, and there is no assurance that it will be able to do so on favorable terms, or at all; and |
| ● | During the pendency of the Merger, MYnd and Emmaus may not be able to enter into a business combination with another party, including a business combination that would be more favorable to their respective stockholders, because of restrictions in the Merger Agreement. |
These risks and other risks are discussed in greater detail under the section entitled “Risk Factors” in this joint proxy statement/prospectus. MYnd and Emmaus both encourage you to read and consider all of these risks carefully.
(see page [●])
MYnd and Emmaus must comply with applicable federal and state securities laws and the rules and regulations of The NASDAQ Capital Market in connection with the issuance of shares of MYnd common stock and the filing of this joint proxy statement/prospectus with the SEC.
National Securities Exchange Listing
(see page [●])
MYnd has filed an initial listing application for the combined company with The NASDAQ Capital Market. If such application is accepted, MYnd anticipates that MYnd common stock will be listed on The NASDAQ Capital Market following the Merger under the trading symbol “EMMA.”
Anticipated Accounting Treatment
(see page [●])
Although MYnd is the legal acquirer and will issue shares of its common stock in the Merger, Emmaus is considered the acquirer for accounting purposes.
Appraisal Rights and Dissenters’ Rights
(see page [●])
Holders of MYnd common stock are not entitled to appraisal rights in connection with the Merger.
Emmaus stockholders are entitled under Delaware law to appraisal rights in connection with the Merger. For more information about such rights, see the provisions of Section 262 of the Delaware General Corporation Law attached hereto as Annex F and the section entitled “The Merger—Appraisal Rights and Dissenters’ Rights” in this joint proxy statement/prospectus. The Merger Agreement, however, provides as a condition to the closing of the Merger, or the Appraisal Rights Condition, that Emmaus stockholders not exercise appraisal rights with respect to more than 20% of the outstanding shares of Emmaus common stock. See the section entitled “The Merger Agreement—Conditions to the Merger” in this joint proxy statement/prospectus. See also the discussion of certain risks associated with the possible exercise of appraisal rights by Emmaus stockholders in the section entitled “Risk Factors—Risks Related to the Merger” on page 21 of this joint proxy statement/prospectus.
Comparison of Stockholder Rights
(see page [●])
Both MYnd and Emmaus are incorporated under the laws of the State of Delaware and, accordingly, the rights of the stockholders of each are currently, and will continue to be, governed by the DGCL. If the Merger is completed, Emmaus stockholders will become stockholders of MYnd, and their rights will be governed by the DGCL, the bylaws of MYnd and, assuming MYnd Stockholder Proposals Nos. 4 and 5 are approved by MYnd stockholders at the MYnd special meeting, the certificate of incorporation of MYnd, as amended by the certificates of amendment attached to this joint proxy statement/prospectus as Annex D and Annex E, respectively. The rights of MYnd stockholders contained in the certificate of incorporation and bylaws of MYnd differ from the rights of Emmaus stockholders under the certificate of incorporation and bylaws of Emmaus, as more fully described under the section entitled “Comparison of Rights of Holders of MYnd Stock and Emmaus Stock” in this joint proxy statement/prospectus.
18
COMPARATIVE HISTORICAL AND UNAUDITED PRO FORMA PER SHARE DATA
The information below reflects the historical net loss and book value per share of MYnd common stock and the historical net loss and book value per share of Emmaus common stock in comparison with the unaudited net loss and book value per share of the combined company after giving effect to the Merger on a pro forma basis.
Because Emmaus has a fiscal year end of December 31 and MYnd has a fiscal year end of September 30, the following unaudited pro forma net loss and book value per share data as of September 30, 2018 was calculated using the historical condensed combined statement of operations data of MYnd for its fiscal year ended September 30, 2018 and the historical condensed combined statement of operations data of Emmaus for its fiscal year ended December 31, 2018, after giving pro forma effect to the Merger as if it had been completed on January 1, 2018.
The following unaudited pro forma net loss and book value per share data as of March 31, 2019 was calculated using the historical condensed combined statement of operations data of MYnd for its six months ended March 31, 2019 and the historical condensed combined statement of operations data of Emmaus for its three months ended March 31, 2019 and three months ended December 31, 2018, after giving pro forma effect to the Merger as if it had been completed on October 1, 2018.
The unaudited pro forma per share data is presented for illustrative purposes only and is not necessarily indicative of actual or future financial position or results of operations that would have been realized if the Merger had been completed as of the dates indicated or will be realized upon the completion of the Merger. Neither MYnd nor Emmaus declared or paid dividends during the period indicated.
| As of March 31, 2019 | As of
September 30, 2018 | |||||||
| Emmaus: | ||||||||
| Book value per share – historical | $ | (0.69 | ) | (0.32 | ) | |||
| Basic and diluted net loss per share – historical | $ | (0.93 | ) | (1.65 | ) | |||
| MYnd: | ||||||||
| Book value per share – historical | $ | 0.05 | 0.44 | |||||
| Basic and diluted net loss per share – historical | $ | (0.58 | ) | (1.86 | ) | |||
| Combined: | ||||||||
| Book value per share – pro forma | $ | 0.04 | 0.09 | |||||
| Basic and diluted net loss per share – pro forma | $ | (0.08 | ) | (0.24 | ) | |||
19
MARKET PRICE AND DIVIDEND INFORMATION
The MYnd common stock is has been listed on The NASDAQ Capital Market under the symbol “MYND” since July 14, 2017. Prior thereto, MYnd common stock was quoted under the symbol “MYAN” (and previously “CNSO”) on the OTCQB marketplace. The following table presents the range of high and low per share sales prices for the MYnd common stock as reported on The NASDAQ Stock Market for each of the periods set forth below. These per share sales prices do not give effect to the Reverse Stock Split.
| High | Low | |||||||
| Year Ended December 31, 2017 | ||||||||
| First Quarter | $ | 9.89 | $ | 6.00 | ||||
| Second Quarter | $ | 9.25 | $ | 5.90 | ||||
| Third Quarter | $ | 7.00 | $ | 5.75 | ||||
| Fourth Quarter | $ | 6.71 | $ | 3.39 | ||||
| Year Ended December 31, 2018 | ||||||||
| First Quarter | $ | 5.05 | $ | 2.80 | ||||
| Second Quarter | $ | 3.69 | $ | 1.15 | ||||
| Third Quarter | $ | 4.08 | $ | 1.20 | ||||
| Fourth Quarter | $ | 2.78 | $ | 1.16 | ||||
| Year Ended December 31, 2019 | ||||||||
| First Quarter | $ | 2.15 | $ | 0.65 | ||||
| Second Quarter (through June [●], 2019) | ||||||||
The Emmaus common stock is not traded on any established market.
The closing price of the MYnd common stock on June [●], 2019, as reported on The NASDAQ Capital Market, was $[●] per share. Because the market price of the MYnd common stock is subject to fluctuation, the market value of the shares of the MYnd common stock that Emmaus stockholders will be entitled to receive in the Merger may increase or decrease.
Assuming the successful application for initial listing with The NASDAQ Capital Market, following the consummation of the Merger, the MYnd common stock will trade on The NASDAQ Capital Market under MYnd’s new name, “Emmaus Life Sciences, Inc.,” and new trading symbol “EMMA.”
As of June 7, 2019, the record date for the MYnd Special Meeting, there were approximately [●] holders of record of the MYnd common stock. As of June 7, 2019, the record date for the Emmaus Special Meeting, there were approximately 504 holders of record of the Emmaus common stock.
MYnd has never declared or paid any cash dividends on its common stock and does not anticipate declaring or paying any cash dividends on its common stock in the foreseeable future. MYnd expects to retain all available funds and any future earnings to support operations and fund the development and growth of its business. Notwithstanding the foregoing, any determination to pay cash dividends subsequent to the Merger will be at the discretion of the combined company’s then-current board of directors and will depend upon a number of factors, including the combined company’s results of operations, financial condition, future prospects, contractual restrictions, restrictions imposed by applicable law and other actors the then-current board of directors deems relevant.
Emmaus has never paid or declared any cash dividends on the Emmaus common stock. If the Merger does not occur, Emmaus does not anticipate paying any cash dividends on the Emmaus common stock in the foreseeable future, and Emmaus intends to retain all available funds and any future earnings to fund its business and operations. Any future determination to pay dividends will be at the discretion of the Emmaus board of directors and will depend upon a number of factors, including its results of operations, financial condition, future prospects, contractual restrictions, and restrictions imposed by applicable laws and other factors the Emmaus board of directors deems relevant.
20
The Exchange Ratio is not adjustable based on the market price of MYnd common stock or on any relative valuations of MYnd or on Emmaus, and Emmaus stockholders may not realize benefits from the Merger commensurate with the dilution in their percentage ownership of Emmaus’ business and assets they will experience in connection with the Merger.
The Merger Agreement has set the Exchange Ratio formula for Emmaus common stock, and the Exchange Ratio is adjustable upward or downward based on changes in the outstanding Emmaus common stock (on a fully-diluted basis) and changes in the outstanding MYnd common stock (on a fully-diluted basis), including in connection with the proposed Reverse Stock Split prior to completion of the Merger as described in the section titled “The Merger—Merger Consideration and Adjustment” in this joint proxy statement/prospectus. The Exchange Ratio is not adjustable based on the market price of MYnd common stock or on any relative valuations of MYnd or on Emmaus, and the Merger Agreement does not include a market price-based termination right, and Emmaus stockholders may not realize benefits from the Merger commensurate with the dilution in their percentage ownership of Emmaus’ business and assets they will experience in connection with the Merger.
Failure to complete the Merger may result in MYnd and Emmaus paying a termination fee or expenses to the other party and could harm the common stock price of MYnd and future business and operations of each company.
If the Merger is not completed, MYnd and Emmaus are subject to the following risks:
| ● | if the Merger Agreement is terminated under certain circumstances, MYnd will be required to pay Emmaus a termination fee of $750,000 and to reimburse Emmaus for up to $600,000 of transaction costs and expenses; |
| ● | if the Merger Agreement is terminated under certain circumstances, Emmaus will be required to pay MYnd a termination fee of $750,000 or $1,600,000 and to reimburse MYnd for up to $600,000 of transaction costs and expenses; |
| ● | the price of MYnd stock may decline and remain volatile, which may result in MYnd being delisted from The NASDAQ Capital Market; and |
| ● | substantial costs related to the Merger, such as legal and accounting fees, which must be paid by MYnd and Emmaus even if the Merger is not completed. |
In addition, if the Merger Agreement is terminated and the MYnd board of directors or Emmaus board of directors determines to seek another business combination, there can be no assurance that either MYnd or Emmaus will be able to find a partner willing to provide equivalent or more attractive strategic alternative than the Merger.
If the conditions to the Merger are not met, the Merger may not occur.
Even if the Merger is approved by the respective stockholders of MYnd and Emmaus, other specified conditions must be satisfied or waived to complete the Merger. These conditions are set forth in the Merger Agreement and described in the section entitled “The Merger Agreement—Conditions to the Completion of the Merger” beginning on page 125 of this joint proxy statement/prospectus. For example, in addition to stockholder approval of the Merger, the parties’ representations and warranties must be materially true and correct at closing, the parties cannot have experienced a “material adverse effect,” the shares of MYnd common stock issuable in the Merger shall have been approved for listing on The NASDAQ Capital Market, and Emmaus shall have a minimum level of cash and working capital needed to fund its business for at least 12 months after the closing of the Merger. MYnd and Emmaus cannot assure you that all of the conditions will be satisfied. If either party fails to satisfy a closing condition, the Merger may not occur or may be delayed, and MYnd and Emmaus each may lose some or all of the intended benefits of the Merger, the Spin-Off and the other transactions contemplated by the Merger Agreement.
21
The Merger may be completed even though material adverse changes may result from the announcement of the Merger, industry-wide changes and other causes.
In general, either MYnd or Emmaus can refuse to complete the Merger if there is a material adverse change affecting the other party between the date of the Merger Agreement and the closing. However, certain types of changes do not permit either party to refuse to complete the Merger, even if such change could be said to have a material adverse effect on MYnd or Emmaus, including:
| ● | any change in general economic or political conditions or the securities market in general after January 4, 2019 (whether as a result of acts of terrorism, war (whether or not declared), armed conflicts or otherwise) to the extent they do not disproportionately affect either MYnd or Emmaus, taken as a whole; |
| ● | any change in or affecting the industries in which either MYnd or Emmaus operate to the extent they do not disproportionately affect MYnd or Emmaus, respectively, taken as a whole; |
| ● | any change, effect or circumstance resulting from the announcement or pendency of the Merger Agreement or the consummation of the Merger or the Spin-Off or compliance with the terms of the Merger Agreement; |
| ● | the taking of any action, or the failure to take any action, by either MYnd or Emmaus required to comply with the terms of the Merger Agreement; |
| ● | any changes in applicable laws or accounting rules after January 4, 2019; |
| ● | continued losses from operations or increases in liabilities or decreases in cash balances of Emmaus not materially inconsistent with kind and degree of losses from operations and increases in liabilities and decreases in cash balances which have occurred between December 31, 2017 and January 4, 2019; |
| ● | any failure by MYnd or Emmaus to meet any projections, forecasts or revenue or earnings projections; and |
| ● | any natural or man-made disaster or acts of God or acts of war or terrorism. |
If adverse changes occur and MYnd and Emmaus still complete the Merger, the combined company stock price may suffer. This in turn may reduce the value of the Merger to the stockholders of MYnd, Emmaus or both.
Some MYnd and Emmaus executive officers and directors have interests in the Merger that are different from yours and that may influence them to support or approve the Merger without regard to your interests.
Certain officers and directors of MYnd and Emmaus participate in arrangements that provide them with interests in the Merger that are different from yours, including, among others, the continued service as an officer or director of the combined company, continued indemnification and the potential ability to sell an increased number of shares of common stock of the combined company in accordance with Rule 144 under the Securities Act of 1933, as amended, or the Securities Act. For example, certain of MYnd’s directors and executive officers have options and restricted shares, certain of which shall vest immediately prior to the date the Merger is consummated. Robin L. Smith, MYnd’s Chairman, is expected to continue as a director of MYnd upon the closing of the Merger, and all of MYnd’s directors and executive officers are entitled to certain indemnification and liability insurance coverage pursuant to the terms of the Merger Agreement and coverage pursuant to insurance policies maintained by MYnd.
Certain of Emmaus’ directors and executive officers hold Emmaus Options subject to vesting and Emmaus Warrants, which will be converted into and become MYnd Options and MYnd Warrants. Emmaus’ directors and executive officers are expected to become directors and executive officers of MYnd upon the closing of the Merger. Certain of Emmaus’ directors and executive officers also hold Emmaus Convertible Notes with conversion prices that may be below or above the current fair value of Emmaus common stock and which are expected to be converted into shares of Emmaus common stock immediately prior to the Merger, which shares will be converted into shares of MYnd common stock based upon the Exchange Rate in the same manner as other outstanding shares of Emmaus common stock.
22
There is no assurance as to the market price of the combined company common stock following the Merger.
The common stock of Emmaus is not traded in any established market, and all or substantially all of the business assets and liabilities of MYnd will be transferred to Telemynd in the Spin-Off, and there can be no assurance as to the market price of the combined company common stock following the Merger. The market price of the combined company will be affected by a number of factors, including:
| ● | whether the combined company is able to attract securities analyst coverage; and |
| ● | whether the combined company’s business and prospects are consistent with the expectations of securities analysts. |
During the pendency of the Merger, MYnd and Emmaus may not be able to enter into a business combination with another party on favorable terms because of restrictions in the Merger Agreement, which could adversely affect their respective businesses.
Covenants in the Merger Agreement impede the ability of MYnd and Emmaus to make acquisitions, subject to certain exceptions relating to fiduciaries duties, as set forth below, or complete other transactions that are not in the ordinary course of business pending completion of the Merger. As a result, if the Merger is not completed, the parties may be at a disadvantage to their competitors during that period. In addition, while the Merger Agreement is in effect, each party is generally prohibited from soliciting, initiating, encouraging or entering into certain extraordinary transactions, such as a merger, sale of assets or other business combination, with any third party, subject to certain exceptions described below. These restrictions apply even if such transactions could be favorable to such party’s stockholders.
Emmaus stockholders are entitled to appraisal rights in connection with the Merger, and to the extent they exercise their appraisal rights, it could have a material adverse effect on the financial condition of the combined company.
The Merger Agreement provides as a condition to the closing of the Merger, or the Appraisal Rights Condition, that Emmaus stockholders not exercise appraisal rights with respect to more than 20% of the outstanding shares of Emmaus common stock. If the Appraisal Rights Condition is satisfied and the Merger is completed, to the extent Emmaus stockholders exercise their appraisal rights the combined company could be required to pay such Emmaus stockholders in cash the fair value of their Emmaus shares, as well as interest and legal fees, which could have a material, adverse effect on the financial condition of the combined company.
If the Merger does not qualify as a tax-free reorganization, the receipt of MYnd common stock pursuant to the Merger could be fully taxable to all Emmaus stockholders.
Each of MYnd and Emmaus intends the Merger to qualify as a “reorganization” within the meaning of Section 368(a) of the Code. However, completion of the Merger is not conditioned upon receipt of an opinion from counsel dated as of the closing date that the Merger qualifies as a reorganization. The tax opinion received by MYnd as of the effective date of this joint proxy statement/prospectus is based on representation letters delivered as of such date by MYnd and Emmaus pertaining to factual matters and on certain factual assumptions, including with respect to the number of Emmaus shares held by, and the amount of consideration payable to, Emmaus stockholders, if any, that exercise appraisal rights. If any of these assumptions or representations proves incorrect, for example, if there is a change in applicable law or if consideration paid to Emmaus stockholders exercising appraisal rights is significant, the Merger could be fully taxable to all Emmaus stockholders. Further, no ruling from the IRS has been or will be requested with respect to the tax consequences of the Merger. Opinions of counsel do not bind the courts or the IRS, nor will they preclude the IRS from adopting the position contrary to those expressed in the opinions. See the section entitled “The Merger—Material U.S. Federal Income Tax Consequences of the Merger” beginning on page 17 of this joint proxy statement/prospectus.
Certain provisions of the Merger Agreement may discourage third parties from submitting alternative takeover proposals, including proposals that may be superior to the arrangements contemplated by the Merger Agreement.
The terms of the Merger Agreement prohibit each of MYnd and Emmaus from soliciting alternative takeover proposals or cooperating with persons making unsolicited takeover proposals, except in limited circumstances when such party’s board of directors determines in good faith that an unsolicited alternative takeover proposal is or is reasonably likely to lead to a superior takeover proposal and is reasonably capable of being consummated and that failure to cooperate with the proponent of the proposal is reasonably likely to result in a breach of the directors’ fiduciary duties. If the Merger Agreement is terminated under certain circumstances by either MYnd or Emmaus, the terminating party will be required to pay the other party termination fees of $750,000 or $1,600,000. In addition, MYnd or Emmaus will be required in some circumstances to reimburse the other party for expenses incurred in connection with the Merger, up to a maximum of $600,000. The termination fees may discourage third parties from submitting alternative takeover proposals to MYnd or Emmaus or their stockholders and may cause the respective boards of directors to be less inclined to recommend an alternative proposal.
23
Risks Related to the Proposed Reverse Stock Split
The proposed Reverse Stock Split may not increase the combined company’s stock price over the long-term.
The principal purpose of the proposed Reverse Stock Split, if effected, would be is to increase the per-share market price of MYnd common stock. While it is expected that the reduction in the number of outstanding shares of MYnd common stock resulting from the Reverse Stock Split would proportionally increase the market price of MYnd common stock, it cannot be assured that the Reverse Stock Split will increase the market price of MYnd common stock by a multiple of the Reverse Stock Split ratio, or result in any permanent or sustained increase in the market price of MYnd common stock, which is dependent upon many factors, including the combined company’s business and financial performance, general market conditions and prospects for future success. Thus, while the stock price of the combined company might meet the continued listing requirements for The NASDAQ Capital Market initially, there is no assurance that it would continue to do so.
The proposed Reverse Stock Split may decrease the liquidity of the combined company common stock.
Although the MYnd board of directors believes that the anticipated increase in the market price of the combined company’s common stock could encourage interest in its common stock and possibly promote greater liquidity for its stockholders, such liquidity could also be adversely affected by the reduced number of shares outstanding after the proposed Reverse Stock Split. The reduction in the number of outstanding shares may lead to reduced trading and a smaller number of market makers for MYnd common stock.
The proposed Reverse Stock Split may lead to a decrease in the combined company’s overall market capitalization.
Should the market price of the combined company’s common stock decline after the proposed Reverse Stock Split, the percentage decline may be greater, due to the smaller number of shares outstanding, than it would have been prior to the proposed Reverse Stock Split. A reverse stock split may be viewed negatively by the market and, consequently, can lead to a decrease in the combined company’s overall market capitalization. If the per share market price does not increase in proportion to the proposed Reverse Stock Split ratio, then the value of the combined company, as measured by its stock capitalization, will be reduced. In some cases, the per-share stock price of companies that have effected reverse stock splits subsequently declined back to pre-reverse split levels, and accordingly, it cannot be assured that the total market value of MYnd common stock will remain the same after the proposed Reverse Stock Split is effected, or that the proposed Reverse Stock Split will not have an adverse effect on the stock price of MYnd Common due to the reduced number of shares outstanding after the proposed Reverse Stock Split.
MYnd needs immediate additional funding to support MYnd’s operations and capital expenditures, which may not be available to MYnd. This lack of availability could result in the cessation of MYnd’s business. MYnd’s recurring net losses and negative cash flows from operations raise substantial doubt about MYnd’s ability to continue as a going concern.
MYnd has not generated significant revenues or become profitable, may never do so and may not generate sufficient working capital to cover costs of operations. MYnd’s recurring net losses and negative cash flows from operations raise substantial doubt about MYnd’s ability to continue as a going concern. Historically, MYnd has been unable to pay other obligations as they become due and have been in arrears on paying certain of MYnd’s larger creditors. MYnd has a history of insolvency that requires MYnd to immediately secure additional funds to continue MYnd’s operations. Until MYnd can generate a sufficient amount of revenues to finance MYnd’s operations and capital expenditures, MYnd is required to finance MYnd’s cash needs primarily through public or private equity offerings, debt financings, borrowings or strategic collaborations. As of May 31, 2019, MYnd had approximately $3.2 in cash and cash equivalents on hand. MYnd will therefore need additional funds to continue MYnd’s operations and will need substantial additional funds before MYnd can increase demand for MYnd’s telebehavioral health services and PEER solution offering.
24
As of May 31, 2019, MYnd has issued purchase notices to Aspire Capital under the second common stock purchase agreement with Aspire Capital dated as of May 15, 2018, or the Second Purchase Agreement, to purchase an aggregate of 3,108,180 shares of common stock, resulting in gross cash proceeds of approximately $4,621,891 million. MYnd may issue an additional $5,378,109 million, up to an aggregate of $10 million, of common stock to Aspire Capital under the Second Purchase Agreement.
When MYnd elects to raise additional funds or additional funds are required, MYnd may raise such funds from time to time through public or private equity offerings, debt financings, corporate collaboration and licensing arrangements or other financing alternatives, as well as through sales of common stock to Aspire Capital under the First Purchase Agreement or Second Purchase Agreement. Additional equity or debt financing or corporate collaboration and licensing arrangements may not be available on acceptable terms, if at all. If MYnd is unable to raise additional capital in sufficient amounts or on terms acceptable to MYnd, MYnd will be prevented from pursuing acquisition, licensing, development and commercialization efforts and MYnd’s ability to generate revenues and achieve or sustain profitability will be substantially harmed.
MYnd is currently exploring additional sources of capital; however, MYnd does not know whether additional funding will be available on acceptable terms, or at all, especially given the economic conditions that currently prevail. Furthermore, any additional equity funding will likely result in significant dilution to existing stockholders, and, if MYnd incur additional debt financing in the future, a substantial portion of MYnd’s operating cash flow may be dedicated to the payment of principal and interest on such indebtedness, thus limiting funds available for MYnd’s business activities. If adequate funds are not available, it would have a material adverse effect on MYnd’s business, financial condition and/or results of operations and could cause MYnd to be required to cease operations. MYnd’s financial statements include an opinion of MYnd’s auditors that MYnd’s recurring net losses and negative cash flows from operations raise substantial doubt about MYnd’s ability to continue as a going concern.
MYnd’s independent registered public accounting firm has expressed substantial doubt about MYnd’s ability to continue as a going concern.
MYnd has experienced significant net losses and sustained negative cash flows from operations. In the twelve months ended September 30, 2018, MYnd incurred a net loss of $10.3 million and used cash for operating activities of $9.0 million. MYnd had an accumulated deficit of $85.2 million as of September 30, 2018. MYnd expects to experience further significant net losses in 2019 and the foreseeable future. These factors raise substantial doubt about MYnd’s ability to continue as a going concern for at least the next twelve months from the date of the issuance of the financial statements. As of and for the year ended September 30, 2018, MYnd’s independent registered public accounting firm has included an explanatory paragraph in their audit report raising substantial doubt about MYnd’s ability to continue as a going concern. MYnd’s consolidated financial statements do not include any adjustments that may result from the outcome of this uncertainty. If MYnd is unable to obtain adequate funding from this proposed offering or in the future, or if MYnd is unable to grow MYnd’s revenue substantially to achieve and sustain profitability, amongst other factors, MYnd may not be able to continue as a going concern, and MYnd’s shareholders may lose some or all of their investment in MYnd.
MYnd has a history of operating losses and MYnd has never been profitable.
Since MYnd’s inception, MYnd has incurred significant operating losses. As of September 30, 2018, MYnd’s accumulated deficit was approximately $85.2 million. On November 13, 2017, MYnd acquired Arcadian, a telepsychiatry and telebehavioral health company. Arcadian also has a history of significant operating losses, which represent a further obstacle to MYnd’s goal of achieving profitability.
MYnd’s future capital requirements will depend on many factors, such as the risk factors described in this section, including MYnd’s ability to maintain MYnd’s existing cost structure and to execute MYnd’s business and strategic plans, including the successful integration of the PEER solution offering with the Arcadian network. Even if MYnd achieve profitability, MYnd may be unable to maintain or increase profitability on a quarterly or annual basis.
25
Risks Related to MYnd’s Business-Telebehavioral Health
MYnd’s telebehavioral health business could be adversely affected by new state actions relating to healthcare services and telemedicine providers, which could restrict MYnd’s ability to provide the full range of MYnd’s services in certain states.
MYnd’s ability to conduct business in each state is dependent upon the state’s treatment of telehealth under each state’s laws, rules and policies governing the practice of medicine and other health care professions, which are subject to changing political, regulatory and other influences. Some state professional boards have established new rules or interpreted existing rules in a manner that limits or restricts MYnd’s ability to conduct MYnd’s business as currently conducted in other states, and it is possible that the laws and rules governing the practice of telehealth in one or more states may change in a similar manner in the future. Many states have imposed different, and, in some cases, additional, standards regarding the provision of services via telehealth. These standards often relate to particular modalities of telecommunication that are permitted or prohibited, meaning that a system MYnd has established in some states may not satisfy regulatory requirements in others. State laws are also in flux regarding the licensure required to provide services via telehealth. By way of example, certain state Medicaid programs may cover behavioral health treatment provided by psychiatric nurse practitioners, but not clinical social workers. Others provide that certain services can be provided via telehealth by a clinical social worker, but not a licensed mental health counselor. Finally, both federal and state laws impose strict standards on using telehealth to prescribe certain classes of controlled substances that can be commonly used to treat behavioral health disorders. Recently passed federal legislation will also allow for controlled substances to be prescribed in emergency situations to treat substance use disorder, and if that change results in further abuse of controlled substances instead of curbing their abuse as intended, there could be negative ramifications for the entire telebehavioral health industry. The unpredictability of this regulatory landscape means that sudden changes in policy regarding standards of care and reimbursement are possible. If this were to happen, and MYnd were unable to adapt MYnd’s business model accordingly, MYnd’s operations in such states could be disrupted, which could have a material adverse effect on MYnd’s business, financial condition and results of operations. Federal law prohibits prescribing controlled substances without a prior in-person examination unless one of a number of narrow exceptions is met, and certain states impose further restrictions which prohibit prescribing certain classes of controlled substances via telemedicine altogether.
MYnd’s telebehavioral health business is dependent on MYnd’s relationships with affiliated professional entities, which MYnd does not own, to provide physician services, and MYnd’s business would be adversely affected if those relationships were disrupted.
There is a risk that state authorities in some jurisdictions may find that MYnd’s contractual relationships with MYnd’s affiliated physicians, psychologists and other behavioral health professionals, or Providers, violate laws prohibiting the corporate practice of medicine and certain other health professions. These laws generally prohibit the practice of medicine and certain other health professions by lay persons or entities and are intended to prevent unlicensed persons or entities from interfering with or inappropriately influencing the clinician’s professional judgment. The professions subject to corporate practice restrictions and the extent to which each state considers particular actions or contractual relationships to constitute improper influence of professional judgment vary across the states and are subject to change and evolving interpretations by state boards of medicine and other health professions and state attorneys general. As such, MYnd must monitor MYnd’s compliance with laws in every jurisdiction in which MYnd operate on an ongoing basis and MYnd cannot guarantee that subsequent interpretation of the corporate practice laws will not further circumscribe MYnd’s business operations. State corporate practice restrictions also often impose penalties on health professionals for aiding a corporate practice violation, which could discourage clinicians from participating in MYnd’s network of providers. Any difficulty securing clinicians to participate in MYnd’s network could impair MYnd’s ability to provide telebehavioral health services and could have a material adverse effect on MYnd’s business.
Corporate practice restrictions exist in some form, whether by statute, regulation, professional board or attorney general guidance, or case law, in at least 42 states, though the broad variation between state application and enforcement of the doctrine makes establishing an exact count difficult. Because of the prevalence of corporate practice restrictions on medicine and psychology in particular, including in the states where MYnd predominantly conduct MYnd’s business, MYnd contract for provider services through services agreements rather than employ Providers. MYnd expects that these relationships will continue, but MYnd cannot guarantee that they will. A material change in MYnd’s relationship with the Providers, whether resulting from a dispute among the entities, a change in government regulation, or the loss of these affiliations, could impair MYnd’s ability to provide telebehavioral health services and could have a material adverse effect on MYnd’s business, financial condition and results of operations.
26
Evolving government regulations may require increased costs or adversely affect MYnd’s results of operations.
In a regulatory climate that is uncertain, MYnd’s operations may be subject to direct and indirect adoption, expansion or reinterpretation of various laws and regulations. Compliance with these future laws and regulations may require MYnd to change MYnd’s practices at an undeterminable and possibly significant initial monetary and annual expense. These additional monetary expenditures may increase future overhead, which could have a material adverse effect on MYnd’s results of operations.
MYnd has identified what MYnd believe are the areas of government regulation that, if changed, would be costly to MYnd. These include: rules governing the practice of telehealth; including the remote prescribing of controlled substance; licensure standards for behavioral health professionals; laws limiting the corporate practice of medicine and other professions; clinic licensure laws requiring health facilities to obtain a clinic license; fraud and abuse; reimbursement and false claims statutes and regulations governing the submission of health care claims; cybersecurity and privacy laws; laws and rules relating to the distinction between independent contractors and employees; and tax and other laws encouraging employer-sponsored health insurance. There could be laws and regulations applicable to MYnd’s business that MYnd has not identified or that, if changed, may be costly to MYnd, and MYnd cannot predict all the ways in which implementation of such laws and regulations may affect MYnd.
In the states in which MYnd operate, MYnd believe MYnd is in compliance with all applicable regulations, but, because of the uncertain regulatory environment, certain states may determine that MYnd is in violation of their laws and regulations. If MYnd must remedy such violations, MYnd may be required to modify MYnd’s services and solutions in such states in a manner that undermines MYnd’s solution’s attractiveness to patients or providers. MYnd may become subject to fines or other penalties or, if MYnd determine that the requirements to operate in compliance in such states are overly burdensome, MYnd may elect to terminate MYnd’s operations in such states. In each case, MYnd’s revenue may decline and MYnd’s business, financial condition and results of operations could be materially adversely affected.
Additionally, the introduction of new services may require MYnd to comply with additional, yet undetermined, laws and regulations. Compliance may require restructuring MYnd’s relationships with Providers, increasing MYnd’s security measures and expending additional resources to monitor developments in applicable rules and ensure compliance. The failure to adequately comply with these future laws and regulations may delay or possibly prevent some of MYnd’s solutions or services from being offered, which could have a material adverse effect on MYnd’s business, financial condition and results of operations.
The telebehavioral health market is immature and volatile, and if it does not develop, if it develops more slowly than MYnd expect, if it encounters negative publicity or if MYnd’s solution does not drive patient engagement, the growth of MYnd’s business will be harmed.
The telebehavioral health market is relatively new and unproven, and it is uncertain whether it will achieve and sustain high levels of demand, consumer acceptance and market adoption. MYnd’s success will depend to a substantial extent on the willingness of MYnd’s patients to use, and to increase the frequency and extent of their utilization of, MYnd’s solutions, as well as on MYnd’s ability to demonstrate the value of telebehavioral health to employers, health plans, government agencies and other purchasers of healthcare. Negative publicity concerning MYnd’s solutions or the telebehavioral health market as a whole could limit market acceptance of MYnd’s solutions. Enforcement activity throughout the telehealth industry is on the rise, after the Medicare program published findings in April 2018 that more than 30% of claims filed failed to satisfy Medicare reimbursement standards, and the Department of Justice recently issued an indictment alleging that several individuals and companies participated in a billion-dollar telemedicine fraud conspiracy. As telehealth utilization and investment continue to rise, it would not be surprising for enforcement actions to increase in kind. Such activity could certainly produce negative publicity regarding public and patient confidence in telehealth, which could negatively impact MYnd’s business. If MYnd’s patients and providers do not perceive the benefits of MYnd’s solutions, or if MYnd’s solutions do not drive patient engagement, then MYnd’s market may not develop at all, or it may develop more slowly than MYnd expect. Similarly, individual and healthcare industry concerns or negative publicity regarding patient confidentiality and privacy in the context of telehealth could limit market acceptance of MYnd’s healthcare services. If any of these events occurs, it could have a material adverse effect on MYnd’s business, financial condition or results of operations.
27
A significant portion of Arcadian’s revenue comes from a limited number of clients, the loss of which would have a material adverse effect on MYnd’s business, financial condition and results of operations.
Historically, Arcadian has relied on a limited number of clients for a substantial portion of its total revenue. MYnd relies on Arcadian’s reputation and recommendations from key clients to promote MYnd’s solution to potential new clients. In addition, mergers and acquisitions involving MYnd’s clients could lead to cancellation or non-renewal of MYnd’s contracts with those clients or by the acquiring or combining companies, thereby reducing the number of MYnd’s existing and potential clients and patients.
MYnd’s business and growth strategy depend on MYnd’s ability to maintain and expand a network of qualified providers. If MYnd is unable to do so, MYnd’s future growth would be limited and MYnd’s business, financial condition and results of operations would be harmed.
MYnd’s success is dependent upon MYnd’s continued ability to maintain a network of qualified providers. If MYnd is unable to recruit and retain board-certified Providers as needed to render telebehavioral health services in a given state, whether that requires psychiatrists, psychologists or master’s level therapists, it would have a material adverse effect on MYnd’s business and ability to grow and would adversely affect MYnd’s results of operations. In any particular market, Providers could demand higher payments or take other actions that could result in higher medical costs, extra income, e.g., only permitting clinicians with higher levels of licensure who demand higher payment rates to provide telebehavioral health services, less attractive service for MYnd’s clients or difficulty meeting regulatory or accreditation requirements. MYnd’s ability to develop and maintain satisfactory relationships with Providers also may be negatively impacted by other factors not associated with MYnd, such as changes in Medicare and/or Medicaid reimbursement levels and other pressures on healthcare providers and consolidation activity among hospitals, physician groups and the Providers. The failure to maintain or to secure new cost-effective provider contracts may result in a loss of or inability to grow MYnd’s membership base, higher costs, healthcare provider network disruptions, less attractive service for MYnd’s clients and/or difficulty in meeting regulatory or accreditation requirements, any of which could have a material adverse effect on MYnd’s business, financial condition and results of operations.
MYnd’s telebehavioral health business may give rise to medical liability claims against MYnd, which could cause MYnd to incur significant expenses and may require MYnd to pay significant damages if not covered by insurance.
MYnd’s telebehavioral health business entails the risk of malpractice and professional liability claims against both MYnd’s Providers and MYnd. Although MYnd and MYnd’s Providers carry insurance covering malpractice and professional liability claims in amounts that MYnd believe are appropriate in light of the risks attendant to MYnd’s business, successful malpractice or professional liability claims could result in substantial damage awards that exceed the limits of MYnd’s and MYnd’s Providers’ insurance coverage. The Providers each carry professional liability insurance covering $1 million per claim and $3 million in the aggregate for themselves, and MYnd separately carry a general insurance policy covering $1 million per claim and $3 million in the aggregate. In addition, professional liability insurance is expensive and insurance premiums may increase significantly in the future, particularly as MYnd expand MYnd’s services. As a result, adequate professional liability insurance may not be available to MYnd’s providers or to MYnd in the future at acceptable costs or at all.
Any claims made against MYnd that are not fully covered by insurance could be costly to defend against, result in substantial damage awards against MYnd and divert the attention of MYnd’s management and MYnd’s Providers from MYnd’s operations, which could have a material adverse effect on MYnd’s business, financial condition and results of operations. In addition, any claims may adversely affect MYnd’s business or reputation.
If MYnd’s new applications and services are not adopted by MYnd’s partners or patients, or if MYnd fails to innovate and develop new applications and services that are adopted by MYnd’s patients, MYnd’s revenue and results of operations will be adversely affected.
MYnd’s longer-term results of operations and continued growth will depend on MYnd’s ability successfully to develop and market new applications and services that patients want and are willing to purchase. In addition MYnd will invest significant resources in research and development to enhance MYnd’s solution and introduce new high-quality applications and services. If patients are not willing to make additional payments for such new applications, or if new patients do not value such new applications, it could have a material adverse effect on MYnd’s business, financial condition and results of operations. If MYnd is unable to predict user preferences or if MYnd’s industry changes, or if MYnd is unable to modify MYnd’s solution and services on a timely basis, patients may not patronize MYnd or the Providers. MYnd’s results of operations would also suffer if MYnd’s innovations were not responsive to the needs patients, appropriately timed with market opportunity or effectively brought to market.
28
If MYnd’s arrangements with Providers or MYnd’s partners are found to violate state laws prohibiting the corporate practice of medicine and other professions or fee-splitting, MYnd’s business, financial condition and MYnd’s ability to operate in those states could be adversely impacted.
The laws of many states, including states in which MYnd’s partners may be located prohibit MYnd from exercising control over the medical judgments or decisions of psychiatrists and certain other providers and from engaging in certain financial arrangements, such as splitting professional fees with behavioral health professionals. These laws and their interpretations vary from state to state and are enforced by state courts and regulatory authorities, each with broad discretion. MYnd enter into agreements with certain of MYnd’s providers pursuant to which they render professional medical services. In addition, MYnd may enter into contracts with MYnd’s providers to deliver professional services in exchange for fees. These contracts include management services agreements with MYnd’s affiliated physician organizations pursuant to which the physician organizations reserve exclusive control and responsibility for all aspects of the practice of medicine and the delivery of medical services. Although MYnd seek to comply with applicable state prohibitions on the corporate practice of medicine and fee splitting, state officials who administer these laws or other third parties may successfully challenge MYnd’s existing organization and contractual arrangements. If such a claim were successful, MYnd could be subject to civil and criminal penalties and could be required to restructure or terminate the applicable contractual arrangements. A determination that these arrangements violate state statutes, or MYnd’s inability to successfully restructure MYnd’s relationships with MYnd’s providers to comply with these statutes, could eliminate clients located in certain states from the market for MYnd’s services, as well as complicate MYnd’s efforts to secure qualified clinicians to participate in MYnd’s network. Either outcome could have a materially adverse effect on MYnd’s business, financial condition and results of operations.
If MYnd’s providers are characterized as employees, MYnd would be subject to employment and withholding liabilities.
MYnd structure MYnd’s relationships with the Providers in a manner that MYnd believe results in an independent contractor relationship, not an employee relationship. An independent contractor is generally distinguished from an employee by his or her degree of autonomy and independence in providing services. A high degree of autonomy and independence is generally indicative of a contractor relationship, while a high degree of control is generally indicative of an employment relationship. Although MYnd believe that the Providers are properly characterized as independent contractors, tax or other regulatory authorities may in the future challenge MYnd’s characterization of these relationships. If such regulatory authorities or state, federal or foreign courts were to determine that MYnd’s providers are employees, and not independent contractors, MYnd would be required to withhold income taxes, to withhold and pay Social Security, Medicare and similar taxes and to pay unemployment and other related payroll taxes. MYnd would also be liable for unpaid past taxes and subject to penalties. As a result, any determination that the Providers are MYnd’s employees could have a material adverse effect on MYnd’s business, financial condition and results of operations.
Certain state tax authorities may assert that MYnd has a state nexus and seek to impose state and local income taxes which could adversely affect MYnd’s results of operations.
MYnd is currently licensed to operate MYnd’s telebehavioral health business in four states and file state income tax returns in four states. There is a risk that certain state tax authorities where MYnd does not currently file a state income tax return could assert that MYnd is liable for state and local income taxes based upon income or gross receipts allocable to such states. States are becoming increasingly aggressive in asserting a nexus for state income tax purposes. MYnd could be subject to state and local taxation, including penalties and interest attributable to prior periods, if a state tax authority successfully asserts that MYnd’s activities give rise to a nexus. Such tax assessments, penalties and interest may adversely affect MYnd’s results of operations.
29
MYnd’s sales and implementation cycle can be long and unpredictable and requires considerable time and expense, which may cause MYnd’s results of operations to fluctuate.
The sales cycle for MYnd’s solutions from initial contact with a potential lead to contract execution and implementation, varies widely by client. Some of MYnd’s clients undertake a significant and prolonged evaluation process, including to determine whether MYnd’s services meet their unique healthcare needs, which frequently involves evaluation of not only MYnd’s solutions but also an evaluation of those of MYnd’s competitors, which has in the past resulted in extended sales cycles. MYnd’s sales efforts involve educating MYnd’s clients about the use, technical capabilities and potential benefits of MYnd’s solution. Moreover, MYnd’s large enterprise clients often begin to deploy MYnd’s solutions on a limited basis, but nevertheless demand extensive configuration, integration services and pricing concessions, which increase MYnd’s upfront investment in the sales effort with no guarantee that these clients will deploy MYnd’s solutions widely enough across their organization to justify MYnd’s substantial upfront investment. It is possible that in the future MYnd may experience even longer sales cycles, more complex client needs, higher upfront sales costs and less predictability in completing some of MYnd’s sales as MYnd continues to expand MYnd’s direct sales force, expand into new territories and market additional applications and services. If MYnd’s sales cycle lengthens or MYnd’s substantial upfront sales and implementation investments do not result in sufficient sales to justify MYnd’s investments, it could have a material adverse effect on MYnd’s business, financial condition and results of operations.
The telehealth market is competitive, and if MYnd is not able to compete effectively, MYnd’s business, financial condition and results of operations will be harmed.
While the telehealth market is in an early stage of development, it is competitive and MYnd expects it to attract increased competition, which could make it difficult for MYnd to succeed. MYnd currently face competition in the telehealth industry for MYnd’s solutions from a range of companies, including specialized software and solution providers that offer similar solutions, often at substantially lower prices, and that are continuing to develop additional solutions and becoming more sophisticated and effective. Competition from specialized software and solution providers, health plans and other parties will result in continued pricing pressures, which is likely to lead to price declines in certain solution segments, which could negatively impact MYnd’s sales, profitability and market share.
Some of MYnd’s competitors may have greater name recognition, longer operating histories and significantly greater resources than MYnd do. Further, MYnd’s current or potential competitors may be acquired by third parties with greater available resources. As a result, MYnd’s competitors may be able to respond more quickly and effectively than MYnd can to new or changing opportunities, technologies, standards or customer requirements and may have the ability to initiate or withstand substantial price competition. In addition, current and potential competitors have established, and may in the future establish, cooperative relationships with vendors of complementary solutions, technologies or services to increase the availability of their solutions in the marketplace. Accordingly, new competitors or alliances may emerge that have greater market share, a larger customer base, more widely adopted proprietary technologies, greater marketing expertise, greater financial resources and larger sales forces than MYnd have, which could put MYnd at a competitive disadvantage. MYnd’s competitors could also be better positioned to serve certain segments of the telehealth market, which could create additional price pressure. In light of these factors, even if MYnd’s solutions are more effective than those of MYnd’s competitors, current or potential clients may accept competitive solutions in lieu of purchasing MYnd’s solutions. If MYnd is unable to successfully compete in the telehealth market, MYnd’s business, financial condition and results of operations could be materially adversely affected.
MYnd is subject to evolving and expensive corporate governance regulations and requirements. Management has determined that there is a material weakness in MYnd’s internal controls and procedures under the standards of the Public Company Accounting Oversight Board or PCAOB. MYnd’s failure to adequately adhere to these requirements or the failure or circumvention of MYnd’s internal controls and procedures could seriously harm MYnd’s business.
Because MYnd is a publicly traded company MYnd is subject to certain federal, state and other rules and regulations, including applicable requirements of the Sarbanes-Oxley Act of 2002. Compliance with these evolving regulations is costly and requires a significant diversion of management time and attention, particularly with regard to MYnd’s disclosure controls and procedures and MYnd’s internal control over financial reporting. Faulty judgments, simple errors or mistakes, or the failure of MYnd’s personnel to adhere to established controls and procedures may make it difficult for MYnd to ensure that the objectives of the control system are met. A failure of MYnd’s controls and procedures to detect other than inconsequential errors or fraud could seriously harm MYnd’s business and results of operations.
30
As of September 30, 2018, management assessed the effectiveness of MYnd’s internal control over financial reporting based on the criteria for effective internal control over financial reporting, and determined that there continues to be a material weakness in MYnd’s internal controls and procedures. The matter involving internal controls and procedures that MYnd’s management considered to be a material weakness under the standards of the Public Company Accounting Oversight Board was a lack of a sufficient complement of personnel with a level of accounting expertise and an adequate supervisory review structure that is commensurate with MYnd’s financial reporting requirements. Management has been continuing, since September 30, 2017, to attempt to remedy the material weakness, but has been unable to identify sufficient personnel or to implement adequate improvements. A material weakness is a significant deficiency, or combination of significant deficiencies, that results in more than a remote likelihood that a material misstatement of the annual or interim financial statements will not be prevented or detected. Failure to provide effective internal controls may cause investors to lose confidence in MYnd’s financial reporting and may negatively affect the price of MYnd’s common stock. Moreover, effective internal controls are necessary to produce accurate, reliable financial reports and to prevent fraud. If deficiencies in MYnd’s internal controls over financial reporting continue, these deficiencies may negatively impact MYnd’s business and operations.
Taxing authorities may successfully assert that MYnd should have collected or in the future should collect sales and use or similar taxes which could adversely affect MYnd’s results of operations.
MYnd does not collect sales and use and similar taxes in any states based on MYnd’s belief that MYnd’s services are not subject to such taxes in any state. Sales and use and similar tax laws and rates vary greatly from state to state. Certain states in which MYnd does not collect such taxes may assert that such taxes are applicable, which could result in tax assessments, penalties and interest with respect to past services, and MYnd may be required to collect such taxes for services in the future. Such tax assessments, penalties and interest or future requirements may adversely affect MYnd’s results of operations.
Economic uncertainties or downturns in the general economy or the industries in which MYnd’s clients operate could disproportionately affect the demand for MYnd’s telebehavioral health solution and negatively impact MYnd’s results of operations.
General worldwide economic conditions have experienced significant downturns during the last ten years, and market volatility and uncertainty remain widespread, making it potentially very difficult for MYnd’s clients and MYnd to accurately forecast and plan future business activities. During challenging economic times, MYnd’s clients may have difficulty gaining timely access to sufficient credit or obtaining credit on reasonable terms, which could impair their ability to make timely payments to MYnd and adversely affect MYnd’s revenue. If that were to occur, MYnd’s financial results could be harmed. Further, challenging economic conditions may impair the ability of MYnd’s clients to pay for the applications and services they already have purchased from MYnd and, as a result, MYnd’s write-offs of accounts receivable could increase. MYnd cannot predict the timing, strength or duration of any economic slowdown or recovery. If the condition of the general economy or markets in which MYnd operate worsens, MYnd’s business could be harmed.
Risks Related to MYnd’s Business-Predictive Medicine (PEER)
If MYnd’s PEER Reports do not gain widespread market acceptance, MYnd may not be able to achieve the level of sales required for growth, and MYnd’s business, financial condition and results of operations would be harmed.
MYnd has developed a methodology that aids psychiatrists and other physicians in selecting appropriate and effective medications for patients with certain behavioral or addictive disorders based on physiological traits of the patient’s brain and information contained in a proprietary database that has been developed over approximately the last twenty-five years. MYnd began selling reports, referred to as rEEG Reports, based on MYnd’s methodology in 2000; these reports have since been rebranded as PEER Reports. To date, MYnd has not received widespread market acceptance of the usefulness of MYnd’s PEER Reports in helping psychiatrists and other physicians inform their treatment strategies for patients suffering from behavioral and/or addictive disorders and MYnd currently rely on a limited number of employees to market and promote MYnd’s PEER Reports. To grow MYnd’s business, MYnd will need to develop and introduce new sales and marketing programs and clinical education programs to promote the use of MYnd’s PEER Reports by psychiatrists and other physicians and hire additional employees for this purpose which MYnd is in the process of doing. If MYnd does not implement these new sales and marketing and education programs in a timely and successful manner, MYnd may not be able to achieve the level of market awareness and sales required to expand MYnd’s business, which could also negatively impact MYnd’s stock price, financial condition and results of operations.
31
MYnd’s PEER Reports may not be as effective as MYnd believe them to be, which could limit or prevent MYnd from growing MYnd’s revenues. If the results of MYnd’s clinical trials are not significant, MYnd may not be able to continue to fund MYnd’s development efforts.
MYnd’s belief in the efficacy of MYnd’s PEER Online technology is based on a finite number of successful studies. Such results may not be statistically significant in future studies and may not be indicative of the long-term future efficacy of the information MYnd provide. Controlled scientific studies, including those that have already been announced and that are planned for the future, may yield results that are unfavorable or demonstrate that MYnd’s services, including MYnd’s PEER Reports, are not clinically useful. While MYnd has not experienced such problems to date, if the initially indicated results cannot be successfully replicated or maintained over time, utilization of services based on MYnd’s PEER Online technology, including the delivery of MYnd’s PEER Reports, may not increase as MYnd anticipate, which would harm MYnd’s operating results and stock price. In addition, if MYnd fails to upgrade MYnd’s PEER Online database to account for new medications that are now available on the market, psychiatrists and other physicians may be less inclined to utilize MYnd’s services if they believe that MYnd’s reports only provide information about older treatment options, which would further harm MYnd’s operating results and stock price. In August of 2016, MYnd commenced enrolling patients into a new clinical trial. The trials are designed as a double-blind trial for military patients with a primary diagnosis of depression and other psychological comorbidity. MYnd does not know whether the ultimate results of the trial will be successful. There are many factors beyond MYnd’s control that could affect the success of the trials, including difficulty in registering more subjects, failures of investigators to follow the proper protocol, and external factors affecting patient health, among others. If MYnd fails to receive significant positive results for these trials, doctors may not be willing to use MYnd’s services and MYnd’s ability to generate revenue and to continue the PEER Online program, if at all, could be limited.
The FDA believes that rEEG and, potentially, MYnd’s PEER Online service, constitute a medical device, which is subject to regulation by the FDA. The FDA has informed MYnd that MYnd’s marketing of MYnd’s rEEG services without prior approval or re-classification by the FDA constitutes a violation of the Federal Food, Drug and Cosmetic Act. MYnd believe that MYnd’s PEER Online service is a class 1 medical device, subject to minimal FDA oversight. As MYnd continues to market MYnd’s PEER Online service, there is risk that the FDA will determine that the service is a device that requires premarket clearance, commence an enforcement action against MYnd.
Since April of 2008, MYnd has been engaged in discussions with the FDA regarding its position that MYnd’s rEEG service and its successor, now called PEER Online, constitute a medical device which is subject to regulation by the FDA. On April 10, 2008, MYnd received correspondence from the FDA in which the FDA indicated it believed, based in part on the combination of certain marketing statements it read on MYnd’s website, together with the delivery of MYnd’s rEEG Reports, that MYnd were selling a software product to aid in diagnosis, which constituted a “medical device” requiring pre-market approval or 510(k) clearance by the FDA pursuant to the Federal Food, Drug and Cosmetic Act, or the Act, which MYnd contested.
Based upon written guidance from the FDA’s Center for Devices and Radiological Health, or the Center, MYnd chose to submit an application to obtain 510(k) clearance for MYnd’s rEEG service, without waiving MYnd’s right to continue to take the position that MYnd’s services do not constitute a medical device. MYnd sought review of MYnd’s rEEG service based upon its equivalence to predicate devices that already have FDA clearance which appeared to represent a sound mechanism to reduce regulatory risks.
The Company successfully registered its PEER Outcome database as a Class I Exempt Device within the category of Medical Device Data System, Section 860.6310. The Company continued its engagement with Center staff over the potential for a regulatory pathway for PEER Online as a Class II medical device, based on the Center’s recommendation that military use of PEER Online move forward under an Investigational Device Exemption, or the IDE, to provide additional data to support a successful 510(k) filing.
32
The Company is proceeding with two clinical trials based substantially on the Walter Reed PEER Trial protocol in an effort to replicate and expand the result achieved during the Walter Reed PEER Trial. One clinical trial with the Canadian Armed Forces commenced enrollment of patients in August of 2016. A second clinical trial with a large provider group has been through the training phase of the trial and is expected to commence enrolling patients in the next few months. At this time MYnd cannot predict the results or the success of any of these trials. MYnd can offer no assurances that the FDA will not insist on pre-market approval in the future, or that the data, which will be included in MYnd’s future submissions to the FDA, do not raise any important new issues that could materially affect the safety or effectiveness of MYnd’s PEER service. The inability to enroll sufficient subjects or the receipt of inconclusive results from MYnd’s new clinical trials would have a material adverse effect on MYnd’s ability to expand MYnd’s operations. MYnd currently intend to continue marketing as a non-device cloud-based neuromeric service branded as PEER Reports, under MYnd’s Class I registration, while MYnd pursue the additional clinical trials and consider submission of a Class II device premarket application in the future. If MYnd continues to market MYnd’s PEER Reports and the FDA determines that MYnd should be subject to further FDA regulation as a Class II medical device, it could seek enforcement action against MYnd based upon its position that MYnd’s PEER Reports constitute a medical device as a result of which MYnd could be forced to cease MYnd’s marketing activities and pay fines and penalties, which would have a material adverse impact on MYnd.
In addition to the foregoing, federal and state laws and regulations relating to the sale of MYnd’s neurometric services are subject to future changes, as are administrative interpretations of regulatory agencies. If federal and state laws and regulations change, MYnd may need to incur additional costs to seek government approvals for the sale of MYnd’s neurometric services.
If government and third-party payors fail to provide coverage and adequate payment rates for treatments that are guided by MYnd’s PEER Reports, MYnd’s revenue and prospects for profitability will be harmed.
MYnd’s future revenue growth will depend in part upon the availability of reimbursement from third-party payors for psychiatrists and other physicians who use MYnd’s PEER Reports to guide the treatment of their patients. Such third-party payors include government health programs such as Medicare and Medicaid, managed care providers, private health insurers and other organizations. These third-party payors are increasingly attempting to contain healthcare costs by demanding price discounts or rebates and limiting both coverage on which procedures they will pay for and the amounts that they will pay for new procedures. As a result, they may not cover or provide adequate payment for treatments that are guided by MYnd’s PEER Reports, which will discourage psychiatrists and other physicians from utilizing the information services MYnd provide. MYnd may need to conduct studies in addition to those MYnd has already announced to demonstrate the cost-effectiveness of treatments that are guided by MYnd’s solutions and services to such payors’ satisfaction. Such studies might require MYnd to commit a significant amount of management time and financial and other resources. Adequate third-party reimbursement might not be available to enable MYnd to realize an appropriate return on investment in research and product development and the lack of such reimbursement could have a material adverse effect on MYnd’s operations and could adversely affect MYnd’s revenues and earnings.
Although state Medicaid programs and commercial insurers are increasingly paying for healthcare services provided via telehealth, including telebehavioral health, reimbursement by the Medicare program remains limited. Medicare reimbursement is an important consideration for any provider of healthcare services in the United States, as Medicare accounted for twenty percent (20%) of all health expenditures in the United States in 2016, and the Centers for Medicare & Medicaid Services expect that figure to rise annually through at least 2025. It is uncertain if and when Medicare might adopt telehealth reimbursement standards that allow for reimbursement of telebehavioral health services generally. If Medicare does not loosen its telehealth reimbursement standards, MYnd’s telehealth services may not be reimbursable by Medicare and there could be a material adverse effect on MYnd’s ability to provide services to a significant portion of the American population, which could have a material adverse effect on MYnd’s business, financial condition and results of operations.
Billing complexities associated with obtaining payment or reimbursement for MYnd’s tests may negatively affect MYnd’s revenue, cash flow and profitability.
The Company derives revenue from the PEER Report process, which includes the EEG, the QEEG, and the PEER Report, for which MYnd bill on a fee-for-service basis, including reimbursements by third-party payors, such as Medicare, Medicaid and other governmental payor programs, hospitals, private insurance plans and managed care organizations and direct payments from individual patients. Billing for PEER Report testing services is generally highly complex. MYnd conduct MYnd’s own internal billing and work closely with third-party providers to ensure accuracy of billing, timely collections, and resolution of appeals and billing discrepancies.
33
Depending on MYnd’s billing arrangement with each third-party payor and applicable law, MYnd is often obligated to bill in the specific manner prescribed by the various payors, each of which may have different requirements. Among the potential factors complicating MYnd’s billing of third-party payors are:
| ● | disputes among payors regarding which party is responsible for payment; |
| ● | disparity in coverage among various payors; |
| ● | different process, information, technical and billing requirements among payors; and |
| ● | incorrect or missing billing information. |
MYnd also face risks in MYnd’s collection efforts, including potential write-offs of doubtful accounts and long collection cycles for accounts receivable.
Additionally, from time to time, payors change processes that may affect timely payment. These changes may result in uneven cash flow or impact the timing of revenue recognized with these payors. With respect to payments received from governmental programs, factors such as a prolonged government shutdown could cause significant regulatory delays or could result in attempts to reduce payments made to MYnd by government healthcare programs. These billing complexities, and the related uncertainty in obtaining payment for PEER Report testing services, could negatively affect MYnd’s revenue, cash flow and profitability. In addition, increases in write-offs of doubtful accounts, delays in receiving payments or potential retroactive adjustments and penalties resulting from audits by payors could adversely affect MYnd’s business, results of operations and financial condition.
Changes in laws, regulations, payor policies or contracting arrangements with payors may adversely affect coverage or reimbursement for PEER Report services, which may decrease MYnd’s revenue and adversely affect MYnd’s results of operations and financial condition.
Governmental payors, as well as private insurers, and other private payors have implemented and will continue to implement measures to control the cost, utilization and delivery of healthcare services, including laboratory services. Congress has from time to time considered and implemented changes to laws and regulations governing healthcare service providers, including specialized diagnostic service providers. These changes have adversely affected and may in the future adversely affect coverage for laboratory services, including the PEER Report and PGx testing services MYnd provide. MYnd also believe that healthcare professionals may not use the PEER Report if third-party payors do not provide adequate coverage and reimbursement for them.
Reimbursement to healthcare providers, such as specialized analytic service providers, are subject to continuing change in policies by governmental payors, such as Medicare and Medicaid, private insurers, including managed care organizations, and other private payors, such as hospitals and private medical groups.
As a Medicare-participating independent diagnostic testing facility based in California, MYnd bill Noridian Healthcare Solutions, or Noridian, the Medicare Administrative Contractor, or MAC, for California, and are subject to Noridian’s local coverage and reimbursement policies. Reductions in coverage could decrease MYnd’s average Medicare reimbursement rate per sample.
The provision of health care services through any kind of clinic, facility, storefront or other location open to the public is often subject to state clinic licensure laws akin to those that health facilities like hospitals, surgery centers and urgent care clinics must obtain and maintain. The Company does not operate or promote any physical place to obtain healthcare and therefore does not believe it is subject to any clinic licensure requirements, but the application of some of these laws to MYnd and telehealth is unclear and subject to differing interpretation given MYnd’s status for Medicare purposes as an independent diagnostic testing facility.
In addition, reimbursement from governmental payors is subject to statutory and regulatory changes, retroactive rate adjustments and administrative rulings, and other policy changes, all of which could materially decrease the range of services for which MYnd is reimbursed or the reimbursement rates paid for PEER Report services.
Finally, some private insurers and other third-party payors link their rates to Medicare’s reimbursement rates, and a reduction in Medicare reimbursement rates for PEER Report services could result in a corresponding reduction in the reimbursements MYnd receive from such third-party payors. Any reductions in reimbursement levels for the PEER Report would decrease MYnd’s revenue and adversely affect MYnd’s results of operations and financial condition.
34
Operating as a non-contracting provider with certain payors may adversely affect MYnd’s results of operations and financial condition, and contracting with those payors may be disadvantageous to MYnd.
MYnd is currently considered to be an out-of-network or “non-contracting provider” by a number of third-party payors because MYnd has not entered into a specific contract to provide PEER Report services to their insured patients at specified rates of reimbursement. MYnd is generally subject to reimbursement as a non-contracting provider. As a non-contracting provider, many payors pay MYnd a smaller percentage of MYnd’s charges that they recognize to be reasonable, and expect MYnd to collect greater coinsurance or copayments from patients. Rather than collecting these higher coinsurance and copayment amounts from these patients, when permitted by law to do so, MYnd may, if permissible under applicable law, instead choose to charge them only the lower coinsurance and copayments amounts that would have applied to them if MYnd had been contracted with their payor, which results in decreased revenues. In instances where MYnd may be prohibited by law from treating these patients as if MYnd were in-network, thus requiring these patients to pay higher coinsurance or copayments to MYnd, MYnd’s customers may decide to reduce or avoid prescribing PEER Report services for such patients, which could adversely affect MYnd’s results of operations and financial condition.
Should any of the third-party payors with whom MYnd is not contracted insist that MYnd enter into a contract for the PEER Report services MYnd provide, the resulting contract may contain pricing and other terms that are materially less favorable to MYnd than the terms under which MYnd currently operate. If revenue from a particular payor grows, there is heightened risk that such a third-party payor will insist that MYnd enter into contractual arrangements that contain such terms. If MYnd refuse to enter into a contract with such a third-party payor, they may refuse to cover and reimburse for PEER Report services, which may lead to a decrease in report volume and a corresponding decrease in MYnd’s revenues. If MYnd contract with such a third-party payor, although MYnd’s report volume may increase as a result of the contract, MYnd’s revenue per report under the contractual agreement and gross margin may decrease. The overall net result of contracting with third-party payors may adversely affect MYnd’s business, results of operations and financial condition.
Regulations relating to the sale of MYnd’s PEER Reports are constantly changing and in the future, MYnd’s business may be subject to additional regulations that will increase MYnd’s compliance costs.
Federal, state and foreign laws and regulations relating to the sale of MYnd’s PEER Reports are subject to future changes, as are administrative interpretations of regulatory agencies. If MYnd fails to comply with applicable federal, state or foreign laws or regulations, MYnd could be subject to enforcement actions, including injunctions that would prevent MYnd from conducting MYnd’s business, withdrawal of clearances or approvals and civil and criminal penalties. If federal, state, and foreign laws and regulations change, MYnd may need to incur additional costs to seek government approvals, in addition to the clearance from the FDA if MYnd so chose, to sell or market MYnd’s PEER Online service. There is no guarantee that MYnd will be able to obtain such approvals in a timely manner or at all, and as a result, MYnd’s business would be significantly harmed.
MYnd’s business practices may be found to constitute illegal fee-splitting or violate corporate practice restrictions, which may lead to penalties and adversely affect MYnd’s business.
Many states, including California, in which MYnd’s principal executive offices are located, and where MYnd and MYnd’s Providers operate, have laws that prohibit a general corporation as opposed to a professional corporation, from practicing medicine and certain other healthcare professions such as psychology, exercising control over medical judgments or decisions of behavioral health professionals, or engaging in certain arrangements, such as employment or fee-splitting, with professionals. MYnd has addressed strong corporate practice state prohibitions through management services agreements with Providers under which the Providers are paid directly by payors for professional services and the Providers pay MYnd under the management services agreements for MYnd’s non-clinical services. Although MYnd calibrate these management fees to comply with fee-splitting statutes, in many states those fee-splitting statutes are ambiguous and therefore could be used to challenge MYnd’s arrangements with the Providers. If asserted, such claims could subject MYnd to civil and criminal penalties and substantial legal costs, could result in MYnd’s contracts being found legally invalid and unenforceable, in whole or in part, or could result in MYnd being required to restructure MYnd’s contractual arrangements, all with potentially adverse consequences to MYnd’s business and MYnd’s stockholders.
35
If MYnd does not maintain and expand MYnd’s relationships in the psychiatric and physician community, MYnd’s growth will be limited and MYnd’s business could be harmed. If psychiatrists and other physicians do not recommend and endorse MYnd’s solutions and services, MYnd may be unable to increase MYnd’s sales, and in such instances, MYnd’s profitability would be harmed.
MYnd’s relationships with psychiatrists and other physicians are critical to the growth of MYnd’s neurometric Services business. MYnd believe that these relationships are based on the quality and ease of use of MYnd’s PEER Reports, MYnd’s commitment to the behavioral health market, MYnd’s marketing efforts and MYnd’s presence at tradeshows. Any actual or perceived diminution in MYnd’s reputation or the quality of MYnd’s PEER Reports, or MYnd’s failure or inability to maintain MYnd’s commitment to the behavioral health market and MYnd’s other marketing and solution promotion efforts could damage MYnd’s current relationships, or prevent MYnd from forming new relationships, with psychiatrists and other physicians and cause MYnd’s growth to be limited and MYnd’s business to be harmed.
To sell MYnd’s PEER Reports, psychiatric professionals must recommend and endorse them. MYnd may not obtain the necessary recommendations or endorsements from this community. Acceptance of MYnd’s PEER Reports depends on educating psychiatrists and other physicians as to the benefits, clinical efficacy, ease of use, revenue opportunity and cost-effectiveness of MYnd’s PEER Reports and on training the medical community to properly understand and utilize MYnd’s PEER Reports. If MYnd is not successful in obtaining the recommendations or endorsements of psychiatrists and other physicians for MYnd’s PEER Reports, MYnd may be unable to increase MYnd’s sales and profitability.
Negative publicity or unfavorable media coverage of MYnd’s PEER technology could damage MYnd’s reputation and harm MYnd’s operations.
If the marketplace perceives MYnd’s PEER Reports as not offering the benefits which MYnd believe they offer, MYnd may receive significant negative publicity. This publicity may result in litigation and increased regulation and governmental review. If MYnd were to receive such negative publicity or unfavorable media attention, whether warranted or unwarranted, MYnd’s ability to market MYnd’s PEER Reports would be adversely affected, MYnd may be required to change MYnd’s solutions and services and become subject to increased regulatory burdens and MYnd may be required to pay large judgments or fines and incur significant legal expenses. Any combination of these factors could further increase MYnd’s cost of doing business and adversely affect MYnd’s financial position, results of operations and cash flows.
If MYnd does not successfully generate additional solutions and services from MYnd’s patented methodology and proprietary database, or if such solutions and services are developed but not successfully commercialized, then MYnd could lose revenue opportunities.
The current focus of MYnd’s predictive medicine business is the sale of PEER Reports to psychiatrists and other physicians based on MYnd’s PEER Online methodology and proprietary database. If MYnd does not successfully generate additional solutions and services from MYnd’s patented methodology and proprietary database, or if such solutions and services are developed but not successfully commercialized, then MYnd could lose revenue opportunities.
MYnd’s industry is highly competitive and MYnd’s PEER solutions may not be able to compete successfully, which could result in price reductions and decreased demand for MYnd’s solutions.
The healthcare industry, in general, and behavioral health treatment services, in particular, are highly competitive. If MYnd is unable to convince physicians, psychiatrists and patients of the efficacy of MYnd’s solutions and services, individuals seeking treatment for behavioral health disorders may seek alternative treatment methods, including non-medication-based therapies, which could negatively impact MYnd’s sales of PEER Reports and MYnd’s profitability.
36
If MYnd conducts clinical trials, MYnd cannot predict whether MYnd will encounter problems that will cause MYnd or regulatory authorities to delay or suspend MYnd’s clinical trials or delay the analysis of data from MYnd’s completed or ongoing clinical trials. In addition, MYnd cannot provide assurance that MYnd will be successful in reaching the endpoints in these trials, or that the FDA or other regulatory agencies will accept the results.
Any of the following factors, among others, could delay the completion of clinical trials, or result in a failure of these trials to support MYnd’s business, which would have an adverse effect on MYnd’s business:
| ● | delays or the inability to obtain required approvals from institutional review boards or other governing entities at clinical sites selected for participation in MYnd’s clinical trials; |
| ● | delays in enrolling patients and volunteers into clinical trials; |
| ● | lower than anticipated retention rates of patients and volunteers in clinical trials; |
| ● | negative results from clinical trials for any of MYnd’s potential solutions; and |
| ● | failure of MYnd’s clinical trials to demonstrate the efficacy or clinical utility of MYnd’s potential solutions. |
If MYnd determine that the costs associated with attaining regulatory approval of a solution exceed the potential financial benefits or if the projected development time line is inconsistent with MYnd’s determination of when MYnd need to get the product to market, MYnd may choose to stop a clinical trial and/or development of a solution.
MYnd may not be able to adequately protect MYnd’s intellectual property, which is the core of MYnd’s predictive medicine (PEER) business.
MYnd consider the protection of MYnd’s intellectual property to be important to MYnd’s business prospects. MYnd currently have twenty issued patents in the United States, Australia, Canada, Europe, Israel, Japan and Mexico and MYnd has also filed multiple additional patent applications in the United States and in multiple foreign jurisdictions.
In the future, if MYnd fails to file patent applications in a timely manner, fail to pay applicable maintenance fees on issued patents, or if MYnd elects not to file a patent application because of the costs associated with patent prosecution, MYnd may lose patent protection that MYnd may have otherwise obtained. The loss of any proprietary rights which are obtainable under patent laws may result in the loss of a competitive advantage over present or potential competitors, with a resulting decrease in revenues and profitability for MYnd.
With respect to the applications MYnd has filed, there is no guarantee that the applications will result in issued patents, and further, any patents that issue may be too narrow in scope to adequately protect MYnd’s intellectual property and provide MYnd with a competitive advantage. Competitors and others may design around aspects of MYnd’s technology, or alternatively, may independently develop similar or more advanced technologies that fall outside the scope of MYnd’s claimed subject matter, but that can be used in the treatment of behavioral health disorders.
In addition, even if MYnd is issued additional patents covering MYnd’s solutions, MYnd cannot predict with any degree of certainty, whether or not MYnd will be able to enforce MYnd’s proprietary rights and whether MYnd’s patents will provide MYnd with adequate protection against competitors. MYnd may be forced to engage in costly and time-consuming litigation or reexamination proceedings to protect MYnd’s intellectual property rights and MYnd’s opponents in such proceedings may have and be willing to expend, substantially greater resources than MYnd is able to expend. In addition, the results of such proceedings may result in MYnd’s patents being invalidated or reduced in scope. These developments could cause a decrease in MYnd’s operating income and reduce MYnd’s available cash flow, which could harm MYnd’s business and cause MYnd’s stock price to decline.
MYnd also utilize processes and technology that constitute trade secrets, such as MYnd’s PEER Online database, and MYnd must implement appropriate levels of security for those trade secrets to secure the protection of applicable laws, which MYnd may not do effectively. In addition, the laws of many foreign countries do not protect proprietary rights as fully as the laws of the United States.
While MYnd has not had any significant issues to date, the loss of any of MYnd’s trade secrets or proprietary rights, which may be protected under the foregoing intellectual property safeguards may result in the loss of MYnd’s competitive advantage over present and potential competitors.
37
Certain of MYnd’s patents will expire in the near future, and MYnd may have difficulties protecting MYnd’s proprietary rights and technology and MYnd may not be able to ensure their protection.
MYnd currently have 20 issued patents, of which seven are in the U.S., one of which covers the process involved in MYnd’s PEER Online service. MYnd’s patents will expire between July 2019 and June 2029 and cover QEEG (quantitative electrophysiology); at which point MYnd can no longer enforce MYnd’s rights under these patents against third parties to prevent them from developing processes and commercializing solutions similar or identical to ours. Because MYnd’s efforts to achieve broader market acceptance of MYnd’s PEER Online service may take a substantial period of time, MYnd’s patents may expire or provide only a short period of protection, if any, following such broader market acceptance. This could expose MYnd to substantially more competition and have a material adverse impact on MYnd’s business and MYnd’s ability to commercialize or license MYnd’s technology and solutions. MYnd’s asset is MYnd’s PEER Online Database and MYnd will continue to encrypt and protect it.
MYnd depend heavily upon secure access to, and secure transfer of, data via the internet in exchanging data with customers. Any security breaches could result in unauthorized access to sensitive patient data, MYnd’s intellectual property and other confidential business information. MYnd use third-party data centers and any damage to, or failure of, MYnd’s central analytical database could adversely affect MYnd’s ability to provide MYnd’s services. For any of the foregoing or related reasons, customers may curtail or stop using MYnd’s services and MYnd may incur significant legal and financial exposure and liabilities.
MYnd depend heavily on secure access to, and secure transfer of data via the internet in the generation of MYnd’s PEER Reports and other data exchange with MYnd’s customers. MYnd relies on services provided by third parties to store, transmit and process data in MYnd’s central neurometric database. Security breaches could expose MYnd to a risk of losing data and result in litigation and possible liability. Security measures taken by MYnd or by such third party service providers may be breached as a result of third party action, including intentional misconduct by computer hackers, employee error, malfeasance, fraud or otherwise, during transfer or processing of data or at any time and result in someone obtaining unauthorized access to sensitive patient information, MYnd’s intellectual property, other confidential business information, or MYnd’s information technology systems. Because the techniques used to obtain unauthorized access, or to sabotage systems, change frequently and generally are not recognized until launched against a target, MYnd or MYnd’s third-party service providers may be unable to anticipate these techniques or to implement adequate preventative measures. Any security breach could result in a loss of confidence in the security of MYnd’s service, damage to MYnd’s reputation, disruption to MYnd’s business, and could lead to legal liability and severely curtail future revenue.
In addition, any damage to, or failure of, MYnd’s central neurometric database and the server on which it resides could result in interruptions in MYnd’s ability to provide PEER Reports. Interruptions in MYnd’s service may reduce MYnd’s revenue, cause PEER Network providers to terminate their relationship with MYnd and adversely affect MYnd’s ability to attract new physicians to the PEER Network. MYnd’s business will also be harmed if MYnd’s customers and potential customers believe MYnd’s service is unreliable.
Because MYnd’s service is complex and cloud-based MYnd relies on third-party data centers to store the data in MYnd’s central neurometric database, MYnd’s data and processes may be corrupted at some future time resulting in erroneous, defective or ineffective reports, which could result in unanticipated downtime in MYnd’s service for PEER Network providers, resulting in harm to MYnd’s reputation and MYnd’s business. MYnd does not control the operation of these facilities. While MYnd take precautions (data redundancy, back-up and disaster recovery plans) to prevent service interruptions, MYnd’s data centers are vulnerable to damage or interruption from human error, intentional bad acts, pandemics, earthquakes, hurricanes, floods, fires, war, terrorist attacks, power losses, hardware failures, systems failures, communications failures and similar events. The occurrence of a natural disaster or an act of terrorism, vandalism or other misconduct, resulting in a decision to close the facilities without adequate notice or other unanticipated problems could result in lengthy interruptions in the availability of MYnd’s central neurometric database. Since many physicians rely on MYnd’s service to assist in treating their patients, any errors, defects, disruptions in service or other performance problems with MYnd’s service could hurt MYnd’s reputation and hurt the reputation of the physicians in MYnd’s PEER Network. If that occurs, physicians could elect to terminate their relationship with MYnd, or delay or withhold payment to MYnd. MYnd could lose future revenues or customers may make warranty or other claims against MYnd, which could result in an increase in MYnd’s provision for doubtful accounts, an increase in collection cycles for accounts receivable or the expense and risk of litigation and a reduction in revenue.
38
Security breaches, damages or failures of the sort described above would adversely affect MYnd’s ability to market MYnd’s PEER Reports. In addition, MYnd may be required to change MYnd’s products and services and become subject to increased regulatory burdens and MYnd may be required to pay large judgments or fines and incur significant legal expenses.
In the future MYnd could be subject to personal injury claims due to adverse events from treatment facilitated through the use of MYnd’s PEER reports, which could result in substantial liabilities that may exceed MYnd’s insurance coverage.
All significant medical treatments and procedures, including treatment that is facilitated through the use of MYnd’s PEER Reports, can involve the risk of serious adverse events up to and including death. MYnd’s PEER Reports generally require psychiatrists and other physicians to titrate patients off of psychotropic medications before receiving an EEG. The titration process and the removal of medications from patients risk potentially serious health consequences. Although MYnd has no clinical involvement, it is possible that MYnd could be named as defendants in any malpractice claim involving a patient harmed during the titration process or during a period in which the patient ceases the use of medications. Although MYnd has not been the subject of any personal injury claims for patients treated by providers using MYnd’s PEER Reports, MYnd’s business entails an inherent risk of claims for personal injuries, which are subject to the attendant risk of substantial damage awards. MYnd cannot control whether individual physicians and psychiatrists will properly select patients, apply the appropriate standard of care, or conform to MYnd’s procedures in determining how to treat their patients. A significant source of potential liability is negligence or alleged negligence by physicians treating patients with the aid of the PEER Reports that MYnd provide. There can be no assurance that a future claim or claims will not be successful or, including the cost of legal defense, will not exceed the limits of available insurance coverage.
MYnd currently have general liability and medical professional liability insurance coverage for up to $3 million per year for personal injury claims. MYnd may not be able to maintain adequate liability insurance, in accordance with standard industry practice, with appropriate coverage based on the nature and risks of MYnd’s business, at acceptable costs and on favorable terms. Insurance carriers are often reluctant to provide liability insurance for new healthcare services companies and products due to the limited claims history for such companies and products. In addition, based on current insurance markets, MYnd expects that liability insurance will be more difficult to obtain and that premiums will increase over time and as the volume of patients treated by physicians that are guided by MYnd’s PEER Reports increases. In the event of litigation, regardless of its merit or eventual outcome, or an award against MYnd during a time when MYnd has no available insurance or insufficient insurance, MYnd may sustain significant losses of MYnd’s operating capital which may substantially reduce stockholder equity in the company.
Risks Related to MYnd’s Business-General
MYnd conduct business in a heavily regulated industry and if MYnd fails to comply with these laws and government regulations, MYnd could incur penalties or be required to make significant changes to MYnd’s operations or experience adverse publicity, which could have a material adverse effect on MYnd’s business, financial condition, and results of operations.
The healthcare industry is heavily regulated and closely scrutinized by federal, state and local governments. Comprehensive statutes and regulations govern the manner in which Providers provide and bill for services and collect reimbursement from governmental programs and private payors, MYnd’s contractual relationships, MYnd’s marketing activities and other aspects of MYnd’s operations. Of particular importance are the following laws and rules:
| ● | Provider Licensing and Corporate Practice Restrictions. Behavioral health professionals who provide their professional services using telehealth modalities must, in most instances, hold a valid license to practice their health profession in the state in which the patient is located. In addition, certain states require a physician providing telepsychiatry to be physically located in the same state as the patient. Corporate practice restrictions prohibit general business corporations, such as MYnd, from practicing medicine and other health professions subject to corporate practice restrictions, controlling clinical decisions or, in some cases, receiving payment for professional services subject to a corporate practice restriction. State corporate practice laws vary from state to state and are not consistent among states. These requirements are subject to broad powers of interpretation and enforcement by state regulators and may apply to an entity even though it is not located in that state if a Provider is licensed there; |
39
| ● | Federal and State Anti-Kickback Statutes. The federal Anti-Kickback Statute prohibits the knowing and willful offer, payment, solicitation or receipt of any bribe, kickback, rebate or other remuneration for referring an individual, or in return for ordering, leasing, purchasing or recommending or arranging for the ordering, purchasing or leasing of items or services covered, in whole or in part, by any federal healthcare program, such as Medicare or Medicaid. A person or entity does not need to have actual knowledge of the statute or specific intent to violate it to have committed a violation. In addition, the government may assert that a claim including items or services resulting from a violation of the federal Anti-Kickback Statute constitutes a false or fraudulent claim for purposes of the False Claims Act. State anti-kickback statutes require compliance independent of the federal Anti-Kickback Statute. Some state anti-kickback statutes prohibit the same conduct as the federal Anti-Kickback Statute, but may apply the prohibition broadly to all payor-reimbursed services, not just those that are federally-funded. Very few state anti-kickback statutes have the extensive safe harbors and regulatory guidance of the federal Anti-Kickback Statute, making interpretation of the scope of the statutes more uncertain than the federal Anti-Kickback Statute; |
| ● | Physician Self-Referral Laws. There is a federal physician self-referral prohibition, commonly known as the Stark Law, which prohibits a physician from referring Medicare patients to an entity providing “designated health services” if the physician or a member of such physician’s immediate family has a “financial relationship” with the entity, unless an exception applies. MYnd does not believe MYnd’s operations, including those of Arcadian, implicate the Stark Law, because neither MYnd nor Arcadian nor the Providers acting pursuant to the Services Agreements offer or provide any services that would be considered designated health services under the Stark Law. As with the anti-kickback laws, however, physician self-referral prohibitions exist at the state level and which, like the Stark Law, apply civil penalties to violations of their terms. These state physician self-referral laws are often similar to the Stark Law, but may apply to different services than the Stark Law and may have different exceptions. The Company does not believe it is noncompliant with any state physician self-referral laws, but these laws are often vague, subject to amendment and lacking in court precedent or regulatory guidance. It is possible, therefore, that now or in the future MYnd could be found to be out of compliance with one or more state physician self-referral laws. Any such noncompliance could have a material adverse effect on MYnd’s business, financial condition and results of operations; |
| ● | Federal and State False Claims Statutes. The federal False Claims Act imposes civil and criminal liability on individuals or entities that knowingly submit false or fraudulent claims for payment to the government or knowingly make, or cause to be made, a false statement to have a false claim paid, including qui tam or whistleblower suits. Some states have laws similar to the False Claims Act. The scope of these laws and the interpretations of them vary from state to state and are enforced by state courts and regulatory authorities, each with broad discretion. Some state fraud and abuse laws apply to items or services reimbursed by any third-party payor, including commercial insurers, not just those reimbursed by a government funded healthcare program; |
| ● | Other Healthcare Anti-Fraud Laws. The criminal healthcare fraud provisions of HIPAA and related rules that prohibit knowingly and willfully executing a scheme or artifice to defraud any healthcare benefit program or falsifying, concealing or covering up a material fact or making any material false, fictitious or fraudulent statement in connection with the delivery of or payment for healthcare benefits, items or services. Similar to the federal Anti-Kickback Statute, a person or entity does not need to have actual knowledge of the statute or specific intent to violate it to have committed a violation; |
| ● | Beyond HIPAA, additional risks include reassignment of payment rules that prohibit certain types of billing and collection practices in connection with claims payable by Medicare or Medicaid programs; and |
| ● | a provision of the Social Security Act that imposes criminal penalties on healthcare providers who fail to disclose or refund known overpayments. |
Finally, in the operations of MYnd’s Company and MYnd’s Providers, MYnd must comply with additional restrictions, including the following:
| ● | Reassignment Rules. Payment reassignment rules prohibit certain types of billing and collection practices in connection with claims payable by the Medicare or Medicaid programs; |
40
| ● | Debt Collection Laws. Laws that regulate debt collection practices may be applied to MYnd’s debt collection practices; |
| ● | Refund Disclosures. A provision of the Social Security Act imposes criminal penalties on healthcare providers who fail to disclose or refund known overpayments; |
| ● | Billing Requirements. Federal and state laws prohibit providers from billing and receiving payment from Medicare and Medicaid for services unless the services are medically necessary, adequately and accurately documented, and billed using codes that accurately reflect the type and level of services rendered; and |
| ● | Certification and Accreditation Requirements. Federal and state laws and policies that require healthcare providers to maintain licensure, certification or accreditation to enroll and participate in the Medicare and Medicaid programs, to report certain changes in their operations to the agencies that administer these programs. |
Because of the breadth of these laws and the narrowness of the statutory exceptions and safe harbors available, it is possible that some of MYnd’s business activities could be subject to challenge under one or more of such laws. Achieving and sustaining compliance with these laws may prove costly. Failure to comply with these laws and other laws can result in civil and criminal penalties such as fines, damages, overpayment recoupment loss of enrollment status and exclusion from the Medicare and Medicaid programs. The risk of MYnd’s being found in violation of these laws and regulations is increased by the fact that many of them have not been fully interpreted by the regulatory authorities or the courts, and their provisions are sometimes open to a variety of interpretations. MYnd’s failure to accurately anticipate the application of these laws and regulations to MYnd’s business or any other failure to comply with regulatory requirements could create liability for MYnd and negatively affect MYnd’s business. Any action against MYnd for violation of these laws or regulations, even if MYnd successfully defend against it, could cause MYnd to incur significant legal expenses, divert MYnd’s management’s attention from the operation of MYnd’s business and result in adverse publicity.
To enforce compliance with the federal laws, the U.S. Department of Justice and the OIG, continue to increase their scrutiny of healthcare providers, which has led to a number of investigations, prosecutions, convictions and settlements in the healthcare industry. Dealing with investigations can be time- and resource-consuming and can divert management’s attention from the business. Any such investigation or settlement could increase MYnd’s costs or otherwise have an adverse effect on MYnd’s business. In addition, because of the potential for large monetary exposure under the federal False Claims Act, which provides for treble damages and mandatory minimum penalties of $5,500 to $11,000 per false claim or statement, healthcare providers often resolve allegations without admissions of liability for significant and material amounts to avoid the uncertainty of treble damages that may be awarded in litigation proceedings. Such settlements often contain additional compliance and reporting requirements as part of a consent decree, settlement agreement or corporate integrity agreement. Given the significant size of actual and potential settlements, it is expected that the government will continue to devote substantial resources to investigating healthcare providers’ compliance with the healthcare reimbursement rules and fraud and abuse laws.
The laws, regulations and standards governing the provision of healthcare services may change significantly in the future. MYnd cannot assure you that any new or changed healthcare laws, regulations or standards will not materially adversely affect MYnd’s business. MYnd cannot assure you that a review of MYnd’s business by judicial, law enforcement, regulatory or accreditation authorities will not result in a determination that could adversely affect MYnd’s operations.
In addition, the FDA regulates development, testing, labeling, manufacturing, marketing, promotion, distribution, record-keeping and reporting requirements for prescription drugs. Compliance with laws and regulations enforced by the FDA and other regulatory agencies may be required in relation to future products or services developed or used by MYnd, in addition to the regulatory process and dialogue in which MYnd is now engaged with the FDA (for more information, please see the risk factor entitled “The FDA believes that rEEG and, potentially, MYnd’s PEER Online service, constitute a medical device, which is subject to regulation by the FDA. As MYnd continues to market MYnd’s PEER Online service, there is risk that the FDA will commence an enforcement action against MYnd. The FDA has informed MYnd that MYnd’s marketing of MYnd’s rEEG services without prior approval or re-classification by the FDA constitutes a violation of the Federal Food, Drug and Cosmetic Act”). Failure to comply with applicable laws and regulations may result in various adverse consequences, including withdrawal of MYnd’s products and services from the market, or the imposition of civil or criminal sanctions.
41
The impact of healthcare reform legislation and other changes in the healthcare industry and in healthcare spending on MYnd is currently unknown, but may adversely affect MYnd’s business, financial condition and results of operations.
MYnd’s revenue is dependent on the healthcare industry and could be affected by changes in healthcare spending and policy. The healthcare industry is subject to changing political, regulatory and other influences. The Patient Protection and Affordable Care Act or PPACA made major changes in how healthcare is delivered and reimbursed, and increased access to health insurance benefits to the uninsured and underinsured population of the United States.
The PPACA, among other things, increased the number of individuals with Medicaid and private insurance coverage, implemented reimbursement policies that tie payment to quality, facilitated the creation of accountable care organizations that may use capitation and other alternative payment methodologies, strengthened enforcement of fraud and abuse laws and encouraged the use of information technology. The future of the PPACA is uncertain and the PPACA remains in a state of near-constant change. Several of these changes require implementing regulations which have not yet been drafted or have been released only as proposed rules.
Such changes in the regulatory environment may also result in changes to MYnd’s payor mix that may affect MYnd’s operations and revenue.
In addition, certain provisions of the PPACA authorize voluntary demonstration projects, which include the development of bundling payments for acute, inpatient hospital services, physician services and post-acute services for episodes of hospital care. Further, the PPACA may adversely affect payors by increasing medical costs generally, which could have an effect on the industry and potentially impact MYnd’s business and revenue as payors seek to offset these increases by reducing costs in other areas. The full impact of these changes on MYnd cannot be determined at this time.
MYnd expects that additional state and federal healthcare reform measures will be adopted in the future, any of which could limit the amounts that federal and state governments and other third-party payors will pay for healthcare products and services, which could adversely affect MYnd’s business, financial condition and results of operations.
There may be adverse consequences if the independent contractor status of Arcadian’s providers is successfully characterized as employee status.
MYnd has independent contractor relationships with MYnd’s providers rather than employee relationships. An independent contractor is generally distinguished from an employee by his or her degree of autonomy and independence in providing services. MYnd’s providers must be afforded independence over their actions and judgment while providing medical services. If a federal or state authority or court enacts legislation or adopts regulations or adopts an interpretation that changes the manner in which employees and independent contractors are classified or makes any adverse determination with respect to some or all of MYnd’s independent contractors, MYnd could incur significant costs in complying with such laws, regulations or interpretations, including, in respect of tax withholding, social security payments and recordkeeping, or MYnd could be held liable for the actions of such independent contractors. As a result, MYnd could be required to modify MYnd’s business model. All of the above, individually or in the aggregate could have a material adverse effect on MYnd’s business, financial condition and results of operations. In addition, there is the risk that MYnd may be subject to significant monetary liabilities arising from fines or judgments as a result of any such actual or alleged noncompliance with federal, state or local tax or employment laws.
The emergence of new technologies may require MYnd to expend significant resources in order to remain competitive.
The U.S. healthcare industry is massive, has a number of large market participants with conflicting agendas, is subject to significant government regulation and is currently undergoing significant change. Changes in MYnd’s industry, for example, away from high-deductible health plans, or the emergence of new technologies as more competitors enter MYnd’s market, could result in MYnd’s solution being less desirable or relevant.
If healthcare benefits trends shift or entirely new technologies are developed that replace existing solutions, MYnd’s existing or future solutions could be rendered obsolete and MYnd’s business could be adversely affected. In addition, MYnd may experience difficulties with software development, industry standards, design or marketing that could delay or prevent MYnd’s development, introduction or implementation of new applications and enhancements.
42
Any future litigation against MYnd could be costly and time-consuming to defend.
MYnd may become subject, from time to time, to legal proceedings and claims that arise in the ordinary course of business such as claims in connection with commercial disputes or employment claims made by MYnd’s current or former associates. Litigation may result in substantial costs and may divert management’s attention and resources, which may substantially harm MYnd’s business, financial condition and results of operations. Insurance may not cover such claims, may not provide sufficient payments to cover all of the costs to resolve one or more such claims and may not continue to be available on terms acceptable to MYnd. A claim brought against MYnd that is uninsured or underinsured could result in unanticipated costs, thereby reducing MYnd’s revenue and leading analysts or potential investors to reduce their expectations of MYnd’s performance, which could reduce the market price of MYnd’s stock.
MYnd may be subject to regulatory and investigative proceedings, which may find that MYnd’s policies and procedures do not fully comply with complex and changing healthcare regulations.
While MYnd has established policies and procedures that MYnd believe will be sufficient to ensure that MYnd operate in substantial compliance with applicable laws, regulations and requirements, the criteria are often vague and subject to change and interpretation. MYnd may become the subject of regulatory or other investigations or proceedings, and MYnd’s interpretations of applicable laws and regulations may be challenged. The defense of any such challenge could result in substantial cost and a diversion of management’s time and attention. Thus, any such challenge could have a material adverse effect on MYnd’s business, regardless of whether it ultimately is successful. If MYnd fails to comply with any applicable laws, or a determination is made that MYnd has failed to comply with these laws, MYnd’s financial condition and results of operations could be adversely affected.
Failure to comply with the Federal Trade Commission Act or similar state laws could result in sanctions or limit the claims MYnd can make.
MYnd’s promotional activities and materials, including advertising to consumers and physicians, and materials provided to third parties for their use in promoting MYnd’s products and services, are regulated by the Federal Trade Commission (FTC) under the FTC Act, which prohibits unfair and deceptive acts and practices, including claims which are false, misleading or inadequately substantiated. The FTC typically requires competent and reliable scientific tests or studies to substantiate express or implied claims that a product or service is effective. If the FTC were to interpret MYnd’s promotional materials as making express or implied claims that MYnd’s products and services are effective for the treatment of mental illness, it may find that MYnd does not have adequate substantiation for such claims. Failure to comply with the FTC Act or similar laws enforced by state attorneys general and other state and local officials could result in administrative or judicial orders limiting or eliminating the claims MYnd can make about MYnd’s products and services, and other sanctions including fines.
MYnd’s use and disclosure of personally identifiable information, including health information, is subject to federal and state privacy and security regulations, and MYnd’s failure to comply with those regulations or to adequately secure the information MYnd hold could result in significant liability or reputational harm and, in turn, a material adverse effect on MYnd’s client base, membership base and revenue.
Numerous state and federal laws and regulations govern the collection, dissemination, use, privacy, confidentiality, security, availability and integrity of personally identifiable information, including protected health information. These laws and regulations include HIPAA. HIPAA establishes a set of basic national privacy and security standards for the protection of protected health information, or PHI, by health plans, healthcare clearinghouses and certain healthcare providers, referred to as covered entities, and the business associates with whom such covered entities contract for services, which includes MYnd.
HIPAA requires healthcare providers like MYnd to develop and maintain policies and procedures with respect to PHI that is used or disclosed, including the adoption of administrative, physical and technical safeguards to protect such information. HIPAA also implemented the use of standard transaction code sets and standard identifiers that covered entities must use when submitting or receiving certain electronic healthcare transactions, including activities associated with the billing and collection of healthcare claims.
43
HIPAA imposes mandatory penalties for certain violations. Penalties for violations of HIPAA and its implementing regulations start at $100 per violation and are not to exceed $50,000 per violation, subject to a cap of $1.5 million for violations of the same standard in a single calendar year. However, a single breach incident can result in violations of multiple standards. HIPAA also authorizes state attorneys general to file suit on behalf of their residents. Courts will be able to award damages, costs and attorneys’ fees related to violations of HIPAA in such cases. While HIPAA does not create a private right of action allowing individuals to sue MYnd in civil court for violations of HIPAA, its standards have been used as the basis for duty of care in state civil suits such as those for negligence or recklessness in the misuse or breach of PHI.
In addition, HIPAA mandates that the Secretary of Health and Human Services, or HHS conduct periodic compliance audits of HIPAA covered entities or business associates for compliance with the HIPAA Privacy and Security Standards. It also tasks HHS with establishing a methodology whereby harmed individuals who were the victims of breaches of unsecured PHI may receive a percentage of the Civil Monetary Penalty fine paid by the violator.
HIPAA further requires that patients be notified of any unauthorized acquisition, access, use or disclosure of their unsecured PHI that compromises the privacy or security of such information, with certain exceptions related to unintentional or inadvertent use or disclosure by employees or authorized individuals. HIPAA specifies that such notifications must be made “without unreasonable delay and in no case later than 60 calendar days after discovery of the breach.” If a breach affects 500 patients or more, it must be reported to HHS without unreasonable delay, and HHS will post the name of the breaching entity on its public web site. Breaches affecting 500 patients or more in the same state or jurisdiction must also be reported to the local media. If a breach involves fewer than 500 people, the covered entity must record it in a log and notify HHS at least annually.
Numerous other federal and state laws protect the confidentiality, privacy, availability, integrity and security of personally identifiable information, or PII, including PHI. These laws in many cases are more restrictive than, and may not be preempted by, the HIPAA rules and may be subject to varying interpretations by courts and government agencies, creating complex compliance issues for MYnd and MYnd’s clients and potentially exposing MYnd to additional expense, adverse publicity and liability.
New health information standards, whether implemented pursuant to HIPAA, congressional action or otherwise, could have a significant effect on the manner in which MYnd must handle healthcare related data, and the cost of complying with standards could be significant. If MYnd does not comply with existing or new laws and regulations related to PHI, MYnd could be subject to criminal or civil sanctions.
Because of the extreme sensitivity of the PII MYnd store and transmit, the security features of MYnd’s technology platform are very important. If MYnd’s security measures, some of which are managed by third parties, are breached or fail, unauthorized persons may be able to obtain access to sensitive client and patient data, including HIPAA PHI. As a result, MYnd’s reputation could be severely damaged, adversely affecting client and patient confidence. Patients may curtail their use of or stop using MYnd’s services or MYnd’s client base could decrease, which would cause MYnd’s business to suffer. In addition, MYnd could face litigation, damages for contract breach, penalties and regulatory actions for violation of HIPAA and other applicable laws or regulations and significant costs for remediation, notification to individuals and for measures to prevent future occurrences. Any potential security breach could also result in increased costs associated with liability for stolen assets or information, repairing system damage that may have been caused by such breaches, incentives offered to clients or other business partners in an effort to maintain MYnd’s business relationships after a breach and implementing measures to prevent future occurrences, including organizational changes, deploying additional personnel and protection technologies, training employees and engaging third-party experts and consultants. While MYnd maintain insurance covering certain security and privacy damages and claim expenses in the amount of $100,000 per claim, MYnd may not carry insurance or maintain coverage sufficient to compensate for all liability and in any event, insurance coverage would not address the reputational damage that could result from a security incident.
MYnd outsource important aspects of the storage and transmission of client and patient information, and thus rely on third parties to manage functions that have material cyber-security risks. MYnd attempt to address these risks in part by requiring outsourcing subcontractors who handle client and patient information to sign business associate agreements contractually requiring those subcontractors to adequately safeguard personal health data to the same extent that applies to MYnd. However, MYnd cannot assure you that these contractual measures and other safeguards will adequately protect MYnd from the risks associated with the storage and transmission of client and patients’ proprietary and protected health information.
44
MYnd also publishes statements to patients that describe how MYnd handle and protect personal information. If federal or state regulatory authorities or private litigants consider any portion of these statements to be untrue, MYnd may be subject to claims of deceptive practices, which could lead to significant liabilities and consequences, including, without limitation, costs of responding to investigations, defending against litigation, settling claims and complying with regulatory or court orders.
MYnd also sends short message service, or SMS text messages to potential end users who are eligible to use MYnd’s service through certain customers and partners. While MYnd obtain consent from or on behalf of these individuals to send text messages, federal or state regulatory authorities or private litigants may claim that the notices and disclosures MYnd provide, form of consents MYnd obtain or MYnd’s SMS texting practices, are not adequate. These SMS texting campaigns are potential sources of risk for class action lawsuits and liability for MYnd’s company. Numerous class-action suits under federal and state laws have been filed in the past year against companies who conduct SMS texting programs, with many resulting in multi-million dollar settlements to the plaintiffs. Any future such litigation against MYnd could be costly and time-consuming to defend.
MYnd may be subject to healthcare anti-fraud initiatives, which may lead to penalties and adversely affect MYnd’s business.
State and federal governments are devoting increased attention and resources to anti-fraud initiatives against healthcare providers, taking an expansive definition of fraud that includes receiving fees in connection with a healthcare business that is found to violate any of the complex regulations described above. Although to MYnd’s knowledge MYnd has not been the subject of any anti-fraud investigations, if such a claim were made defending MYnd’s business practices could be time consuming and expensive, and an adverse finding could result in substantial penalties or require MYnd to restructure MYnd’s operations, which MYnd may not be able to do successfully.
MYnd’s operating results may fluctuate significantly and MYnd’s stock price could decline or fluctuate if MYnd’s results do not meet the expectation of analysts or investors.
Management expects that MYnd will experience substantial variations in MYnd’s operating results from quarter to quarter. MYnd believe that the factors which influence this variability of quarterly results include, without limitation:
| ● | the use of and demand for telebehavioral health services and MYnd’s PEER Reports, and other solutions and/or services that MYnd may offer in the future that are based on MYnd’s patented methodology; |
| ● | inconclusive or negative result from MYnd’s clinical trials; |
| ● | MYnd’s inability to enroll patients into MYnd’s clinical trials; |
| ● | the effectiveness of new marketing and sales programs; |
| ● | turnover among MYnd’s employees; |
| ● | changes in management; |
| ● | the introduction of solutions or services that are viewed in the marketplace as substitutes for the services MYnd provide; |
| ● | communications published by industry organizations or other professional entities in the psychiatric and physician community that are unfavorable to MYnd’s business; |
| ● | the introduction of regulations which impose additional costs on or impede MYnd’s business; and |
| ● | the timing and amount of MYnd’s expenses, particularly expenses associated with the marketing and promotion of MYnd’s services, the training of physicians and psychiatrists in the use of MYnd’s PEER Reports and research and development. |
As a result of fluctuations in MYnd’s revenue and operating expenses that may occur, management believes that period-to-period comparisons of MYnd’s results of operations are not a good indication of MYnd’s future performance. It is possible that in some future quarter or quarters, MYnd’s operating results will be below the expectations of securities analysts or investors. In that case, MYnd’s common stock price could fluctuate significantly or decline.
45
MYnd’s ability to use MYnd’s net operating losses to offset future taxable income may be subject to certain limitations.
As of September 30, 2018, MYnd had federal net operating losses, including any tax credit carryforwards, or NOLs, of approximately $60.2 million and state NOL carryforwards of approximately $33.8 million. Both the federal and state NOL carryforwards will begin to expire in 2022 and 2023 respectively. MYnd has not undertaken a comprehensive analysis to determine whether or not a change of control has occurred prior to the Merger. However, as a result of the Merger, MYnd will undergo a Section 382 “ownership change.” In general, under Section 382 of the U.S. Internal Revenue Code of 1986, as amended, or the Code, a corporation that undergoes an “ownership change” is subject to limitations on its ability to utilize its pre-change NOLs to offset future taxable income. A Section 382 “ownership change” generally occurs if one or more stockholders or groups of stockholders who own at least 5% of MYnd’s stock increase their ownership by more than 50 percentage points over their lowest ownership percentage within a rolling three-year period. Similar rules may apply under state tax laws. In addition, if a loss corporation does not continue its historic business, the annual limitation is subject to certain exceptions. Because MYnd is not expected to continue its historic business, MYnd does not expect to be able to utilize its net operating loss carryforwards following the Merger.
MYnd has recorded a full valuation allowance against the deferred tax assets attributable to MYnd’s NOLs.
MYnd may fail to successfully manage and maintain the growth of MYnd’s business, which could adversely affect MYnd’s results of operations.
As MYnd continues expanding MYnd’s commercial operations, this expansion could place significant strain on MYnd’s management, operational and financial resources. To manage future growth, MYnd will need to continue to hire, train, and manage additional employees, particularly a specially-trained sales force to market MYnd’s PEER Reports.
Confidentiality agreements with employees, licensees and others may not adequately prevent disclosure of trade secrets and other proprietary information.
In order to protect MYnd’s proprietary technology and processes, MYnd relies in part on confidentiality provisions in MYnd’s agreements with employees, licensees, treating physicians, psychiatrists and behavioral health professionals. These agreements may not effectively prevent disclosure of confidential information and may not provide an adequate remedy in the event of unauthorized disclosure of confidential information. Moreover, policing compliance with MYnd’s confidentiality agreements and nondisclosure agreements and detecting unauthorized use of MYnd’s technology is difficult and MYnd may, therefore, be unable to determine whether piracy of MYnd’s technology has actually occurred. In addition, others may independently discover MYnd’s trade secrets and proprietary information. Costly and time-consuming litigation could be necessary to enforce and determine the scope of MYnd’s proprietary rights and failure to obtain or maintain trade secret protection could adversely affect MYnd’s competitive business position.
The liability of MYnd’s directors and officers is limited.
The applicable provisions of the Delaware General Corporation Law and MYnd’s Certificate of Incorporation and By-laws limit the liability of MYnd’s directors to MYnd and MYnd’s stockholders for monetary damages for breaches of their fiduciary duties, with certain exceptions, and for other specified acts or omissions of such persons. In addition, the applicable provisions of the Delaware General Corporation Law and of MYnd’s Certificate of Incorporation and Bylaws, as well as indemnification agreements MYnd has entered into with MYnd’s directors, and officers, provide for indemnification of such persons under certain circumstances. In the event MYnd is required to indemnify any of MYnd’s directors or any other person, MYnd’s financial strength may be harmed, which may in turn lower MYnd’s stock price.
46
If MYnd does not retain MYnd’s senior management and other key employees, MYnd may not be able to successfully implement MYnd’s business strategy.
MYnd’s future success depends on the ability, experience and performance of MYnd’s senior management and MYnd’s key professional personnel. MYnd’s success therefore depends to a significant extent on retaining the services of Patrick Herguth, MYnd’s Chief Executive Officer, MYnd’s senior product development and clinical managers and others. Because of their ability and experience, if MYnd lose one or more of the members of MYnd’s senior management or other key employees, MYnd’s ability to successfully implement MYnd’s business strategy could be seriously harmed. While MYnd believe MYnd’s relationships with MYnd’s executives are good and do not anticipate any of them leaving in the near future, the loss of the services of any of MYnd’s senior management could have a material adverse effect on MYnd’s ability to manage MYnd’s business. MYnd does not carry key-man life insurance on any of MYnd’s key employees.
If MYnd does not attract and retain skilled personnel, MYnd may not be able to expand MYnd’s business.
MYnd’s solutions and services are based on a complex database of information. Accordingly, MYnd require skilled medical, scientific and administrative personnel to sell and support MYnd’s solutions and services. MYnd’s future success will depend largely on MYnd’s ability to continue to hire, train, retain and motivate additional skilled personnel, particularly sales representatives who are responsible for customer education and training and customer support. If MYnd is not able to attract and retain skilled personnel, MYnd will not be able to continue MYnd’s development and commercialization activities.
MYnd’s senior management’s limited recent experience managing a publicly traded company may divert management’s attention from operations and harm MYnd’s business.
MYnd’s management team has relatively limited experience managing a publicly traded company and complying with federal securities laws, including compliance with recently adopted disclosure requirements on a timely basis. MYnd’s management will be required to design and implement appropriate programs and policies in responding to increased legal, regulatory compliance and reporting requirements, and any failure to do so could lead to the imposition of fines and penalties and harm MYnd’s business.
The estimates of market opportunity and forecasts of market growth included in this Form 10-K may prove to be inaccurate, and even if the market in which MYnd compete achieves the forecasted growth, MYnd’s business could fail to grow at similar rates, if at all.
Market opportunity estimates and growth forecasts are subject to significant uncertainty and are based on assumptions and estimates that may not prove to be accurate. The estimates and forecasts in this Form 10-K relating to the size and expected growth of the telehealth and predictive medicine markets may prove to be inaccurate. Even if the markets in which MYnd compete meet MYnd’s size estimates and forecasted growth, MYnd’s business could fail to grow at similar rates, if at all.
Risks Related to an Investment in MYnd’s Common Stock
Although MYnd’s shares of common stock are now listed on The NASDAQ Capital Market, MYnd currently have a limited trading volume, which results in higher price volatility for, and reduced liquidity of, MYnd’s common stock.
Although MYnd’s common stock is listed on The NASDAQ Capital Market under the symbol “MYND,” trading volume in MYnd’s common stock has been limited and an active trading market for MYnd’s shares of common stock may never develop or be maintained. MYnd’s average trading volume of the last ninety days has been 231,701 shares. The absence of an active trading market increases price volatility and reduces the liquidity of MYnd’s common stock. As long as this condition continues, the sale of a significant number of shares of common stock at any particular time could be difficult to achieve at the market prices prevailing immediately before such shares are offered.
47
If MYnd cannot continue to satisfy NASDAQ’s continuing listing criteria, NASDAQ may subsequently delist MYnd’s common stock:
NASDAQ requires MYnd to meet certain financial, public float, bid price and liquidity standards on an ongoing basis in order to continue the listing of MYnd’s common stock. Generally, MYnd must maintain a minimum amount of stockholders’ equity (generally $2.5 million) and a minimum number of holders of MYnd’s securities (generally 300 round lot holders). If MYnd fails to meet any of the continuing listing requirements, MYnd’s common stock may be subject to delisting. If MYnd’s common stock is delisted and MYnd is not able to list MYnd’s common stock on another national securities exchange, MYnd expects MYnd’s securities would be quoted on an over-the-counter market. If this were to occur, MYnd’s stockholders could face significant material adverse consequences, including limited availability of market quotations for MYnd’s common stock and reduced liquidity for the trading of MYnd’s securities. In addition, MYnd could experience a decreased ability to issue additional securities and obtain additional financing in the future. There can be no assurance that an active trading market for MYnd’s common stock will develop or be sustained. MYnd may choose to raise additional capital in order to increase MYnd’s stockholders’ equity in order to meet the NASDAQ continued listing standards. Any additional equity financings may be financially dilutive to, and will be dilutive from an ownership perspective, to MYnd’s stockholders, and such dilution may be significant based upon the size of such financing. Additionally, MYnd cannot assure that such funding will be available on a timely basis, in needed quantities, or on terms favorable to MYnd, if at all.
On February 23, 2018, MYnd received a letter from NASDAQ indicating that MYnd was not compliant with the minimum stockholders’ equity requirement under NASDAQ Listing Rule 5550(b) for continued listing on The NASDAQ Capital Market because MYnd’s stockholders’ equity, as reported in MYnd’s Quarterly Report on Form 10-Q for the period ended December 31, 2017, was below the required minimum of $2.5 million. Further, as of February 22, 2018, MYnd did not meet the alternative compliance standards relating to the market value of listed securities or net income from continuing operations. This notice of noncompliance has had no immediate impact on the continued listing or trading of MYnd’s common stock on The NASDAQ Capital Market. MYnd did increase the stockholders’ equity in response to the above.
On May 9, 2018, MYnd received a letter from NASDAQ granting MYnd an extension through August 22, 2018 to regain compliance with Listing Rule 5550(b). MYnd achieved compliance through a variety of factors, including through improved revenue, certain cost cutting measures and, primarily, through the sale of securities under the First Purchase Agreement and Second Purchase Agreement. MYnd regained compliance at June 30, 2018.
On February 21, 2019, MYnd received a letter from NASDAQ Staff notifying MYnd that it did not comply with Listing Rule 5550(b), which requires a minimum $2,500,000 stockholders’ equity, $35,000,000 market value of listed securities, or $500,000 net income from continuing operations.
On April 17, 2019, MYnd received a letter from NASDAQ which granted MYnd an extension through August 22, 2019 to regain compliance with Listing Rule 5550(b), by which date MYnd must complete its business combination with Emmaus.
As of the date of this joint proxy statement/prospectus MYnd is not in compliance with the minimum stockholders’ equity requirement under NASDAQ Listing Rule 5550(b)(1) for continued listing on The NASDAQ Capital Market.
If and when a larger trading market for MYnd’s common stock develops, the market price of MYnd’s common stock is likely to be highly volatile and subject to wide fluctuations, and you may be unable to resell your shares at or above the price at which you acquired them.
The market price of MYnd’s common stock is likely to be highly volatile and could be subject to wide fluctuations in response to a number of factors that are beyond MYnd’s control, including, but not limited to:
| ● | quarterly variations in MYnd’s revenues and operating expenses; |
| ● | developments in the financial markets and worldwide or regional economies; |
| ● | announcements of innovations or new products, solutions or services by MYnd or MYnd’s competitors; |
| ● | announcements by the government relating to regulations that govern MYnd’s industry; |
| ● | significant sales of MYnd’s common stock or other securities in the open market; |
| ● | variations in interest rates; |
| ● | changes in the market valuations of other comparable companies; and |
| ● | changes in accounting principles. |
In the past, stockholders have often instituted securities class action litigation after periods of volatility in the market price of a company’s securities. If a stockholder were to file any such class action suit against MYnd, MYnd would incur substantial legal fees and MYnd’s management’s attention and resources would be diverted from operating MYnd’s business to respond to the litigation, which could harm MYnd’s business.
48
Recent and future sales of securities by MYnd in equity or debt financings could result in substantial dilution to MYnd’s existing stockholders and have a material adverse effect on MYnd’s earnings.
Recent and future sales of common stock or derivative securities by MYnd in private placements or public offerings could result in substantial dilution to MYnd’s existing stockholders. In addition, MYnd’s business strategy may include expansion through internal growth, by acquiring complementary businesses, by acquiring or licensing additional solutions and services, or by establishing strategic relationships with targeted customers and suppliers. In order to do so, or to finance the cost of MYnd’s other activities, MYnd may issue additional equity securities that could dilute MYnd’s stockholders’ stock ownership. MYnd may also assume additional debt and incur impairment losses related to goodwill and other tangible assets if MYnd acquire another company and this could negatively impact MYnd’s earnings and results of operations.
The sale of MYnd’s common stock to Aspire Capital may cause substantial dilution to MYnd’s existing stockholders and the sale of the shares of common stock acquired by Aspire Capital could cause the price of MYnd’s common stock to decline.
Pursuant to the terms of the First Purchase Agreement and Second Purchase Agreement, MYnd has registered for sale the Commitment Shares that MYnd has issued and additional shares that MYnd has already, or may in the future, sell to Aspire Capital under the First Purchase Agreement and Second Purchase Agreement. It is anticipated that the shares thereby registered will be sold over a period of up to approximately thirty months from the date of the related prospectus. The number of shares ultimately offered for sale by Aspire Capital under such prospectus will be dependent upon the number of shares MYnd elects to sell to Aspire Capital under the First Purchase Agreement and Second Purchase Agreement. Depending on a variety of factors, including market liquidity of MYnd’s common stock, the sale of shares under the Purchase Agreement may cause the trading price of MYnd’s common stock to decline.
On November 26, 2018, MYnd received shareholder approval to remove the exchange cap under the Second Purchase Agreement in compliance with the applicable listing rules of The NASDAQ Capital Market. Pursuant to NASDAQ Listing Rule 5635(d), shareholder approval is required prior to the issuance of securities in connection with a transaction other than a public offering involving the sale, issuance or potential issuance by MYnd of common stock (or securities convertible into or exercisable common stock) equal to 20% or more of the common stock outstanding before the issuance for less than the greater of book or market value of the stock. As of May 24, 2019, MYnd may issue an additional 891,820 shares, for up to $5.3 million, of common stock to Aspire Capital under the Second Purchase Agreement. The issuance of shares of common stock that were issued from time to time to Aspire Capital under the First and Second Purchase Agreement were exempt from registration under the Securities Act, pursuant to the exemption for transactions by an issuer not involving any public offering under Section 4(a)(2) of the Securities Act.
Sales by Aspire Capital of shares acquired pursuant to the First Purchase Agreement and Second Purchase Agreement under an effective registration statement, may result in dilution to the interests of other holders of MYnd’s common stock. The sale of a substantial number of shares of MYnd’s common stock by Aspire Capital, or anticipation of such sales, could cause the trading price of MYnd’s common stock to decline or make it more difficult for MYnd to sell equity or equity-related securities in the future at a time and at a price that MYnd might otherwise desire. However, MYnd has the right under the First Purchase Agreement and Second Purchase Agreement to control the timing and amount of sales of MYnd’s shares to Aspire Capital.
Were MYnd’s common stock to be considered penny stock, and therefore subject to the penny stock rules, U.S. broker-dealers may be discouraged from effecting transactions in shares of MYnd’s common stock.
The U.S. Securities and Exchange Commission (or, the SEC) has adopted a number of rules to regulate “penny stock” that may restrict transactions involving shares of MYnd’s common stock. Such rules include Rules 3a51-1, 15g-1, 15g-2, 15g-3, 15g-4, 15g-5, 15g-6, 15g-7, and 15g-9 under the Securities and Exchange Act of 1934, as amended. These rules may have the effect of reducing the liquidity of penny stocks. “Penny stocks” generally are equity securities with a price of less than $5.00 per share (other than securities registered on certain national securities exchanges or quoted on The NASDAQ Capital Market if current price and volume information with respect to transactions in such securities is provided by the exchange or system). MYnd’s securities have in the past constituted “penny stock” within the meaning of the rule. Were MYnd’s common stock to again be considered “penny stock” and therefore become subject to the penny stock rules, the additional sales practice and disclosure requirements imposed upon U.S. broker-dealers may discourage such broker-dealers from effecting transactions in shares of MYnd’s common stock, which could severely limit the market liquidity of such shares and impede their sale in the secondary market.
49
A U.S. broker-dealer selling a penny stock to anyone other than an established customer or “accredited investor” (generally, an individual with net worth in excess of $1,000,000 or an annual income exceeding $200,000, or $300,000 together with his or her spouse) must make a special suitability determination for the purchaser and must receive the purchaser’s written consent to the transaction prior to sale, unless the broker-dealer or the transaction is otherwise exempt. In addition, the penny stock regulations require the U.S. broker-dealer to deliver, prior to any transaction involving a penny stock, a disclosure schedule prepared in accordance with SEC standards relating to the penny stock market, unless the broker-dealer or the transaction is otherwise exempt. A U.S. broker-dealer is also required to disclose commissions payable to the U.S. broker-dealer and the registered representative and current quotations for the securities. Finally, a U.S. broker-dealer is required to submit monthly statements disclosing recent price information with respect to the penny stock held in a customer’s account and information with respect to the limited market in penny stocks.
Stockholders should be aware that, according to SEC, the market for penny stocks has suffered in recent years from patterns of fraud and abuse. Such patterns include (i) control of the market for the security by one or a few broker-dealers that are often related to the promoter or issuer; (ii) manipulation of prices through prearranged matching of purchases and sales and false and misleading press releases; (iii) “boiler room” practices involving high-pressure sales tactics and unrealistic price projections by inexperienced sales persons; (iv) excessive and undisclosed bid-ask differentials and markups by selling broker-dealers; and (v) the wholesale dumping of the same securities by promoters and broker-dealers after prices have been manipulated to a desired level, resulting in investor losses. MYnd’s management is aware of the abuses that have occurred historically in the penny stock market. Although MYnd does not expect to be in a position to dictate the behavior of the market or of broker-dealers who participate in the market, management will strive within the confines of practical limitations to prevent the described patterns from being established with respect to MYnd’s securities in the event MYnd’s common stock were to again be considered a penny stock and therefore become subject to penny stock rules.
Other than a dividend of warrants each exercisable for one share of common stock that was distributed on July 27, 2017, MYnd has not paid dividends in the past and do not expect to pay dividends for the foreseeable future, and any return on investment may be limited to potential future appreciation on the value of MYnd’s common stock.
MYnd currently intend to retain any future earnings to support the development and expansion of MYnd’s business and do not anticipate paying cash dividends in the foreseeable future. MYnd’s payment of any future dividends will be at the discretion of MYnd’s board of directors after taking into account various factors, including without limitation, MYnd’s financial condition, operating results, cash needs, growth plans and the terms of any credit agreements that MYnd may be a party to at the time. To the extent MYnd does not pay dividends, MYnd’s stock may be less valuable because a return on investment will only occur if and to the extent MYnd’s stock price appreciates, which may never occur. In addition, investors must rely on sales of their common stock after price appreciation as the only way to realize their investment, and if the price of MYnd’s stock does not appreciate, then there will be no return on investment. Investors seeking cash dividends should not purchase MYnd’s common stock.
The rights of the holders of common stock may be impaired by the potential issuance of preferred stock.
MYnd’s certificate of incorporation gives MYnd’s board of directors the right to create new series of preferred stock. As a result, the board of directors may, without stockholder approval, issue preferred stock with voting, dividend, conversion, liquidation or other rights which could adversely affect the voting power and equity interest of the holders of common stock. Preferred stock, which could be issued with the right to more than one vote per share, could be utilized as a method of discouraging, delaying or preventing a change of control. The possible impact on takeover attempts could adversely affect the price of MYnd’s common stock. Although MYnd has no present intention to issue any additional shares of preferred stock or to create any new series of preferred stock, MYnd may issue such shares in the future.
50
MYnd’s officers, directors and principal stockholders can exert significant influence over MYnd and may make decisions that are not in the best interests of all stockholders.
MYnd’s officers, directors and principal stockholders (greater than 5% stockholders) collectively control approximately 28.32% of MYnd’s issued and outstanding common stock and 36.44% on a fully diluted basis (after giving effect to the full conversion of the Preferred Series A shares). As a result, these stockholders are able to affect the outcome of, or exert significant influence over, all matters requiring stockholder approval, including the election and removal of directors and any change in control. This concentration of ownership of MYnd’s common stock could have the effect of delaying or preventing a change of control of MYnd or otherwise discouraging or preventing a potential acquirer from attempting to obtain control of MYnd. This, in turn, could have a negative effect on the market price of MYnd’s common stock. It could also prevent MYnd’s stockholders from realizing a premium over the market prices for their shares of common stock. Moreover, the interests of this concentration of ownership may not always coincide with MYnd’s interests or the interests of other stockholders, and accordingly, they could cause MYnd to enter into transactions or agreements that MYnd would not otherwise consider.
Transactions involving MYnd’s common stock engaged in by MYnd’s largest stockholders, directors or executive officers may have an adverse effect on the price of MYnd’s stock.
MYnd’s officers, directors and principal stockholders (greater than 5% stockholders) collectively control approximately 28.32% of MYnd’s issued and outstanding common stock and 36.44% on a fully diluted basis (after giving effect to the full conversion of the Preferred Series A shares). Subsequent sales of MYnd’s shares by these stockholders could have the effect of lowering MYnd’s stock price. The perceived risk associated with the possible sale of a large number of shares by these stockholders, or the adoption of significant short positions by hedge funds or other significant investors, could cause some of MYnd’s stockholders to sell their stock, thus causing the price of MYnd’s stock to decline. In addition, actual or anticipated downward pressure on MYnd’s stock price due to actual or anticipated sales of stock by MYnd’s directors or officers could cause other institutions or individuals to engage in short sales of MYnd’s common stock, which may further cause the price of MYnd’s stock to decline.
From time to time MYnd’s directors and executive officers may sell shares of MYnd’s common stock on the open market. These sales will be publicly disclosed in filings made with the SEC. In the future, MYnd’s directors and executive officers may sell a significant number of shares for a variety of reasons unrelated to the performance of MYnd’s business. MYnd’s stockholders may perceive these sales as a reflection on management’s view of the business and result in some stockholders selling their shares of MYnd’s common stock. These sales could cause the price of MYnd’s stock to drop.
Anti-takeover provisions may limit the ability of another party to acquire MYnd, which could cause MYnd’s stock price to decline.
Delaware law contains provisions that could discourage, delay or prevent a third party from acquiring MYnd, even if doing so may be beneficial to MYnd’s stockholders, which could cause MYnd’s stock price to decline. In addition, these provisions could limit the price investors would be willing to pay in the future for shares of MYnd’s common stock.
Non-U.S. investors may have difficulty effecting service of process against MYnd or enforcing judgments against MYnd in courts of non-U.S. jurisdictions.
MYnd is a company incorporated under the laws of the State of Delaware. All of MYnd’s directors and officers reside in the United States. It may not be possible for non-U.S. investors to effect service of process within their own jurisdictions upon MYnd’s company and MYnd’s directors and officers. In addition, it may not be possible for non-U.S. investors to collect from MYnd’s company, its directors and officers, judgments obtained in courts in such non-U.S. jurisdictions predicated on non-U.S. legislation.
If securities or industry analysts do not publish or cease publishing research or reports about MYnd, MYnd’s business or MYnd’s market, or if they change their recommendations regarding MYnd’s stock adversely, MYnd’s stock price and trading volume could decline.
The trading market for MYnd’s common stock will be influenced by the research and reports that industry or securities analysts may publish about MYnd, MYnd’s business, MYnd’s market or MYnd’s competitors. If any of the analysts who may cover MYnd change their recommendation regarding MYnd’s stock adversely, or provide more favorable relative recommendations about MYnd’s competitors, MYnd’s stock price would likely decline. If any analyst who may cover MYnd were to cease coverage of MYnd’s company or fail to regularly publish reports on MYnd, MYnd could lose visibility in the financial markets, which in turn could cause MYnd’s stock price or trading volume to decline.
51
Risks Relating to the Spin-Off
The spin-off will occur immediately prior to, and is expressly conditioned upon, the closing of the Merger. All of those risk factors with respect to MYnd stated above are applicable to the shares of stock of Telemynd to be distributed further to the Spin-off. If any of those risks and uncertainties develops into actual events, these events could have a material adverse effect on Telemynd’s businesses, financial conditions or results of operations.
Risk Factors Related to Emmaus
Risks Related to Emmaus’ Financial Condition and Capital Requirements
Emmaus has incurred losses since inception and expects to continue to incur substantial losses for the foreseeable future, and Emmaus may never become profitable.
Emmaus has had limited revenue and have sustained significant losses since inception. Emmaus’ net losses were $57.9 million and $14.2 million for the year ended December 31, 2018 and the three months ended March 31, 2019, respectively, and Emmaus had an accumulated deficit of $170.9 million as of March 31, 2019. Since inception, Emmaus has funded Emmaus’ operations through the private sale of equity securities and convertible notes and from other loans. Emmaus is likely to sustain operating losses for the foreseeable future, and Emmaus expects that Emmaus will continue to fund Emmaus’ operations primarily through the issuance of equity or debt securities, or other sources, such as possible strategic partnerships. Such financings or other sources may not be available in amounts or on terms acceptable to Emmaus, if at all. Emmaus’ failure to raise capital as and when needed would inhibit Emmaus’ ability to continue operations and implement Emmaus’ commercialization and product development plans.
Emmaus expects to continue to incur significant operating losses and negative cash flow as it expands the commercialization of Endari™ in the U.S., seeks marketing authorization for Endari (Xyndari) in the EU and other foreign jurisdictions and commences its planned pilot Phase 2 trial of its pharmaceutical-grade L-glutamine oral powder, or PGLG, treatment for diverticulosis or other indications. These losses have had and will continue to have an adverse effect on Emmaus’ stockholders’ equity, total assets and working capital. Emmaus is unable to predict the extent of any future losses or if or when Emmaus will become profitable. Emmaus’ strategy depends heavily on the success of Endari for SCD. If Emmaus is unable to successfully expand the commercialization of Endari or any of Emmaus’ other product candidates, or if Emmaus experiences significant delays or unexpected costs in doing so, Emmaus’ business may fail. Even if Emmaus does achieve profitability, Emmaus may not be able to sustain or increase profitability.
Emmaus has limited cash resources and will require substantial additional funding and may be unable to raise capital when needed, which could force Emmaus to delay, reduce or eliminate planned activities or result in Emmaus’ inability to continue as a going concern.
Emmaus had cash and cash equivalents of $15.3 million (including $13.1 attributable to variable interest entity) as of March 31, 2019. Emmaus will require additional capital to successfully expand the commercialization of Endari for SCD and for potential future clinical trials and regulatory approvals of its PGLG, for diverticulosis or other indications, as well as further research and preclinical development of Emmaus’ CAOMECS technology. Emmaus has no committed sources of additional funding and Emmaus’ access to funding is uncertain. If Emmaus is not able to secure any needed funding, Emmaus may not be able to continue as going concern and may be forced to curtail commercialization of Endari or potential future clinical trials, seek to merge or be acquired by another company, cease operations altogether, file for bankruptcy, or undertake any combination of the foregoing. In such event, the holders of Emmaus’ common stock may lose their entire investment in Emmaus’ Company. Emmaus’ future capital requirements will depend on many factors, including the factors described below under “Risks Related to Commercialization of Endari” and “Risks Related to Development of Emmaus’ Product Candidates” and other factors discussed below in this section.
52
In addition, if Emmaus does not meet Emmaus’ payment obligations to third parties as they become due, Emmaus may be subject to litigation claims and its ability to raise additional capital would be adversely affected. Even if Emmaus is successful in defending against these claims, litigation could result in substantial costs and would be a distraction to management and may result in unfavorable results that could further adversely impact Emmaus’ financial condition.
Raising additional capital may cause dilution to Emmaus’ stockholders, restrict Emmaus’ operations or require Emmaus to relinquish rights.
Emmaus may seek additional capital through a combination of private and public equity offerings, debt financings and collaborations and strategic and licensing arrangements. To the extent that additional capital is raised through the sale of equity securities or securities convertible into or exchangeable for equity securities, the issuance of those securities would dilute existing stockholders’ percentage ownership in Emmaus. The terms of such securities may include liquidation or other preferences that could adversely affect the rights of Emmaus’ existing stockholders. Moreover, the incurrence of debt financing could result in a substantial portion of Emmaus’ future operating cash flow, if any, being dedicated to the payment of principal and interest on such indebtedness and could impose restrictions on Emmaus’ operations. This could render Emmaus more vulnerable to competitive pressures and economic downturns.
Debt financing, if available, would result in increased fixed payment obligations and may involve agreements that include grants of security interests in Emmaus’ assets or covenants limiting or restricting Emmaus’ ability to take specific actions such as incurring debt, making capital expenditures or declaring dividends. If Emmaus raises additional funds through collaboration, strategic alliance and licensing arrangements with third parties, Emmaus may have to relinquish valuable rights to Emmaus’ technologies, future revenue streams or product candidates, or grant licenses on terms that are unfavorable to Emmaus.
Emmaus has issued and may continue to issue debt instruments that are convertible or may include warrant features, which could result in the calculation of discounts on the debt issued and increased amortization of discount expenses and, therefore, increased net loss.
Under current accounting rules, Emmaus is required to recognize discounts on debt issued with stock conversion features or with attached or accompanying warrants which can result in amortization of the discount as an expense in Emmaus’ consolidated statement of comprehensive loss, based on the fair value of beneficial conversion feature or warrant on the date of issue. If Emmaus grant stock conversion features or warrants with debt instruments to attract capital, the expenses associated with amortization of the calculated discount may adversely affect Emmaus’ net loss. However, if Emmaus does not grant stock conversion features or warrants with debt instruments, Emmaus may not be able to attract debt capital.
The market price and trading volume of shares of common stock held by Emmaus in other companies could decline.
Emmaus holds marketable securities in other companies. The marketable securities recorded on Emmaus’ balance sheets are marked-to-market on a quarterly basis and could fluctuate significantly and may decline for many reasons, including reasons unrelated to the companies’ performance, such as reports by industry analysts, investor perceptions, share arbitrage, the exercise of options or warrants or the conversion of convertible notes or announcements by Emmaus’ competitors regarding their own performance, as well as general economic and industry conditions. A decline in the market value of Emmaus’ marketable securities would reduce its total assets and stockholders’ equity or increase its stockholders’ deficit, which could have a material adverse effect on the ability to satisfy the NASDAQ Approval Condition.
Risks Related to Commercialization of Endari
Emmaus is at an early stage in the commercialization of Endari. Emmaus cannot predict if or when Emmaus will generate sufficient revenues to become profitable.
Endari for treatment of SCD was approved for sale by the FDA on July 7, 2017, and in January 2018 Emmaus began marketing and selling Endari in the U.S., so there is limited historical basis upon which to assess how Emmaus will respond to regulatory, competitive or other challenges to Emmaus’ ability to commercialize Endari on a profitable basis. Emmaus is unable to predict the amount of revenues or profits, if any, that Emmaus will generate from the sale of Endari.
53
Emmaus’ ability to generate sufficient revenues from Endari and to transition to profitability and generate positive cash flow will depend on numerous factors described in the following risk factors, and Emmaus may continue to incur losses and negative cash flow and may never transition to profitability or positive cash flow. In particular, Emmaus expects its operating expenses to continue to increase in the near-term as Emmaus expands the commercialization of Endari, and Emmaus may not be able to generate sufficient revenues to offset this anticipated increase in expenses. If Emmaus is unable to transition to profitability and generate positive cash flow over time, Emmaus’ business, results of operations and financial condition would be materially and adversely affected, which could result in Emmaus’ inability to continue operations.
Emmaus is dependent on the commercial success of Emmaus’ only approved product, Endari, and, although Emmaus expects to generate significant revenues from sales of Endari, Emmaus may never become profitable.
In the near term, Emmaus’ ability to become profitable will depend upon the commercial success of Endari. In addition to the risks discussed elsewhere in this section, Emmaus’ ability to generate future revenues from the sale of Endari will depend on a number of factors, including, but not limited to:
| ● | achievement of broad market acceptance and coverage by third-party payors for Endari; |
| ● | the effectiveness of Emmaus’ efforts in marketing and selling Endari; |
| ● | Emmaus’ and Emmaus’ contract manufacturers’ ability to successfully manufacture commercial quantities of Endari at acceptable cost levels and in compliance with regulatory requirements; |
| ● | Emmaus’ ability to maintain a cost-efficient commercial organization and, to the extent Emmaus seek to do so, successfully partner with additional third parties; |
| ● | Emmaus’ ability to effectively work with physicians to ensure that patients are treated to an effective dose of Endari; |
| ● | the efficacy and safety of Endari; and |
| ● | Emmaus’ ability to comply with ongoing regulatory requirements. |
Because of the numerous risks and uncertainties associated with Emmaus’ commercialization efforts, Emmaus is unable to predict the extent to which Emmaus will generate revenues from Endari or the timing for when or the extent to which Emmaus will become profitable, if ever. Even if Emmaus does achieve significant revenues from Endari and become profitable, Emmaus may not be able to sustain Emmaus’ revenues or maintain or increase profitability on an ongoing basis.
If Endari does not achieve broad market acceptance or coverage by third-party payors, the revenues that Emmaus generate from that product will be limited.
The commercial success of Endari will depend upon the acceptance of that product by physicians, patients, healthcare payors and the medical community. Coverage and reimbursement for that product by third-party payors is also necessary for commercial success. The degree of market acceptance of Endari will depend on a number of factors, including:
| ● | Emmaus’ ability to provide acceptable evidence of safety and efficacy; |
| ● | acceptance by physicians and patients of the product as a safe and effective treatment; |
| ● | the relative convenience and ease of administration; |
| ● | the prevalence and severity of adverse side effects; |
| ● | limitations or warnings contained in Endari’s FDA-approved labeling; |
| ● | the clinical indications for which Endari is approved; |
| ● | availability and perceived advantages of alternative treatments; |
54
| ● | any negative publicity related to Endari or Emmaus’ competitors’ products; |
| ● | the effectiveness of Emmaus’ or any current or future collaborators’ sales, marketing and distribution strategies; |
| ● | pricing and cost effectiveness; |
| ● | Emmaus’ ability to obtain sufficient third-party payor coverage and reimbursement; |
| ● | the willingness of patients to pay out of pocket in the absence of third-party payor coverage; and |
| ● | Emmaus’ ability to maintain compliance with regulatory requirements. |
Emmaus’ efforts to educate the medical community and third-party payors on the benefits of Endari and gain broad market acceptance may require significant resources and may never be successful.
In addition, SCD treatments can be costly to third-party payors and patients. Accordingly, hospitals and physicians may resist prescribing Endari and third-party payors, and patients may not purchase Endari due to cost considerations. If Endari does not achieve an adequate level of acceptance by physicians, third-party payors and patients, Emmaus may not generate sufficient revenue to become or remain profitable. Emmaus has no internal manufacturing capabilities. Emmaus purchase PGLG utilized in connection with Endari from third parties. Emmaus’ ability to obtain PGLG in sufficient quantities and quality, and on a timely basis, is critical to Emmaus’ commercialization of Endari. There is no assurance that these suppliers will produce PGLG in the quantities and quality and at the times it is needed, if at all. Moreover, the replacement of any of these suppliers could lead to significant delays and increases in Emmaus’ costs.
Emmaus relies on third parties for the commercial supply of Endari. Emmaus’ ability to commercially supply Endari will depend, in part, on Emmaus’ ability to successfully outsource most, if not all, of the aspects of its commercial manufacture at competitive costs and in accordance with regulatory requirements. If Emmaus fails to maintain supply relationships with these third parties, Emmaus may be unable to continue to commercialize Endari.
If Emmaus’ third-party suppliers fail to deliver the required commercial quantities of Endari on a timely basis and at commercially reasonable prices, and Emmaus is unable to find one or more replacement manufacturers or suppliers on a timely basis, Endari sales could be interrupted, which could have a material adverse effect on Emmaus’ business, results of operations and financial condition.
The manufacture of pharmaceutical products generally requires significant expertise and capital investment, often including the development of advanced manufacturing techniques and process controls. Manufacturers of pharmaceutical products often encounter difficulties in production, particularly in scaling up and validating initial production. These problems can include difficulties with production costs and yields, quality control, including stability of the product, quality assurance testing, shortages of qualified personnel, as well as compliance with strictly enforced federal, state and foreign regulations. Additionally, Emmaus’ manufacturers may experience difficulties due to resource constraints, labor disputes, unstable political environments or natural disasters. If Emmaus’ manufacturers were to encounter any of these difficulties, or otherwise fail to comply with their contractual obligations for any reason, Emmaus’ ability to commercially supply Endari could be jeopardized. Any delay or interruption in Emmaus’ ability to commercially supply Endari will result in the loss of potential revenues and could adversely affect the market’s acceptance of that product.
Manufacturers and suppliers are subject to regulatory requirements including current cGMPs which cover, among other things, manufacturing, testing, quality control and recordkeeping relating to Endari, and are subject to ongoing inspections by FDA, the Drug Enforcement Agency, DEA, and other regulatory agencies. Emmaus does not control the manufacturing processes of third-party manufacturers, and Emmaus will be currently completely dependent on them. If any of Emmaus’ third-party manufacturers cannot successfully manufacture product that conforms to Emmaus’ specifications and the applicable regulatory authorities’ strict regulatory requirements, they will not be able to secure or maintain regulatory approval for the manufacturing facilities. In addition, Emmaus has no control over the ability of third-party manufacturers to maintain adequate quality control, quality assurance and qualified personnel. If the FDA or any other applicable regulatory authorities do not approve these facilities for the manufacture of Endari or if they withdraw any such approval in the future, Emmaus may need to find alternative manufacturing facilities, which would significantly impact Emmaus’ ability to commercially supply Endari.
55
Emmaus may not be successful in executing sales and marketing strategies for Endari.
Emmaus has contracted for a targeted sales force of sales representatives and for Endari™ marketing, trade and distribution functions. There is no assurance that Emmaus’ will be successful in commercializing Endari. Emmaus’ potential competitors currently have in-house sales and marketing organizations and significantly greater experience than Emmaus does in selling, marketing and distributing pharmaceuticals, and Emmaus may not be able to compete successfully with them.
Emmaus faces intense competition, including from non-pharmaceutical grade L-glutamine supplements, and if Emmaus’ competitors market or develop alternative treatments that are demonstrated to be safer or more effective than Endari, Emmaus’ commercial opportunities will be reduced or eliminated.
L-glutamine is manufactured in large quantities, primarily by a few large chemical companies, and processed and sold as nutritional supplements. The sale of non-pharmaceutical grade L-glutamine supplements at prices lower than the prices that Emmaus must charge for Endari to become and remain profitable could have a material adverse effect on Emmaus’ results of operations.
The pharmaceutical industry is characterized by rapidly advancing technologies, intense competition and a strong emphasis on developing proprietary therapeutics. Emmaus faces competition from a number of sources, some of which may target the same indications as Endari, such as pharmaceutical companies, including generic drug companies, biotechnology companies, drug delivery companies and academic and research institutions, many of which have greater financial resources, marketing capabilities, including well-established sales forces, manufacturing capabilities, research and development capabilities, experience in obtaining regulatory approvals for product candidates and other resources than Emmaus.
If Emmaus is unable to achieve and maintain adequate levels of coverage and reimbursement for Endari, on reasonable pricing terms, its commercial success may be severely hindered.
Successful sales of Endari depend on the availability of adequate coverage and reimbursement from third-party payors. Patients who are prescribed medicine for the treatment of their conditions generally rely on third-party payors to reimburse all or part of the costs associated with their prescription drugs. Adequate coverage and reimbursement from governmental healthcare programs, such as Medicare and Medicaid, and commercial payors is critical to new product acceptance. Coverage decisions may depend upon clinical and economic standards that disfavor new drug products when more established or lower cost therapeutic alternatives are already available or subsequently become available. Assuming Emmaus obtain coverage for Endari, the resulting reimbursement payment rates might not be adequate or may require co-payments that patients find unacceptably high. Patients are unlikely to use Endari unless reimbursement is adequate to cover a significant portion of the cost of Endari.
In addition, the market for Endari will depend significantly on access to third-party payors’ drug formularies, or lists of medications for which third-party payors provide coverage and reimbursement. The industry competition to be included in such formularies often leads to downward pricing pressures on pharmaceutical companies. Also, third-party payors may refuse to include a particular branded drug in their formularies or otherwise restrict patient access to a branded drug when a less costly generic equivalent or other alternative is available.
Third-party payors, whether governmental or commercial, are developing increasingly sophisticated methods of controlling healthcare costs. In addition, in the United States, no uniform policy of coverage and reimbursement for drug products exists among third-party payors. Therefore, coverage and reimbursement for drug products can differ significantly from payor to payor. As a result, the coverage determination process is often a time-consuming and costly process that will require Emmaus to provide scientific and clinical support for the use of Endari to each payor separately, with no assurance that coverage and adequate reimbursement will be obtained.
Further, Emmaus believes that future coverage and reimbursement will likely be subject to increased restrictions in the United States. Third-party coverage and reimbursement for Endari may cease to be available or adequate in the United States, which could have a material adverse effect on Emmaus’ business, results of operations, financial condition and prospects.
The majority of Endari sales are to specialty distributors and specialty pharmacies who, in turn, resell Endari to pharmacies, hospitals and other customers. The loss of any of these specialty distributors and specialty pharmacies’ accounts or a material reduction in their Endari purchases could have a material adverse effect on Emmaus’ business, results of operations, financial condition and prospects.
56
In addition, these customers comprise a significant part of the distribution network for pharmaceutical products in the United States. This distribution network has undergone, and may continue to undergo, significant consolidation marked by mergers and acquisitions. As a result, a small number of large distributors control a significant share of the market. Consolidation of drug distributors has increased, and may continue to increase, competitive and pricing pressures on pharmaceutical products. Emmaus cannot assure you that Emmaus can manage these pricing pressures or that specialty distributor and specialty pharmacy purchases will not fluctuate unexpectedly from period to period.
Emmaus’ sales of Endari can be greatly affected by the inventory levels Emmaus’ distributors carry. Emmaus will monitor inventory of Endari using a combination of methods. However, Emmaus’ estimates of specialty distributor inventories may differ significantly from actual inventory levels. Significant differences between actual and estimated inventory levels may result in excessive production (requiring Emmaus to hold substantial quantities of unsold inventory), inadequate supplies of products in distribution channels, insufficient product available at the retail level, and unexpected increases or decreases in orders from Emmaus’ specialty distributors. These changes may cause Emmaus’ revenues to fluctuate significantly from quarter to quarter, and in some cases may cause Emmaus’ operating results for a particular quarter to be below Emmaus’ expectations or the expectations of securities analysts or investors. In addition, at times, specialty distributor purchases may exceed customer demand, resulting in reduced specialty distributor purchases in later quarters, which may result in substantial fluctuations in Emmaus’ results of operations from period to period. If Emmaus’ financial results are below expectations for a particular period, the market price of Emmaus’ common stock may drop significantly.
Emmaus expects to rely on third parties to perform many necessary services for Endari, including services related to distribution, invoicing, storage and transportation.
Emmaus expects to retain third-party service providers to perform a variety of functions related to the sale and distribution of Endari, key aspects of which will be out of Emmaus’ direct control. For example, Emmaus may rely on third parties to provide key services related to logistics, warehousing and inventory management, distribution, contract administration and chargeback processing, accounts receivable management and call center management and, as a result, most of Emmaus’ Endari inventory may be stored at warehouses maintained by the service providers. If these third-party service providers fail to comply with applicable laws and regulations, fail to meet expected deadlines, or otherwise do not carry out their contractual duties to Emmaus, or encounter physical damage or natural disaster at their facilities, Emmaus’ ability to deliver Endari to meet commercial demand would be significantly impaired. In addition, Emmaus expects to utilize third parties to perform various other services for Emmaus relating to sample accountability and regulatory monitoring, including adverse event reporting, safety database management and other product maintenance services. If the quality or accuracy of the data maintained by these service providers is insufficient, Emmaus’ ability to continue to market Endari could be jeopardized or Emmaus could be subject to regulatory sanctions. Emmaus does not currently have the internal capacity to perform these important commercial functions, and Emmaus may not be able to maintain commercial arrangements for these services on reasonable terms.
Emmaus will need to increase the size and complexity of Emmaus’ organization in the future, and Emmaus may experience difficulties in managing Emmaus’ growth and executing Emmaus’ growth strategy.
Emmaus’ management and personnel, systems and facilities currently in place may not be adequate to support Emmaus’ business plan and future growth. With the commercialization of Endari scheduled to begin in the first quarter of 2018, Emmaus will need to expand Emmaus’ scientific, sales and marketing, managerial, operational, financial and other resources to support Emmaus’ planned development and commercialization activities.
Emmaus’ need to effectively manage Emmaus’ operations, growth and projects related to Endari requires that Emmaus:
| ● | continue to improve Emmaus’ operational, financial, management and regulatory compliance controls and reporting systems and procedures; |
| ● | attract and retain sufficient numbers of talented employees; |
| ● | manage Emmaus’ commercialization activities for Endari effectively and in a cost-effective manner; |
| ● | manage Emmaus’ development efforts effectively while carrying out Emmaus’ contractual obligations to contractors and other third parties; and |
| ● | continue to improve Emmaus’ facilities. |
57
In addition, historically, Emmaus has utilized and continues to utilize the services of part-time outside consultants to perform a number of tasks for Emmaus, including tasks related to accounting and finance, compliance programs, clinical trial management, regulatory affairs, formulation development and other drug development functions. Emmaus’ growth strategy related to Endari may also entail expanding Emmaus’ use of consultants to implement these and other tasks going forward. Because Emmaus relies on consultants for certain functions of Emmaus’ business, Emmaus will need to be able to effectively manage these consultants to ensure that they successfully carry out their contractual obligations and meet expected deadlines. There can be no assurance that Emmaus will be able to manage Emmaus’ existing consultants or find other competent outside consultants, as needed, on economically reasonable terms, or at all. If Emmaus is not able to effectively expand Emmaus’ organization by hiring new employees and expanding Emmaus’ use of consultants, Emmaus may be unable to successfully implement the tasks necessary to effectively execute on Emmaus’ Endari-related development and commercialization activities and, accordingly, may not achieve Emmaus’ goals.
If Emmaus fails to attract and keep management and other key personnel, as well as Emmaus’ board members, Emmaus may be unable to successfully commercialize Endari.
Emmaus’ ability to compete in the highly competitive biotechnology and pharmaceuticals industries depends upon Emmaus’ ability to attract and retain highly qualified managerial, scientific, medical and other personnel. Emmaus is highly dependent on Emmaus’ management, scientific and medical personnel, as well as Emmaus’ board members. The loss of the services of any of these individuals could impede, delay or prevent the commercialization of Endari. If Emmaus loses the services of any of these individuals, Emmaus may not be able to find suitable replacements on a timely basis or at all, and Emmaus’ business would likely be harmed as a result. Emmaus does not maintain “key man” insurance policies on the lives of these individuals or the lives of any of Emmaus’ other employees.
Emmaus may not be able to attract or retain qualified management and other key personnel in the future due to the intense competition for qualified personnel among biotechnology, pharmaceutical and other businesses. Emmaus’ industry has experienced a high rate of turnover of management personnel in recent years. As such, Emmaus could have difficulty attracting experienced personnel to Emmaus’ company and may be required to expend significant financial resources in Emmaus’ employee recruitment and retention efforts. Many of the other biotechnology and pharmaceutical companies with whom Emmaus compete for qualified personnel have greater financial and other resources, different risk profiles and longer histories in the industry than Emmaus do. They also may provide more diverse opportunities and better chances for career advancement. Some of these characteristics may be more appealing to high-quality candidates than that which Emmaus has to offer. If Emmaus is not able to attract and retain the necessary personnel to accomplish Emmaus’ business objectives, Emmaus may experience constraints that will impede significantly Emmaus’ ability to implement Emmaus’ business strategy and achieve Emmaus’ business objectives.
In addition, Emmaus has scientific and clinical advisors who will assist Emmaus in Emmaus’ commercialization strategies for Endari. These advisors are not Emmaus’ employees and may have commitments to, or consulting or advisory contracts with, other entities that may limit their availability to Emmaus. In addition, Emmaus’ advisors may have arrangements with other companies to assist those companies in developing products or technologies that may compete with ours.
58
Emmaus faces potential product liability exposure relating to Endari and, if successful claims are brought against Emmaus, Emmaus may incur substantial liability if Emmaus’ insurance coverage for those claims is inadequate.
The commercial use of Endari will expose Emmaus to the risk of product liability claims. This risk exists even if a product is approved for commercial sale by the FDA and manufactured in facilities licensed and regulated by the FDA, such as the case with Endari. Endari is designed to affect important bodily functions and processes. Any side effects, manufacturing defects, misuse or abuse associated with Endari could result in injury to a patient or even death. In addition, a liability claim may be brought against Emmaus even if Endari merely appears to have caused an injury. Product liability claims may be brought against Emmaus by consumers, health care providers, pharmaceutical companies or others selling or otherwise coming into contact with Endari. If Emmaus cannot successfully defend itself against product liability claims, Emmaus could incur substantial liabilities. In addition, regardless of merit or eventual outcome, product liability claims may result in:
| ● | decreased demand for Endari; |
| ● | impairment of Emmaus’ business reputation; |
| ● | recall or withdrawal of Endari from the market; |
| ● | costs of related litigation; |
| ● | distraction of management’s attention from Emmaus’ business; |
| ● | substantial monetary awards to patients or other claimants; or |
| ● | loss of revenues. |
Emmaus has obtained product liability insurance coverage for commercial product sales with a $5 million per occurrence and a $5 million annual aggregate coverage limit. Emmaus also carry commercial excess and umbrella coverage with an additional $10 million per occurrence and an additional $10 million annual aggregate coverage limit. Emmaus’ insurance coverage may not be sufficient to cover all of Emmaus’ product liability related expenses or losses and may not cover Emmaus for any expenses or losses Emmaus may suffer. Moreover, insurance coverage is becoming increasingly expensive and, in the future, Emmaus may not be able to maintain insurance coverage at a reasonable cost, in sufficient amounts or upon adequate terms to protect Emmaus against losses due to product liability. If Emmaus determine that it is prudent to increase Emmaus’ product liability coverage based on sales of Endari, Emmaus may be unable to obtain this increased product liability insurance on commercially reasonable terms or at all. Large judgments have been awarded in class action or individual lawsuits based on drugs that had unanticipated side effects, including side effects that are less severe than those of Endari. A successful product liability claim or series of claims brought against Emmaus could cause the value of Emmaus common stock to decline and, if judgments exceed Emmaus’ insurance coverage, could decrease Emmaus’ cash and have a material adverse effect Emmaus’ business, results of operations, financial condition and prospects.
Emmaus’ business involves the use of hazardous materials and Emmaus and Emmaus’ third-party manufacturers and suppliers must comply with environmental laws and regulations, which can be expensive and restrict how Emmaus does business.
Emmaus’ third-party manufacturers’ and suppliers’ activities involve the controlled storage, use and disposal of hazardous materials. Emmaus and Emmaus’ manufacturers and suppliers are subject to laws and regulations governing the use, manufacture, storage, handling and disposal of these hazardous materials. In some cases, these hazardous materials and various wastes resulting from their use will be stored at Emmaus’ and Emmaus’ manufacturers’ facilities pending use and disposal. Emmaus cannot completely eliminate the risk of contamination, which could cause an interruption of Emmaus’ Endari commercialization efforts, injury to Emmaus’ employees and others, environmental damage resulting in costly clean-up and liabilities under applicable laws and regulations governing the use, storage, handling and disposal of these materials and specified waste products. Although Emmaus expects that the safety procedures utilized by Emmaus’ third-party manufacturers for handling and disposing of these materials will generally comply with the standards prescribed by these laws and regulations, Emmaus cannot guarantee that this will be the case or eliminate the risk of accidental contamination or injury from these materials. In such an event, Emmaus may be held liable for any resulting damages and such liability could exceed Emmaus’ resources. Emmaus does not currently carry biological or hazardous waste insurance coverage and Emmaus’ property and casualty and general liability insurance policies specifically exclude coverage for damages and fines arising from biological or hazardous waste exposure or contamination.
Endari will be subject to ongoing and continued regulatory review, which may result in significant expense and limit Emmaus’ ability to commercialize Endari.
Even after U.S. regulatory approval for a product is obtained as is the case with Endari, the FDA may still impose significant restrictions on the approved indicated uses for which the product may be marketed or on the conditions of approval. For example, a product’s approval may contain requirements for potentially costly post-approval studies and surveillance, including Phase 4 clinical trials, to monitor the safety and efficacy of the product. Emmaus will also be subject to ongoing FDA obligations and continued regulatory review with respect to the manufacturing, processing, labeling, packaging, distribution, adverse event reporting, storage, advertising, promotion and recordkeeping for Endari. These requirements include submissions of safety and other post-marketing information and reports, registration, as well as continued compliance with cGMPs, good clinical practices and good laboratory practices.
59
Manufacturers of drug products and their facilities are subject to continual review and periodic inspections by the FDA and other regulatory authorities for compliance with cGMP regulations. If Emmaus or a regulatory agency discovers previously unknown problems with a product, such as adverse events of unanticipated severity or frequency, or problems with the facility where, or processes by which, the product is manufactured, a regulatory agency may impose restrictions on that product, the manufacturer or Emmaus, including requiring product recall, notice to physicians, withdrawal of the product from the market or suspension of manufacturing.
If Emmaus, Endari or the manufacturing facilities for Endari fail to comply with applicable regulatory requirements, a regulatory agency may:
| ● | impose restrictions on the marketing or manufacturing of Endari, suspend or withdraw product approvals or revoke necessary licenses; |
| ● | issue warning letters, show cause notices or untitled letters describing alleged violations, which may be publicly available; |
| ● | commence criminal investigations and prosecutions; |
| ● | impose injunctions, suspensions or revocations of necessary approvals or other licenses; |
| ● | impose fines or other civil or criminal penalties; |
| ● | deny or reduce quota allotments for the raw material for commercial production of Endari; |
| ● | suspend or impose restrictions on operations, including costly new manufacturing requirements; or |
| ● | seize Endari or require Emmaus to initiate a product recall. |
In addition, Emmaus’ product labeling, advertising and promotion are subject to regulatory requirements and continuing regulatory review. The FDA strictly regulates the promotional claims that may be made about prescription drug products. In particular, a drug product may not be promoted for uses that are not approved by the FDA as reflected in the product’s approved labeling, although the FDA does not regulate the prescribing practices of physicians. The FDA and other agencies actively enforce the laws and regulations prohibiting the promotion of off-label uses, and a company that is found to have improperly promoted off-label uses may be subject to significant liability, including substantial monetary penalties and criminal prosecution.
The FDA’s regulations, policies or guidance may change and new or additional statutes or government regulations may be enacted that could further restrict or regulate post-approval activities relating to Endari. Emmaus cannot predict the likelihood, nature or extent of adverse government regulation that may arise from future legislation or administrative action. If Emmaus is not able to achieve and maintain regulatory compliance, Emmaus may not be permitted to market Endari, which would adversely affect Emmaus’ ability to generate revenue and achieve or maintain profitability.
Endari may cause undesirable side effects or have other unexpected properties that could result in post-approval regulatory action.
If Emmaus or others identify undesirable side effects, or other previously unknown problems, caused by Endari or other products with the same or related active ingredients, a number of potentially significant negative consequences could result, including:
| ● | regulatory authorities may withdraw their approval of Endari; |
| ● | regulatory authorities may require Emmaus to recall Endari; |
| ● | regulatory authorities may require the addition of warnings in the product label or narrowing of the indication in the product label; |
| ● | Emmaus may be required to create a Medication Guide outlining the risks of such side effects for distribution to patients; |
60
| ● | Emmaus may be required to change the way Endari is administered or modify Endari in some other way; |
| ● | the FDA may require Emmaus to conduct additional clinical trials or costly post-marketing testing and surveillance to monitor the safety or efficacy of the product; |
| ● | Emmaus could be sued and held liable for harm caused to patients; and |
| ● | Emmaus’ reputation may suffer. |
Any of the above events resulting from undesirable side effects or other previously unknown problems could prevent Emmaus from achieving or maintaining market acceptance of Endari and could substantially increase the costs of commercializing Endari.
Emmaus is subject to numerous complex regulations and failure to comply with these regulations, or the cost of compliance with these regulations, may harm Emmaus’ business.
The research, testing, development, manufacturing, quality control, approval, labeling, packaging, storage, recordkeeping, promotion, advertising, marketing, distribution, possession and use of Endari are subject to regulation by numerous governmental authorities in the United States. The FDA regulates drugs under the Federal Food, Drug and Cosmetic Act (the “FDCA”) and implementing regulations. Noncompliance with any applicable regulatory requirements can result in refusal to approve products for marketing, warning letters, product recalls or seizure of products, total or partial suspension of production, prohibitions or limitations on the commercial sale of products or refusal to allow the entering into of federal and state supply contracts, fines, civil penalties and/or criminal prosecution. Additionally, the FDA and comparable governmental authorities have the authority to withdraw product approvals that have been previously granted. Moreover, the regulatory requirements relating to Endari may change from time to time, and it is impossible to predict what the impact of any such changes may be.
Health care reform measures and changes in policies, funding, staffing and leadership at the FDA and other agencies could hinder or prevent the commercial success of Endari.
In the United States, there have been a number of legislative and regulatory changes to the healthcare system in ways that could affect Emmaus’ future results of operations and the future results of operations of Emmaus’ potential customers. For example, the Medicare Prescription Drug, Improvement, and Modernization Act of 2003 established a new Part D prescription drug benefit, which became effective January 1, 2006. Under the prescription drug benefit, Medicare beneficiaries can obtain prescription drug coverage from private sector plans that are permitted to limit the number of prescription drugs that are covered in each therapeutic category and class on their formularies. If Endari is not widely included on the formularies of these plans, Emmaus’ ability to market Endari may be adversely affected.
Furthermore, there have been and continue to be a number of initiatives at the federal and state levels that seek to reduce healthcare costs. In March 2010, President Obama signed into law the Patient Protection and Affordable Health Care Act of 2010, as amended by the Health Care and Education Affordability Reconciliation Act of 2010 (jointly, the “PPACA”), which includes measures to significantly change the way health care is financed by both governmental and private insurers. Among the provisions of the PPACA of importance to the pharmaceutical industry are the following:
| ● | an annual, nondeductible fee on any entity that manufactures or imports certain branded prescription drugs and biologic agents, apportioned among these entities according to their market share in certain government healthcare programs; |
| ● | an increase in the statutory minimum rebates a manufacturer must pay under the Medicaid Drug Rebate Program, retroactive to January 1, 2010, to 23% and 13% of the average manufacturer price for most branded and generic drugs, respectively; |
| ● | a new Medicare Part D coverage gap discount program, in which manufacturers must agree to offer 50% point-of-sale discounts off negotiated prices of applicable brand drugs to eligible beneficiaries during their coverage gap period, as a condition for the manufacturer’s outpatient drugs to be covered under Medicare Part D; |
| ● | extension of manufacturers’ Medicaid rebate liability to covered drugs dispensed to individuals who are enrolled in Medicaid managed care organizations; |
61
| ● | expansion of eligibility criteria for Medicaid programs by, among other things, allowing states to offer Medicaid coverage to additional individuals and by adding new mandatory eligibility categories for certain individuals with income at or below 133% of the Federal Poverty Level, thereby potentially increasing both the volume of sales and manufacturers’ Medicaid rebate liability; |
| ● | expansion of the entities eligible for discounts under the Public Health Service pharmaceutical pricing program; |
| ● | new requirements to report certain financial arrangements with physicians and teaching hospitals, as defined in the PPACA and its implementing regulations, including reporting any “transfer of value” made or distributed to teaching hospitals, prescribers, and other healthcare providers and reporting any ownership and investment interests held by physicians and their immediate family members and applicable group purchasing organizations during the preceding calendar year, with data collection required and reporting to the CMS required by the 90th day of each calendar year; |
| ● | a new requirement to annually report drug samples that manufacturers and distributors provide to physicians; |
| ● | expansion of health care fraud and abuse laws, including the False Claims Act and the Anti-Kickback Statute, new government investigative powers, and enhanced penalties for noncompliance; |
| ● | a licensure framework for follow-on biologic products; |
| ● | a new Patient-Centered Outcomes Research Institute to oversee, identify priorities in, and conduct comparative clinical effectiveness research, along with funding for such research; |
| ● | creation of the Independent Payment Advisory Board which, beginning in 2014, will have authority to recommend certain changes to the Medicare program that could result in reduced payments for prescription drugs and those recommendations could have the effect of law even if Congress does not act on the recommendations; and |
| ● | establishment of a Center for Medicare Innovation at the CMS to test innovative payment and service delivery models to lower Medicare and Medicaid spending, potentially including prescription drug spending. |
Additionally, individual states have become increasingly aggressive in passing legislation and implementing regulations designed to control pharmaceutical product pricing, including price or patient reimbursement constraints, discounts, restrictions on certain product access, and marketing cost disclosure and transparency measures, and designed to encourage importation from other countries and bulk purchasing. Legally-mandated price controls on payment amounts by third-party payors or other restrictions could harm Emmaus’ business, results of operations, financial condition and prospects.
In addition, regional healthcare authorities and individual hospitals are increasingly using bidding procedures to determine what pharmaceutical products and which suppliers will be included in their prescription drug and other healthcare programs. This can reduce demand for Endari or put pressure on Emmaus’ product pricing, which could negatively affect Emmaus’ business, results of operations, financial condition and prospects.
The commercial success of Endari will depend, in part, upon the availability of coverage and reimbursement from third-party payors at the federal, state and private levels. Third-party payors include governmental programs such as Medicare or Medicaid, private insurance plans and managed care plans. These third-party payors may deny coverage or reimbursement for a product or therapy in whole or in part if they determine that the product or therapy was not medically appropriate or necessary. Also, third-party payors have attempted to control costs by limiting coverage through the use of formularies and other cost-containment mechanisms and the amount of reimbursement for particular procedures or drug treatments.
62
Additionally, given recent federal and state government initiatives directed at lowering the total cost of healthcare, Congress and state legislatures will likely continue to focus on healthcare reform, the cost of prescription drugs and the reform of the Medicare and Medicaid programs. While Emmaus cannot predict the full outcome of any such legislation, it may result in decreased reimbursement for prescription drugs, which may further exacerbate industry-wide pressure to reduce prescription drug prices. This could harm Emmaus’ ability to market Endari and generate revenues. In addition, legislation has been introduced in Congress that, if enacted, would permit more widespread importation or re-importation of pharmaceutical products from foreign countries into the United States, including from countries where the products are sold at lower prices than in the United States. Such legislation, or similar regulatory changes, could lead to a decision to decrease Emmaus’ prices to better compete, which, in turn, could adversely affect Emmaus’ business, results of operations, financial condition and prospects. It is also possible that other legislative proposals having similar effects will be adopted.
Furthermore, regulatory authorities’ assessment of the data and results required to demonstrate safety and efficacy can change over time and can be affected by many factors, such as the emergence of new information, including on other products, changing policies and agency funding, staffing and leadership. Emmaus cannot be sure whether future changes to the regulatory environment will be favorable or unfavorable to Emmaus’ business prospects.
If Emmaus fails to comply with federal and state healthcare laws, including fraud and abuse and health information privacy and security laws, Emmaus could face substantial penalties and Emmaus’ business, results of operations, financial condition and prospects could be adversely affected.
As a pharmaceutical company, even though Emmaus does not and will not control referrals of healthcare services or bill directly to Medicare, Medicaid or other third-party payors, certain federal and state healthcare laws and regulations pertaining to fraud and abuse and patients’ rights are and will be applicable to Emmaus’ business. Emmaus could be subject to healthcare fraud and abuse and patient privacy regulation by both the federal government and the states in which Emmaus conduct Emmaus’ business. The laws that may affect Emmaus’ ability to operate include:
| ● | the federal Anti-Kickback Statute, which constrains Emmaus’ marketing practices, educational programs, pricing policies, and relationships with healthcare providers or other entities, by prohibiting, among other things, soliciting, receiving, offering or paying remuneration, directly or indirectly, to induce, or in return for, either the referral of an individual or the purchase or recommendation of an item or service reimbursable under a federal healthcare program, such as the Medicare and Medicaid programs; |
| ● | federal civil and criminal false claims laws and civil monetary penalty laws, which prohibit, among other things, individuals or entities from knowingly presenting, or causing to be presented, claims for payment from Medicare, Medicaid, or other third-party payors that are false or fraudulent; |
| ● | the federal Health Insurance Portability and Accountability Act of 1996 (“HIPAA”), which created new federal criminal statutes that prohibit executing a scheme to defraud any healthcare benefit program or making false statements relating to healthcare matters; |
| ● | HIPAA, as amended by the Health Information Technology for Economic and Clinical Health Act of 2009 (“HITECH”), and its implementing regulations, which imposes certain requirements relating to the privacy, security and transmission of individually identifiable health information; and |
| ● | state law equivalents of each of the above federal laws, such as anti-kickback and false claims laws which may apply to items or services reimbursed by any third-party payor, including commercial insurers, and state laws governing the privacy and security of health information in certain circumstances, many of which differ from each other in significant ways and often are not preempted by HIPAA, thus complicating compliance efforts. |
Because of the breadth of these laws and the narrowness of the statutory exceptions and safe harbors available under the U.S. federal Anti-Kickback Statute, it is possible that some of Emmaus’ business activities could be subject to challenge under one or more of such laws. If Emmaus or Emmaus’ operations are found to be in violation of any of the laws described above or any other governmental regulations that apply to Emmaus, Emmaus may be subject to penalties, including civil and criminal penalties, damages, fines, exclusion from participation in U.S. federal or state health care programs, and the curtailment or restructuring of Emmaus’ operations. Any penalties, damages, fines, curtailment or restructuring of Emmaus’ operations could materially adversely affect Emmaus’ ability to operate Emmaus’ business and Emmaus’ financial results.
The FDA provides guidelines with respect to appropriate promotion and continuing medical and health education activities. Although Emmaus endeavor to follow these guidelines, the FDA or the Office of the Inspector General: U.S. Department of Health and Human Services may disagree, and Emmaus may be subject to significant liability, including civil and administrative remedies as well as criminal sanctions. In addition, management’s attention could be diverted, and Emmaus’ reputation could be damaged.
63
Although compliance programs can mitigate the risk of investigation and prosecution for violations of these laws, the risks cannot be entirely eliminated. Any action against Emmaus for violation of these laws, even if Emmaus successfully defend against it, could cause Emmaus to incur significant legal expenses and divert Emmaus’ management’s attention from the operation of Emmaus’ business. Moreover, achieving and sustaining compliance with applicable federal and state privacy, security and fraud laws may prove costly.
Emmaus may not be able to obtain and enforce patent rights or other intellectual property rights that cover Endari and that are of sufficient breadth to prevent third parties from competing against Emmaus.
Emmaus’ success with respect to Endari will depend, in part, on Emmaus’ ability to preserve Emmaus’ trade secrets and to prevent third parties from infringing upon Emmaus’ proprietary rights. Emmaus will not be able to obtain composition of matter patents or methods of use patents that cover Endari. As a result, competitors who obtain the requisite regulatory approval can offer products with the same active ingredients as Endari.
Proprietary trade secrets and unpatented know-how are also very important to Emmaus’ business. Although Emmaus has taken steps to protect Emmaus’ trade secrets and unpatented know-how, by entering into confidentiality agreements with third parties, and proprietary information and invention agreements with certain employees, consultants and advisors, third parties may still obtain this information or Emmaus may be unable to protect Emmaus’ rights. Emmaus also have limited control over the protection of trade secrets used by Emmaus’ licensors, collaborators and suppliers. There can be no assurance that binding agreements will not be breached, that Emmaus would have adequate remedies for any breach, or that Emmaus’ trade secrets and unpatented know-how will not otherwise become known or be independently discovered by Emmaus’ competitors. If trade secrets are independently discovered, Emmaus would not be able to prevent their use. Enforcing a claim that a third party illegally obtained and is using Emmaus’ trade secrets or unpatented know-how is expensive and time consuming, and the outcome is unpredictable.
Although Emmaus expects all of Emmaus’ employees to assign their inventions to Emmaus, and all of Emmaus’ employees, consultants, advisors and any third parties who have access to Emmaus’ proprietary know-how, information or technology to enter into confidential information and invention agreements, Emmaus cannot provide any assurances that all such agreements have been duly executed or will be held enforceable.
If Emmaus is sued for infringing intellectual property rights of third parties, it will be costly and time consuming, and an unfavorable outcome in that litigation would have a material adverse effect on Emmaus’ business.
Emmaus’ commercial success depends upon Emmaus’ ability and the ability of Emmaus’ collaborators to develop, manufacture, market and sell Endari and use Emmaus’ proprietary technologies without infringing the proprietary rights of third parties. As the medical device, biotechnology and pharmaceutical industries expand and more patents are issued, the risk increases that others may assert Endari infringes their patent rights. Moreover, it is not always clear to industry participants, including Emmaus, which patents cover various types of medical devices, drugs, products or their methods of use. Thus, because of the large number of patents issued and patent applications filed in Emmaus’ fields, there may be a risk that third parties may allege they have patent rights encompassing Endari.
In addition, there may be issued patents of third parties of which Emmaus is currently unaware that are infringed or are alleged to be infringed by Endari. Because some patent applications in the United States may be maintained in secrecy until the patents are issued, because patent applications in the United States are typically not published until eighteen months after filing, and because publications in the scientific literature often lag behind actual discoveries, Emmaus cannot be certain that others have not filed patent applications for technology covered by Emmaus’ own and in-licensed issued patents or Emmaus’ pending applications. Emmaus’ competitors may have filed, and may in the future file, patent applications covering Endari. Any such patent application may have priority over Emmaus’ own and in-licensed patent applications or patents, which could further require Emmaus to obtain rights to issued patents covering such technologies. If another party has filed an U.S. patent application on inventions similar to those owned or in-licensed to Emmaus, Emmaus or, in the case of in-licensed technology, the licensor may have to participate in an interference proceeding to determine priority of invention.
If another party has reason to assert a substantial new question of patentability against any of Emmaus’ claims in Emmaus’ own and in-licensed U.S. patents, the third party can request that the patent claims be reexamined, which may result in a loss of scope of some claims or a loss of the entire patent. In addition to potential infringement suits and, interference and reexamination proceedings, Emmaus may become a party to patent opposition proceedings where either the patentability of the inventions subject of Emmaus’ patents are challenged, or Emmaus is challenging the patents of others. The costs of these proceedings could be substantial, and it is possible that such efforts would be unsuccessful.
64
Emmaus may be exposed to, or threatened with, future litigation by third parties having patent or other intellectual property rights alleging that Endari and/or proprietary technologies infringe their intellectual property rights. These lawsuits are costly and could adversely affect Emmaus’ results of operations and divert the attention of managerial and technical personnel. There is a risk that a court would decide that Emmaus or Emmaus’ commercialization partners are infringing the third party’s patents and would order Emmaus or Emmaus’ partners to stop the activities covered by the patents. In addition, there is a risk that a court will order Emmaus or Emmaus’ partners to pay the other party damages for having violated the other party’s patents.
If a third-party’s patents was found to cover Endari, proprietary technologies or their uses, Emmaus or Emmaus’ collaborators could be enjoined by a court and required to pay damages and could be unable to continue to commercialize Endari or use Emmaus’ proprietary technologies unless Emmaus or they obtained a license to the patent. A license may not be available to Emmaus or Emmaus’ collaborators on acceptable terms, if at all. In addition, during litigation, the patent holder could obtain a preliminary injunction or other equitable relief which could prohibit Emmaus from making, using or selling Endari pending a trial on the merits, which could be years away.
There is a substantial amount of litigation involving patent and other intellectual property rights in the device, biotechnology and pharmaceutical industries generally. If a third party claims that Emmaus or Emmaus’ collaborators infringe its intellectual property rights, Emmaus may face a number of issues, including, but not limited to:
| ● | infringement and other intellectual property claims which, regardless of merit, may be expensive and time-consuming to litigate and may divert Emmaus’ management’s attention from Emmaus’ core business; |
| ● | substantial damages for infringement, which Emmaus may have to pay if a court decides that the product at issue infringes or violates the third party’s rights, and if the court finds that the infringement was willful, Emmaus could be ordered to pay treble damages and the patent owner’s attorneys’ fees; |
| ● | a court prohibiting Emmaus from selling or licensing Endari unless the third party licenses its product rights to Emmaus, which it is not required to do; |
| ● | if a license is available from a third party, Emmaus may have to pay substantial royalties, upfront fees and/or grant cross-licenses to intellectual property rights for Endari; and |
| ● | redesigning Endari so it does not infringe, which may not be possible or may require substantial monetary expenditures and time. |
Some of Emmaus’ competitors may be able to sustain the costs of complex patent litigation more effectively than Emmaus can because they have substantially greater resources. In addition, any uncertainties resulting from the initiation and continuation of any litigation could have a material adverse effect on Emmaus’ ability to raise additional funds or otherwise have a material adverse effect on Emmaus’ business, results of operations, financial condition and prospects.
Emmaus may be subject to claims that Emmaus’ employees, consultants or independent contractors have wrongfully used or disclosed to Emmaus alleged trade secrets of their other clients or former employers. As is common in the biotechnology and pharmaceutical industry, certain of Emmaus’ employees were formerly employed by other biotechnology or pharmaceutical companies, including Emmaus’ competitors or potential competitors. Moreover, Emmaus engage the services of consultants to assist Emmaus in the development of Endari, many of whom were previously employed at or may have previously been or are currently providing consulting services to, other biotechnology or pharmaceutical companies, including Emmaus’ competitors or potential competitors. Emmaus may be subject to claims that these employees and consultants or Emmaus has inadvertently or otherwise used or disclosed trade secrets or other proprietary information of their former employers or their former or current customers. Litigation may be necessary to defend against these types of claims. Even if Emmaus is successful in defending against any such claims, any such litigation would likely be protracted, expensive, a distraction to Emmaus’ management team, not viewed favorably by investors and other third parties, and may potentially result in an unfavorable outcome.
65
The market exclusivity for Endari for SCD is limited, which could adversely affect Emmaus’ ability to compete in the market and adversely affect the commercial success of Endari.
The exclusivity protections that Emmaus expects to protect Endari for SCD from competition are limited in ways that may affect Emmaus’ ability to effectively exclude third parties from competing against Emmaus. In particular:
| ● | Orphan Drug market exclusivity protection for Endari for SCD will expire seven years after Endari was approved by the FDA. Orphan Drug designation will not preclude the FDA from granting Orphan Drug designation to another sponsor developing the same drug for the same indication, approving such other drug before Emmaus’ drug would receive FDA approval, granting Orphan Drug designation and approving such other drug after Emmaus would receive approval if such drug is considered clinically superior to Emmaus’ product, approving a product that is the same as Emmaus’ product for a different indication, or approving a different product intended to treat SCD; |
| ● | Orphan Drug status in the European Union is subject to exclusions similar to those in the United States; and |
| ● | there are many countries, including some key markets for Endari, in which Emmaus does not have intellectual property coverage and where neither orphan drug nor data exclusivity is available. |
These limitations and any reductions in Emmaus’ expected protection resulting from the approval of competing products, including other products that could be approved by FDA under the Orphan Drug Act, may subject Endari to greater competition than Emmaus expects and could adversely affect Emmaus’ ability to generate revenue from Endari, perhaps materially. These circumstances may also impair Emmaus’ ability to obtain license partners or other international commercialization opportunities on terms acceptable to Emmaus, if at all.
Risks Related to Development of Emmaus’ Product Candidates
Emmaus may not be able to receive regulatory approval for Emmaus’ pharmaceutical grade L-glutamine treatment for diverticulosis or other indications, which would adversely affect Emmaus’ financial and operating condition.
All of Emmaus’ other product candidates are still in preclinical development. Regulatory approval is required to market Emmaus’ PGLG treatment for diverticulosis or other indications and for any other product candidates Emmaus may develop. There are many reasons that Emmaus may fail in Emmaus’ efforts to commercialize Endari or that such efforts will be delayed, including:
| ● | the failure of Endari to receive necessary regulatory approvals from any foreign regulatory authorities in a timely manner, or at all; |
| ● | the failure of Endari be produced in commercial quantities or at reasonable costs; |
| ● | physicians’ reluctance to switch to Endari from existing SCD treatment methods, including traditional therapy agents; |
| ● | the failure of Endari to achieve commercial acceptance for the treatment of SCD; |
| ● | the introduction of products by Emmaus’ competitors that are or are perceived to be more effective or have or are perceived to have a better safety profile than Endari; and |
| ● | the application of restrictions to Endari by regulatory or governmental authorities. |
Even if the FDA and other regulatory authorities approve Emmaus’ pharmaceutical grade L-glutamine treatment for diverticulosis, or any of Emmaus’ other product candidates, the manufacture, packaging, labeling, distribution, marketing and sale of such products will be subject to strict and ongoing post-approval regulations. Compliance with such regulations will be expensive and consume substantial financial and management resources.
The FDA has the authority to regulate the claims Emmaus make in marketing Emmaus’ prescription products to ensure that such claims are true, not misleading, supported by scientific evidence, and consistent with the approved labeling of those products. The FDA and the Federal Trade Commission (“FTC”) also have the authority to regulate the claims Emmaus make in marketing Emmaus’ dietary supplement AminoPure. Failure to comply with FDA or FTC requirements in this regard could result in, among other things, warning letters, withdrawal of approvals, seizures, recalls, injunctions prohibiting a product’s manufacture and distribution, restricting promotional activities, requiring corrective actions regarding sales and marketing activities, other operating restrictions, civil money penalties, disgorgement, and criminal prosecution. In addition, if Emmaus make any marketing claims that are related to a health care provider’s unlawful submission for reimbursement from government programs, Emmaus could be subject to potential liability for violations of the False Claims Act, which may lead to disqualification from government programs or criminal prosecution, or both. Any of these government enforcement actions, if taken against Emmaus, could negatively impact Emmaus’ product sales and profitability.
66
Additionally, regulatory approval of any of Emmaus’ prescription products may be conditioned on Emmaus’ agreement to conduct costly post-marketing follow-up studies to monitor the safety or effectiveness of such products or to implement specific risk mitigation strategies. In addition, as clinical experience with any of Emmaus’ products following such approval, if any, expands after approval because the product is used by a greater number and more diverse group of patients than during clinical trials, unknown side effects or other problems may be observed that were not observed or anticipated during pre-approval clinical trials. In any such case, one or more regulatory authorities could require additional risk information be added to the labeling of the product, restrict the indications for which the product may be sold, restrict the distribution channels, or revoke the product’s regulatory approval, which could hinder Emmaus’ ability to generate revenues from that product. If Emmaus fails to develop and commercialize Emmaus’ product candidates as planned, Emmaus’ financial results and financial condition will be adversely affected, Emmaus will have to delay or terminate some or all of Emmaus’ research product development programs, and Emmaus may be forced to cease operations.
The development process to obtain FDA approval for new drugs, biologics and cell-based therapies is very costly and time consuming and if Emmaus cannot complete Emmaus’ clinical trials in a cost-effective manner, Emmaus’ operations may be adversely affected.
Before obtaining marketing approval from regulatory authorities for the sale of any product candidate, Emmaus or a collaborator must complete preclinical development and then complete one or more extensive clinical trials to demonstrate the safety and effectiveness of the product candidate in humans. Clinical testing is expensive, difficult to design and implement, can take many years to complete and is uncertain as to outcome. Costs of clinical trials may vary significantly over the life of a development project owing, but not limited to, the following:
| ● | the number of patients that participate in the trials; |
| ● | the per patient trial costs; |
| ● | the number of sites and clinical investigators involved in the trials; |
| ● | the number and types of trials and studies that may need to be performed; |
| ● | the length of time required to recruit, screen, and enroll eligible patients; |
| ● | the duration of the clinical trials; |
| ● | the countries in which the trials are conducted; |
| ● | the number of doses that patients receive; |
| ● | adverse events experienced by trial participants; |
| ● | the drop out or discontinuation rates of patients; |
| ● | potential additional safety monitoring or other studies requested by regulatory agencies; |
| ● | the extent and duration of patient follow up; |
| ● | difficulties that could arise in analyzing and reporting to regulators the results of clinical trials; and |
| ● | the efficacy and safety profile of the product candidate. |
If Emmaus is unable to control the timing and costs of Emmaus’ clinical trials and conduct Emmaus’ trials and apply for regulatory approvals in a timely and cost-effective manner, Emmaus’ operations may be adversely affected.
Emmaus’ product development costs will also increase if any regulatory agencies impose a clinical hold on any of Emmaus’ clinical studies or Emmaus experiences delays in obtaining marketing approvals, particularly if Emmaus is required to conduct additional clinical studies beyond those that Emmaus submit in any NDA. Emmaus does not know whether any of Emmaus’ preclinical studies or clinical trials will begin as planned, will need to be restructured or will be completed on schedule, or at all. Significant preclinical study or clinical trial delays also could shorten any periods during which Emmaus may have the exclusive right to commercialize Emmaus’ approved product candidates or allow Emmaus’ competitors to bring products to market before Emmaus do, and thereby impair Emmaus’ ability to successfully commercialize Emmaus’ product candidates.
67
Emmaus may not be able to complete clinical trial programs for any of Emmaus’ product candidates successfully within any specific time period or at all, and if such clinical trials take longer to complete than Emmaus project, Emmaus’ ability to execute Emmaus’ current business strategy will be adversely affected.
Clinical testing is expensive, difficult to design and implement, can take many years to complete, and is uncertain as to outcome. A failure of one or more clinical trials can occur at any stage of development. The outcome of preclinical testing and early clinical trials may not be predictive of the success of later clinical trials, and interim results of a clinical trial do not necessarily predict final results. Moreover, clinical data are often susceptible to varying interpretations and analyses, and many companies that have believed their product candidates performed satisfactorily in preclinical studies and clinical trials have nonetheless failed to obtain marketing approval of them.
Generally speaking, whether Emmaus completes its clinical trials in a timely manner, or at all, for any product candidate is dependent in part upon: (i) the date the applicable investigational new drug, or IND, becomes effective enabling Emmaus to commence the applicable clinical studies (which, under U.S. law, occurs no more than 30 days after the FDA receives the IND, unless the FDA places the IND on clinical hold, in which case the FDA may request Emmaus to provide additional data from completed preclinical studies or undertake additional preclinical studies, the latter of which could materially delay the clinical and regulatory development of the applicable product candidate); (ii) the engagement of clinical trial sites and clinical investigators; (iii) reaching an agreement with clinical investigators on acceptable clinical trial agreement terms, clinical trial protocols or informed consent forms; (iv) obtaining approval from the institutional review boards used by the clinical trial sites Emmaus seek to engage; (v) the rate of patient enrollment and retention; and (vi) the rate to collect, clean, lock and analyze the clinical trial database.
Patient enrollment in trials is a function of many factors, including the design of the protocol, the size of the patient population, the proximity of patients to and availability of clinical sites, the eligibility criteria for the trial, the perceived risks and benefits of the product candidate under trial and of the control product, if any, the clinical investigator’s efforts to facilitate timely enrollment in clinical trials, the patient referral practices of local physicians, the existence of competitive clinical trials, and whether other investigational or new therapies are available for the indication. If Emmaus experiences delays in identifying and contracting with appropriate clinical investigators and sites, in obtaining approval of the applicable institutional review boards, in enrolling and retaining patients and/or in completing Emmaus’ clinical trial programs, Emmaus may incur additional costs and delays in Emmaus’ development programs, and may not be able to complete Emmaus’ clinical trials on a cost-effective or timely basis, if at all. If Emmaus or any third party have difficulty obtaining sufficient clinical drug materials or enrolling a sufficient number of patients in a timely or cost-effective manner to conduct clinical trials as planned, or if enrolled patients do not complete the trial as planned, Emmaus or a third party may need to delay or terminate ongoing clinical trials, which could negatively affect Emmaus’ business.
Clinical trials required for demonstration of substantial evidence of effectiveness and safety often require the enrollment of large numbers of patients, and suitable patients may be difficult to identify and recruit. Emmaus’ ability to enroll sufficient numbers of patients in Emmaus’ clinical trials, especially when the disease or condition being studied is rare, depends on many factors, including the size of the relevant patient population, the nature and design of the protocol, the proximity of patients to clinical sites, the eligibility and exclusion criteria applicable for the trial, existence of competing clinical trials and the availability of already approved therapeutics for the indications being studied (whether or not such therapeutics are less safe or less effective than Emmaus’ product candidate under trial). In addition, patients may withdraw from a clinical trial or be unwilling to follow Emmaus’ clinical trial protocols for a variety of reasons, such as adverse events or noncompliance with trial requirements. If Emmaus fails to enroll and maintain the number of patients for which the clinical trial was designed, the statistical significance and/or statistical power of that clinical trial may be reduced which would make it harder to demonstrate that the product candidate being tested in such clinical trial is safe and effective for its intended use.
68
Emmaus may be required to suspend, repeat or terminate Emmaus’ clinical trials if they do not meet regulatory requirements, the results are negative or inconclusive, human subject protections are inadequate, the trials are not well designed, or clinical investigators fail to comply with all requirements for the conduct of trials under the applicable IND, any of which may result in significant negative repercussions on Emmaus’ business and financial condition.
Emmaus cannot market a pharmaceutical product in any jurisdiction until Emmaus has completed rigorous preclinical testing and clinical trials for that product, demonstrated the product’s safety and substantial evidence of effectiveness for its intended use, obtained the approval of the applicable regulatory authority for Emmaus’ proposed labeling of the product, and met the other requirements of such jurisdiction’s extensive regulatory approval process. Preclinical testing and the conduct of clinical trials are long and expensive. Data obtained from preclinical and clinical tests can be interpreted in different ways and could ultimately be deemed by regulatory authorities to be insufficient with respect to providing substantial evidence of effectiveness and safety required for regulatory approval, which could delay, limit or prevent regulatory approval. It may take Emmaus many years to complete the required testing of Emmaus’ product candidates to support an application for marketing approval and failure can occur at any stage during this process.
Emmaus cannot provide assurance that Emmaus’ preclinical testing and clinical trials will be completed successfully within any time period specified by Emmaus, or without significant additional resources or expertise provided by third parties to conduct such testing. Emmaus cannot provide assurance that any such testing will demonstrate that Emmaus’ product candidates meet regulatory approval requirements for safety and effectiveness or that any such product will be approved for a specific indication. Results from early clinical trials may not be indicative of the results that will be obtained in later-stage clinical trials or in the population of patients for whom the applicable product is prescribed following any approval. In addition, negative or inconclusive results from the clinical trials Emmaus conduct or adverse events experienced by the patients in such clinical trials could cause Emmaus to have to suspend, repeat or terminate the clinical trials. Clinical trials are subject to continuing oversight by governmental regulatory authorities and institutional review boards and must meet the requirements of these authorities including but not limited to requirements for informed consent, human subject protection and good clinical practices; and Emmaus cannot guarantee that Emmaus will be able to comply, or that a regulatory authority will agree that Emmaus has complied, with such requirements. Emmaus relies on third parties, such as contract research organizations and/or contract laboratories, regulatory consultants and data management companies to assist Emmaus in overseeing and monitoring clinical trials as well as to process the clinical data and manage test requests, which may result in delays or failure to complete trials, if the third parties fail to perform or meet applicable regulatory requirements and standards. A failure by Emmaus or any such third parties to comply with the terms and conditions of the protocol for any clinical study or the regulatory requirements for any particular product candidate or to complete the clinical trials for a product candidate in the projected time frame could have a significant negative effect on Emmaus’ business and financial condition.
There are significant requirements imposed on Emmaus and on clinical investigators who conduct clinical trials under an IND. Although Emmaus is responsible for selecting qualified clinical investigators, providing them with the information they need to conduct an investigation properly, ensuring proper monitoring of the investigation(s), and ensuring that the investigation(s) is conducted in accordance with the general investigational plan and protocols contained in the IND, Emmaus cannot ensure the clinical investigators will maintain compliance with all regulatory requirements at all times. The pharmaceutical industry has experienced cases where clinical investigators have been found to incorrectly record data, omit data, or even falsify data. Emmaus cannot ensure that the clinical investigators in Emmaus’ trials will not make mistakes or otherwise compromise the integrity or validity of data, any of which would have a significant negative effect on Emmaus’ ability to obtain marketing approval, Emmaus’ business, and Emmaus’ financial condition.
Changes in regulatory requirements and guidance or unanticipated events during Emmaus’ clinical trials may occur, which may result in necessary changes to clinical trial protocols, informed consents and clinical trial budgets, any of which changes could result in increased costs to Emmaus, delay Emmaus’ development timeline or reduce the likelihood of successful completion of the clinical trial.
Changes in regulatory requirements or the FDA’s interpretation of those requirements, which may be provided through guidance documents, or the occurrence of unanticipated events during Emmaus’ clinical trials could require Emmaus to amend clinical trial protocols, informed consent forms and trial budgets. If Emmaus experiences delays in initiation, conduct or completion of any of Emmaus’ clinical trials, or if Emmaus terminate any of Emmaus’ clinical trials due to changes in regulatory requirements or guidance documents, unexpected and serious adverse events, or other unanticipated events, Emmaus may incur additional costs and have difficulty enrolling subjects or achieving clinical investigator or institutional review board acceptance of the changes and successfully completing the trial. Any such additional costs and difficulties could potentially materially harm the commercial prospects for Emmaus’ product candidates and delay Emmaus’ ability to generate product revenue.
69
There are various uncertainties related to the research, development and commercialization of the cell sheet engineering regenerative medicine products Emmaus is developing in collaboration with a strategic partner which could negatively affect Emmaus’ ability to commercialize such products.
Emmaus has historically focused on the research and development of Emmaus’ pharmaceutical grade L-glutamine treatment for SCD and have limited experience in the research, development or commercialization of cell sheet regenerative medicine products or any other biological product. No clinical trials of cell sheet regenerative products have been conducted in the United States and no biological products based on cell sheet engineering have been approved by regulatory authorities in any jurisdiction. Such products must be manufactured in conformance with current cGMP requirements as well as Good Tissue Practice (“GTP”) requirements and demonstrate that they are safe, pure and potent to be effective for their intended uses to obtain FDA approval. The GTP requirements, which are specifically applicable to all cellular-based products, are intended to prevent communicable disease transmission. It is uncertain what type and quantity of scientific data would be required to support initiation of clinical studies or to sufficiently demonstrate the safety, purity and potency of cell sheet regenerative medicine products for their intended uses. Such uncertainties could delay Emmaus’ ability to obtain FDA approval for and to commercialize such products. In addition, the research and commercialization of cell sheet regenerative medicine products could be hindered if third-party manufacturers of such products are not compliant with cGMP, GTP, and any other applicable regulations. Any delay in the development of, obtaining FDA approval for, or the occurrence of any problems with third-party manufacturers of cell sheet regenerative medicine products would negatively affect Emmaus’ ability to commercialize such products.
The use of any of Emmaus’ product candidates in clinical trials and in the market may expose Emmaus to liability claims.
The nature of Emmaus’ business exposes Emmaus to potential liability risks inherent in the testing and manufacturing of Emmaus’ product candidates and marketing of any products. While in clinical stage testing, Emmaus’ product candidates could potentially harm people or allegedly harm people and Emmaus may be subject to costly and damaging product liability claims. Some of the patients who participate in clinical trials are already critically ill when they enter a trial. Informed consent and contractual limitations on payments for subject injury or waivers Emmaus obtain may not be enforceable and may not protect Emmaus from liability or the costs of product liability litigation. Although Emmaus currently carries a $5 million clinical product liability insurance policy, it may not be sufficient to cover future claims. In addition, in some cases the contractors on which Emmaus relies for manufacturing Emmaus’ product candidates may indemnify Emmaus for third-party claims brought against Emmaus arising from matters for which these contractors are responsible. Emmaus could be materially and adversely affected if Emmaus were required to pay damages or incur defense costs in connection with a claim outside the scope of indemnity or insurance coverage, if the indemnity is not performed or enforced in accordance with its terms, or if Emmaus’ liability exceeds the amount of applicable insurance or indemnity. In addition, there can be no assurance that insurance will continue to be available on terms acceptable to Emmaus, if at all, or that if obtained, the insurance coverage will be sufficient to cover any potential claims or liabilities. Similar risks would exist upon the commercialization or marketing of any products by Emmaus or Emmaus’ partners. Emmaus currently does not have any clinical or product liability claims or threats of claims filed against Emmaus.
Emmaus may expend Emmaus’ limited resources to pursue a particular product candidate or indication and fail to capitalize on product candidates or indications that may be more profitable or for which there is a greater likelihood of success.
Because Emmaus has limited financial and management resources, Emmaus focus on a limited number of research programs and product candidates. As a result, Emmaus may forego or delay pursuit of opportunities with other product candidates or for other indications that later prove to have greater commercial potential. Emmaus’ resource allocation decisions may cause Emmaus to fail to capitalize on viable product candidates or profitable market opportunities. Emmaus’ spending on current and future research and development programs and product candidates for the specific indications Emmaus has selected may not yield any commercially viable products. If Emmaus does not accurately evaluate the commercial potential or target market for a particular product candidate, Emmaus may relinquish valuable rights to that product candidate through collaboration, licensing or other arrangements in cases in which it would have been more advantageous for Emmaus to retain sole development and commercialization rights.
70
Risks Related to Emmaus’ Reliance on Third Parties
If the L glutamine manufacturers upon which Emmaus relies fail to produce in the volumes and quality that Emmaus require on a timely basis, or fail to comply with stringent regulations applicable to pharmaceutical manufacturers, Emmaus may face interruptions in the commercialization of, or be unable to meet demand for, Emmaus’ L glutamine based products, and may lose any marketing exclusivity and potential revenues.
Emmaus does not currently have Emmaus’ own manufacturing capabilities. Emmaus therefore depends entirely upon third-party manufacturers for commercial supplies of both Emmaus’ product candidates under development and the products Emmaus sell. The manufacture of pharmaceutical products requires significant expertise and capital investment, including the development of advanced manufacturing techniques and process controls. Emmaus’ third-party manufacturers and key suppliers may experience manufacturing difficulties due to resource constraints or as a result of labor disputes, unstable political environments at foreign facilities, financial difficulties or other problems beyond their control and may not be able to expand their capacity or to produce additional product requirements for Emmaus in the event that demand for Emmaus’ products increases. If these manufacturers or key suppliers were to encounter any of these difficulties, or otherwise fail to comply with their regulatory and contractual obligations, Emmaus’ ability to timely launch any potential product candidate, if approved, would be jeopardized. If Emmaus is unable to ensure adequate supply of an orphan drug for which Emmaus has obtained marketing exclusivity, the FDA may approve another drug for marketing, which could have a material adverse effect on Emmaus’ business and financial condition.
Emmaus currently obtains its pharmaceutical grade L glutamine from two Japanese companies, which together produce the vast majority of pharmaceutical grade L glutamine approved for sale in the United States. Emmaus intends to continue to rely on these manufacturers to produce Emmaus’ pharmaceutical grade L glutamine, but Emmaus has not entered into, and may not be able to establish, long term supply agreements with these key suppliers on acceptable terms. Furthermore, pursuant to a letter of intent between Emmaus and Ajinomoto, Emmaus has agreed to purchase or cause relevant third-party purchasers to purchase from Ajinomoto substantially all of the L glutamine that Emmaus will need for Emmaus’ commercial products. If these suppliers were to experience any manufacturing or production difficulties producing pharmaceutical grade L glutamine, or Emmaus were unable to purchase sufficient quantities of pharmaceutical grade L glutamine on acceptable terms, it could have a material, adverse effect on Emmaus’ results of operations and interrupt Emmaus’ sales of Endari™ and ability to conduct additional clinical trials.
In addition, all manufacturers, packers, distributors and suppliers of pharmaceutical products must comply with applicable cGMP regulations for the manufacture of pharmaceutical products, which are enforced by the FDA through its facilities inspection program. The FDA is likely to conduct inspections of Emmaus’ third-party manufacturer and key supplier facilities as part of the FDA’s pre approval review of any of Emmaus’ NDAs and post approval, ongoing compliance programs. If Emmaus’ third-party manufacturers and key suppliers are not in compliance with cGMP requirements, it may result in a delay of approval for products undergoing regulatory review or the inability to meet market demands for any approved products, particularly if these sites are supplying single source ingredients required for the manufacture of any potential product. These cGMP requirements include quality control, quality assurance and the maintenance of records and documentation, among other items. Furthermore, each manufacturing facility used to manufacture drug or biological products is subject to FDA inspection and must meet cGMP requirements. As a result, if one of the manufacturers that Emmaus relies on shifts production from one facility to another, the new facility must undergo a preapproval inspection and, for biological products, must be licensed by regulatory authorities prior to being used for commercial supply. Emmaus’ manufacturers may be unable or fail to comply with these cGMP requirements and with other FDA, state and foreign regulatory requirements. A failure to comply with any applicable manufacturing requirements may result in warning or untitled letters, fines, product recalls, seizures, corrective actions involving public notifications, injunctions, total or partial suspension of production, civil money penalties, suspension or withdrawals of previously granted regulatory approvals, refusal to approve new applications or supplements to applications for marketing of new products, import or export bans or restrictions, disgorgement of profits, debarment and criminal prosecution and criminal penalties. Any of these penalties could delay or prevent the promotion, marketing or sale of Emmaus’ products. If the safety of any quantities supplied is compromised due to a third-party manufacturer’s failure to comply with or adhere to applicable laws or for other reasons, Emmaus may be liable for injuries suffered by patients who have taken such products and Emmaus may not be able to obtain regulatory approval for or successfully commercialize Emmaus’ products.
71
Emmaus expects to rely on third parties to conduct future clinical trials of Emmaus’ product candidates and those third parties may not perform satisfactorily, including failing to meet deadlines for the conduct of such trials.
Emmaus engaged a third-party contract research organization (“CRO”) to conduct Emmaus’ clinical trials for Endari and expects to engage a CRO to conduct any further required clinical trials with respect to such product candidates and any clinical trials with respect to any of Emmaus’ other product candidates that may progress to clinical development. Emmaus expects to continue to rely on third parties, such as CROs, clinical data management organizations, medical institutions and clinical investigators, to conduct those clinical trials. Agreements with such third parties might terminate for a variety of reasons, including a failure to perform by the third parties. If Emmaus needs to enter into alternative arrangements, that would delay Emmaus’ product development activities.
Emmaus’ reliance on these third parties for research and development activities will reduce Emmaus’ control over these activities, but will not relieve Emmaus of Emmaus’ responsibilities. For example, Emmaus will remain responsible for ensuring that each of Emmaus’ clinical trials is conducted in accordance with the general investigational plan and protocols for the trial. Moreover, the FDA requires Emmaus to comply with standards, commonly referred to as GCPs for conducting, recording and reporting the results of clinical trials to ensure that data and reported results are credible and accurate and that the rights, integrity and confidentiality of trial participants are protected. Emmaus also is required to register ongoing clinical trials and post the results of completed clinical trials on a government-sponsored database, www.ClinicalTrials.gov, within specified timeframes. Failure to do so can result in the FDA refusing to accept a NDA for the product candidate under study, fines, adverse publicity and civil and criminal sanctions.
Furthermore, these third parties may also have relationships with other entities, some of which may be Emmaus’ competitors. If these third parties do not successfully carry out their contractual duties, meet expected deadlines or conduct Emmaus’ clinical trials in accordance with regulatory requirements and Emmaus’ stated protocols, Emmaus will not be able to obtain, or may be delayed in obtaining, marketing approvals for Emmaus’ product candidates and will not be able to, or may be delayed in Emmaus’ efforts to, successfully commercialize them as products.
Emmaus also expects to rely on other third parties to store and distribute supplies of Emmaus’ product candidates for clinical trials of them. Any performance failure on the part of Emmaus’ distributors could delay clinical development or marketing approval of Emmaus’ product candidates or commercialization of them as products, producing additional losses and depriving Emmaus of potential revenue.
If Emmaus does not obtain the support of new, and maintain the support of existing, key scientific collaborators, it may be difficult to research medical indications for L-glutamine other than SCD and to expand Emmaus’ product offerings, which may limit Emmaus’ revenue growth and profitability and could have a material adverse effect on Emmaus’ business, financial condition and operating results.
Emmaus will need to establish relationships with additional leading scientists and research institutions in order to develop new products and expand Emmaus’ product offerings and to explore other medical indications for L-glutamine-based products. Although Emmaus has established research collaborations, Emmaus cannot assure you that Emmaus’ relationships with Emmaus’ research collaborators will continue or that Emmaus will be able to attract additional research partners. If Emmaus is not able to maintain existing or establish new scientific relationships to assist in Emmaus’ research and development, Emmaus may not be able to successfully develop Emmaus’ product candidates or expand Emmaus’ product offerings.
72
Risks Related to Emmaus’ Intellectual Property
Emmaus depends on licenses and sublicenses of certain patents for Emmaus’ existing L-glutamine products and Endari. If any of these licenses, sublicenses, or the licenses under which Emmaus has been sublicensed terminates, or if any of the patents that have been licensed or sublicensed to Emmaus is challenged and Emmaus is limited in Emmaus’ ability to utilize any of those patents, Emmaus may be unable to develop, out-license, market and sell Emmaus’ products, which would cause a material adverse effect on Emmaus’ business, prospects, financial condition, and operating results.
Emmaus’ ability to develop products depends on licenses and sublicenses Emmaus has obtained to patents that claim the use of L-glutamine to treat SCD and diverticulosis and the use of CAOMECS for the treatment of corneal impairments.
Emmaus faces the risk that any of these licenses and sublicenses could be terminated if Emmaus fails to satisfy Emmaus’ obligations under them. In addition, even if Emmaus satisfies its obligations as sublicensee under any sublicense, if the license under which Emmaus has been sublicensed terminates, Emmaus’ sublicense could also terminate. In the event any claims in the patents that Emmaus has been licensed or sublicensed are challenged, the court or patent authority to which such challenge is presented could determine that such patent claims are invalid or unenforceable or not sufficiently broad in scope to protect Emmaus’ proprietary rights. In addition, as the licensee or sublicensee of such patents, Emmaus’ ability to participate in the defense or enforcement of such patents could be limited.
In particular, the SCD Patent expired in May 2016, and Emmaus’ license to the SCD Patent terminated with the expiration of the patent. While this means Emmaus would have no further obligations to pay royalties under the SCD License, this also means that Emmaus’ competitors would be able to utilize processes, technologies and methods that were previously protected by the SCD Patent to potentially develop competing products. Since Emmaus’ competitors generally have greater resources than Emmaus do, Emmaus’ competitors may be able to develop competing products more quickly than Emmaus can. While Emmaus has an Orphan Drug designation for the use of L-glutamine for the treatment of SCD, Orphan Drug exclusivity may be lost if another L-glutamine product for the same indication demonstrates clinical superiority. If Emmaus’ competitors are able to develop alternative L-glutamine products, it may have a material and adverse effect on Emmaus’ operations and Emmaus’ ability to commercialize Emmaus’ products, since it may either eliminate Emmaus’ exclusivity before Emmaus is able to take a product to market, or may significantly shorten the period for which Emmaus has such exclusivity, making it more difficult for Emmaus to recoup the expenses Emmaus incurred in researching and developing Emmaus’ products.
If Emmaus is unable to protect proprietary technology that Emmaus invents and develops, Emmaus may not be able to compete effectively and Emmaus’ business and financial prospects may be harmed.
Where appropriate, Emmaus seeks patent protection for inventions Emmaus conceives and reduces to practice. Patent protection, however, is not available for all of these inventions, and, for some of these inventions, patent protection may be limited. In addition, in developing some of Emmaus’ inventions, Emmaus may have to design around patents held by others. If Emmaus must spend significant time and money protecting Emmaus’ patents, designing around patents held by others or in-licensing patent or other proprietary rights held by others, potentially for large fees, Emmaus’ business and financial prospects may be harmed.
The patent prosecution process is expensive and time consuming, and Emmaus may not be able to file and prosecute all necessary or desirable patent applications at a reasonable cost or in a timely manner. It is also possible that Emmaus will fail to identify patentable aspects of Emmaus’ research and development output before it is too late to obtain patent protection. Emmaus also may have to relinquish to strategic partners or other third parties to whom Emmaus license Emmaus’ technology the right to control the preparation, filing and prosecution of patent applications claiming Emmaus’ inventions and to maintain any resulting patents. Therefore, patent applications and patents claiming Emmaus’ inventions may not be prosecuted and enforced in a manner consistent with the best interests of Emmaus’ business.
The patent position of biotechnology and pharmaceutical companies generally is highly uncertain, involves complex legal and factual questions and has in recent years been the subject of much litigation. In addition, the laws of foreign countries may not protect Emmaus’ rights to the same extent as the laws of the United States, or vice versa. For example, European patent law restricts the patentability of methods of treatment of the human body more than U.S. law does. Publications of discoveries in the scientific literature often lag behind the actual discoveries, and patent applications in the United States and other jurisdictions are typically not published until 18 months after filing or, in some cases, not at all. Therefore, Emmaus cannot know with certainty whether it was the first to make the inventions claimed in Emmaus’ patents or pending patent applications, or that Emmaus was the first to file for patent protection of such inventions. As a result, the issuance, scope, validity, enforceability and commercial value of Emmaus’ patent rights are highly uncertain. Emmaus’ pending and future patent applications may not result in patents being issued that protect Emmaus’ product candidates, in whole or in part, or which effectively prevent others from commercializing competitive product candidates. Changes in either the patent laws or interpretation of the patent laws in the United States and other countries may diminish the value of Emmaus’ patents or narrow the scope of Emmaus’ patent protection.
73
Recent patent reform legislation could increase the uncertainties and costs surrounding the prosecution of Emmaus’ patent applications and the enforcement or defense of Emmaus’ issued patents. On September 16, 2011, the Leahy-Smith America Invents Act (the “Leahy-Smith Act”) was signed into law. The Leahy-Smith Act includes a number of significant changes to U.S. patent law. These include provisions that affect the way patent applications are prosecuted and may also affect patent litigation. The U.S. Patent and Trademark Office recently developed new regulations and procedures to govern administration of the Leahy-Smith Act, and many of the substantive changes to patent law associated with the Leahy-Smith Act, and in particular, the first to file provisions, only became effective on March 16, 2013. Accordingly, it is not clear what, if any, impact the Leahy-Smith Act will have on the operation of Emmaus’ business. However, the Leahy-Smith Act and its implementation could increase the uncertainties and costs surrounding the prosecution of Emmaus’ patent applications and the enforcement or defense of Emmaus’ licensed patents, all of which could have a material adverse effect on Emmaus’ business and financial condition.
Even if Emmaus’ patent applications issue as patents, they may not issue in a form that will provide Emmaus with any meaningful protection, prevent competitors from competing with Emmaus or otherwise provide Emmaus with any competitive advantage. Emmaus’ competitors may be able to circumvent Emmaus’ patents by developing similar or alternative treatments in a non-infringing manner.
In addition, the issuance of a patent is not conclusive as to its inventorship, scope, validity or enforceability, and Emmaus’ patents may be challenged in the courts or patent offices in the United States and abroad. Such challenges may result in loss of exclusivity or freedom to operate or in patent claims being narrowed, invalidated or held unenforceable, in whole or in part, which could limit Emmaus’ ability to stop others from using or commercializing products similar or identical to Emmaus’ product candidates or products, or limit the duration of the patent protection of Emmaus’ product candidates or products. Given the amount of time required for the development, testing and regulatory review of new therapeutics, patents protecting Emmaus’ product candidates might expire before or shortly after such candidates are commercialized as products. Patent protection for Endari expired in May 2016. As a result, Emmaus’ patent portfolio may not provide Emmaus with sufficient rights to exclude others from commercializing products similar or identical to ours.
Emmaus will incur significant ongoing expenses in maintaining Emmaus’ patent portfolio. Should Emmaus lack the funds to maintain Emmaus’ patent portfolio or to enforce Emmaus’ rights against infringers, Emmaus could be adversely impacted.
Third parties may initiate legal proceedings alleging that Emmaus is infringing their intellectual property rights, the outcome of which would be uncertain and could have a material adverse effect on the success of Emmaus’ business.
Emmaus’ commercial success depends upon Emmaus’ ability, and the ability of Emmaus’ collaborators, to develop, manufacture, market and sell Emmaus’ products without infringing the proprietary rights of third parties. There is considerable intellectual property litigation in the biotechnology and pharmaceutical industries. Emmaus may become party to, or threatened with, future adversarial proceedings or litigation regarding intellectual property rights with respect to Emmaus’ product candidates and products. In these proceedings or litigation, third parties may assert infringement claims against Emmaus based on existing patents or patents that may be granted in the future. The party making such claims could secure a judgment awarding substantial damages, as well as injunctive or other equitable relief. Such relief could effectively block Emmaus’ ability to make, use, sell, distribute or market Emmaus’ products in such jurisdiction. Even if claims of infringement are without merit, any such action could divert the time and attention of management and impair Emmaus’ ability to access additional capital and/or cost Emmaus significant funds to defend.
If Emmaus is found to infringe a third party’s intellectual property rights, Emmaus could be required to obtain a license from such third party to continue developing Emmaus’ product candidates and manufacturing and marketing any of Emmaus’ products. However, Emmaus may not be able to obtain any required license on commercially reasonable terms or at all. Even if Emmaus were able to obtain a license, it could be non-exclusive, thereby giving Emmaus’ competitors access to the same technologies licensed to Emmaus. Alternatively, Emmaus could be ordered to cease commercializing any of Emmaus’ products that is found to infringe a third party’s intellectual property rights. In addition to being forced to cease commercialization of such a product, Emmaus could be found liable for monetary damages, including treble damages and attorneys’ fees if Emmaus is found to have willfully infringed a third party’s patent. A finding of infringement could prevent Emmaus from developing Emmaus’ product candidates and commercializing Emmaus’ products or force Emmaus to cease some of Emmaus’ business operations. Claims that Emmaus has misappropriated the confidential information or trade secrets of third parties could have a similar negative impact on Emmaus’ business.
74
Emmaus may be subject to claims by third parties asserting that Emmaus or Emmaus’ employees have misappropriated their intellectual property or claiming ownership of what Emmaus regards as Emmaus’ own intellectual property.
Although Emmaus tries to ensure that its employees do not use the proprietary information or know-how of others in their work for Emmaus, Emmaus may be subject to claims that these employees or Emmaus has used or disclosed intellectual property, including trade secrets or other proprietary information, of any such employee’s former employer. Litigation may be necessary to defend against these claims.
Moreover, Emmaus may be subject to a third-party preissuance submission of prior art to the U.S. Patent and Trademark Office, or become involved in opposition, derivation, reexamination, inter partes review, post-grant review or interference proceedings challenging Emmaus’ patent rights or the patent rights of others. An adverse determination in any such submission, proceeding or litigation could reduce the scope of or invalidate Emmaus’ patent rights, allow third parties to commercialize products similar or identical to Emmaus’ product candidates or products and compete directly with Emmaus, without payment to Emmaus, or result in Emmaus’ inability to manufacture or commercialize products without infringing third-party patent rights. In addition, if the breadth or strength of protection provided by Emmaus’ patents and patent applications is threatened, it could dissuade companies from collaborating with Emmaus to license, develop or commercialize current or future product candidates.
Emmaus may become involved in lawsuits to protect or enforce Emmaus’ patents or other intellectual property, which could be expensive, time consuming and unsuccessful.
Competitors may infringe Emmaus’ issued patents, trade secrets, know-how or other intellectual property. To counter infringement or unauthorized use or to determine the scope and validity of Emmaus’ intellectual property rights, Emmaus may be required to file infringement claims or pursue other proceedings, which can be expensive and time consuming. Any claims Emmaus asserts against perceived infringers could provoke these parties to assert counterclaims against Emmaus alleging that Emmaus infringes their patents. In addition, in a patent infringement proceeding, a court may decide that an Emmaus patent is invalid or unenforceable, in whole or in part, construe the patent’s claims narrowly or refuse to stop the other party from using the technology at issue on the grounds that Emmaus’ patents do not cover the technology. An adverse result in any litigation or other proceeding could put one or more of Emmaus’ patents at risk of being invalidated or interpreted narrowly, subject Emmaus to significant liabilities, require Emmaus to cease using the subject technology or require Emmaus to license the subject technology from the third party, any or all of which could have a material adverse effect on Emmaus’ business.
Intellectual property litigation could cause Emmaus to spend substantial resources and distract Emmaus’ personnel from their normal responsibilities.
Even if resolved in Emmaus’ favor, litigation or other legal proceedings relating to intellectual property claims may cause Emmaus to incur significant expenses and could distract Emmaus’ technical and management personnel from their normal responsibilities. In addition, there could be public announcements of the results of hearings, motions or other interim proceedings or developments, and if securities analysts or investors perceive these results to be negative it could have a substantial adverse effect on the price of Emmaus’ common stock. Such litigation or proceedings could substantially increase Emmaus’ operating losses and reduce the resources available for development activities or any future sales, marketing or distribution activities. Emmaus may not have sufficient financial or other resources to conduct such litigation or proceedings adequately. Some of Emmaus’ competitors may be able to sustain the costs of such litigation or proceedings more effectively than Emmaus can because of their greater financial resources. Uncertainties resulting from the initiation and continuation of patent litigation or other proceedings could compromise Emmaus’ ability to compete in the marketplace.
75
If Emmaus is unable to protect the confidentiality of Emmaus’ trade secrets, Emmaus’ business and competitive position would be harmed.
In addition to licensing patent rights and seeking patents for Emmaus’ intellectual property, Emmaus also relies on trade secrets, including unpatented know-how, technology and other proprietary information, to maintain Emmaus’ competitive position. Emmaus’ competitors may use Emmaus’ methods, or acquire similar expertise, in order to develop L-glutamine-based treatments and progress these through clinical development and commercialization, which could impair Emmaus’ ability to successfully develop Emmaus’ product candidates and commercialize them as products.
Emmaus seeks to protect Emmaus’ trade secrets, in part, by entering into non-disclosure and confidentiality agreements with parties who have access to them, such as Emmaus’ employees, corporate collaborators, outside scientific collaborators, contract manufacturers, consultants, advisors and other third parties. Despite these efforts, any of these parties may breach the agreements and disclose Emmaus’ proprietary information, including Emmaus’ trade secrets, and Emmaus may not be able to obtain adequate remedies for such breaches. Enforcing a claim that a party illegally disclosed or misappropriated a trade secret is difficult, expensive and time consuming, and the outcome is unpredictable. In addition, some courts inside and outside the United States are less willing or unwilling to protect trade secrets. If any of Emmaus’ trade secrets were to be lawfully obtained or independently developed by a competitor, Emmaus would have no right to prevent them, or those to whom they communicate it, from using that technology or information to compete with Emmaus. If any of Emmaus’ trade secrets were to be disclosed to or independently developed by a competitor, Emmaus’ competitive position would be harmed.
Emmaus may not be able to protect Emmaus’ intellectual property rights throughout the world.
Filing, prosecuting and defending patents in all countries throughout the world would be prohibitively expensive, and Emmaus’ intellectual property rights in some countries outside the United States can be less extensive than those in the United States. In addition, the laws of some foreign countries do not protect intellectual property rights to the same extent as federal and state laws in the United States. Consequently, Emmaus may not be able to prevent third parties from practicing Emmaus’ inventions in all countries outside the United States, or from selling or importing products made using Emmaus’ inventions in and into the United States or other jurisdictions. Competitors may use Emmaus’ technologies in jurisdictions where Emmaus has not obtained patent protection to develop their own products and further, may export otherwise infringing products to territories where Emmaus has patent protection, but enforcement is not as strong as that in the United States. These products may compete with Emmaus’ products and Emmaus’ patents or other intellectual property rights may not be effective or sufficient to prevent them from competing.
Many companies have encountered significant problems in protecting and defending intellectual property rights in foreign jurisdictions. The legal systems of certain countries, particularly certain developing countries, do not favor the enforcement of patents, trade secrets and other intellectual property protection, particularly those relating to biotechnology products, which could make it difficult for Emmaus to stop the infringement of Emmaus’ patents or marketing of competing products in violation of Emmaus’ proprietary rights generally. Proceedings to enforce Emmaus’ patent rights in foreign jurisdictions could result in substantial costs and divert Emmaus’ efforts and attention from other aspects of Emmaus’ business, could put Emmaus’ patents at risk of being invalidated or interpreted narrowly and Emmaus’ patent applications at risk of not issuing and could provoke third parties to assert claims against Emmaus. Emmaus may not prevail in any lawsuits that Emmaus initiates and the damages or other remedies awarded, if any, may not be commercially meaningful. Accordingly, Emmaus’ efforts to enforce Emmaus’ intellectual property rights around the world may be inadequate to obtain a significant commercial advantage from the intellectual property that Emmaus develop or license.
Companies and universities that have licensed product candidates to Emmaus for research, clinical development and marketing are sophisticated competitors that could develop similar products to compete with Emmaus’ products, which could reduce Emmaus’ future revenues.
Licensing Emmaus’ product candidates from other companies, universities or individuals does not always prevent them from developing non-identical but competitive products for their own commercial purposes, nor from pursuing patent protection in areas that are competitive with Emmaus. While Emmaus seeks patent protection for all of Emmaus’ owned and in-licensed product candidates, the entities and individuals who have assigned or licensed to Emmaus these product candidates employ or are, as applicable, experienced scientists who may continue to do research and development relevant to Emmaus’ product candidates, and any of them may seek patent protection in the same areas that led to the discovery of the product candidates that they have assigned or licensed to Emmaus. By virtue of the previous research that led to the discovery of the inventions that they licensed or assigned to Emmaus, these companies, universities, and individuals may be able to develop and market competitive products in less time than might be required to develop a product with which they have no prior experience and may reduce Emmaus’ future revenues from products resulting from successful development and approval of Emmaus’ product candidates.
76
Risks Related to Regulatory Approval of Emmaus’ Product Candidates and Other Legal Compliance Matters
Emmaus’ business is subject to extensive government regulation, which could cause delays in the development of Emmaus’ product candidates and commercialization of any resulting products, impose significant costs on Emmaus or provide advantages to Emmaus’ larger competitors.
The FDA and similar regulatory authorities in foreign countries impose substantial requirements upon the development, manufacture and marketing of therapeutic products, such as drugs, biologics, and cell-based therapies. Failure to obtain marketing approval for any of Emmaus’ product candidates in any jurisdiction will prevent Emmaus from commercializing it as a product in that jurisdiction. The FDA and most other regulatory authorities impose requirements for laboratory and clinical testing, manufacturing, labeling, registration, marketing, storage, distribution, recordkeeping, reporting, and advertising and promotion, and other costly and time-consuming processes and procedures applicable to therapeutic products. In some cases, as a condition for approval to market any of Emmaus’ product candidates, the FDA or other regulatory authorities may impose commitments that Emmaus must satisfy following any such approval. These post-approval commitments could vary substantially from country to country depending upon the type, complexity and novelty of the applicable therapeutic product. Satisfaction of any such post-approval commitments (including the requirement to conduct additional clinical studies), if imposed by the FDA or other regulatory authorities, could take several years or more. In addition, post-approval requirements regarding safety surveillance, cGMP compliance, advertising and promotion, adverse event reporting, and recordkeeping must be satisfied at all times.
The effect of government regulation may be to delay marketing approval of Emmaus’ product candidates for a considerable or indefinite period of time, to impose costly processes and procedures upon Emmaus’ activities and to furnish a competitive advantage to companies that compete with Emmaus. There can be no assurance that marketing approval for any of Emmaus’ product candidates would be granted by the FDA or other regulatory authority on a timely basis, if at all, or, once granted, that the marketing authorization would not be withdrawn or other regulatory actions taken which might limit Emmaus’ ability to market Emmaus’ proposed products. Any such delay in obtaining or failing to obtain such approvals or imposition of regulatory actions would adversely affect Emmaus, the manufacturing and marketing of the products resulting from marketing approval of any of Emmaus’ product candidates, and Emmaus’ ability to generate product revenue.
Even though Emmaus has obtained Orphan Drug designation for Endari, Emmaus may not be able to maintain Orphan Drug marketing exclusivity for this product candidate or any of Emmaus’ other product candidates.
Regulatory authorities in some jurisdictions, including the United States and the European Union, may designate therapeutic products under development for relatively small patient populations as “orphan drugs”. Under the Orphan Drug Act, the FDA may designate a therapeutic product as an Orphan Drug if it is intended to treat a rare disease or condition, which is generally defined as a patient population of fewer than 200,000 individuals in the United States. Emmaus has obtained Orphan Drug designation from the FDA and EC for L-glutamine treatment for SCD, and Emmaus may seek Orphan Drug designation for Emmaus’ other product candidates. Generally, if a product candidate with an Orphan Drug designation subsequently receives the first marketing approval for the indication for which it has been granted such designation, the drug is entitled to a period of marketing exclusivity, which precludes the FDA or European Medicines Agency (“EMA”) as applicable, from approving another marketing application for the same product candidate prior to the expiration of that time period. The applicable period is seven years in the United States and ten years in the European Union. The exclusivity period in the European Union can be reduced to six years if the product no longer meets the criteria for Orphan Drug designation or if its commercialization is sufficiently profitable so that market exclusivity is no longer justified. Orphan Drug exclusivity may be lost if the FDA or EMA determines that the request for designation was materially defective or if the manufacturer is unable to ensure sufficient quantity of the product to meet the needs of patients with the rare disease or condition. In the United States, Orphan Drug exclusivity may be lost if another L-glutamine product for the same indication demonstrates clinical superiority, such as a better safety or efficacy profile, in which case the FDA would be permitted to approve the third-party product. Orphan Drug exclusivity does not bar the FDA from approving another L-glutamine product for any other indication. Nor does Orphan Drug designation bar the FDA from granting Orphan Drug designation and approving another product for the same orphan disease or condition.
77
Any product candidate for which Emmaus obtains marketing approval would be subject to post-marketing regulatory requirements and limitations and could be subject to recall or withdrawal from the market, and Emmaus may be subject to penalties if Emmaus fails to comply with such regulatory requirements or if Emmaus experiences unanticipated problems in commercializing any of Emmaus’ product candidates, when and if any of them are approved by regulators.
Any product candidate for which Emmaus obtains marketing approval, along with the collection and reporting of post-approval clinical data, manufacturing processes, labeling, advertising and promotional activities for the resulting product, will be subject to continual requirements of and review by the FDA and other regulatory authorities. These requirements include submissions of safety and other post-marketing information and reports, establishment registration and product listing requirements, cGMP requirements relating to manufacturing, quality control, quality assurance and corresponding maintenance of records and documents, requirements regarding the distribution of samples to physicians and recordkeeping. Even if the FDA or other regulators outside the United States grant marketing approval to any of Emmaus’ product candidates, the approval may be subject to limitations on the indicated uses for which it may be marketed as a product or to the conditions of approval, including the requirement to implement a risk evaluation and mitigation strategy (“REMS”). If any of Emmaus’ product candidates receives marketing approval, the labeling (including the package insert) that must accompany its distribution as a product may limit its approved use, which could limit the total number of prescriptions written for such products.
The FDA may also impose requirements for costly post-marketing studies or clinical trials and surveillance to monitor the safety or effectiveness of any approved product. The FDA closely regulates the post-approval marketing and promotion of therapeutic products to ensure they are marketed for the approved indications and in accordance with the provisions of the approved labeling, and that any marketing claims or communications by a person or company responsible for the manufacture and distribution of the product regarding off-label use are truthful and not misleading. If Emmaus markets any of Emmaus’ products for indications that have not been approved in a manner that is considered misleading or not truthful, Emmaus may be subject to enforcement action for misbranding the product. Violations of the FD&C Act relating to the promotion of prescription products may lead to investigations alleging violations of federal and state healthcare fraud and abuse laws, as well as state consumer protection laws. In recent years, several pharmaceutical companies have been or settled lawsuits for fined significant amounts for such violations.
In addition, later discovery of previously unknown adverse events or other problems with any of Emmaus’ product candidates that are approved for marketing as products, the contract manufacturers from which Emmaus obtains supplies of these products, the manufacturing processes they use to manufacture these products, or Emmaus’ or their failure to comply with regulatory requirements, may have negative consequences, including:
| ● | restrictions on the manufacturers or manufacturing processes for such products; |
| ● | restrictions on the labeling or marketing of such products; |
| ● | restrictions on distribution or use of such products; |
| ● | requirements to conduct post marketing studies or clinical trials; |
| ● | warning letters; |
| ● | recall or withdrawal of such products from the market; |
| ● | refusal to approve pending applications or supplements to approved marketing applications that Emmaus submit; |
| ● | clinical holds on clinical studies of such products; |
| ● | fines, restitution or disgorgement of revenue or profit generated by sales of such products; |
78
| ● | suspension or withdrawal of the marketing approvals of such products; |
| ● | refusal to permit the import or export of such products; |
| ● | seizure of such products; |
| ● | injunctions prohibiting the manufacture, marketing, sale, distribution, or related action in respect of such products; |
| ● | the imposition of civil or criminal penalties; or |
| ● | debarment of Emmaus’ company and any of Emmaus’ officers or other employees responsible for such problems from future dealings with the FDA. |
Noncompliance with applicable regulatory requirements regarding safety monitoring, also called pharmacovigilance, and with requirements related to the development of therapeutics for the pediatric population, can also result in significant financial penalties. Similarly, failure to comply with applicable regulatory requirements regarding the protection of personal information can also lead to significant penalties and sanctions.
Many of Emmaus’ potential customers are located in markets with underdeveloped health care systems.
Emmaus’ lead product, Endari, is a pharmaceutical grade L-glutamine oral powder treatment for sickle cell anemia and sickle ß0-thalassemia, two of the most common forms of SCD. SCD is a genetic blood disorder that affects 20-25 million people worldwide and occurs with increasing frequency among those whose ancestors are from regions including sub-Saharan Africa, South America, the Caribbean, Central America, the Middle East, India and Mediterranean regions such as Turkey, Greece and Italy. Thus, while SCD affects people throughout the world, the prevalence of SCD is higher in certain geographies, such as central and sub-Saharan Africa and the Caribbean, that currently have underdeveloped health care systems or significantly lower rates of health insurance coverage. Furthermore, a majority of people in many of these geographies are low-income and may be unable to afford Endari. These factors may ultimately limit Emmaus’ addressable market. Emmaus’ ability to achieve profitability may be adversely impacted if Emmaus is unable to access markets with greater prevalence of SCD, or if there are insufficient SCD patients in geographies with more well-developed health care systems.
Emmaus’ current and future relationships with customers and third-party payors in the United States and elsewhere may be subject, directly or indirectly, to applicable anti-kickback, fraud and abuse, false claims, transparency, health information privacy and security and other healthcare laws and regulations, which could expose Emmaus to criminal sanctions, civil penalties, contractual damages, reputational harm, administrative burdens and diminished profits and future earnings.
Emmaus’ industry is highly regulated and changes in law may adversely impact Emmaus’ business, operations or financial results. Any present or future arrangements with third-party payors, healthcare providers and professionals and customers may expose Emmaus to broadly applicable fraud and abuse and other healthcare laws and regulations that may restrict certain marketing and contracting practices. Emmaus is subject to various federal and state laws pertaining to healthcare fraud and abuse, including inducing, facilitating or encouraging submission of false claims to government programs and prohibitions on the offer or payment or acceptance of kickbacks or other remuneration for the purchase of Emmaus’ products. Healthcare providers, physicians and third-party payors in the United States and elsewhere will play a primary role in the recommendation and prescription of any product candidates for which Emmaus obtains marketing approval. Emmaus’ future arrangements with customers and third-party payors may expose Emmaus to broadly applicable fraud and abuse and other healthcare laws and regulations, which may constrain the business or financial arrangements and relationships through which Emmaus sells, markets and distributes any products. In addition, Emmaus may be subject to transparency laws aimed at controlling healthcare costs and patient privacy regulation by the U.S. federal and state governments and by governments in foreign jurisdictions in which Emmaus conduct Emmaus’ business. The applicable federal, state and foreign healthcare laws and regulations that may affect Emmaus’ ability to operate include (but are not limited to):
| ● | the federal Anti-Kickback Statute, which prohibits, among other things, persons from knowingly and willfully soliciting, offering, receiving or providing remuneration, directly or indirectly, in cash or in kind, to induce or reward, or in return for, either the referral of an individual for, or the purchase, order or recommendation of, any good or service, for which payment may be made under federal and state healthcare programs, such as Medicare and Medicaid; |
79
| ● | federal civil and criminal false claims laws and civil monetary penalty laws, including the federal False Claims Act, which impose criminal and civil penalties, including civil qui tam actions (commonly referred to as “whistleblower actions”), against individuals or entities for knowingly presenting, or causing to be presented, to the federal government, including the Medicare and Medicaid programs, claims for payment that are false or fraudulent or making a false statement to avoid, decrease or conceal an obligation to pay money to the federal government; |
| ● | provisions under the federal Health Insurance Portability and Accountability Act of 1996 (“HIPAA”) that impose criminal and civil liability for executing a scheme to defraud any healthcare benefit program or making false statements relating to healthcare matters; |
| ● | provisions under HIPAA, as amended by the Health Information Technology for Economic and Clinical Health Act of 2009 (“HITECH”) and their respective implementing regulations, that impose obligations on covered healthcare providers, health plans, and healthcare clearinghouses, as well as their business associates that create, receive, maintain or transmit individually identifiable health information for or on behalf of a covered entity, with respect to safeguarding the privacy, security and transmission of individually identifiable health information; |
| ● | the federal Open Payments program under the federal Physician Payments Sunshine Act, which requires manufacturers of drugs, biologics, cell based therapies, medical devices and medical supplies for which payment is available under Medicare, Medicaid or the Children’s Health Insurance Program, with specific exceptions, to report annually to the CMS, information related to “payments or other transfers of value” made to physicians, which is defined to include doctors, dentists, optometrists, podiatrists and chiropractors, and teaching hospitals and applicable manufacturers and applicable group purchasing organizations to report annually to CMS ownership and investment interests held by the physicians and their immediate family members; |
| ● | state and foreign laws and regulations analogous to those described above, such as state anti-kickback and false claims laws, which may apply to sales or marketing arrangements and claims involving healthcare items or services reimbursed by nongovernmental third party payors, including private insurers; |
| ● | state and foreign laws that require pharmaceutical companies to comply with the pharmaceutical industry’s voluntary compliance guidelines and the relevant compliance guidance promulgated by the federal government or otherwise restrict payments that may be made to healthcare providers; |
| ● | state and foreign laws that require pharmaceutical and biopharmaceutical manufacturers to report information related to payments and other transfers of value to physicians and other healthcare providers or marketing expenditures; and |
| ● | state and foreign laws governing the privacy and security of health information in certain circumstances, many of which differ from each other in significant ways and often are not preempted by HIPAA, thus complicating compliance efforts. |
Because of the sweeping language of the federal Anti-Kickback Statute, many potentially beneficial business arrangements would be prohibited if the statute were strictly applied. To avoid this outcome, the Department of Health and Human Services has published regulations, known as “safe harbors,” that identify exceptions to or exemptions from the statute’s prohibitions. Arrangements that do not fit within the safe harbors are not automatically deemed to be illegal, but must be evaluated on a case by case basis for compliance with the statute and may be subject to scrutiny (and ultimately prosecution) by enforcement agencies. Emmaus seek to comply with the Anti-Kickback Statute and, if necessary, to fit within one of the defined safe harbors. Emmaus may be less willing than some of Emmaus’ competitors to take actions or enter into business arrangements that do not clearly satisfy the safe harbors. As a result, this unwillingness may put Emmaus at a competitive disadvantage. However, due to the breadth of the statutory provisions and the absence of uniform guidance in the form of regulations or court decisions, there can be no assurance that Emmaus’ practices fit within the safe harbors or that they will not be challenged under anti-kickback or similar laws. Further, liability may be established without a person or entity having actual knowledge of the federal Anti-Kickback Statute or specific intent to violate it. Violations of such restrictions may be punishable by civil or criminal sanctions, including fines and civil monetary penalties, as well as the possibility of exclusion from U.S. federal healthcare programs (including Medicaid and Medicare). Any such violations could have a material adverse effect on Emmaus’ business, financial condition, results or operations and cash flows.
80
Under the False Claims Act, drug manufacturers have been held responsible for claims filed by physicians for reimbursement of the cost of medical services related to uses of a pharmaceutical product that are not on the approved labeling, known as “off-label use,” if the manufacturer promoted the product for such off-label use. If the FDA or other government agencies determine that Emmaus’ promotional materials, trainings or other activities constitute off-label promotion of any of Emmaus’ products, it could request that Emmaus modify Emmaus’ training or promotional materials or other activities or subject Emmaus to regulatory enforcement actions, including the issuance of a warning letter, injunction, seizure, civil fine, and criminal penalties. Violations of the False Claims Act may result in treble damages based on the amount of overpayment and additional civil fines of $5,000 to $10,000 for each false claim. Drug manufacturers could also be held responsible for reimbursement claims submitted by any physician for pharmaceutical products that were knowingly not manufactured in compliance with cGMP regulations.
In addition to the state laws previously described, Emmaus also is subject to other state fraud and abuse statutes and regulations. Many of the states in which Emmaus operates or plans to expand to have adopted a form of anti-kickback law, self-referral prohibition, and false claims and insurance fraud prohibition. The scope of these laws and the interpretations of them vary from state to state and are enforced by state courts and regulatory authorities, each with broad discretion. Generally, state laws reach to all healthcare services and not just those covered under a governmental healthcare program. A determination of liability under any of these laws could result in fines and penalties and restrictions on Emmaus’ ability to operate in these states. Emmaus cannot assure that Emmaus’ arrangements or business practices will not be subject to government scrutiny or be found to violate applicable fraud and abuse laws.
Efforts to ensure that Emmaus’ business arrangements with third parties will comply with applicable healthcare laws and regulations may involve substantial costs. Further, Emmaus cannot guarantee that Emmaus’ arrangements or business practices will not be subject to government investigations and prosecutions which, even if Emmaus is ultimately found to be without fault, can be costly and disruptive to Emmaus’ business. It is possible that governmental authorities will conclude that Emmaus’ business practices may not comply with current or future statutes, regulations or case law involving applicable fraud and abuse or other healthcare laws and regulations. If Emmaus’ operations are found to be in violation of any of these laws or any other governmental regulations that may apply to Emmaus, Emmaus, Emmaus’ employees, officers, or directors may be subject to significant civil, criminal and administrative penalties, including, without limitation, damages, fines, imprisonment, exclusion from participation in government healthcare programs, such as Medicare and Medicaid, and the curtailment or restructuring of Emmaus’ operations, which could have a material adverse effect on Emmaus’ business. If any of the physicians or other healthcare providers or entities with whom Emmaus expects to do business, including Emmaus’ collaborators, is found not to be in compliance with applicable laws, such person or entity may be subject to criminal, civil or administrative sanctions, including exclusions from participation in government healthcare programs, which could also materially affect Emmaus’ business.
Recently enacted and future legislation may increase the difficulty and cost for Emmaus to obtain marketing approval of Emmaus’ product candidates and then commercialize them as products and affect the prices Emmaus may obtain.
In the United States and some foreign jurisdictions, there have been a number of legislative and regulatory changes and proposed changes regarding the healthcare system that could prevent or delay marketing approval of Emmaus’ product candidates, restrict or regulate post-approval activities and affect Emmaus’ ability to profitably sell any product candidates for which Emmaus obtain marketing approval.
Among policy makers and payors in the United States and elsewhere, there is significant interest in promoting changes in healthcare systems with the stated goals of containing healthcare costs, improving quality and expanding access. In the United States, the pharmaceutical industry has been a particular focus of these efforts and has been significantly affected by major legislative initiatives. In March 2010, President Obama signed into law the Patient Protection and Affordable Care Act, as amended by the Health Care and Education Affordability Reconciliation Act, or, collectively, the PPACA (often commonly referred to as the “Affordable Care Act”), a law intended to broaden access to health insurance, reduce or constrain the growth of healthcare spending, enhance remedies against fraud and abuse, add new transparency requirements for the healthcare and health insurance industries, impose new taxes and fees on the health industry and impose additional health policy reforms.
81
Among the provisions of the PPACA of importance to Emmaus’ potential product candidates are:
| ● | an annual, nondeductible fee on any entity that manufactures or imports specified branded prescription drugs and biologic agents, apportioned among these entities according to their market share in certain government healthcare programs; |
| ● | an increase in the statutory minimum rebates a manufacturer must pay under the Medicaid Drug Rebate Program to 23.1% and 13.0% of the average manufacturer price for branded and generic drugs, respectively; |
| ● | expansion of healthcare fraud and abuse laws, including the False Claims Act and the Anti-Kickback Statute, new government investigative powers and enhanced penalties for noncompliance; |
| ● | a new Medicare Part D coverage gap discount program, in which manufacturers must agree to offer 50% point of sale discounts off negotiated prices of applicable brand medicines to eligible beneficiaries during their coverage gap period, as a condition for a manufacturer’s medicines purchased outside a hospital setting to be covered under Medicare Part D; |
| ● | extension of a manufacturer’s Medicaid rebate liability to covered medicines dispensed to individuals who are enrolled in Medicaid managed care organizations; |
| ● | expansion of eligibility criteria for Medicaid programs by, among other things, allowing states to offer Medicaid coverage to additional individuals and by adding new mandatory eligibility categories for certain individuals with income at or below 133% of the federal poverty level beginning in 2014, thereby potentially increasing a manufacturer’s Medicaid rebate liability; |
| ● | expansion of the entities eligible for discounts under the Public Health Service pharmaceutical pricing program; |
| ● | the new requirements under the federal Open Payments program and its implementing regulations; |
| ● | a new requirement to annually report samples of medicines that manufacturers and distributors provide to physicians; and |
| ● | a new Patient Centered Outcomes Research Institute to oversee, identify priorities in, and conduct comparative clinical effectiveness research, along with funding for such research. |
In addition, other legislative changes have been proposed and adopted since the PPACA was enacted. These changes include aggregate reductions to Medicare payments to providers of up to 2% per fiscal year, starting in 2013. On March 1, 2013, the President signed an executive order implementing the 2% Medicare payment reductions, and on April 1, 2013, these reductions went into effect. In January 2013, President Obama signed into law the American Taxpayer Relief Act of 2012, which, among other things, reduced Medicare payments to several providers and increased the statute of limitations period for the government to recover overpayments to providers from three to five years. These new laws may result in additional reductions in Medicare and other healthcare funding, which could have a material adverse effect on customers for any of Emmaus’ products, and, accordingly, Emmaus’ financial operations. Further, there have been multiple attempts through legislative action and legal challenge to repeal or amend the PPACA, and Emmaus cannot predict the impact that such a repeal or amendment would have on Emmaus’ business and operations.
Emmaus expects that the PPACA, as well as other healthcare reform measures that may be adopted in the future, may result in more rigorous coverage criteria and in additional downward pressure on the price that Emmaus receive for any of Emmaus’ products. Any reduction in reimbursement from Medicare or other government-funded programs may result in a similar reduction in payments from private payors. The implementation of cost containment measures or other healthcare reforms may prevent Emmaus from being able to generate revenue, attain profitability or commercialize any of Emmaus’ products.
Legislative and regulatory proposals have been made to expand post-approval requirements and restrict sales and promotional activities for prescription medicines. Emmaus cannot be sure whether additional legislative changes will be enacted, or whether the FDA regulations, guidance or interpretations will be changed, or what the impact of such changes on the marketing approvals of Emmaus’ product candidates, if any, may be. In addition, increased scrutiny by the U.S. Congress of the FDA’s approval process may significantly delay or prevent marketing approval, as well as subject Emmaus to more stringent product labeling and post-marketing testing and other requirements.
82
A variety of risks associated with marketing any of Emmaus’ products internationally could hurt Emmaus’ business.
Emmaus may seek regulatory approval for Emmaus’ pharmaceutical grade L-glutamine treatment for SCD and Emmaus’ other product candidates outside of the United States and, accordingly, Emmaus expects that Emmaus will be subject to additional risks related to operating in foreign countries if Emmaus obtain the necessary approvals, including:
| ● | differing regulatory requirements in foreign countries; |
| ● | the potential for so called parallel importing, which is what happens when a local seller, faced with high or higher local prices, opts to import goods from a foreign market with low or lower prices rather than buying them locally; |
| ● | unexpected changes in tariffs, trade barriers, price and exchange controls and other regulatory requirements; |
| ● | economic weakness, including inflation or political instability in particular foreign economies and markets; |
| ● | compliance with tax, employment, immigration and labor laws for employees living or traveling abroad; |
| ● | foreign taxes, including withholding of payroll taxes; |
| ● | foreign currency fluctuations, which could result in increased operating expenses and reduced revenues, and other obligations related to doing business in another country; |
| ● | difficulties staffing and managing foreign operations; |
| ● | workforce uncertainty in countries where labor unrest is more common than in the United States; |
| ● | potential liability under the U.S. Foreign Corrupt Practices Act or comparable foreign regulations; |
| ● | challenges enforcing Emmaus’ contractual and intellectual property rights, especially in foreign countries that do not respect and protect intellectual property rights to the same extent as the United States; |
| ● | production shortages resulting from any events affecting raw material supply or manufacturing capabilities abroad; and |
| ● | business interruptions resulting from geopolitical actions, including war and terrorism. |
These and other risks associated with Emmaus’ potential international operations may compromise Emmaus’ ability to achieve or maintain profitability.
Governments outside the United States tend to impose strict price controls, which may adversely affect Emmaus’ revenue, if any.
In some countries, particularly in the European Union, the pricing of prescription pharmaceuticals is subject to governmental control. In these countries, pricing negotiations with governmental authorities can take considerable time after the receipt of marketing approval for a product candidate. To obtain coverage and reimbursement or pricing approval in some countries, Emmaus may be required to conduct a clinical trial that compares the cost-effectiveness of any of Emmaus’ products to other available therapies. If reimbursement of any of Emmaus’ products is unavailable or limited in scope or amount, or if pricing is set at unsatisfactory levels, Emmaus’ business could be harmed, possibly materially.
If Emmaus fails to comply with environmental, health and safety laws and regulations, Emmaus could become subject to fines or penalties or incur costs that could harm Emmaus’ business.
Emmaus is subject to numerous environmental, health and safety laws and regulations, including those governing laboratory procedures and the handling, use, storage, treatment and disposal of hazardous materials and wastes. Emmaus’ operations involve the use of hazardous and flammable materials, including chemicals and biological materials. Emmaus’ operations also produce hazardous waste products. Emmaus generally contracts with third parties for the disposal of these materials and wastes. Emmaus cannot eliminate the risk of contamination or injury from these materials. In the event of contamination or injury resulting from Emmaus’ use of hazardous materials, Emmaus could be held liable for any resulting damages, and any liability could exceed Emmaus’ resources. Emmaus also could incur significant costs associated with civil or criminal fines and penalties for failure to comply with such laws and regulations.
83
Although Emmaus maintain workers’ compensation insurance to cover Emmaus for costs and expenses Emmaus may incur due to injuries to Emmaus’ employees resulting from the use of hazardous materials, this insurance may not provide adequate coverage against potential liabilities. Emmaus does not maintain insurance for environmental liability or toxic tort claims that may be asserted against Emmaus in connection with Emmaus’ storage or disposal of biological, hazardous or radioactive materials.
In addition, Emmaus may incur substantial costs in order to comply with current or future environmental, health and safety laws and regulations. These current or future laws and regulations may impair Emmaus’ research, development or production efforts. Emmaus’ failure to comply with these laws and regulations also may result in substantial fines, penalties or other sanctions.
Risk Related to Emmaus’ Information Technology and Security
Emmaus’ business and operations may be adversely affected by information technology (“IT”) system failures or cybersecurity breaches.
Emmaus relies on IT networks and systems, including those of third-party service providers, to collect, process, store and transmit confidential information including, but not limited to, personal information and intellectual property for a variety of functions including, but not limited to, conducting clinical trials, financial reporting, data and inventory management. Emmaus also has outsourced certain services, including recruiting services, call center services, contract sales organization services and other ancillary services relating to the commercial marketing and sale of Endari in the United States, as well as significant elements of Emmaus’ IT security systems, and, as a result, Emmaus’ service providers have access to Emmaus’ confidential information. Despite the implementation of security measures and recovery plans, Emmaus’ network and information systems and those of third parties Emmaus uses are vulnerable to damage from computer viruses, cyberattacks, physical or electronic break-ins, service disruptions, and security breaches from inadvertent or intentional actions by Emmaus’ employees or vendors, or from attacks by malicious third parties. While Emmaus has not experienced any such system failure, accident or security breach to date, if such an event were to occur, Emmaus’ operations may be disrupted, and Emmaus may suffer from economic loss, reputational harm, regulatory actions or other legal proceedings. Further, such breaches and other inappropriate access can be difficult to detect, and any delay in identifying them may lead to increased risks of the actions described above.
Emmaus expects that risks and exposures related to cybersecurity breaches will remain high for the foreseeable future due to the rapidly evolving nature and sophistication of these threats.
Risks Related to Emmaus’ Employee Matters and Managing Emmaus’ Growth
Emmaus relies heavily on Yutaka Niihara, M.D., M.P.H., Emmaus’ Chairman and Chief Executive Officer, and the loss of his services would have a material adverse effect upon Emmaus’ business and prospects.
Emmaus’ success depends to a significant extent upon the continued services of Yutaka Niihara, M.D., M.P.H., founder of Emmaus Medical and Emmaus’ Chairman and Chief Executive Officer. Since inception, Emmaus has been dependent upon Dr. Niihara, who was one of the initial patentees for the method Emmaus is utilizing in Endari. While Dr. Niihara and the rest of Emmaus’ executive officers are parties to confidentiality agreements that prevent them from soliciting Emmaus’ existing customers or disclosing information deemed confidential to Emmaus, Emmaus does not have any agreement with Dr. Niihara or any key members of management that would prohibit them from joining Emmaus’ competitors or forming competing companies. In addition, Emmaus does not maintain key man life insurance policies on any of Emmaus’ executive officers. If Dr. Niihara or any key management personnel resign to join a competitor or form a competing company, the loss of such personnel, together with the loss of any customers or potential customers due to such executive’s departure, could materially and adversely affect Emmaus’ business and results of operations.
84
Emmaus is dependent on a technically trained workforce and an inability to retain or effectively recruit such employees could have a material adverse effect on Emmaus’ business, financial condition and results of operations.
Emmaus’ ability to compete effectively depends largely on Emmaus’ ability to attract and retain certain key personnel, including Emmaus’ clinical, regulatory and scientific staff members. Industry demand for such skilled employees, however, exceeds the number of personnel available, and the competition for attracting and retaining these employees is intense. As a result, Emmaus may be unable to retain Emmaus’ existing personnel or attract additional qualified employees to keep up with future business needs. If this should happen, Emmaus’ business, operating results and financial condition could be adversely affected.
In addition, Emmaus intends to hire in-house marketing personnel to promote and market and sell Emmaus’ SCD and SBS treatment products to patients, physicians and treatment centers, and obtain the approval of insurance companies and healthcare payors for reimbursement of the cost of these treatments. Emmaus cannot assure you that Emmaus will be able to recruit and retain qualified personnel to perform these marketing functions. Emmaus’ inability to hire and then retain such personnel and scientists could have a materially adverse effect on Emmaus’ business, financial condition and results of operations.
The pharmaceutical and biotechnology industries are subject to rapid technological change, and if Emmaus fails to keep up with such change, Emmaus’ results of operations and financial condition could be adversely impacted.
Biotechnology and related pharmaceutical technology have undergone and are subject to rapid and significant change. Emmaus expects that the technologies associated with biotechnology research and development will continue to develop rapidly. Emmaus’ failure to keep pace with such rapid change could result in Endari and other product candidates becoming obsolete and Emmaus may be unable to recoup any expenses incurred with developing such products, which may adversely affect Emmaus’ future revenues and financial condition.
Emmaus expects to expand Emmaus’ product development, regulatory and marketing capabilities, and, as a result, Emmaus may encounter difficulties managing Emmaus’ growth, which could disrupt Emmaus’ operations.
Emmaus expects to continue to grow, which could strain Emmaus’ managerial, operational, financial and other resources. With the completion of Emmaus’ Phase 3 clinical trial of Endari and the potential expansion of clinical-stage programs and in-licensing and acquisition of additional clinical-stage product candidates, Emmaus will be required to retain experienced personnel in the regulatory, clinical and medical areas over the next several years. Also, as Emmaus’ preclinical pipeline diversifies through the acquisition or in-licensing of new product candidates, Emmaus will need to hire additional scientific and other personnel in order to supplement Emmaus’ existing scientific expertise over the next several years.
Emmaus’ staff, financial resources, systems, procedures or controls may be inadequate to support Emmaus’ operations, and Emmaus’ management may be unable to take advantage of future market opportunities or manage successfully Emmaus’ relationships with third parties if Emmaus is unable to adequately manage Emmaus’ anticipated growth and the integration of new personnel. Emmaus may not be able on a timely and cost-effective basis to identify, hire and retain any needed additional management, scientific or sales and marketing personnel to develop and implement Emmaus’ product development plans, conduct preclinical and clinical testing of Emmaus’ product candidates and, if they are approved by the FDA and other government regulators, commercialize them as products. In addition, Emmaus may not be able to successfully manage potential rapid growth with Emmaus’ current limited managerial, operational, and financial resources.
Emmaus may pursue future growth through strategic acquisitions and alliances which may not yield anticipated benefits and may adversely affect Emmaus’ operating results, financial condition and existing business.
Emmaus may seek to grow in the future through strategic acquisitions and alliances in order to complement and expand Emmaus’ business. The success of Emmaus’ acquisition strategy will depend on, among other things:
| ● | the availability of suitable acquisition and alliance candidates; |
| ● | competition from other companies for acquiring or forming alliances with available acquisition and alliance candidates; |
85
| ● | Emmaus’ ability to value any acquisition candidates or alliances accurately and negotiate favorable terms for any prospective acquisitions or alliances; |
| ● | the availability of funds to finance any such acquisitions or alliances; |
| ● | the ability to establish new informational, operational and financial systems to meet the needs of Emmaus’ business; |
| ● | the ability to achieve anticipated synergies, including with respect to complementary products; and |
| ● | the availability of management resources to oversee the integration and operation of the acquired businesses. |
If Emmaus is not successful in integrating acquired businesses and completing acquisitions in the future, Emmaus may be required to reevaluate Emmaus’ acquisition and alliance strategy. Emmaus also may incur substantial expenses and devote significant management time and resources in seeking to complete acquisitions and alliances. Acquired businesses and alliances may fail to meet Emmaus’ performance expectations. If Emmaus does not achieve the anticipated benefits of an acquisition or alliance as rapidly as expected, or at all, investors or analysts may not perceive the same benefits of the acquisition or alliance as Emmaus do. If these risks materialize, Emmaus’ operating results, financial condition and existing business could be materially adversely affected.
Risks Related to Ownership of Emmaus Common Stock
Emmaus’ principal stockholders are able to significantly influence matters submitted to stockholders for approval, and may have interests that differ from Emmaus’ stockholders, generally.
As of December 31, 2018, Emmaus’ officers and directors controlled approximately 30% of Emmaus’ issued and outstanding common stock, and Emmaus’ Chairman and Chief Executive Officer controlled approximately 27% of Emmaus’ issued and outstanding common stock. These stockholders can exert significant influence in determining the outcome of corporate actions requiring stockholder approval and that otherwise control Emmaus’ business, including mergers, consolidations and the sale of all or substantially all of Emmaus’ assets, election of directors, and other significant corporate actions, and may have interests that differ from Emmaus’ stockholders, generally.
If a market develops for Emmaus’ common stock, the market price and trading volume of Emmaus’ common stock may be volatile.
If a market develops for Emmaus’ common stock, the market price of Emmaus’ common stock could fluctuate significantly for many reasons, including reasons unrelated to Emmaus’ specific performance, such as reports by industry analysts, investor perceptions, share arbitrage, the exercise of options or warrants or the conversion of convertible notes or announcements by Emmaus’ competitors regarding their own performance, as well as general economic and industry conditions. For example, to the extent that other companies, whether large or small, within Emmaus’ industry experience declines in their share price, Emmaus’ share price may decline as well. Fluctuations in operating results or the failure of operating results to meet the expectations of public market analysts and investors may negatively impact the price of Emmaus’ securities. Quarterly operating results may fluctuate in the future due to a variety of factors that could negatively affect revenues or expenses in any particular quarter, including vulnerability of Emmaus’ business to a general economic downturn; changes in the laws that affect Emmaus’ products or operations; competition; compensation related expenses; application of accounting standards; and Emmaus’ ability to obtain and maintain all necessary government certifications and/or licenses to conduct Emmaus’ business. In addition, in situations where the market price of a company’s shares may drop significantly, stockholders could institute securities class action lawsuits against the company. A lawsuit against Emmaus could cause Emmaus to incur substantial costs and could divert the time and attention of Emmaus’ management and other resources. In addition, the market price for securities of pharmaceutical and biotechnology companies historically has been volatile, and the securities markets have from time to time experienced significant price and volume fluctuations that are unrelated to the operating performance of particular companies. These broad market fluctuations may cause the market price of Emmaus’ common stock to decline substantially.
86
If securities or industry analysts do not publish research or reports or publish unfavorable research about Emmaus’ business, the price and trading volume of Emmaus’ common stock could decline.
In the event a public trading market develops for Emmaus’ common stock, the price and trading volume of Emmaus’ common stock will depend in part on the research and reports that securities or industry analysts publish about Emmaus or Emmaus’ business. Emmaus does not currently have and may never obtain research coverage by securities and industry analysts. If no securities or industry analyst commences coverage of Emmaus, the trading price for Emmaus’ common stock and other securities would be negatively affected. In the event Emmaus obtains securities or industry analyst coverage, if one or more of the analysts who covers Emmaus downgrades Emmaus’ securities, the price of Emmaus’ securities would likely decline. If one or more of these analysts ceases to cover Emmaus or fails to publish regular reports on Emmaus, interest in the purchase of Emmaus’ common stock could decrease, which could cause the price and trading volume of Emmaus’ common stock to decline.
Emmaus has identified a material weakness in Emmaus’ internal control over financial reporting and Emmaus may be unable to develop, implement and maintain appropriate controls in future periods. If the material weakness is not remediated, or if after remediation Emmaus is unable to maintain appropriate controls, the accuracy and timing of Emmaus’ financial reporting may be adversely affected.
Emmaus has identified a material weakness in Emmaus’ internal control over financial reporting and, as a result of such weakness, Emmaus’ management, with the participation of Emmaus’ Chief Executive Officer and Chief Financial Officer, concluded that Emmaus’ disclosure controls and procedures and internal control over financial reporting were not effective as of December 31, 2018. The material weakness related to Emmaus’s inadequate financial closing process, segregation of duties including access control of information technology especially financial information, inadequate documentation of policies and procedures over risk assessments, internal control and significant account process and insufficient entity risk assessment process as well as to maintain effective controls over the completeness and accuracy of financial reporting.
Unless and until remediated, this material weakness could result in additional material misstatements to Emmaus’ interim or annual consolidated financial statements and disclosures that may not be prevented or detected on a timely basis. In addition, Emmaus may experience delay or be unable to meet Emmaus’ reporting obligations or to comply with SEC rules and regulations, which could result in investigation and sanctions by regulatory authorities. Management’s assessment of internal controls over financial reporting may in the future identify additional weaknesses and conditions that need to be addressed in Emmaus’ internal control over financial reporting. Any failure to improve Emmaus’ disclosure controls and procedures and Emmaus’ internal control over financial reporting or to address identified weaknesses in the future, if they were to occur, could prevent Emmaus from maintaining accurate accounting records and discovering accounting errors and financial frauds. Any of these results could adversely affect Emmaus’ business and the value of Emmaus’ common stock.
Emmaus incurs significant costs as a result of being an SEC reporting company, and Emmaus’ management is required to devote substantial time to compliance efforts.
As an SEC-reporting company, Emmaus incurs significant legal, accounting and other expenses. The Sarbanes-Oxley Act of 2002, the Dodd-Frank Wall Street Reform and Consumer Protection Act and related SEC regulations have significantly increased the costs and risks associated with SEC reporting. Emmaus would be required to comply with additional rules if Emmaus’ common stock becomes listed on a stock exchange. Emmaus’ management and other personnel need to devote a substantial amount of time and financial resources to comply with these requirements, as well any new requirements implemented by the SEC. Moreover, these rules and regulations increase Emmaus’ legal and financial compliance costs and will make some activities more time-consuming and costly and could lead to a diversion of management time and attention from revenue generating activities to compliance activities. Emmaus is currently unable to estimate these costs with any degree of certainty. These rules and regulations could also make it more difficult for Emmaus to attract and retain qualified persons to serve on Emmaus’ board of directors and board committees or as executive officers and more expensive for Emmaus to obtain director and officer liability insurance.
87
Emmaus’ certificate of incorporation and bylaws and Delaware law may have anti-takeover effects that could discourage, delay or prevent a change in control or adversely affect the value of Emmaus’ common stock.
Emmaus’ certificate of incorporation and bylaws and Delaware law could make it more difficult for a third party to acquire Emmaus, even if closing such a transaction would be beneficial to Emmaus’ stockholders. Emmaus is authorized to issue up to 20,000,000 shares of preferred stock. This preferred stock may be issued in one or more series, the terms of which may be determined at the time of issuance by Emmaus’ board of directors without further action by stockholders. The terms of any series of preferred stock may include voting rights (including the right to vote as a series on particular matters), preferences as to dividend, liquidation, conversion and redemption rights and sinking fund provisions. No preferred stock is currently outstanding. The issuance of any preferred stock could materially adversely affect the rights of the holders of Emmaus’ common stock, and therefore, reduce the value of Emmaus’ common stock. In particular, specific rights granted to future holders of preferred stock could be used to restrict Emmaus’ ability to merge with, or sell Emmaus’ assets to, a third party and thereby preserve control by the present management.
Provisions of Emmaus’ certificate of incorporation and bylaws and Delaware law also could have the effect of discouraging potential acquisition proposals or making a tender offer or delaying or preventing a change in control, including changes a stockholder might consider favorable. Such provisions may also prevent or frustrate attempts by Emmaus’ stockholders to replace or remove Emmaus’ management. In particular, the certificate of incorporation and bylaws and Delaware law, as applicable, among other things:
| ● | provide the board of directors with the ability to alter the bylaws without stockholder approval; |
| ● | place limitations on the removal of directors; |
| ● | provide that vacancies on the board of directors may be filled by a majority of directors in office, although less than a quorum; and |
| ● | provide that stockholders must provide advance notice to nominate directors or submit proposals for consideration at stockholder meetings. |
These provisions are expected to discourage certain types of coercive takeover practices and inadequate takeover bids and to encourage persons seeking to acquire control of Emmaus’ company to first negotiate with Emmaus’ board of directors. These provisions may delay or prevent someone from acquiring or merging with Emmaus, which may cause the market price of Emmaus’ common stock to decline.
Emmaus bylaws, as amended, designate the Court of Chancery of the State of Delaware as the sole and exclusive forum for certain types of actions and proceedings that may be initiated by Emmaus’ stockholders, which could limit Emmaus stockholders’ ability to obtain a favorable judicial forum for disputes with Emmaus or its directors, officers or other employees.
Emmaus’ bylaws provide that, unless Emmaus consents in writing to an alternative forum, the Court of Chancery of the State of Delaware will be the sole and exclusive forum for (i) any derivative action or proceeding brought on behalf of Emmaus, (ii) any action asserting a claim of breach of a fiduciary duty owed by any director, officer or other employee to Emmaus or its stockholders, (iii) any action asserting a claim arising pursuant to any provision of the Delaware General Corporation Law, or (iv) any action asserting a claim that is governed by the internal affairs doctrine. Emmaus’ bylaws also provide that any person purchasing or otherwise acquiring any interest in any shares of Emmaus’ capital stock shall be deemed to have notice of and to have consented to this provision of Emmaus’ bylaws. This choice-of-forum provision may limit Emmaus stockholders’ ability to bring a claim in a judicial forum that it finds favorable for disputes with Emmaus or its directors, officers or other employees, which may discourage such lawsuits. Alternatively, if a court were to find this provision of Emmaus’ bylaws inapplicable or unenforceable with respect to one or more of the specified types of actions or proceedings, Emmaus may incur additional costs associated with resolving such matters in other jurisdictions, which could adversely affect Emmaus’ business and financial condition.
Emmaus does not foresee paying cash dividends in the foreseeable future and, as a result, Emmaus’ investors’ sole source of gain, if any, will depend on capital appreciation, if any.
Emmaus does not plan to declare or pay any cash dividends on Emmaus’ shares of common stock in the foreseeable future and currently intend to retain any future earnings to fund its business and operations. As a result, investors should not rely on an investment in Emmaus’ securities if they require the investment to produce dividend income. Capital appreciation, if any, of Emmaus’ shares may be investors’ sole source of gain for the foreseeable future. Moreover, investors may not be able to resell their shares of Emmaus’ common stock at or above the price they paid for them, or at all.
88
CAUTIONARY STATEMENT CONCERNING FORWARD-LOOKING STATEMENTS
This joint proxy statement/prospectus and the documents incorporated by reference into this joint proxy statement/prospectus contain forward-looking statements within the meaning of the Private Securities Litigation Reform Act of 1995, as amended. These forward-looking statements are based on current expectations and beliefs and involve numerous risks and uncertainties that could cause actual results to differ materially from expectations. These forward-looking statements should not be relied upon as predictions of future events as MYnd and Emmaus cannot assure you that the events or circumstances reflected in these statements will be achieved or will occur. You can identify forward-looking statements by the use of forward-looking terminology including “believes,” “expects,” “may,” “will,” “should,” “seeks,” “intends,” “plans,” “pro forma,” “estimates,” or “anticipates” or the negative of these words and phrases or other variations of these words and phrases or comparable terminology. All statements other than statements of historical fact are statements that could be deemed forward-looking statements. For example, forward-looking statements include, but are not limited to statements about:
| ● | failure to complete the Merger may result in either party paying termination fees and expenses to the other party and could harm the future business and operations of each company; |
| ● | if the conditions to the Merger are not met, including the NASDAQ Approval Condition and the Appraisal Rights Condition, the Merger may not occur; |
| ● | the Merger may be completed even though material adverse changes may occur; |
| ● | directors and executive officers of each company have interests in the Merger that are different from yours, which may result them to support or approve the Merger without regard to your interests; |
| ● | there is no assurance as to the market price of the combined company common stock following the Merger; the market price of the combined company common stock may be volatile and may fluctuate substantially following the Merger; |
| ● | certain provisions of the Merger Agreement may discourage third parties from submitting alternative takeover proposals, including proposals that may be superior to the arrangements contemplated by the Merger Agreement; |
| ● | to the extent Emmaus stockholders exercise their appraisal rights, the Appraisal Rights Condition may not be satisfied and the Merger may not occur; if the Merger occurs, the exercise of such rights could have a material, adverse effect on the financial condition of the combined company; |
| ● | if the Merger does not qualify as a tax-free reorganization, the receipt of MYnd common stock pursuant to the Merger could be fully taxable to all Emmaus stockholders; |
| ● | the combined company may never become profitable; |
| ● | the combined company may be required to raise additional funds to finance its operations; the combined company may not be able to raise additional funds when necessary, or on acceptable terms; |
| ● | the pro forma financial information may not reflect the combined company’s financial condition or results of operations following the completion of the Merger and the Spin-Off; |
| ● | if the combined company were to be delisted from NASDAQ, it could reduce the visibility, liquidity and price of its common stock; |
| ● | after the Merger, Emmaus’ directors, executive officers and principal stockholders will own a significant percentage of the combined company common stock and, if they act in concert, will be able to exercise significant influence over matters submitted to stockholders for approval; |
| ● | a significant portion of the combined company’s outstanding shares of common stock may be sold into the public market at any point, and the possibility of such sales or sales, themselves, could have an adverse effect on the market price of the combined company, even if the combined company is doing well; |
| ● | the combined company expects to continue to incur increased costs as a result of operating as a public company, and its management will be required to devote substantial time to compliance initiatives and corporate governance practices; |
| ● | the combined company does not anticipate paying any cash dividends on its capital stock in the foreseeable future; |
| ● | provisions in the combined company’s certificate of incorporation, its bylaws or Delaware law might discourage, delay or prevent a change in control of the company or changes in its management, which may depress the price of its common stock; and |
| ● | the lack of securities analyst coverage or securities analysts’ unfavorable reports could cause a decline in the market price of the combined company common stock. |
For a discussion of the factors that may cause MYnd’s, Emmaus’ or the combined company’s actual results, performance or achievements to differ materially from any future results, performance or achievements expressed or implied in such forward-looking statements, or for a discussion of risk associated with the ability of MYnd and Emmaus to complete the Merger and the effect of the Merger on the business of the combined company, see section entitled “Risk Factors” beginning on page 21 of this joint proxy statement/prospectus.
Additional factors that could cause actual results to differ materially from those expressed in the forward-looking statements are discussed in reports filed with the SEC by MYnd and Emmaus. See the section entitled “Where You Can Find More Information” beginning on page 232 of this joint proxy statement/prospectus.
If any of these risks or uncertainties materializes or any of these assumptions proves incorrect, the results of MYnd, Emmaus or the combined company could differ materially from the forward-looking statements. All forward-looking statements in this joint proxy statement/prospectus are current only as of the date on which the statements were made. MYnd and Emmaus do not undertake any obligation to publicly update any forward-looking statement to reflect events or circumstances after the date on which any statement is made or to reflect the occurrence of unanticipated events.
89
THE SPECIAL MEETING OF MYND STOCKHOLDERS
The MYnd special meeting will be held on July 9, 2019, at 2:00 P.M. Eastern Time (unless postponed or adjourned to a later date) via live webcast for the following purposes:
| 1. | To approve the issuance of shares of common stock of MYnd to stockholders of Emmaus pursuant to the terms of the Agreement and Plan of Merger and Reorganization between MYnd, Emmaus and Athena Merger Subsidiary, Inc., dated January 4, 2019, a copy of which is attached as Annex A to the accompanying joint proxy statement/prospectus, which is referred to as the Merger Agreement; |
| 2. | To consider and approve a spin-off transaction whereby all of the business and assets of MYnd and those liabilities of MYnd not retained by MYnd in connection with the Merger will be contributed to a wholly-owned subsidiary of MYnd, referred to as Telemynd, and whereby holders of record of MYnd’s common stock on July 9, 2019 will receive a pro rata distribution of Telemynd’s common stock based upon a distribution ratio to be determined by MYnd, contingent upon, the consummation of the Merger; |
| 3. | To approve the certificate of amendment to the certificate of incorporation of MYnd changing the MYnd corporate name to “Emmaus Life Sciences, Inc.” in the form attached as Annex D to the accompanying joint proxy statement/prospectus; |
| 4. | To approve the certificate of amendment to the certificate of incorporation of MYnd to effect a reverse stock split of MYnd common stock in accordance with a ratio to be determined by mutual agreement of MYnd and Emmaus, and approved by the MYnd board of directors, within a range of one share of MYnd common stock for every two to ten shares of MYnd common stock (or any number in between) in the form attached as Annex E to the accompanying joint proxy statement/prospectus; |
| 5. | To consider and vote upon a proposal to approve, on a non-binding advisory vote basis, compensation that will or may become payable by MYnd to its named executive officers in connection with the Merger; |
| 6. | To consider and vote upon an adjournment of the MYnd special meeting, if necessary, to solicit additional proxies if there are not sufficient votes in favor of MYnd Stockholder Proposal Nos. 1, 2, 3, 4 and 5; and; |
| 7. | To transact such other business as may properly come before the MYnd stockholders at the MYnd special meeting or any adjournment or postponement thereof. |
Recommendation of the MYnd Board of Directors
| ● | The MYnd board of directors has determined and believes that the Merger and the issuance of shares of MYnd common stock pursuant to the Merger is in the best interests of MYnd and its stockholders and has approved such items. The MYnd board of directors recommends that MYnd stockholders vote “FOR” MYnd Stockholder Proposal No. 1 to approve the issuance of shares of MYnd common stock in the Merger. |
| ● | The MYnd board of directors has determined and believes that it is advisable to, and in the best interests of, MYnd and its stockholders to approve the Spin-Off, as described in this joint proxy statement/prospectus. The MYnd board of directors recommends that MYnd stockholders vote “FOR” MYnd Stockholder Proposal No. 2 to approve the Spin-Off, as described in this joint proxy statement/prospectus. |
| ● | The MYnd board of directors has determined and believes that the certificate of amendment to the certificate of incorporation of MYnd to change the name of MYnd to “Emmaus Life Sciences, Inc.” is advisable to, and in the best interests of, MYnd and its stockholders and has approved such name change. The MYnd board of directors recommends that MYnd stockholders vote “FOR” MYnd Stockholder Proposal No. 3 to approve the name change. |
| ● | The MYnd board of directors has determined and believes that it is advisable to, and in the best interests of, MYnd and its stockholders to approve the certificate of amendment to the certificate of incorporation of MYnd authorizing the proposed Reverse Stock Split, as described in this joint proxy statement/prospectus. The MYnd board of directors recommends that MYnd stockholders vote “FOR” MYnd Stockholder Proposal No. 4 to approve the certificate of amendment to the certificate of incorporation of MYnd authorizing the proposed Reverse Stock Split, as described in this joint proxy statement/prospectus. |
90
| ● | The MYnd board of directors has determined and believes that the compensation that will or may become payable by MYnd to its named executive officers in connection with the Merger is appropriate, and accordingly recommends that the MYnd stockholders vote “FOR” MYnd Stockholder Proposal No. 5 to approve, on a non-binding advisory vote basis, such compensation. |
| ● | The MYnd board of directors has determined and believes that adjourning the MYnd special meeting, if necessary, to solicit additional proxies if there are not sufficient votes in favor of MYnd Stockholder Proposal Nos. 1, 2, 3, 4 and 5 is advisable to, and in the best interests of, MYnd and its stockholders and has approved and adopted the proposal. The MYnd board of directors recommends that MYnd stockholders vote “FOR” MYnd Stockholder Proposal No. 6 to adjourn the MYnd special meeting, if necessary, to solicit additional proxies if there are not sufficient votes in favor of MYnd Stockholder Proposal Nos. 1, 2, 3, 4 and 5. |
Only holders of record of MYnd common stock and preferred stock at the close of business on the record date, June 7, 2019 are entitled to notice of, and to vote at, the MYnd special meeting. At the close of business on June 7, 2019, [●] shares of MYnd common stock and 1,050,000 shares of MYnd preferred stock were issued and outstanding. Each share of MYnd common stock entitles the holder thereof to one vote on each matter submitted for stockholder approval. See the section entitled “Principal Stockholders of MYnd” beginning on page 228 of this joint proxy statement/prospectus for information regarding persons known to the management of MYnd to be the beneficial owners of more than five percent of the outstanding shares of MYnd common stock.
Voting and Revocation of Proxies
The proxy accompanying this joint proxy statement/prospectus is solicited on behalf of the MYnd board of directors for use at the MYnd special meeting.
If you are a stockholder of record of MYnd as of the record date referred to above, you may vote online at the MYnd special meeting or vote by proxy using the enclosed proxy card. Whether or not you plan to access the MYnd special meeting, MYnd urges you to vote by proxy to ensure your vote is counted. You may still access the MYnd special meeting and vote online if you have already voted by proxy. As a stockholder of record, you have the right:
| ● | to vote online. Access the MYnd special meeting and vote online. |
| ● | to vote using the proxy card. Simply mark, sign and date your proxy card and return it promptly in the postage-paid envelope provided. If you return your signed proxy card to MYnd before the MYnd special meeting, MYnd will vote your shares as you direct. |
| ● | to vote on the Internet. Go to the website on the proxy card or voting instruction form to complete an electronic proxy card. You will be asked to provide the company number and control number from the enclosed proxy card. Your vote must be received by July 8, 2019, 11:59 P.M. Eastern Time to be counted. |
If your MYnd shares are held by your broker as your nominee, that is, in “street name,” the enclosed voting instruction card is sent by the institution that holds your shares. Please follow the instructions included on that proxy card regarding how to instruct your broker to vote your MYnd shares. If you do not give instructions to your broker, your broker can vote your MYnd shares with respect to “discretionary” items but not with respect to “non-discretionary” items. Discretionary items are proposals considered routine under the rules of The NASDAQ Stock Market on which your broker may vote shares held in “street name” in the absence of your voting instructions. On non-discretionary items for which you do not give your broker instructions, the MYnd shares will be treated as broker non-votes. It is anticipated that MYnd Stockholder Proposal Nos. 1, 2, 3, 4 and 5 will be non-discretionary items.
91
All properly executed proxies that are not revoked will be voted at the MYnd special meeting and at any adjournments or postponements of the MYnd special meeting in accordance with the instructions contained in the proxy. If a holder of MYnd common stock executes and returns a proxy and does not specify otherwise, the shares represented by that proxy will be voted “FOR” MYnd Stockholder Proposal No. 1 to approve the issuance of shares of MYnd common stock in the Merger; FOR” MYnd Stockholder Proposal No. 2 to approve the Spin-Off; “FOR” MYnd Stockholder Proposal No. 3 to approve the certificate of amendment to the certificate of incorporation of MYnd to change the name of “MYnd, Inc.” to “Emmaus Life Sciences, Inc.”; “FOR” MYnd Stockholder Proposal No. 4 to approve the certificate of amendment to the certificate of incorporation of MYnd authorizing the proposed Reverse Stock Split; “FOR” MYnd Stockholder Proposal No. 5 to approve, on a non-binding advisory vote basis, compensation that will or may become payable by MYnd to its named executive officers in connection with the Merger; and “FOR” MYnd Stockholder Proposal No. 6 to adjourn the MYnd special meeting, if necessary, to solicit additional proxies if there are not sufficient votes in favor of MYnd Stockholder Proposal Nos. 1, 2, 3, 4 and 5 in accordance with the recommendation of the MYnd board of directors.
MYnd stockholders of record may change their vote at any time before their proxy is voted at the MYnd special meeting in one of three ways. First, a stockholder of record of MYnd can send a written notice to the Secretary of MYnd stating that the stockholder would like to revoke its proxy. Second, a stockholder of record of MYnd can submit new proxy instructions either on a new proxy card or via the Internet or telephone. Third, a stockholder of record of MYnd can access the MYnd special meeting and vote online. Accessing the MYnd special meeting, alone, however, will not revoke a proxy. If a MYnd stockholder of record or a stockholder who owns MYnd shares in “street name” has instructed a broker to vote its shares of MYnd common stock, the stockholder must follow directions received from its broker to change those instructions.
The presence, in person or represented by proxy, at the MYnd special meeting of the holders of a majority of the shares of MYnd common stock outstanding and entitled to vote at the MYnd special meeting is necessary to constitute a quorum at the meeting. Abstentions and broker non-votes will be counted towards a quorum. Approval of MYnd Stockholder Proposal Nos. 1, 5, 6 and 7 requires the affirmative vote of the holders of a majority of the shares of MYnd common stock having voting power present in person or represented by proxy at the MYnd special meeting. Approval of MYnd Stockholder Proposal Nos. 2, 3 and 4 requires the affirmative vote of holders of a majority of the MYnd common stock having voting power outstanding on the record date for the MYnd special meeting. Each of Proposal Nos. 1, 2 and 3 is conditioned upon each other. Therefore, the Merger cannot be consummated without the approval of Proposal Nos. 1, 2 and 3.
Votes will be counted by the inspector of election appointed for the meeting, who will separately count “FOR” and “AGAINST” votes, abstentions and broker non-votes. Abstentions will be counted towards the vote total for each proposal and will have the same effect as “AGAINST” votes. Broker non-votes will have the same effect as “AGAINST” votes for MYnd Stockholder Proposal Nos. 2, 3 and 4. For MYnd Stockholder Proposal Nos. 1, 5, 6 and 7, broker non-votes will have no effect and will not be counted towards the vote total, but will be used to determine whether a quorum is present at the MYnd special meeting.
The directors and executive officers of MYnd own approximately 34% of the outstanding shares of MYnd common stock entitled to vote at the MYnd special meeting have agreed in the Voting Agreements to vote their shares in favor of the MYnd Stockholder Proposals. MYnd is not aware of any affiliate of Emmaus owning any shares of MYnd common stock entitled to vote at the MYnd special meeting.
In addition to solicitation by mail, the directors, officers, employees and agents of MYnd may solicit proxies from MYnd stockholders by personal interview, telephone, telegram or otherwise. Arrangements will also be made with brokerage firms and other custodians, nominees and fiduciaries who are record holders of MYnd common stock for the forwarding of solicitation materials to the beneficial owners of MYnd common stock. MYnd will reimburse these brokers, custodians, nominees and fiduciaries for the reasonable out-of-pocket expenses they incur in connection with the forwarding of solicitation materials. MYnd has retained Philadelphia Stock Transfer to assist it in soliciting proxies using the means referred to above. MYnd will pay the fees of Philadelphia Stock Transfer, which MYnd expects to be approximately $10,000, plus reimbursement of out-of-pocket expenses.
As of the date of this joint proxy statement/prospectus, the MYnd board of directors does not know of any business to be presented at the MYnd special meeting other than as set forth in the notice accompanying this joint proxy statement/prospectus. If any other matters should properly come before the MYnd special meeting, it is intended that the shares represented by proxies will be voted with respect to such matters in accordance with the judgment of the persons voting the proxies.
92
THE SPECIAL MEETING OF EMMAUS STOCKHOLDERS
The Emmaus special meeting will be held virtually on July 9, 2019, at 3:30 P.M., Pacific Time (unless postponed or adjourned to a later date). The Emmaus special meeting will be held solely via the Internet and can be accessed at www.virtualshareholdermeeting.com/ELS2019, where you and your proxy will be deemed present at the Emmaus special meeting and you can listen to the live proceedings, submit questions and vote online. The purposes of the Emmaus special meeting are:
| 1. | To consider a proposal to adopt and approve the Agreement and Plan of Merger and Reorganization between MYnd, Emmaus and Merger Sub, dated January 4, 2019 (as amended from time to time), a copy of which is attached as Annex A to this accompanying joint proxy statement/prospectus, which is referred to as the Merger Agreement, and the Merger; |
| 2. | To consider a proposal to adjourn the Emmaus special meeting from time to time, if necessary, to solicit additional proxies if there are not sufficient votes in favor of Emmaus Stockholder Proposal No 1; and |
| 3. | To transact such other business as may properly come before the Emmaus stockholders at the Emmaus special meeting or any adjournment or postponement thereof by or at the direction of the Emmaus board of directors. |
Recommendation of the Emmaus Board of Directors
| ● | The Emmaus board of directors has unanimously approved the Merger Agreement and determined that the Merger is advisable and in the best interests of Emmaus and its stockholders. The Emmaus board of directors unanimously recommends that Emmaus stockholders vote “FOR” Emmaus Stockholder Proposal No. 1. |
| ● | The Emmaus board of directors believes that adjourning the Emmaus special meeting, if necessary, to solicit additional proxies if there are not sufficient votes in favor of Emmaus Stockholder Proposal No. 1 is advisable and in the best interests of Emmaus and its stockholders and has approved and adopted Proposal 2. The Emmaus board of directors unanimously recommends that Emmaus stockholders vote “FOR” Emmaus Stockholder Proposal No. 2. |
Only holders of record of Emmaus common stock at the close of business on the record date, June 7, 2019 are entitled to notice of, and to vote at, the Emmaus special meeting. At the close of business on June 7, 2019, 36,051,394 shares of Emmaus common stock were issued and outstanding. Each share of Emmaus common stock entitles the holder thereof to one vote on each matter submitted for stockholder approval. See the section entitled “Principal Stockholders of Emmaus” beginning on page [●] of this joint proxy statement/prospectus for information regarding the ownership of Emmaus common stock by Emmaus directors and executive officers and persons known to the management of Emmaus to be the beneficial owners of more than five percent of Emmaus common stock.
Voting and Revocation of Proxies
The proxy accompanying this joint proxy statement/prospectus is solicited on behalf of the Emmaus board of directors for use at the Emmaus special meeting.
If you are a stockholder of record of Emmaus as of the record date referred to above, you may vote online at the Emmaus special meeting or vote by proxy using the enclosed proxy card. Whether or not you plan to access the Emmaus special meeting, Emmaus urges you to submit a proxy card to ensure your shares are represented at the Emmaus special meeting. You may still access the Emmaus special meeting and vote online if you have already submitted a proxy card. As a stockholder of record, you have the right:
| ● | to vote online at the Emmaus special meeting. Access the Emmaus special meeting and vote online. |
| ● | to vote using the proxy card. Simply mark, sign and date your proxy card and return it promptly in the postage-paid envelope provided or by facsimile as instructed on the proxy card. If you return your signed proxy card to Emmaus before the Emmaus special meeting, Emmaus will vote your shares as you direct. |
| ● | to vote on the Internet. Go to the website on the proxy card to complete an electronic proxy card. You will be asked to provide the company number and control number from the enclosed proxy card. Your vote must be received by July 8, 2019 11:59 P.M. Eastern Time to be counted. |
93
All properly executed proxies that are not revoked will be voted at the Emmaus special meeting and at any adjournments or postponements of the Emmaus special meeting in accordance with the instructions contained in the proxy. If a holder of Emmaus common stock executes and returns a proxy and does not specify otherwise, the shares represented by that proxy will be voted and “FOR” Emmaus Stockholder Proposal No. 1 and “FOR” Emmaus Stockholder Proposal No. 2 in accordance with the recommendation of the Emmaus board of directors.
Emmaus stockholders of record may change their vote at any time before their proxy is voted at the Emmaus special meeting in one of three ways. First, a stockholder can send a written notice to the Secretary of Emmaus stating that the stockholder would like to revoke its proxy. Second, a stockholder can submit new proxy instructions via the Internet of by submitting a later dated proxy card. Third, a stockholder of Emmaus can access the Emmaus special meeting and vote online. Accessing the Emmaus special meeting, alone, however, will not revoke a proxy.
The presence, in person or represented by proxy, at the Emmaus special meeting of the holders of a majority of the shares of Emmaus common stock outstanding and entitled to vote at the Emmaus special meeting is necessary to constitute a quorum at the meeting. Abstentions will be counted towards a quorum. Approval of Emmaus Stockholder Proposal No. 1 requires the affirmative vote of the holders of a majority of the shares of Emmaus common stock outstanding as of the record date for the Emmaus special meeting. Approval of Emmaus Stockholder Proposal No. 2 requires the affirmative vote of holders of a majority of the shares of Emmaus common stock voted on such Proposal, whether or not a quorum is present.
Votes will be counted by the inspector of election appointed for the meeting, who will separately count “FOR” and “AGAINST” votes and abstentions. Abstentions will be counted towards the vote total for Proposal No. 1 and will have the same effect as “AGAINST” votes. Abstentions will not be counted and will have no effect on the voting on Proposal No. 2.
The directors and executive officers of Emmaus who own beneficially approximately 30% of the outstanding shares of Emmaus common stock entitled to vote at the Emmaus special meeting have agreed in the Voting Agreements to vote their shares in favor of the Emmaus Stockholder Proposals.
In addition to solicitation by mail, the directors, officers, employees and agents of Emmaus may solicit proxies from Emmaus stockholders by personal meetings, telephone or otherwise.
As of the date of this joint proxy statement/prospectus, the Emmaus board of directors does not know of any business to be presented at the Emmaus special meeting other than as set forth in the notice accompanying this joint proxy statement/prospectus. If any other matters should properly come before the Emmaus special meeting, it is intended that the shares represented by proxies will be voted with respect to such matters in accordance with the judgment of the persons voting the proxies.
94
This section and the section entitled “The Merger Agreement” beginning on page 121 of this joint proxy statement/prospectus describe the material aspects of the Merger, including the Merger Agreement. While MYnd and Emmaus believe that this description covers the material terms of the Merger and the Merger Agreement, it may not contain all of the information that is important to you. You should read carefully this entire joint proxy statement/prospectus for a more complete understanding of the Merger and the Merger Agreement, including the Merger Agreement itself, which is attached as Annex A to this joint proxy statement/prospectus, and the other documents to which you are referred herein. See the section entitled “Where You Can Find More Information” beginning on page 232 of this joint proxy statement/prospectus.
The terms of the Merger Agreement between MYnd and Emmaus and the contractual arrangements related to the Spin-Off, are the result of extensive arm’s-length negotiations among the management teams and representatives of MYnd and Emmaus, , under the guidance of each company’s board of directors, and involving outside advisors retained by each of the companies, including A.G.P./Alliance Global Partners, or A.G.P., as financial advisor to Emmaus, among others.
The following is a summary of the background of the process, the negotiations, the Merger, the Spin-Off, and related transactions, including the circumstances surrounding MYnd’s decision to review strategic alternatives available to it.
As a result of the 2011 merger described under the heading “Emmaus Business—Corporate Information” on page 174 of this joint proxy statement/prospectus, Emmaus became subject to the SEC’s periodic reporting requirements, proxy rules, selected Sarbanes Oxley Act requirements and other SEC rules and regulations, as well as the associated costs of being an SEC reporting company, but without the benefits of having an established trading market for Emmaus common stock. Since then, management and the board of directors of Emmaus have periodically reviewed and assessed alternatives for creating an established trading market for Emmaus common stock, primarily for the purpose of affording Emmaus’ longtime stockholders and other equity holders’ liquidity in their investment in Emmaus. Management and the Emmaus board also considered other benefits of being a listed company, including increased access to capital at valuations that are typically are more favorable than those available to an unlisted company. A liquid market for Emmaus shares also would benefit future investors in the company, and would allow Emmaus to use its stock as a currency to make potential acquisitions of other companies or technologies and enhance Emmaus’ ability to attract and retain qualified employees and directors through the grant of stock options and other equity-based compensation to afford them an incentive to help increase stockholder value and to remain with Emmaus until their stock options or other awards have vested and become exercisable.
On two occasions, most recently beginning in late 2013 and continuing into early 2015, Emmaus undertook to engage prospective underwriters and prepared and filed on a confidential basis with the SEC registration statements relating to a proposed initial public stock offering, or IPO, which is the traditional means of becoming a listed company. In each case, the proposed IPO was abandoned, and the registration statement withdrawn after the exchange of comment letters with the SEC, because the management and board of directors of Emmaus concluded that the anticipated pricing of Emmaus common stock and other proposed terms of the IPOs were not in the best interests of Emmaus and its stockholders.
From time-to-time, Emmaus’ management also discussed with various registered broker-dealers their interest in sponsoring the quotation of Emmaus common stock on an automated quotation system such as the OTC Capital Markets under Rule 15c2-11 of the Securities Exchange Act of 1934, as amended, or the Exchange Act. Most recently, in December 2017, a Florida-based registered broker-dealer filed on Emmaus’ behalf with the Financial Industry Regulatory Authority, or FINRA, an application under Rule 15c2-11 to make quotations for Emmaus common stock available on the OTCQX, one of the tiers of the OTC Capital Markets Group, as a preliminary step to gaining an eventual NASDAQ listing. By early 2018, however, the estimated fair value of Emmaus had increased substantially, and management reassessed the broker-dealer’s efforts on Emmaus’ behalf. After the exchange of several comment letters with FINRA, therefore, the FINRA application process was abandoned.
95
Management and the board of directors of Emmaus also considered a possible reverse-merger transaction, which is a commonly used alternative to a traditional IPO for the purpose of becoming a stock-exchange listed company. In a typical reverse merger, a private, closely-held company merges with a subsidiary of a stock-exchange listed, or public, “shell” company in exchange for the issuance to the private company’s stockholders of shares of stock of the public company constituting majority control of the outstanding public company shares immediately following the merger. The transaction is referred to as a “reverse” merger, because the private company’s stockholders acquire control of the public company and the private company is considered the acquirer in the transaction for financial accounting purposes and stock-exchange listing standards.
In early 2016, management of Generex Biotechnology Corporation, or Generex, approached Emmaus regarding the possibility of doing business with Emmaus by combining the companies’ resources. At the time, quotations for Generex shares were available on the OTC Pink market tier of the OTC Markets Group. Although no discussions between the companies materialized, the companies agreed to stay in touch with each other.
In December 2016, Generex again contacted management of Emmaus and the companies undertook intensive discussions regarding a possible transaction.
As reported by Emmaus at the time, on January 16, 2017, Emmaus entered into a letter of intent, or LOI, with Generex regarding a possible transaction in anticipation of possible FDA approval of Emmaus’ L-glutamine oral powder for the treatment of SCD later in the year. The LOI contemplated among other things, that Generex would acquire a majority equity interest in Emmaus in exchange for $10 million in cash and $225 million in shares of Generex common stock valued at $3.80 per share, subject to increase in the event of a material increase in the fair value of Generex common stock, and that Generex common stock would be listed on NASDAQ in connection with the transaction.
The LOI was subject to certain conditions, including the satisfactory results of the parties’ due diligence negotiation of a definitive purchase agreement. Generex subsequently failed to accomplish certain requirements of the LOI and the parties were unable to resolve key financial accounting issues posed by the transaction, and on May 16, 2017, Emmaus terminated the LOI as reported by Emmaus.
At about the same time, Emmaus contacted Party A, a NASDAQ-listed company identified by Emmaus as a possible reverse merger candidate. Senior management of Emmaus subsequently participated in a conference call meeting of the board of directors of Party A to explore the possible transaction. After further discussions, on or about May 4, 2018 Emmaus provided a verbal proposal to Party A regarding the principal terms of a transaction. On May 18, 2018 Party A, rejected Emmaus’ proposal based upon the relative valuations of the two companies proposed by Emmaus, and the parties discontinued their discussions.
Also in May 2018, representatives of Emmaus held a conference telephone call with representatives of Party B, a NASDAQ-listed company introduced to Emmaus by A.G.P., to discuss a potential reverse merger transaction, and on May 15, 2018 the companies entered into a confidentiality agreement to advance the discussions. On May 30, 2018, Emmaus provided Party B with an initial merger proposal, which was rejected. Emmaus followed up with a more detailed proposal on June 1, 2018. On June 5, 2018, Party B rejected Emmaus’ proposal based upon the companies’ relative valuations proposed by Emmaus and other considerations, and the merger talks ended.
On May 20, 2018, A.G.P. introduced Emmaus to Party C, an Israel-based NASDAQ- listed company. The parties subsequently exchanged information and granted each other access to their respective virtual data rooms pursuant to a mutual confidentiality agreement dated May 24, 2018.
Between May 29, 2018 and June 5, 2018, the parties discussed the terms of a possible reverse merger transaction, including the dollar amount of contingent value rights, or CVRs, which would be payable to Party C’s stockholders in certain milestone events. On June 6, 2018, Emmaus furnished to Party C a proposed letter of intent and worksheet regarding the proposed CVRs.
On June 25, 2018, Party C informed Emmaus that it was pursuing an alternative transaction and discontinuing the discussions with Emmaus.
On July 27, 2018, A.G.P. introduced representatives of Emmaus to Dr. Robin Smith, Chairman of the MYnd board of directors. Representatives of Emmaus subsequently met with Dr. Smith on August 13, 2018 at Emmaus’ New York City office to learn more about MYnd and Emmaus, including Emmaus’ lead product, Endari™. The parties also discussed Party C, another NASDAQ-listed company, that was interested in a possible reverse merger transaction.
96
Prior to discussions with Emmaus, representatives of MYnd considered possible transactions with two other privately held companies. These discussions remained at a preliminary level and did not lead to the entry into material discussions or the entry into any material due diligence investigations.
On September 14, 2018, representatives of Emmaus met with Party D in New York City to discuss the possibility of a reverse merger transaction and other matters. Emmaus, however, subsequently determined not to pursue further discussions based upon its preliminary due diligence regarding pending litigation involving Party D and related parties.
On September 14, 2018, Dr. Niihara and other Emmaus representatives met in person with Dr. Smith in New York City. At the meeting, the parties discussed generally possible ways to collaborate with each other, as well as the opportunity for a transaction with the reverse merger candidate previously identified by the parties. The parties did not discuss a possible transaction between Emmaus and MYnd.
In September 2018, a prominent investment banking firm arranged for Emmaus’ senior management to participate in meetings with a number of important health care investors to gauge their interest in a possible future Emmaus IPO. While management and the board of directors of Emmaus generally were pleased with the indications of interest among the investors, the Emmaus board of directors concluded, in consultation with management and A.G.P., that a possible IPO would be untimely due to market conditions and not in the best interests of Emmaus and its stockholders.
In late September or early October 2018, A.G.P. and Emmaus explored the possibility of a reverse merger transaction with MYnd, and Emmaus undertook to discuss internally the possible terms of such a transaction and representatives from MYnd, Emmaus and A.G.P. engaged in a number of preliminary discussions regarding a possible transaction between MYnd and Emmaus that would enable Emmaus to file an initial listing application with NASDAQ without a traditional capital raising transaction and simultaneously provide MYnd stockholders with a chance to own a portion of Emmaus and retain ownership of one or both of MYnd’s core businesses.
During September and October 2018, MYnd and Emmaus were granted access to each of the other party’s data room and the parties began to undertake a due diligence review of the other party. During this time, discussions relating to a potential merger transaction continued. Mark Diamond, the Vice President of Commercialization of Emmaus, and Yutaka Niihara, M.D., M.P.H., the Chairman and Chief Executive Officer of Emmaus, along with several representatives from A.G.P. and Dr. Robin Smith, Chairman of the Board of MYnd participated in a number of discussions with respect to the terms of a potential transaction.
On October 18, 2018, Emmaus transmitted to Dr. Smith a non-binding letter of intent describing a proposed merger transaction which reflected, among other things, ownership by Emmaus stockholders of 95.3% of surviving company on a fully diluted basis.
On October 22, 2018, A.G.P. transmitted to Emmaus a revised draft letter of intent reflecting MYnd’s comments and suggested changes, including a proposal to reduce Emmaus’ ownership to 92.5% of the combined company on a fully diluted basis, the proposed spinoff of MYnd assets and liabilities and certain pre-merger capital raising activities, the allocation of proceeds from the possible exercise of MYnd stock options and warrants after closing and MYnd’s representation on the board of directors of the combined company following the merger.
On October 23, 2018 Emmaus transmitted to A.G.P. a further revised letter of intent which reflected Emmaus’ proposed ownership of 94.1% of the surviving company on a fully diluted basis. MYnd and Emmaus engaged in several conversations to clarify certain terms and conditions in MYnd’s proposed revisions to the letter of intent.
On October 25, 2018, during a meeting of the MYnd board of directors, the members of the MYnd board of directors discussed and approved entry into the non-binding letter of intent, and authorized Dr. Smith, the Chairman of MYnd, to execute the non-binding letter of intent. The MYnd board of directors discussed a few proposed changes to the letter of intent and directed Dr. Smith to attempt to negotiate certain changes prior to execution of the letter of intent. Between October 25, 2018 and October 30, 2018, MYnd and Emmaus traded additional drafts of the letter of intent and discussed and agreed upon open issues.
On October 30, 2018, Dr. Niihara transmitted to George C. Carpenter IV, MYnd’s President, the signed revised letter of intent and on November 1, 2018, the CEO of MYnd countersigned and returned to Emmaus the letter of intent.
97
On November 2, 2018, Emmaus and MYnd entered into an exclusivity agreement as contemplated by the letter of intent. The parties agreed in the exclusivity agreement, among other things, not to make any offer or proposal to sell any securities, transfer assets or effect a merger or other business combination from the date of the exclusivity agreement until January 31, 2019, unless the exclusivity agreement was sooner terminated. The parties also agreed in the exclusivity agreement to grant each other and their respective representatives and advisors reasonable access to each other’s properties, facilities, records and personnel during normal business hours to facilitate their evaluation of the proposed transaction. The exclusivity agreement also provided for a payment of a $1 million termination fee and reimbursement of reasonable out-of-pocket costs and expenses in the event that either party breached the exclusivity agreement.
On November 6, 2018, the parties and their respective representatives and advisors held a conference call meeting to kick off the proposed transaction. Between November 7, 2018 and through December, MYnd and Emmaus finalized their mutual due diligence.
On November 13, 2018, MYnd’s legal counsel, Dentons US LLP, circulated to the working group a preliminary timeline for the proposed transactions. By letter dated November 15, 2018, MYnd engaged Donohoe Advisory Associates LLC, or Donohoe, to advise and assist MYnd in connection with maintaining NASDAQ listing of MYnd common stock in connection with the proposed change of control transaction. Emmaus subsequently orally agreed with MYnd that it would share equally the compensation payable to Donohoe.
On November 20, 2018, representatives of MYnd and Emmaus held a conference telephone call to discuss the status of the preparation of the preliminary draft merger agreement and related matters. On November 21, 2018, Dentons circulated to the working group a preliminary draft merger agreement. On November 27, 2018, Emmaus engaged PricewaterhouseCoopers LLP, or PwC, to perform tax due diligence relating to the proposed transactions, and PwC furnished MYnd a preliminary tax due diligence request. On November 29, 2018, Emmaus circulated to the working group a revised preliminary draft merger agreement reflecting Emmaus’ collective comments and suggested changes.
On December 4, 2018, PwC and representatives of MYnd and Emmaus held a conference telephone call to discuss tax due diligence matters. On December 4, 2018, Dentons circulated to the working group the preliminary draft forms of Emmaus voting and lockup agreements and MYnd voting and lockup agreements. Later that day, Emmaus transmitted to Dentons revised versions of the agreements reflecting Emmaus’ comments and suggested changes.
On December 5, 2018, Emmaus transmitted to Dentons and A.G.P. the revised draft merger agreement to reflect comments and suggested changes of Bowen Tax Law PC, Emmaus’ special tax and employee benefits counsel.
From December 12, 2018 through the date of execution of the Agreement, the parties and their respective representatives and advisors held regular weekly update conference telephone calls to discuss, among other things, open issues in the draft merger agreement.
On December 16, 2018, Dentons circulated to the working group the revised draft merger agreement.
On December 18, 2018, PwC and representatives of MYnd and Emmaus held a conference telephone call to discuss follow-up tax due diligence matters.
On December 18, 2018, Dr. Smith transmitted to the working group a list of open issues Later that day, Emmaus responded to Dr. Smith’s proposals.
At the December 19, 2018 special meeting, the Emmaus board also considered the terms and provisions of the proposed transactions as set forth in the revised draft merger agreement included in the meeting materials circulated to the board prior to the meeting.
On December 21, 2018, Emmaus circulated to the working group the revised draft merger agreement reflecting Emmaus’ comments and suggested changes, preliminary draft disclosure schedules, and Dentons circulated to the working group the draft separation and distribution agreement, or separation agreement, relating to the proposed spinoff. On December 28, 2018, Emmaus circulated to the working group the revised draft separation agreement reflecting Emmaus’ comments and suggested changes. On December 31, 2018, Dentons circulated to the working group the revised draft merger agreement.
On January 1, 2019, Dentons circulated to the working group the preliminary draft MYnd disclosure schedule and preliminary draft schedules to the merger agreement and Emmaus circulated to the working group the revised draft MYnd disclosure schedules, and Emmaus circulated to the working group the revised draft merger agreement reflecting Emmaus’ comments and suggested changes.
98
On January 2, 2019, Mr. Short furnished to the Emmaus directors via email copies of the proposed final merger agreement, forms of Emmaus voting agreement and lockup agreement and a balance sheet of Emmaus as of September 30, 2018 illustrating the pro forma effect of the conversion into Emmaus common stock of all or substantially all of the outstanding Emmaus convertible promissory notes as contemplated by the merger agreement.
Also, on January 2, 2019, Dentons circulated to the working group the revised draft forms of Emmaus voting and lockup agreements and MYnd voting and lockup agreements, and PwC provided Emmaus with its preliminary tax due diligence report.
On January 3, 2019, Emmaus management circulated to the Emmaus directors notice of a special board meeting to be held at 5:00 P.M., Pacific time, on January 4, 2019 to consider approval of the proposed final merger agreement and related matters. Management also furnished to the directors meeting materials, including the proposed final merger agreement.
On January 3, 2019, MYnd circulated to the working group for their consideration alternative drafts of separate press releases of MYnd and Emmaus and of a draft joint press released relating to the signing of the merger agreement.
The special meeting of the MYnd board of directors was held via conference call on January 4, 2019, to consider the approval of the execution version of the merger agreement and adoption of the related proposed board resolutions. The agenda at the meeting provided for the consideration of approval of the proposed final Merger Agreement, dated as of January 4, 2019, the proposed Separation Agreement dated as of January 4, 2019, and the related voting and lock-up agreements, in each case in the form included in the meeting materials furnished to the directors prior to the meeting. At this meeting, representatives of Dentons US, LLP discussed the MYnd board of directors’ fiduciary duties applicable to the approval of the Merger Agreement and the related transactions and reviewed the Merger Agreement, the Separation Agreement and the voting and lock-up agreements. Representatives of ThinkEquity then reviewed its financial analyses of the fairness of the Exchange Ratio. Following discussion with the directors, ThinkEquity then rendered to the MYnd board of directors its oral opinion, which confirmed its written opinion dated January 3, 2019, that, as of such date and based upon and subject to the assumptions made and limitations upon the review undertaken by ThinkEquity in preparing its opinion, the Exchange Ratio pursuant to the terms of the Merger Agreement was fair, from a financial point of view, to MYnd.
On January 4, 2019, Emmaus management circulated to the Emmaus directors notice rescheduling the special board meeting scheduled that afternoon to 5:00 P.M., Pacific time, the next day, January 5, 2019.
On January 5, 2019, MYnd management circulated to the MYnd board of directors notice of a special board meeting to be held on January 6, 2019 to consider approval of the proposed final merger agreement and related agreements and matters. Management also furnished to the directors meeting materials, including the proposed final merger agreement.
On January 5, 2019, Mr. Short transmitted to the Emmaus directors a revised version of the proposed final merger agreement and a spreadsheet regarding the possible issuance of shares of MYnd common stock prior to the closing of the proposed merger as permitted by the proposed final merger agreement.
The special meeting of the Emmaus board of directors was held via conference telephone call at 5:00 P.M., Pacific time, on January 5, 2019, to consider the approval of the execution version of the merger agreement and adoption of the related proposed board resolutions. The sole agenda at the meeting was the consideration of approval of the proposed final merger agreement, dated as of January 4, 2019, in the form included in the meeting materials furnished to the directors prior to the meeting.
After discussion, the directors of Emmaus unanimously adopted and approved the Merger Agreement.
On January 6, 2019, MYnd and Emmaus exchanged the signed Merger Agreement, and on January 7, 2019, they issued a joint press release announcing the execution of the Merger Agreement.
On March 27, 2019, MYnd, MYnd Analytics, Inc., a California corporation and Telemynd entered into the Amended Separation Agreement. As a result of the execution of the Amended Separation Agreement: (i) all references to MYnd Analytics, Inc., a California corporation were replaced with references to Telemynd, (ii) Telemynd will be entitled to receive shares of Emmaus after closing if the exchange ratio applicable to any Emmaus Warrants, Emmaus Convertible Notes or Emmaus Debentures is reduced during the six (6) month period after the closing of the Merger for any reason, and (v) it was clarified that the MYnd board of directors retains flexibility to determine the distribution ratio to be used in the Spin-Off.
99
On May 10, 2019, the parties executed amendment no. 1 to the Merger Agreement. By executing amendment no. 1, MYnd, Emmaus and Merger Sub agreed that: (i) the definition “Parent California Subsidiary” should be amended to refer to Telemynd, Inc., the newly formed wholly-owned corporation, (ii) MYnd would not adopt a new equity incentive plan at closing, which had been contemplated previously and determined to be unnecessary at this time, (iii) MYnd would be entitled to receive credit in its Net Liabilities calculation for certain agreed upon prepaid costs, (iv) Telemynd would be entitled to receive shares of MYnd after closing if the exchange ratio applicable to any Emmaus Warrants, Emmaus Convertible Notes or Emmaus Debentures is modified in a manner which causes additional shares of Emmaus to be issued upon exercise, conversation or exchange, during the six (6) month period after the closing of the Merger for any reason, and (v) the outside termination date was extended from May 31, 2019 to July 31, 2019.
In evaluating the Merger Agreement and the transactions contemplated thereby and recommending that MYnd’s stockholders vote in favor of the transactions contemplated by the Merger Agreement, MYnd’s board of directors, in consultation with MYnd’s senior management, outside legal counsel and financial advisor, considered numerous positive factors relating to the Merger Agreement, the Merger and the other transactions contemplated thereby including the following material factors:
| ● | the Spin-Off is expected to allow Telemynd to retain 100% of MYnd’s current business, assets and liabilities; |
| ● | the other strategic alternatives available to MYnd, such as continuing to operate as an independent company and pursuing its strategic plan and the possibility of growing its business through acquisitions and internal growth, that Emmaus’ board of directors believed was less attractive than Emmaus’ proposal to MYnd’s stockholders under the circumstances; |
| ● | the agreement of Emmaus to retain up to $250,000 of MYnd’s liabilities; |
| ● | the MYnd board of directors believes, based in part on the judgment, advice and analysis of MYnd management with respect to the potential strategic, financial and operational benefits of the Merger (which judgment, advice and analysis was informed in part on the business, technical, financial, accounting and legal due diligence investigation performed with respect to Emmaus), that: |
| o | the combined company will be a commercial-stage biopharmaceutical company engaged in the discovery, development, marketing and sale of innovative treatments and therapies, including those in the rare and orphan disease categories; |
| o | the combined company will be led by experienced senior management from Emmaus and a board of directors of six members designated by Emmaus and one member designated by MYnd; |
| o | Emmaus has delivered voting agreements from certain of its stockholders, holding approximately 30% of Emmaus’ issued and outstanding capital stock, in which each such individual or entity has agreed to vote in favor of the Merger Agreement and the Merger; and |
| o | the combined company’s ability to continue its listing on The NASDAQ Capital Market. |
| ● | the MYnd board of directors also reviewed with the management of MYnd the current plans of Emmaus for developing its product candidates to confirm the likelihood that the combined company would possess sufficient financial resources to allow the management team to focus initially on the continued development of its product candidates. |
| ● | the MYnd board of directors considered the opportunity as a result of the Merger for MYnd stockholders to participate in the potential value that may result from development of the Emmaus product candidate portfolio and the potential increase in value of the combined company following the Merger. |
| ● | the MYnd board of directors concluded that the merger would provide the existing MYnd stockholders with a significant opportunity to participate in the potential increase in value of the combined company following the Merger. |
100
| ● | the MYnd board of directors considered the analyses of ThinkEquity, and its opinion to the MYnd board of directors as to the fairness, from a financial point of view and as of the date of such opinion, to MYnd of the Exchange Ratio and the Spin-Off, as more fully described below under the caption “The Merger—Opinion of ThinkEquity as MYnd’s Financial Advisor.” |
| ● | the MYnd board of directors also reviewed various factors impacting the financial condition, results of operations and prospects for MYnd, including: |
| o | the strategic alternatives of MYnd to the Merger; and |
| o | the risks associated with MYnd’s inability to maintain its listing on The NASDAQ Capital Market without completing the Merger. |
The MYnd board of directors also reviewed the terms and conditions of the proposed Merger Agreement and associated transactions, as well as the safeguards and protective provisions included therein intended to mitigate risks, including:
| ● | the fact that immediately following the consummation of the Merger Emmaus securityholders will own 94.1% of the fully-diluted capital stock of MYnd, with MYnd securityholders whose shares of MYnd stock will remain outstanding after the merger, holding 5.9% of the fully-diluted capital stock of MYnd; |
| ● | the limited number and nature of the conditions to the Emmaus obligation to consummate the merger, and the limited risk of non-satisfaction of such conditions as well as the likelihood that the merger will be consummated on a timely basis; |
| ● | the respective rights of, and limitations on, MYnd and Emmaus under the Merger Agreement to consider certain unsolicited acquisition proposals under certain circumstances should MYnd or Emmaus receive a superior proposal; |
| ● | the reasonableness of the potential termination fee payable by MYnd under certain circumstances of $750,000 or the reasonableness of the potential termination fee payable by Emmaus under certain circumstances of $750,000 or $1,600,000; |
| ● | the Voting Agreements, pursuant to which certain stockholders of Emmaus agreed to vote all of their shares of Emmaus capital stock in favor of adoption of the Merger Agreement; and |
| ● | the belief that the terms of the Merger Agreement, including the parties’ representations, warranties and covenants, and the conditions to their respective obligations, are reasonable under the circumstances. |
In the course of its deliberations, the MYnd board of directors also considered a variety of risks and other countervailing factors related to entering into the merger, including:
| ● | the $750,000 termination fee that may be payable to Emmaus upon the occurrence of certain events, and the potential effect of such termination fee or reimbursement of transaction expenses in deterring other potential acquirers from proposing an alternative transaction that may be more advantageous to MYnd stockholders; |
| ● | the substantial expenses to be incurred in connection with the Merger; |
| ● | the possible volatility, at least in the short term, of the trading price of the MYnd common stock resulting from the Merger announcement; |
| ● | the risk that the Merger might not be consummated in a timely manner or at all and the potential adverse effect of the public announcement of the Merger or on the delay or failure to complete the Merger on the reputation of MYnd; |
| ● | the risk to MYnd’s business, operations and financial results in the event that the Merger is not consummated; |
| ● | the strategic direction of the continuing entity following the completion of the Merger, which will be determined by a board of directors, a majority of which will initially designated entirely by Emmaus; |
| ● | the fact that the merger would give rise to substantial limitations on the utilization of MYnd’s NOLs; and |
| ● | various other risks associated with the combined company and the merger, including those described in the section entitled “Risk Factors” beginning on page 21 of this joint proxy statement/prospectus. |
101
The foregoing information and factors considered by the MYnd board of directors are not intended to be exhaustive but are believed to include all of the material factors considered by the MYnd board of directors. In view of the wide variety of factors considered in connection with its evaluation of the merger and the complexity of these matters, the MYnd board of directors did not find it useful to attempt, and did not attempt, to quantify, rank or otherwise assign relative weights to these factors. In considering the factors described above, individual members of the MYnd board of directors may have given different weight to different factors. The MYnd board of directors conducted an overall analysis of the factors described above, including thorough discussions with, and questioning of, the MYnd management team and the legal and financial advisors of MYnd, and considered the factors overall to be favorable to, and to support, its determination.
In evaluating the Merger Agreement and the transactions contemplated thereby and recommending that Emmaus’ stockholders vote to approve the Merger Agreement, Emmaus’ board of directors, in consultation with Emmaus’ senior management, including its General Counsel, and financial advisor, considered many factors, including the following material positive factors:
| ● | the Exchange Ratio, which will result in Emmaus securityholders owning 94.1% of the fully-diluted capital stock, and MYnd securityholders retaining 5.9% of the fully-diluted capital stock, respectively, of the combined company, which Exchange Ratio compares favorably to the exchange ratios proposed in the other reverse merger transactions considered by Emmaus as described above; |
| ● | the IPO alternative for becoming a listed company, which Emmaus’ board of directors believe would involve greater dilution and transaction costs than the Merger and be less beneficial to Emmaus and its stockholders in the current market environment and other circumstances; |
| ● | that MYnd’s legacy business, assets, liabilities and officers and employees will be separated from the combined company in the Spin-Off, except for limited retained liabilities; |
| ● | that the combined company will continue to carry on intact Emmaus’ existing business and operations, including expanding the commercialization of Endari™, led by Emmaus’ senior management under the supervision of Emmaus’ incumbent board of directors; |
| ● | the results of Emmaus’ due diligence regarding MYnd’s liabilities and other obligations and the potential for unknown liabilities of the combined company to arise following the Merger; |
| ● | the prospects of the combined company to obtain NASDAQ listing approval in connection with the Merger; |
| ● | the strategic opportunity afforded by the Merger to restructure the Emmaus Convertible Notes and other indebtedness; |
| ● | the limited impact on Emmaus’ business and operations, including its supplier and other business relationships, if the Merger is not completed; and |
| ● | that the completion of the Merger is likely to facilitate future capital raising by the combined company. |
| ● | The Emmaus board of directors also considered the terms and conditions of the Merger Agreement and related matters, including: |
| ● | the nature of the conditions to MYnd’s obligation to complete the Merger, and the likelihood that the Merger will be completed on a timely basis; |
| ● | the respective rights of, and limitations on, Emmaus and MYnd under the Merger Agreement to consider unsolicited acquisition proposals under certain circumstances should Emmaus or MYnd receive a proposal deemed superior to the Merger; |
| ● | the reasonableness of the potential termination fee payable by Emmaus under certain circumstances of $750,000 or $1,600,000 and the amount of the potential termination fee payable by MYnd under certain circumstances of $750,000 as a percentage of the potential market value of the combined company; |
102
| ● | the fact that MYnd will have the right to designate one member to serve on the board of directors of the combined company following the Merger; |
| ● | the MYnd Support Agreements, pursuant to which certain stockholders of MYnd agreed to vote their shares of MYnd capital stock in favor of adoption of the Merger Agreement and the transactions contemplated thereby; |
| ● | the terms of the Merger Agreement, including the parties’ respective representations, warranties and affirmative and negative covenants, which the Emmaus board of directors consider to be customary and reasonable under the circumstances; |
| ● | that the Merger Agreement reflects MYnd’s and Emmaus’ intentions that the Merger qualify as tax-deferred reorganization for U.S. federal income tax purposes; |
| ● | the terms of the Separation Agreement, including the requirement that Telemynd bear and indemnity the combined company against any tax liabilities that may be triggered by the Spin-Off; and |
| ● | that Emmaus will not be obliged to pay significant fees to its financial adviser unless the Merger be completed. |
In the course of its deliberations, Emmaus’ board of directors also considered other risks associated with the Merger, including those described in the section entitled “Risk Factors – Risks Relating to the Merger” in this joint proxy statement/prospectus and other countervailing factors, including the following:
| ● | that MYnd’s obligations to complete the Merger is conditioned upon, among other things, Emmaus having on hand cash and working capital sufficient to operate its business for at least 12 months following the Merger and that at least 90% of the Emmaus Convertible Notes be converted in connection with the Merger; |
| ● | the possible volatility of the trading price of the MYnd common stock resulting from the Merger announcement, MYnd’s sales of its common stock prior to the Merger as permitted in the Merger Agreement and the possible adverse effect on Emmaus’ ability to raise capital prior to the Merger at attractive prices; |
| ● | that Emmaus stockholders will be entitled to appraisal rights under Delaware law in connection with the Merger; |
| ● | the conditions to the parties’ respective obligations to complete the merger, including that MYnd shall have determined in good faith that the Spin-Off will not trigger any material tax liability, and the risks that the Merger might not be consummated, and the potential adverse effect on the confidence of Emmaus stockholders and creditors in the leadership of Emmaus’ management and board of directors; |
| ● | the $1,600,000 termination fee that may be payable by Emmaus under certain circumstances if the NASDAQ Approval Condition is not satisfied by the “outside date” of July 31, 2019; and |
| ● | the substantial expenses to be incurred by Emmaus in connection with the Merger, including its obligation to bear up to $500,000 of MYnd’s transaction costs and the fee payable to A.G.P., Emmaus’ financial adviser, if the Merger is completed. |
The Emmaus board of directors considered all of the factors described above in consultation with, and on the advice of, Emmaus management and General Counsel and Emmaus’ financial advisor, and believe the factors support its determination to approve the Merger Agreement. The foregoing factors and information considered by the Emmaus board of directors are not intended to be exhaustive but are believed to include all material factors considered by them. In view of the number of factors considered in connection with its evaluation of the Merger and the Spin-Off and other transactions contemplated by the Merger Agreement, the Emmaus board of directors did not find it practical, and did not attempt, to quantify, rank or otherwise assign relative weights to these factors. In considering the factors described above, individual Emmaus directors may have given different weights to different factors.
A.G.P. served as financial advisor to Emmaus in connection with the Merger. For its services, Emmaus has agreed to pay A.G.P. a $1 million fee upon the completion of the Merger and to issue A.G.P. a five-year warrant to purchase up to 75,000 shares of common stock of the combined company, subject to reduction if necessary to satisfy FINRA requirements, at an exercise price equal to 125% of the price of the combined company common stock implicit in the Merger. Emmaus also will reimburse A.G.P. from time to time for certain legal fees and other expenses incurred by it in connection with its engagement.
103
Opinion of ThinkEquity, as MYnd’s Financial Advisor
Introduction
On November 29, 2018, MYnd retained ThinkEquity as its financial advisor in connection with the Merger and the other transactions contemplated by the Merger Agreement, which are, collectively, referred to as the “Transaction” throughout this section. In connection with this engagement, MYnd requested that ThinkEquity evaluate the fairness, from a financial point of view, to MYnd stockholders of the Exchange Ratio proposed to be paid by MYnd pursuant to the terms of the Merger Agreement. On January 3, 2019, ThinkEquity rendered to the MYnd board of directors its written opinion that, as of such date and based upon and subject to the assumptions made and limitations upon the review undertaken by ThinkEquity in preparing its opinion, the Exchange Ratio to be paid by MYnd pursuant to the terms of the Merger Agreement was fair, from a financial point of view, to MYnd’s stockholders. In providing its opinion, ThinkEquity noted that (i) the Exchange Ratio is intended to result in Emmaus equity holders (including holders of Emmaus common stock, options, warrants and convertible promissory notes) owning 94.1% of the combined company’s equity, on a fully diluted basis, and MYnd equity holders (including holders of MYnd common stock, preferred stock, options and warrants) owning 5.9% of the combined company’s equity, on a fully diluted basis and (ii) MYnd may, in connection with the Merger, complete the Spin-Off.
The full text of the ThinkEquity written opinion, dated January 3, 2019, which describes the assumptions made and limitations upon the review undertaken by ThinkEquity in preparing its opinion, is attached to this joint proxy statement/prospectus as Annex C and is incorporated by reference in its entirety into this joint proxy statement/prospectus. The summary of the written opinion of ThinkEquity set forth below is qualified in its entirety by the full text of the written opinion attached as Annex C. ThinkEquity’ financial advisory services and opinion were provided for the information and assistance of the MYnd board of directors (in their capacity as directors and not in any other capacity) in connection with and for purposes of its consideration of the Transaction and the ThinkEquity opinion addressed only the fairness, from a financial point of view, as of the date thereof, to MYnd of the Exchange Ratio to be paid by MYnd pursuant to the terms of the Merger Agreement. The ThinkEquity opinion did not address any other term or aspect of the Merger Agreement or the Transaction and does not constitute a recommendation to any stockholder of MYnd as to whether or how such holder should vote with respect to the Merger or otherwise act with respect to the Transaction or any other matter.
The full text of ThinkEquity’ written opinion should be read carefully in its entirety for a description of the assumptions made and limitations upon the review undertaken by ThinkEquity in preparing its opinion.
In connection with rendering the opinion described above and performing its related financial analyses, ThinkEquity, among other things:
| ● | reviewed Emmaus’ publicly available historical consolidated financial statements and non-public projected financial information prepared by Emmaus for its own internal business purposes that was shared with ThinkEquity at MYnd’s request for purposes of ThinkEquity’s evaluation; |
| ● | reviewed publicly available non-financial information concerning Emmaus; |
| ● | conducted discussions with MYnd senior management concerning Emmaus’ historical financial results, business prospects and projected financial information; |
| ● | reviewed the non-binding letter of intent executed by MYnd and Emmaus; |
| ● | reviewed Emmaus’ public filings; |
| ● | conducted such other analyses and examinations and considered such other information and financial, economic and market criteria as ThinkEquity deemed appropriate in arriving at its opinion, including review of certain projected financial information, preparation of certain projected financial information, projected free cash flows and discounted cash flow analyses; and |
| ● | analyzed certain financial, stock market and other publicly available information relating to the businesses of other companies whose operations ThinkEquity considered relevant in evaluating those of Emmaus. |
104
ThinkEquity assumed, without independent verification or any responsibility therefor, the accuracy and completeness of the financial and other information supplied to, discussed with, or reviewed by it for purposes of the opinion and, further relied upon the assurances of MYnd management that they are not aware of any facts or circumstances that would make such information inaccurate or misleading. In addition, ThinkEquity did not make any independent evaluation or appraisal of any of the assets or liabilities (contingent or otherwise) of MYnd or Emmaus, and ThinkEquity did not conduct, a physical inspection of the properties or assets of MYnd or Emmaus. ThinkEquity expressed no view as to the structure, terms or effect of any other aspect of the Merger, including without limitation, the tax, accounting or regulatory consequences thereof. ThinkEquity’s opinion did not address MYnd’s underlying business decision to proceed with or effect the Transaction, or the relative merits of the Transaction as compared to any alternative business strategies or transactions that might be available to MYnd or in which MYnd might engage. The opinion was limited to and addressed only the fairness, from a financial point of view, as of the date thereof, to MYnd of the Exchange Ratio and the Spin-Off.
Summary of Financial Analyses
The following is a summary of the material financial analyses prepared by ThinkEquity and reviewed with the MYnd board of directors in connection with the rendering by ThinkEquity of its opinion on January 3, 2019. The summary set forth below does not purport to be a complete description of the financial analyses performed or factors considered by, and underlying the opinion of, ThinkEquity, nor does the order of the financial analyses described represent the relative importance or weight given to those financial analyses by ThinkEquity. ThinkEquity may have deemed various assumptions more or less probable than other assumptions, so the reference ranges resulting from any particular portion of the analyses summarized below should not be taken to be the view of ThinkEquity as to the actual value of MYnd. Some of the summaries of the financial analyses set forth below include information presented in tabular format. In order to fully understand the financial analyses, the tables must be read together with the text of each summary, as the tables alone do not constitute a complete description of the financial analyses performed by ThinkEquity. Considering the data in the tables below without considering all financial analyses or factors or the full narrative description of such analyses or factors, including the methodologies and assumptions underlying such analyses or factors, could create a misleading or incomplete view of the processes underlying ThinkEquity’s financial analyses and its opinion. In performing its analyses, ThinkEquity made numerous assumptions with respect to industry performance, general business and economic conditions and other matters, many of which are beyond the control of MYnd or any other parties to the Transaction. None of MYnd, Emmaus, Merger Sub, ThinkEquity or any other person assumes responsibility if future results are materially different from those discussed. Any estimates contained in these analyses are not necessarily indicative of actual values or predictive of future results or values, which may be significantly more or less favorable than as set forth below. In addition, analyses relating to the value of MYnd or Emmaus do not purport to be appraisals or reflect the prices at which these companies may actually be sold. Accordingly, the assumptions and estimates used in, and the results derived from, the financial analyses are inherently subject to substantial uncertainty. Except as otherwise noted, the following quantitative information, to the extent that it is based on market data, is based on market data as it existed on or before January 3, 2019 and is not necessarily indicative of current market conditions.
Selected M&A Transactions Reviewed
ThinkEquity reviewed the target companies involved in 13 selected merger and acquisition transactions listed in the below table. The selection of these transactions was based, among other things, on the target company’s industry, the relative size of the transaction compared to the Merger, and the availability of public information related to the selected transaction.
105
The selected transactions indicated enterprise value to last twelve months’ EBITDA multiples ranging from (9.5)x to 28.2x and enterprise value to last twelve months’ revenue multiples ranging from 0.68x to 3.92x, with a median of 4.4x.
Multiples Analysis of Selected Precedent Biotechnology Transactions
(Amounts listed in USD. Numbers in millions, except per share data)
| Date | Offer Value | Transaction | Consideration | |||||||||||||||||
| Target | Acquiror | Announced | of Equity | Value | % Cash | % Stock | ||||||||||||||
| Dimension Therapeutics, Inc. | Ultragenyx Pharmaceutical Inc. | 18-Sep-17 | 151.3 | 134.7 | 100.0 | % | NA | |||||||||||||
| Agro BioSciences, Inc. | Church & Dwight Co., Inc. | 4-May-17 | 75.0 | 100.0 | 100.0 | % | NA | |||||||||||||
| BioD, LLC | Derma Sciences, Inc. | 28-Jul-16 | 23.1 | 79.6 | 59.9 | % | 40.1 | % | ||||||||||||
| Nanosphere, Inc. | Luminex Corporation | 16-May-16 | 84.5 | 101.3 | 100.0 | % | NA | |||||||||||||
| VBI Vaccines Inc. Prior to merger with SciVac Therapeutics Inc. | SciVac Therapeutics Inc. | 26-Oct-15 | 59.2 | 51.7 | NA | 100.0 | % | |||||||||||||
| Trans Ova Genetics LC | Intrexon Corporation | 1-Jul-14 | 110.0 | NA | NA | |||||||||||||||
| Ceregene, Inc. | Sangamo BioSciences, Inc. | 26-Aug-13 | 1.0 | 69.4 | NA | 100.0 | % | |||||||||||||
| Molecular Insight Pharmaceuticals, Inc. | Progenics Pharmaceuticals, Inc. | 22-Jan-13 | 11.8 | 149.9 | NA | 100.0 | % | |||||||||||||
| Callisto Pharmaceuticals, Inc. | Synergy Pharmaceuticals Inc. | 20-Jul-12 | 181.9 | 181.9 | NA | 100.0 | % | |||||||||||||
| Allos Therapeutics, Inc. | Spectrum Pharmaceuticals, Inc. | 5-Apr-12 | 194.7 | 118.8 | 100.0 | % | NA | |||||||||||||
| Osteotech, Inc. | Medtronic Sofamor Danek, Inc. | 17-Aug-10 | 121.6 | 121.2 | 100.0 | % | NA | |||||||||||||
| Monogram Biosciences, Inc. | Laboratory Corporation of America Holdings | 23-Jun-09 | 104.8 | 153.2 | 100.0 | % | NA | |||||||||||||
| Targanta Therapeutics Corp. | The Medicines Company | 13-Jan-09 | 42.0 | 110.8 | 100.0 | % | NA | |||||||||||||
Selected Public Companies Reviewed
ThinkEquity compared certain financial performance metrics of Emmaus to corresponding data and ratios from ten publicly traded companies.
Although none of these selected public companies are directly comparable to Emmaus, ThinkEquity reviewed these companies based on their relative similarity, primarily in terms of business model and primary customer end markets, to that of Emmaus’ existing business and future new initiative growth opportunities.
Market Multiples Analysis of Health Care Companies
(Amounts listed in USD Numbers in million, except per share data)
| Enterprise Value as a Multiple of: | ||||||||||||||||||||||||
| Sales | ||||||||||||||||||||||||
| Company | Stock Price Market Value of Equity Enterprise Value | LTM | CY+1 | CY+2 | ||||||||||||||||||||
| Bluebird Bio, Inc. | 97.21 | 5316.6 | 3776.3 | 95.59 | x | 87.76 | x | 54.48 | x | |||||||||||||||
| Global Blood Therapeutics, Inc. | 40.88 | 2270.0 | 1886.8 | |||||||||||||||||||||
| Ironwood Pharmaceuticals, Inc. | 10.15 | 1563.7 | 1811.6 | 5.84 | 5.78 | 4.85 | ||||||||||||||||||
| Synergy Pharmaceuticals, Inc. | 0.13 | 33.2 | 107.2 | 2.59 | 2.21 | 0.73 | ||||||||||||||||||
| Intercept Pharmaceuticals, Inc. | 98.00 | 2906.1 | 2784.3 | 16.96 | 15.56 | 10.8 | ||||||||||||||||||
| CytomX Therapeutics, Inc. | 15.36 | 691.3 | 226.7 | 3.02 | 3.56 | 3.95 | ||||||||||||||||||
| Enanta Pharmaceuticals, Inc. | 69.36 | 1347.1 | 1040.3 | 5.03 | 4.30 | 5.33 | ||||||||||||||||||
| Radius Health, Inc. | 16.55 | 753.7 | 695.9 | 9.60 | 7.18 | 4.07 | ||||||||||||||||||
| Aerie Pharmaceuticals, Inc. | 35.20 | 1600.0 | 1364.0 | 140.26 | 58.85 | 11.10 | ||||||||||||||||||
| MacroGenics, Inc. | 12.45 | 526.2 | 266.0 | 1.35 | 4.73 | 4.40 | ||||||||||||||||||
| High | 140.26 | x | 87.76 | x | 54.48 | x | ||||||||||||||||||
| Average | 31.14 | 21.11 | 11.08 | |||||||||||||||||||||
| Median | 5.84 | 5.78 | 4.85 | |||||||||||||||||||||
| Low | 1.35 | 2.21 | 0.73 | |||||||||||||||||||||
| (1) | Financial data sourced from Thomson Reuters and Google Finance as of 01/02/2019 |
| (2) | Calculated as Market Value of Equity plus total debt, non-controlling interest and preferred stock, less cash & equivalents |
106
Discounted Cash Flow Analysis
ThinkEquity prepared a discounted cash flows analysis of the projected free cash flows of Emmaus for the fiscal years ending December 31, 2019 through December 31, 2023 based, in part, upon Emmaus’ internal financial projections for the years ending December 31, 2019 through 2021 discussed below in this section (referred to as the Emmaus Projections) and financial projections for the years ending December 31, 2022 through December 2023 (referred to as the ThinkEquity Projections and, collectively with the Emmaus Projections, as the Projections) which ThinkEquity prepared. ThinkEquity defined “free cash flow” as the estimated cash generated by Emmaus’ existing businesses and future new initiatives that would available either to reinvest, reduce debt, or distribute to stockholders.
The discounted cash flow analysis was used to determine the net present value of projected free cash flows utilizing an appropriate cost of capital for the discount rate, which reflects the relative risk associated with these cash flows as well as the rates of return that security holders could expect to realize on alternative investment opportunities with risk profiles similar to Emmaus.
ThinkEquity used a discount rate of 17% to discount the projected unlevered free cash flows related to Emmaus’ existing products, its future new initiative growth opportunities, and the estimated terminal value. ThinkEquity believed that this discount rate is consistent with the rate of return that stockholders could expect to realize on alternative investment opportunities with similar risk profiles to Emmaus existing and new initiative growth opportunity business.
Discounted Cash Flow Analysis for Emmaus Life Sciences, Inc.
USD in millions
| Historical year ended 12/31 | Projected year ending 12/31 | |||||||||||||||||||||||||||||||
| 2016 | 2017 | 2018 | 2019 | 2020 | 2021 | 2022 | 2023 | |||||||||||||||||||||||||
| Sales | 0.5 | 0.5 | 14.5 | 45.2 | 101.3 | 158.1 | 205.5 | 246.6 | ||||||||||||||||||||||||
| Cost of goods sold | 0.2 | 0.3 | 0.7 | 2.3 | 6.5 | 12.5 | 16.4 | 19.7 | ||||||||||||||||||||||||
| Gross Profit | 0.2 | 0.2 | 13.9 | 42.9 | 94.8 | 145.6 | 189.1 | 226.9 | ||||||||||||||||||||||||
| R&D/SG&A | 11.8 | 19.1 | 24.4 | 41.0 | 66.2 | 85.9 | 102.8 | 123.3 | ||||||||||||||||||||||||
| EBITDA | (11.5 | ) | (18.9 | ) | (10.6 | ) | 1.9 | 28.6 | 59.7 | 86.3 | 103.6 | |||||||||||||||||||||
| Less: Depreciation & Amortization | 0.0 | 0.0 | 0.1 | 0.2 | 0.5 | 0.8 | 1.0 | 1.2 | ||||||||||||||||||||||||
| EBIT | (11.5 | ) | (18.9 | ) | (10.5 | ) | 2.1 | 29.1 | 60.5 | 87.4 | 104.8 | |||||||||||||||||||||
| Less: Taxes @ 38.0% | 4.4 | 7.2 | 4.0 | (0.8 | ) | (11.0 | ) | (23.0 | ) | (33.2 | ) | (39.8 | ) | |||||||||||||||||||
| Tax-effected EBIT | (7.1 | ) | (11.7 | ) | (6.5 | ) | 1.3 | 18.0 | 37.5 | 54.2 | 65.0 | |||||||||||||||||||||
| Plus: Depreciation and amortization | (0.0 | ) | (0.1 | ) | (0.2 | ) | (0.5 | ) | (0.8 | ) | (1.0 | ) | (1.2 | ) | ||||||||||||||||||
| Less: Capital expenditures | 0.0 | 0.1 | 0.1 | 0.5 | 1.0 | 1.6 | 2.1 | 2.5 | ||||||||||||||||||||||||
| Less: Additions to intangibles | 0.0 | 0.0 | 0.0 | 0.0 | 0.0 | 0.0 | 0.0 | |||||||||||||||||||||||||
| (Increase)/decrease in working capital | (68.0 | ) | 14.0 | (5.0 | ) | (5.0 | ) | (5.0 | ) | (5.0 | ) | (5.0 | ) | |||||||||||||||||||
| Free Cash Flow | (79.6 | ) | 7.5 | (3.5 | ) | 13.5 | 33.3 | 50.2 | 61.2 | |||||||||||||||||||||||
| Unlevered Free Cash Flow | (3.5 | ) | 13.5 | 33.3 | 50.2 | 61.2 | ||||||||||||||||||||||||||
| Discount Period | 1.0 | 2.0 | 3.0 | 4.0 | 5.0 | |||||||||||||||||||||||||||
| WACC | 17.0 | % | 17.0 | % | 17.0 | % | 17.0 | % | 17.0 | % | ||||||||||||||||||||||
| Discount Factor | 0.855 | 0.731 | 0.624 | 0.534 | 0.456 | |||||||||||||||||||||||||||
| Present value of each Unlevered Free Cash Flow | (3.0 | ) | 9.9 | 20.8 | 26.8 | 27.9 | ||||||||||||||||||||||||||
| Perpetuity Growth Rate Method | Multiple Method | |||||||||
| Weighted average cost of capital | 17.0 | % | Weighted average cost of capital | 17.0 | % | |||||
| Net present value of free cash flow | 82.4 | Net present value of free cash flow | 82.4 | |||||||
| Terminal growth rate | 9.0 | % | Terminal multiple | 9.0 | x | |||||
| Terminal value | 834.1 | Terminal value | 932.3 | |||||||
| Present value of the terminal value | 380.5 | Present value of the terminal value | 425.2 | |||||||
| Enterprise value | 462.9 | Enterprise value | 507.6 | |||||||
| Less Net Debt* | (23.0 | ) | Less Net Debt* | (23.0 | ) | |||||
| Equity value | 439.9 | Equity value | 484.6 | |||||||
* Note: Net debt represents total debt plus non-controlling interest plus preferred stock, less cash & short term investments.
Based on these assumptions the discounted cash flow analysis indicated an estimated enterprise value for Emmaus of $485 million.
107
Information Regarding Financial Projections Used for Fairness Opinion Analysis
In its discounted cash flow analysis, ThinkEquity relied, in part, upon the Emmaus Projections. A summary of the key Emmaus Projections are set forth in the table below:
Financial Projection Prepared by Emmaus Life Sciences, Inc. (as of December 2018)
USD in millions
| Projected year ending 12/31 | ||||||||||||
| 2019 | 2020 | 2021 | ||||||||||
| Sales | $ | 45.2 | $ | 101.3 | $ | 158.1 | ||||||
| Cost of goods sold | 2.3 | 6.5 | 12.5 | |||||||||
| Gross Profit | 42.9 | 94.8 | 145.6 | |||||||||
| R&D/SG&A | 41.0 | 66.2 | 85.9 | |||||||||
| Operating Income | 1.9 | 28.6 | 59.7 | |||||||||
Neither MYnd nor Emmaus, as a matter of course, publicly discloses forecasts, internal projections as to future performance, revenues, earnings or other results of operations due to the inherent unpredictability and subjectivity of underlying assumptions and projections. Emmaus first began marketing and selling its one approved product, Endari, in the U.S. in early 2018 and has a limited history on which to predict future financial results of the marketing and sale of Endari in the U.S. Future sales of Endari outside the U.S. are contingent upon marketing approvals, which may or may not be obtained. As a result of these and other risks and uncertainties, including the risks and uncertainties described in the section entitled “Risk Factors Related to Emmaus – Risk Factors Related to Commercialization of Endari.” Emmaus’ future financial results are likely to differ, perhaps materially, from the Projections. The inclusion of the Projections in this joint proxy statement/prospectus should not be regarded as an indication that Emmaus or MYnd or any other recipient of this information considered, or now considers, this information to be predictive of actual future results. The Projections, therefore, should not be relied upon as public guidance or for any other purpose.
The Projections were not prepared with a view toward public disclosure, or in compliance with published guidelines of the SEC or the guidelines established by the American Institute of Certified Public Accountants for preparation and presentation of prospective financial information, or generally accepted accounting principles. Neither MYnd nor Emmaus, or either Marcum, LLP or SingerLewak LLP, has examined, compiled or performed any procedures with respect to the Projections. Neither Marcum, LLP nor SingerLewak LLP express an opinion or any other form of assurance with respect thereto. The Marcum, LLP and SingerLewak LLP reports included in this joint proxy statement/prospectus relate solely to historical financial information.
Stockholders are urged to review the section entitled “Risk Factors” beginning on page 21 of this proxy statement/prospectus for a description of risk factors relating to the Merger, Emmaus’ business and MYnd’s business, and MYnd’s and Emmaus’ most recent SEC filings for a description of risk factors with respect to MYnd and Emmaus. Stockholders of MYnd should also read the section entitled “Cautionary Statement Regarding Forward-Looking Statements” beginning on page 89 of this joint proxy statement/prospectus for additional information regarding the risks inherent in forward-looking information such as the Projections.
The Projections were utilized by ThinkEquity in preparing its discounted cash flow analysis and are not intended to influence the decision whether to vote in favor of the proposal to issue shares of MYnd common stock or in favor of any other proposal contained in this joint proxy statement/prospectus. In light of the foregoing factors and the uncertainties inherent in the Projections, stockholders are cautioned not to place undue, if any, reliance on the Projections. The Projections were prepared as of December 2018 and neither MYnd nor Emmaus or ThinkEquity undertakes to update the Projections for events occurring after they were prepared.
ThinkEquity was engaged by MYnd in July of 2018 to serve as a financial advisor to MYnd on a specific business combination that was not ultimately pursued, and received a $5,000 retainer in connection with such engagement. Except in connection with this engagement, in the three years preceding the date hereof, ThinkEquity has not received any fees from MYnd other than the payment for its fairness opinion. In the three years preceding the date hereof, ThinkEquity has not had a relationship with Emmaus and has not received any fees from Emmaus. ThinkEquity and its affiliates may in the future seek to provide investment banking or financial advisory services to MYnd and Emmaus and/or certain of their respective affiliates and expect to receive fees for the rendering of these services.
The issuance of ThinkEquity’s fairness opinion was reviewed and approved by a fairness opinion committee of ThinkEquity.
108
Pursuant to the engagement letter between ThinkEquity and MYnd, ThinkEquity was paid an initial fee of $25,000 which was creditable against the fairness opinion fee of $100,000, resulting in the receipt by ThinkEquity of a fee of $75,000 upon delivery of its fairness opinion. Additionally, MYnd has agreed to reimburse ThinkEquity for its out-of-pocket expenses up to a cap of $10,000 and has agreed to indemnify ThinkEquity against certain liabilities, including liabilities under the federal securities laws. The terms of the fee arrangement with ThinkEquity, which are customary in transactions of this nature, were negotiated at arm’s length between MYnd and ThinkEquity, and the MYnd Board of Directors was aware of the arrangement.
Interests of the MYnd Directors and Executive Officers in the Merger
When considering the recommendation of the MYnd board of directors that MYnd stockholders vote in favor of the adoption of the MYnd Stockholder Proposals, MYnd stockholders should be aware that MYnd’s directors and executive officers have interests in the MYnd Stockholder Proposals that may be different from, or in addition to, the interests of MYnd stockholders generally, including potential severance benefits, treatment of outstanding MYnd equity awards pursuant to the Merger Agreement, potential vesting of such awards in connection with the Merger, rights to ongoing indemnification and insurance coverage and the expectation that certain of MYnd’s directors and executive officers will become directors and executive officers of Telemynd and will receive stock option grants and the opportunity to receive board fees from Telemynd. The board of directors of each of MYnd and Emmaus were aware of these potential conflicts of interest and considered them, among other matters, in reaching their respective decisions to approve the Merger Agreement and the Merger, and to recommend, as applicable, that the MYnd stockholders approve the MYnd Stockholders Proposals to be presented to the MYnd stockholders for consideration at the MYnd special meeting as contemplated by this joint proxy statement/prospectus, and that the Emmaus stockholders approve the Emmaus Stockholders Proposals to be presented to the Emmaus stockholders for consideration at the Emmaus special meeting as contemplated by this joint proxy statement/prospectus.
New Stock and Stock Options Grants
On May 8, 2019, the board of directors of MYnd approved a grant of 50,000 restricted shares and a stock option to purchase up to 100,000 shares to Robin L. Smith, the Chairman of the board of directors of MYnd. 25,000 of the restricted shares and 25,000 of the options are subject to forfeiture if the Merger is not consummated for any reason.
Amendment to Chairman Agreement and Consulting Agreement.
On May 30, 2019, MYnd and Dr. Smith entered into an amendment to the Chairman Services Agreement, dated July 14, 2017, by and between MYnd and Dr. Smith (or the Chairman Services Agreement) which provides that the Chairman Services Agreement will terminate at the effective time of the Merger, as required by the Merger Agreement, and that Dr. Smith will receive a $150,000 bonus, which is to be paid after, and contingent upon, the approval of the MYnd Stockholder Proposals; provided that this payment will be returned to MYnd if the Merger is not consummated for any reason.
Also on May 30, 2019, Telemynd and Dr. Smith entered into a Consultant Agreement which provides that Dr. Smith will receive a $15,000 monthly fee during the consulting term and that, upon the closing of the Spin-Off, Dr. Smith will be granted (i) an option to purchase up to 200,000 shares of common stock of Telemynd (which may be exercised at any time during the ten year period following the grant) and (ii) 100,000 restricted shares of common stock of Telemynd. The option and the restricted stock grant will vest upon the completion of Telemynd’s anticipated listing on a national securities exchange. Telemynd has also agreed to pay Dr. Smith a $100,000 bonus at the effective time of such listing.
109
Acceleration of Unvested Option and Restricted Stock Awards
The following MYnd directors and executive officers have stock options and restricted stock awards which shall vest immediately prior to the consummation of the Merger.
| Name | Options | Restricted Stock Awards | ||||||
| Patrick Herguth | 200,000 | 0 | ||||||
| George Carpenter | 103,000 | 0 | ||||||
| Don D’Ambrosio | 45,499 | 0 | ||||||
| Robin Smith | 36,000 | 0 | ||||||
| John Pappajohn | 0 | 15,000 | ||||||
| Michal Votruba | 0 | 0 | ||||||
| Geoffrey E. Harris | 0 | 22,500 | ||||||
| Peter Unanue | 0 | 15,000 | ||||||
Ownership Interests
As of May 24, 2019, directors and executive officers of MYnd owned or controlled approximately 34% of the outstanding shares of MYnd common stock on an as-converted-to-common stock basis. See the section entitled “Principal Stockholders of MYnd” beginning on page 228 of this joint proxy statement/prospectus for more information. MYnd directors and the executive officers have entered into Voting Agreements in connection with the Merger. For a more detailed discussion of the Voting Agreements see the section titled “Agreements Related to the Merger—Voting Agreements” in this joint proxy statement/prospectus.
Other Interests
It is anticipated that Robin L. Smith will serve as a director of the combined company following the effective time of the Merger. This is not a condition to the Merger.
Each of Patrick Herguth, Geoffrey E. Harris, John Pappajohn, Peter Unanue and Michal Votruba, current directors of MYnd, are expected to serve as directors of Telemynd after the Spin-Off. All of MYnd’s directors, including Robin L. Smith in her capacity as an advisor to Telemynd, and certain of MYnd’s officers are expected to remain directors of and officers of Telemynd and will be eligible to receive option grants and board fees, as applicable, from Telemynd. In connection with such service, each of these directors are expected to receive a stock option grant in Telemynd that is approximately equal to the number of options held by the directors today in MYnd.
MYnd executed an exchange agreement with John Pappajohn, certain affiliates of John Pappajohn and Peter Unanue, each of whom is a director of MYnd and the holder of MYnd preferred stock. The exchange agreement provides that immediately after the effective of the Merger each share of MYnd preferred stock will be exchanged for a share of MYnd common stock and a preferred share of Telemynd, which preferred share will have the substantially the same terms as the MYnd preferred stock.
The MYnd board of directors approved a one-year reduction to the exercise price of all MYnd warrants to $2.00 per share that have an exercise price above $2.00 per share. Members of the MYnd board of directors own approximately 30.80% of these warrants.
Indemnification and Insurance for the MYnd Officers and Directors
Under the Merger Agreement, from the closing of the Merger through the sixth anniversary of the closing, MYnd and Emmaus are required to fulfill and honor all rights to indemnification, exculpation or advancement of expenses now existing in favor of, and all limitations on the personal liability of, each present and former director, officer, employee, fiduciary, or agent of MYnd or Emmaus provided for in the respective organizational documents of MYnd or Emmaus in effect as of the date of the Merger Agreement.
The Merger Agreement also provides that MYnd is required to purchase a “tail” insurance policy in effect for six years from the closing, providing coverage under the current directors’ and officers’ liability insurance policies maintained by MYnd.
110
Interests of the Emmaus Directors and Executive Officers in the Merger
In considering the recommendation of Emmaus’ board of directors with respect to with respect to adopting and approving the Merger Agreement and the Merger and the other matters to be acted upon by Emmaus stockholders at the Emmaus special meeting, Emmaus stockholders should be aware that certain members of the board of directors and the executive officers of Emmaus have interests in the Merger that may be different from, or in addition to, the interests of Emmaus stockholders. These interests relate to or arise from the matters described below. The board of directors of each of Emmaus and MYnd were aware of these potential conflicts of interest and considered them, among other matters, in reaching their respective decisions to approve the Merger Agreement and the Merger, and to recommend, as applicable, that the Emmaus stockholders approve the Emmaus Stockholders Proposals to be presented to the Emmaus stockholders for consideration at the Emmaus special meeting as contemplated by this joint proxy statement/prospectus, and that the MYnd stockholders approve the MYnd Stockholders Proposals to be presented to the MYnd stockholders for consideration at the MYnd special meeting as contemplated by this joint proxy statement/prospectus.
Ownership Interests
Common Stock
As of April 30, 2019, directors and executive officers of Emmaus owned or controlled approximately 30% of the outstanding shares of Emmaus common stock. See the section entitled “Principal Stockholders of Emmaus” beginning on page 230 of this joint proxy statement/prospectus for more information. Emmaus directors and the executive officers have entered into Voting Agreements in connection with the Merger. For a more detailed discussion of the Voting Agreements, see the section titled “Agreements Related to the Merger—Voting Agreements” in this joint proxy statement/prospectus.
Stock Options, Warrants, Convertible Notes and Debentures
Certain of Emmaus’ directors and executive officers hold options or warrants to purchase Emmaus common stock, which will be converted into options or warrants to purchase shares of MYnd common stock. Certain of Emmaus’ directors and executive officers also hold convertible promissory notes of Emmaus with conversion prices that may be below or above current fair value of Emmaus stock, and which will be converted into shares of Emmaus common stock immediately prior to the Merger. For a more detailed discussion of the treatment of Emmaus options, warrants, convertible promissory notes and other indebtedness, see the section entitled “The Merger—Treatment of Stock Options, Warrants, Convertible Notes and Debentures” beginning on page 112 of this joint proxy statement/prospectus.
Management Following the Merger
As described elsewhere in this joint proxy statement/prospectus, including in the section entitled “Management Following the Merger” beginning on page 16 of this joint proxy statement/prospectus, Emmaus’ current directors and executive officers are expected to become directors and executive officers of the combined company upon the closing of the Merger.
Indemnification and Insurance
Under the Merger Agreement, from the closing of the Merger through the sixth anniversary of the closing, MYnd and Emmaus are required to fulfill and honor all rights to indemnification, exculpation or advancement of expenses now existing in favor of, and all limitations on the personal liability of, each present and former director, officer, employee, fiduciary, or agent of MYnd or Emmaus provided for in the respective organizational documents of MYnd or Emmaus in effect as of the date of the Merger Agreement.
111
Under the Merger Agreement the certificate of incorporation of Emmaus is required to contain provisions with respect to indemnification, exculpation from liability and advancement of expenses that are at least as favorable as those currently in the Emmaus certificate of incorporation and bylaws and from the closing of the Merger through the sixth anniversary of the closing, MYnd and Emmaus are prohibited from amending, repealing or otherwise modifying such provisions in any manner that would materially and adversely affect the rights thereunder of individuals who at any time prior to the closing of the Merger was a director, officer, employee, fiduciary, or agent of Emmaus in respect of actions or omissions occurring at or prior to the closing of the Merger, unless such modification is required by applicable laws. MYnd and Emmaus also agreed, jointly and severally, to indemnify and hold harmless the present and former officers, directors, employees, fiduciaries and agents of Emmaus in respect of acts or omissions occurring prior to the closing of the Merger to the extent (i) provided in any existing indemnification agreements between Emmaus and such individuals, or (ii) required by the Emmaus certificate of incorporation or bylaws, in each case as in effect immediately prior to the closing of the Merger.
The Merger Agreement also provides that Emmaus is required to purchase a “tail” insurance policy in effect for six years from the closing, providing coverage under MYnd’s existing directors’ and officers’ liability insurance policies.
Limitations on Liability and Indemnification
Emmaus has entered into indemnification agreements with each of its directors and executive officers. These agreements provide for the indemnification of the directors and executive officers of Emmaus for all liabilities and actual and reasonable expenses incurred in connection with any action or proceeding brought against them by reason of the fact that they are or were serving as an Emmaus officer or director or, at the request of Emmaus, as an officer, director or employee of another corporation, partnership, joint venture, trust or other enterprise. Emmaus anticipates that the directors and officers of the combined company will enter into substantially similar agreements with the combined company, effective upon consummation of the Merger.
Treatment of Stock Options, Warrants, Convertible Notes and Debentures
MYnd Options and Warrants
All options and warrants to purchase shares of MYnd common stock that are outstanding immediately prior to the effective time of the Merger will remain outstanding following the effective time of the Merger.
The MYnd board of directors approved a one-year reduction to the exercise price of all MYnd warrants to $2.00 per share that have an exercise price above $2.00 per share. Members of the MYnd board of directors own approximately 30.80% of these warrants.
Treatment of Emmaus Options (see page [●])
As of the date of this joint proxy statement/prospectus, 6,642,000 shares of Emmaus common stock were issuable upon the exercise of outstanding options at a weighted-average exercise price of $4.40 per share. At the effective time of the Merger, each option to purchase common stock of Emmaus, or an Emmaus Option, will become an option to purchase shares of common stock of MYnd. The number of shares of MYnd common stock subject to each Emmaus Option will be determined by multiplying (i) the number of shares of Emmaus common stock that were subject to the underlying Emmaus Option by (ii) the Exchange Ratio, with the resulting number rounded down to the nearest whole number of shares of MYnd common stock. The per share exercise price for the MYnd common stock subject to each Emmaus Option will be determined by dividing (a) the per share exercise price of the underlying Emmaus Option by (b) the Exchange Ratio, with the resulting number rounded up to the nearest whole cent.
112
Any restrictions on the exercise of Emmaus Options will continue in full force and effect following the conversion and the term, exercisability, vesting schedules, status as an “incentive stock option” under Section 422 of the Code, if applicable, and other provisions of the assumed Emmaus Options will generally remain unchanged, provided, that any Emmaus Options assumed by MYnd may be subject to adjustment to reflect changes in MYnd’s capitalization after the effective time of the Merger and the MYnd board of directors or any committee thereof will succeed to the authority of the Emmaus board of directors with respect to each assumed Emmaus Option.
Treatment of Emmaus Warrants (see page [●])
As of the date of this joint proxy statement/prospectus, 1,340,000 shares of Emmaus common stock were issuable upon the exercise of Emmaus Warrants exercisable at an exercise price of $11.30 per share. Of such Emmaus Warrants, Emmaus Warrant to purchase up to 1,220,000 shares of Emmaus common stock will be amended and restated immediately prior to the effective time of the Merger to provide that they will be exercisable to purchase up to 1,464,000 shares of Emmaus common stock at an exercise price of $10 per share. In addition, as of the date of this joint proxy statement/prospectus, 2,045,431 shares of Emmaus common stock were issuable upon the exercise of other Emmaus Warrants at a weighted-average exercise price of $6.25 per share. At the effective time of the Merger, all Emmaus Warrants will become exercisable for shares of common stock of MYnd.
With respect to each Emmaus Warrant, (i) the number of shares of MYnd common stock subject to such Emmaus Warrant will be determined by multiplying (a) the number of shares of Emmaus common stock that were subject to such Emmaus Warrant by (b) the Exchange Ratio, with the resulting number rounded down to the nearest whole number of shares of MYnd common stock, and (ii) the per share exercise price for the MYnd common stock subject to such Emmaus Warrant will be determined by dividing (a) the per share exercise price for Emmaus common stock subject to such Emmaus Warrant by (b) the Exchange Ratio, with the resulting number rounded up to the nearest whole cent.
Treatment of Emmaus Convertible Notes (see page [●])
As of the date of this joint proxy statement/prospectus, Emmaus had outstanding approximately $34.5 million principal amount of Emmaus Convertible Notes convertible into shares of Emmaus common stock at conversion prices ranging from $3.05 to $10.00 per share. None of the outstanding Emmaus Convertible Notes originally provided for their conversion into Emmaus common stock or assumption by MYnd in connection with the Merger. In order to facilitate the Merger and to satisfy its covenants in the Merger Agreement, Emmaus entered into negotiations with the holders of Emmaus Convertible Notes to amend the terms thereof to provide that they will be converted automatically into shares of Emmaus common stock at their respective conversion prices immediately prior to the effective time of the Merger, which shares would be outstanding immediately prior to the Merger and would be converted into shares of MYnd common stock in the same manner as other outstanding shares of Emmaus common stock based the Exchange Ratio. As of the date of this joint proxy statement/prospectus the holders of an aggregate of approximately $29.5 million, or approximately 86%, principal amount of Emmaus Convertible Notes, have agreed to such amendments. In connection with such amendments, the conversion price of up to approximately $15.1 million principal amount of Emmaus Convertible Notes, including Emmaus Convertible Notes held by an Emmaus director and his affiliate, has been or is expected to be reduced from $10 a share to $8.25 a share. The Merger Agreement provides that, among other conditions to MYnd’s obligations to complete the Merger, at least 90% of the Emmaus Convertible Notes become converted notes. Accordingly, Emmaus intends to continue negotiations to similarly amend the one remaining outstanding Emmaus Convertible Note. However, there is no guarantee that it will be able to do so on the same or similar terms, or at all. See the section entitled “Index To Unaudited Pro Forma Condensed Financial Statements” in this joint proxy statement/prospectus for pro forma financial information of the combined company which reflects Emmaus’ expectations regarding the amount and terms of the Emmaus Convertible Notes to be converted in connection with the Merger.
Treatment of Emmaus Debentures (see page [●])
As of the date of this joint proxy statement/prospectus, Emmaus had outstanding $12.2 million principal amount of debentures, or Emmaus Debentures. Emmaus and the holders of the Emmaus Debentures have entered into a securities amendment agreement pursuant to which the Emmaus Debentures will be amended and restated immediately prior to the effective time of the Merger to provide, among other things, that, the principal amount thereof will be convertible at the option of the holders into shares of Emmaus common stock at an initial conversion price of $10 per share, subject to adjustment as provided in the amended and restated Emmaus Debentures. At the effective time of the Merger, the Emmaus Debentures will become convertible into shares of common stock of MYnd.
With respect to each Emmaus Convertible Note and Emmaus Debenture, (i) the number of shares of MYnd common stock subject to such Emmaus Convertible Note and Emmaus Debenture will be determined by multiplying (a) the number of shares of Emmaus common stock that were subject to such Emmaus Convertible Note and Emmaus Debenture by (b) the Exchange Ratio, with the resulting number rounded down to the nearest whole number of shares of MYnd common stock, and (ii) the per share conversion price for the MYnd common stock subject to such Emmaus Convertible Note and Emmaus Debenture will be determined by dividing (a) the per share conversion price for Emmaus common stock subject to such Emmaus Convertible Note and Debenture by (b) the Exchange Ratio, with the resulting number rounded up to the nearest whole cent.
113
The Merger Agreement provides that at the effective time of the Merger, Merger Sub will be merged with and into Emmaus. Upon the consummation of the Merger, Emmaus will continue as the surviving corporation and a subsidiary of MYnd.
In connection with the Merger, assuming Proposal No. 3 is approved by the MYnd stockholders at the MYnd special meeting, MYnd will be renamed “Emmaus Life Sciences, Inc.”
At the effective time of the Merger, upon the terms and subject to the conditions set forth in the Merger Agreement:
| ● | each share of Emmaus common stock issued and outstanding immediately prior to the effective time of the Merger (including shares of Emmaus common stock issued upon conversion of Emmaus convertible notes) will be converted into and represent the right to receive a number of shares of MYnd common stock equal to the Exchange Ratio, as described below; and |
| ● | each share of MYnd preferred stock issued and outstanding immediately prior to the effective time of the Merger will be converted into one share of MYnd common stock. |
Immediately after the Merger, (a) MYnd securityholders (including holders of MYnd common stock and preferred stock and holders of options and warrants to purchase shares of MYnd common stock) are expected to own 5.9% of the combined company and (b) Emmaus securityholders (including holders of Emmaus common stock, holders of options and warrants to purchase shares of Emmaus common stock and holders of convertible promissory notes and other indebtedness convertible into Emmaus common stock) are expected to own 94.1% of the combined company.
There will be no adjustment to the total number of shares of MYnd common stock that Emmaus stockholders will be entitled to receive for changes in the market price of MYnd common stock.
No fractional shares of MYnd common stock shall be issued in connection with the Merger, and no certificates or scrip for any such fractional shares shall be issued. Any holder of Emmaus common stock who would otherwise be entitled to receive a fraction of a share of MYnd common stock (after aggregating all fractional shares of MYnd common stock issuable to such holder) shall, in lieu of such fraction of a share, and upon surrender by such holder of a letter of transmittal and accompanying documents as required by the Merger Agreement, be paid in cash the dollar amount (rounded to the nearest whole cent), without interest, determined by multiplying such fraction by the average closing price of a share of MYnd common stock on NASDAQ for the ten (10) consecutive trading days ending with the second (2nd) to last trading day immediately prior to closing of the Merger.
No fractional shares of MYnd common stock shall be issued in connection with the Merger, and no certificates or scrip for any such fractional shares shall be issued. Any holder of Emmaus common stock who would otherwise be entitled to receive a fraction of a share of MYnd common stock (after aggregating all fractional shares of MYnd common stock issuable to such holder) shall, in lieu of such fraction of a share, and upon surrender by such holder of a letter of transmittal and accompanying documents as required by the Merger Agreement, be paid in cash the dollar amount (rounded to the nearest whole cent), without interest, determined by multiplying such fraction by the average closing price of a share of MYnd common stock on NASDAQ for the ten (10) consecutive trading days ending with the second (2nd) to last trading day immediately prior to closing of the Merger.
MYnd and Emmaus must comply with applicable federal and state securities laws and the rules and regulations of The NASDAQ Stock Market in connection with the issuance of shares of MYnd common stock and the filing of this joint proxy statement/prospectus with the SEC.
MYnd and Emmaus intend the Merger to qualify as a reorganization within the meaning of Section 368(a) of the Code. Each of MYnd and Emmaus will use its reasonable best efforts to cause the Merger to qualify as a reorganization within the meaning of Section 368(a) of the Code, and not to permit or cause any affiliate or any subsidiary of MYnd or Emmaus to take any action or cause any action to be taken which could reasonably be expected to prevent the Merger from qualifying as a reorganization under Section 368(a) of the Code. For a description of material U.S. federal income tax consequences of the Merger, please see the section entitled “The Merger—Material U.S. Federal Income Tax Consequences of the Merger” below.
114
Material U.S. Federal Income Tax Consequences of the Merger
The following is a discussion of certain material U.S. federal income tax consequences of the Merger applicable to U.S. holders (as defined below) who exchange their Emmaus capital stock for MYnd common stock in the Merger assuming the Merger is consummated as in the manner described in this joint proxy statement/prospectus. This discussion is based on the Code, U.S. Treasury Regulations promulgated thereunder (“Regulations”), judicial decisions, and published rulings and administrative pronouncements of the Internal Revenue Service (the “IRS”), each as in effect as of the date of the Merger. These authorities are subject to differing interpretations or change. Any such change, which may or may not be retroactive, could alter the tax consequences to holders of Emmaus capital stock as described in this joint proxy statement/prospectus.
This discussion does not address all U.S. federal income tax consequences relevant to the particular circumstances of an Emmaus stockholder. In addition, it does not address consequences relevant to holders of Emmaus capital stock that are subject to particular U.S. or non-U.S. tax rules, including, without limitation:
| ● | persons who have a functional currency other than the U.S. dollar; |
| ● | persons who hold Emmaus capital stock that constitutes “qualified small business stock” under Section 1202 of the Code or as “Section 1244 stock” for purposes of Section 1244 of the Code; |
| ● | persons holding Emmaus capital stock as part of an integrated investment (including a “straddle,” pledge against currency risk, “constructive” sale or “conversion” transaction or other integrated or risk reduction transactions) consisting of shares of Emmaus capital stock and one or more other positions; |
| ● | persons who are not U.S. holders as defined below and certain former citizens or former long-term residents of the United States; |
| ● | banks, insurance companies, mutual funds, tax-exempt entities, financial institutions, broker-dealers, dealers in securities or currencies, traders in securities, real estate investment trusts or regulated investment companies; |
| ● | persons who do not hold their Emmaus capital stock as a “capital asset” within the meaning of Section 1221 of the Code; |
| ● | partnerships or other entities or arrangements classified as partnerships or disregarded entities for U.S. federal income tax purposes, S corporations or other pass-through entities (including hybrid entities); |
| ● | persons who own (or are deemed to own) 5% or more (by vote or value) of the outstanding shares of Emmaus capital stock; |
| ● | persons subject to special tax accounting rules under Section 451(b) of the Code; |
| ● | persons who acquired (or will acquire) their Emmaus capital stock pursuant to the exercise of warrants or conversion rights under convertible instruments; |
| ● | persons who own Emmaus capital stock that is “section 306 stock” within the meaning of Section 306(c) of the Code; |
| ● | persons holding Emmaus capital stock who exercise dissenters’ rights; |
| ● | persons who acquired their Emmaus capital stock in a transaction subject to the gain rollover provisions of Section 1045 of the Code; and |
| ● | persons who hold their Emmaus capital stock through individual retirement accounts or other tax-deferred accounts. |
For purposes of this discussion, a “U.S. holder” is a beneficial owner of Emmaus capital stock that, for U.S. federal income tax purposes, is or is treated as:
| ● | an individual who is a citizen or resident of the United States; |
115
| ● | a corporation (or other entity taxable as a corporation for U.S. federal income tax purposes) created or organized in or under the laws of the United States, any state thereof, or the District of Columbia; |
| ● | an estate, the income of which is subject to U.S. federal income taxation regardless of its source; or |
| ● | a trust if either (i) a court within the United States is able to exercise primary supervision over the administration of such trust and one or more United States persons (within the meaning of Section 7701(a)(30) of the Code) are authorized or have the authority to control all substantial decisions of such trust, or (ii) the trust was in existence on August 20, 1996 and has a valid election in effect under applicable Regulations to be treated as a United States person for U.S. federal income tax purposes. |
If an entity (or an arrangement) treated as a partnership for U.S. federal income tax purposes holds Emmaus capital stock, the tax treatment of a partner in the partnership will depend on the status of the partner, the activities of the partnership and certain determinations made at the partner level. If you are a partnership or a partner of a partnership holding Emmaus capital stock or any other person excluded from this discussion, you should consult your tax advisor regarding the tax consequences of the Merger.
In addition, the following discussion does not address (i) any U.S. federal non-income tax consequences of the Merger, including estate, gift or other tax consequences, (ii) any state, local or non-U.S. tax consequences of the Merger, (iii) the Medicare contribution tax on net investment income or the alternative minimum tax, (iv) the tax consequences of transactions effectuated before, after or at the same time as the Merger (whether or not they are in connection with the Merger), including, without limitation, transactions in which Emmaus capital stock is acquired or Emmaus preferred stock is converted to Emmaus common stock, and (v) the tax consequences to holders of convertible debt or options, warrants or similar rights to purchase or acquire Emmaus capital stock.
IN LIGHT OF THE FOREGOING, HOLDERS OF EMMAUS CAPITAL STOCK SHOULD CONSULT THEIR OWN TAX ADVISORS REGARDING THE TAX CONSEQUENCES TO THEM OF THE MERGER, INCLUDING THE APPLICABLE U.S. FEDERAL, STATE, LOCAL AND NON-U.S. INCOME AND OTHER TAX CONSEQUENCES OR UNDER ANY APPLICABLE TAX TREATY, AND ANY TAX REPORTING REQUIREMENTS OF THE MERGER AND RELATED TRANSACTIONS IN LIGHT OF THEIR PARTICULAR CIRCUMSTANCES.
No ruling from the IRS has been or will be requested with respect to the tax consequences of the Merger. Opinions of counsel do not bind the courts or the IRS, nor will they preclude the IRS from adopting a position contrary to those expressed in such opinions.
MYnd and Emmaus intend for the Merger to qualify as a “reorganization” within the meaning of Section 368(a) of the Code. Assuming such qualification:
| ● | a U.S. holder will not recognize gain or loss upon the exchange of Emmaus capital stock for MYnd common stock pursuant to the Merger, except to the extent of cash received in lieu of a fractional share of MYnd common stock as described below; |
| ● | a U.S. holder who receives cash in lieu of a fractional share of MYnd common stock in the Merger will recognize capital gain or loss in an amount equal to the difference between the amount of cash received instead of a fractional share and the U.S. holder’s tax basis allocable to such fractional share; |
| ● | a U.S. holder’s aggregate tax basis for the shares of MYnd common stock received in the Merger (including any fractional share interest for which cash is received) will equal the U.S. holder’s aggregate tax basis in the shares of Emmaus capital stock surrendered in the Merger; and |
| ● | the holding period of the shares of MYnd common stock received by a U.S. holder in the Merger (including any fractional shares of MYnd common stock deemed received and exchanged for cash as described below) will include the holding period of the shares of Emmaus capital stock surrendered in exchange therefor. |
116
Cash in Lieu of Fractional Shares
No fractional shares of MYnd common stock will be distributed to holders of Emmaus capital stock in connection with the Merger. A U.S. holder who receives cash in lieu of a fractional share of MYnd common stock as part of the Merger will generally be treated as having received the fractional share pursuant to the Merger and then as having sold that fractional share of MYnd common stock for cash. As a result, such U.S. holder will recognize capital gain or loss measured by the difference between the cash received for such fractional share and the portion of the U.S. holder’s tax basis in the shares of Emmaus capital stock allocable to the fractional share. Such capital gain or loss will generally constitute long-term capital gain or loss if the U.S. holder’s holding period in the Emmaus capital stock surrendered in the Merger is more than one year as of the effective date of the Merger. Under current law, long-term capital gains of non-corporate taxpayers are taxed at a reduced U.S. federal income tax rate. Under current law, the deductibility of capital losses is subject to limitations. In addition, for purposes of the above discussion of the bases and holding periods for shares of Emmaus capital stock and MYnd common stock, U.S. holders who acquired different blocks of Emmaus capital stock at different times for different prices must calculate their gains and losses and holding periods separately for each identifiable block of such stock exchanged in the Merger.
Information Reporting and Backup Withholding
A U.S. holder of Emmaus capital stock may be subject to information reporting and backup withholding for U.S. federal income tax purposes on cash paid in lieu of fractional shares in connection with the Merger. The current backup withholding rate is 24%. A U.S. holder of Emmaus capital stock will be subject to backup withholding if such holder is not otherwise exempt and such holder does not provide its taxpayer identification number in the manner required or otherwise fails to comply with applicable backup withholding tax rules.
Backup withholding is not an additional tax. Any amounts withheld under the backup withholding rules may be refunded or allowed as a credit against a U.S. holder of Emmaus capital stock’s federal income tax liability, if any, provided the required information is timely furnished to the IRS. U.S. holders of Emmaus capital stock should consult their tax advisors regarding their qualification for an exemption from backup withholding and the procedures for obtaining such an exemption.
U.S. HOLDERS OF EMMAUS CAPITAL STOCK SHOULD CONSULT THEIR TAX ADVISORS AS TO THE SPECIFIC TAX CONSEQUENCES TO THEM OF THE MERGER, INCLUDING THE APPLICABLE U.S. FEDERAL, STATE, LOCAL AND NON-U.S. INCOME AND OTHER TAX CONSEQUENCES, AND ANY TAX REPORTING REQUIREMENTS OF THE MERGER AND RELATED TRANSACTIONS IN LIGHT OF THEIR PARTICULAR CIRCUMSTANCES.
MYnd’s common stock currently is listed on The NASDAQ Capital Market under the symbol “MYND.” MYnd will use commercially reasonable efforts to (i) to the extent required by the rules and regulations of The NASDAQ Stock Market, prepare and submit to The NASDAQ Stock Market a notification form for the listing of the shares of MYnd common stock to be issued in connection with the Merger, and to cause such shares to be approved for listing (subject to official notice of issuance) on or prior to the Merger; and (ii) to the extent required by NASDAQ Marketplace Rule 5110, file an initial listing application for the shares of MYnd common stock issued in connection with the Merger and to cause such listing application to be approved prior to the Merger. In addition, under the Merger Agreement, the parties’ respective obligations to complete the Merger is subject to the satisfaction or its waiver, at or prior to the Merger, of various conditions, including a condition that the NASDAQ initial listing application for the combined company be approved, which is referred to as the NASDAQ Approval Condition. If such application is accepted, MYnd anticipates that its common stock will be listed on The NASDAQ Capital Market following the closing of the Merger under the trading symbol “EMMA.”
Anticipated Accounting Treatment
(see page [●])
Although MYnd is the legal acquirer and will issue shares of its common stock in the Merger, Emmaus is considered the acquirer for accounting purposes.
Appraisal Rights and Dissenters’ Rights
If the Merger is completed, Emmaus stockholders who do not vote to approve the Merger will be entitled to appraisal rights under Section 262 of the Delaware General Corporation Law, or DGCL, provided that they comply with the conditions established by Section 262. Holders of MYnd common stock are not entitled to appraisal rights under Delaware law in connection with the Merger.
117
The discussion below is not a complete summary regarding an Emmaus stockholder’s appraisal rights under Delaware law and is qualified in its entirety by reference to the text of the relevant provisions of Delaware law, which is attached as Annex F. Stockholders intending to exercise appraisal rights should carefully review Annex F. Failure to follow precisely any of the statutory procedures set forth in Annex F may result in a termination or waiver of these rights. This summary does not constitute legal or other advice, nor does it constitute a recommendation that Emmaus stockholders exercise or not exercise their appraisal rights under Delaware law.
A record holder of shares of Emmaus capital stock who makes the demand described below with respect to such shares, who continuously is the record holder of such shares through the effective time of the Merger, who otherwise complies with the statutory requirements of Section 262 and who neither votes in favor of the Merger nor consents thereto in writing will be entitled to an appraisal by the Delaware Court of Chancery of the fair value of his or her shares of Emmaus capital stock. All references in this summary of appraisal rights to a “stockholder” or “holders of shares of Emmaus capital stock” are to the record holder or holders of shares of Emmaus capital stock. Except as set forth herein, stockholders of Emmaus will not be entitled to appraisal rights in connection with the Merger.
Under Section 262, where a merger is to be submitted for approval at a meeting of stockholders, such as the Emmaus special meeting, not less than 20 days prior to the meeting a constituent corporation must notify each of the holders of its stock for whom appraisal rights are available that such appraisal rights are available and include in each such notice a copy of Section 262. This joint proxy statement/prospectus shall constitute such notice to the record holders of Emmaus capital stock.
HOLDERS OF SHARES OF EMMAUS CAPITAL STOCK WHO DESIRE TO EXERCISE THEIR APPRAISAL RIGHTS MUST NOT VOTE IN FAVOR OF THE MERGER AND MUST DELIVER A SEPARATE WRITTEN DEMAND FOR APPRAISAL TO EMMAUS BEFORE A VOTE IS TAKEN ON THE MERGER BY THE STOCKHOLDERS OF EMMAUS. A demand for appraisal must be executed by or on behalf of the stockholder of record and must reasonably inform the surviving corporation of the identity of the stockholder of record and that such stockholder intends thereby to demand appraisal of the shares of Emmaus capital stock held by such stockholder. A proxy or vote against the Merger will not by itself constitute such a demand. A failure to vote also will not by itself constitute such a demand. Within ten days after the effective time of the Merger, the surviving corporation (which is anticipated to be Emmaus) must provide notice of the effective time to all stockholders who have complied with Section 262 and who have not voted in favor of or consented to the Merger.
A stockholder who elects to exercise appraisal rights should mail or deliver his or her written demand to: Emmaus Life Sciences, Inc., 21250 Hawthorne Boulevard, Suite 800, Torrance, California 90503, Attention: Secretary. As noted above, all demands must be received by Emmaus before a vote is taken on the Merger by the stockholders of Emmaus.
If an Emmaus stockholder fails to deliver a written demand for appraisal within the time period specified above, the stockholder will be entitled to receive the Merger consideration for its shares of Emmaus capital stock as provided for in the Merger Agreement, but the Emmaus stockholder will have no appraisal rights with respect to its shares of Emmaus capital stock.
To be effective, a demand for appraisal by a holder of shares of Emmaus capital stock must be made by, or in the name of, the registered stockholder, fully and correctly, as the stockholder’s name appears on the stockholder’s stock certificate(s). A person having a beneficial interest in shares of Emmaus capital stock that are held of record in the name of another person, such as a broker, fiduciary, depositary or other nominee, must act promptly to cause the record holder to follow the steps summarized herein properly and in a timely manner to perfect appraisal rights. Beneficial owners who do not also hold the shares of record may not directly make appraisal demands to Emmaus. The beneficial owner must, in these cases, have the registered owner, such as a broker, bank or other custodian, submit the required demand in respect of those shares. If shares are owned of record in a fiduciary capacity, such as by a trustee, guardian or custodian, execution of a demand for appraisal should be made by or for the fiduciary; and if the shares are owned of record by more than one person, as in a joint tenancy or tenancy in common, the demand should be executed by or for all joint owners. An authorized agent, including an authorized agent for two or more joint owners, may execute the demand for appraisal for a stockholder of record; however, the agent must identify the record owner or owners and expressly disclose the fact that, in executing the demand, he or she is acting as agent for the record owner or owners. A record owner, such as a broker, who holds shares as a custodian for others, may exercise the record owner’s right of appraisal with respect to the shares held for one or more beneficial owners, while not exercising this right for other beneficial owners. In that case, the written demand should state the number of shares as to which appraisal is sought. Where no number of shares is expressly mentioned, the demand will be presumed to cover all shares held in the name of the record owner. In addition, the stockholder must continuously hold the shares of record from the date of making the demand through the effective time of the Merger.
118
Within 120 days after the effective date of the Merger, any stockholder who has delivered a demand for appraisal in accordance with Section 262 will, upon written request to the surviving corporation, be entitled to receive a written statement setting forth the aggregate number of shares not voted in favor of the Merger and with respect to which demands for appraisal rights have been received and the aggregate number of holders of these shares. This written statement will be mailed to the requesting stockholder within 10 days after the stockholder’s written request is received by the surviving corporation or within 10 days after expiration of the period for delivery of demands for appraisal, whichever is later. Within 120 days after the effective date of the Merger, either the surviving corporation or any stockholder who has delivered a demand for appraisal in accordance with Section 262 may file a petition in the Delaware Court of Chancery demanding a determination of the fair value of the shares held by all such stockholders who have demanded appraisal and otherwise complied with Section 262. Upon the filing of the petition by a stockholder, service of a copy of the petition must be made upon the surviving corporation. A person who is the beneficial owner of shares of Emmaus capital stock held either in a voting trust or by a nominee on behalf of such person may, in such person’s own name, file a petition or request from the surviving corporation the statement described in the first sentence of this paragraph.
If no petition for appraisal is filed within 120 days after the effective date of the Merger then the right of all stockholders to appraisal will cease and all stockholders will be entitled to receive only the Merger consideration for shares of his or her Emmaus capital stock pursuant to the Merger Agreement. Inasmuch as Emmaus (which is anticipated to be the surviving corporation) has no obligation to file such a petition, and Emmaus has no present intention to do so, any holder of shares of Emmaus capital stock who desires such a petition to be filed is advised to file it on a timely basis.
If a petition for appraisal is duly filed, the surviving corporation will be obligated, within 20 days after receiving service of a copy of the petition, to provide the Office of the Register in Chancery in which the petition was filed with a duly verified list containing the names and addresses of all stockholders who have demanded an appraisal of their shares and with whom agreements as to the value of their shares have not been reached by the surviving corporation. After notice to dissenting stockholders who demanded appraisal of their shares, the Delaware Court of Chancery is empowered to conduct a hearing upon the petition, and to determine those stockholders who have complied with Section 262 and who have become entitled to the appraisal rights provided thereby. The Delaware Court of Chancery may require the stockholders who have demanded appraisal for their shares to submit their stock certificates to the Register in Chancery for notation thereon of the pendency of the appraisal proceedings; and if any stockholder fails to comply with that direction, the Delaware Court of Chancery may dismiss the proceedings as to that stockholder.
After determination of the stockholders entitled to appraisal of their shares, the Delaware Court of Chancery will appraise the “fair value” of the shares owned by those stockholders. This value will be exclusive of any element of value arising from the accomplishment or expectation of the Merger, together with interest, if any, to be paid upon the amount determined to be the fair value. Unless the Delaware Court of Chancery, in its discretion, determines otherwise for good cause shown, interest on an appraisal award will accrue and compound quarterly from the effective date of the Merger through the date the judgment is paid at 5% over the Federal Reserve discount rate (including any surcharge) as established from time to time during the period between the effective time of the Merger and the date of payment of the judgment. At any time before the entry of judgment in the appraisal proceeding, the surviving corporation may pay to each stockholder entitled to appraisal an amount in cash, in which case interest shall accrue thereafter as provided in the preceding sentence only upon the sum of (1) the difference, if any, between the amount so paid and the fair value of shares as determined by the Delaware Court of Chancery and (2) interest theretofore accrued, unless paid at that time.
In determining fair value the Delaware Court of Chancery is required to take into account all relevant factors. In Weinberger v. UOP, Inc., the Delaware Supreme Court discussed the factors that could be considered in determining fair value in an appraisal proceeding, stating that “proof of value by any techniques or methods which are generally considered acceptable in the financial community and otherwise admissible in court” should be considered, and that “fair price obviously requires consideration of all relevant factors involving the value of a company.” The Delaware Supreme Court has stated that in making this determination of fair value the court must consider market value, asset value, dividends, earnings prospects, the nature of the enterprise and any other facts which could be ascertained as of the date of the merger which throw any light on future prospects of the merged corporation.
119
Section 262 provides that fair value is to be “exclusive of any element of value arising from the accomplishment or expectation of the Merger.” In Cede & Co. v. Technicolor, Inc., the Delaware Supreme Court stated that this exclusion is a “narrow exclusion [that] does not encompass known elements of value,” but which rather applies only to the speculative elements of value arising from such accomplishment or expectation. In Weinberger, the Delaware Supreme Court construed Section 262 to mean that “elements of future value, including the nature of the enterprise, which are known or susceptible of proof as of the date of the merger and not the product of speculation, may be considered.”
You should be aware that the fair value of your shares as determined under Section 262 could be more than, the same as, or less than the value that you are entitled to receive under the terms of the Merger Agreement.
When the value is determined, the Delaware Court of Chancery will direct the payment of the value, with interest thereon accrued during the pendency of the proceeding if the Delaware Court of Chancery so determines, to the stockholders entitled to receive the same, upon surrender by the holders of the certificates representing those shares.
Costs of the appraisal proceeding may be imposed upon the surviving corporation and the stockholders participating in the appraisal proceeding by the Delaware Court of Chancery as the Court deems equitable in the circumstances. Costs do not include attorneys’ fees and expert witness expenses, but upon the application of a stockholder, the Delaware Court of Chancery may order all or a portion of the expenses incurred by any stockholder in connection with the appraisal proceeding, including, without limitation, reasonable attorneys’ fees and the fees and expenses of experts, to be charged pro rata against the value of all shares entitled to appraisal. In the absence of such a determination of assessment, each party bears its own expenses. Any stockholder who had demanded appraisal rights will not, after the effective time of the Merger, be entitled to vote shares subject to that demand for any purpose or to receive payments of dividends or any other distribution with respect to those shares, other than with respect to payment as of a record date prior to the effective time of the Merger.
At any time within 60 days after the effective time of the Merger, any stockholder who has demanded appraisal and who has not commenced an appraisal proceeding or joined that proceeding as a named party will have the right to withdraw such stockholder’s demand for appraisal and to accept the terms offered in the Merger. After this period, the stockholder may withdraw such stockholder’s demand for appraisal only with the consent of the surviving corporation. Any stockholder may withdraw such stockholder’s demand for appraisal by delivering to the surviving corporation a written withdrawal of his or her demand for appraisal and acceptance of the Merger consideration, except (i) that any such attempt to withdraw made more than 60 days after the effective time of the Merger will require written approval of the surviving corporation and (ii) that no appraisal proceeding in the Delaware Court of Chancery shall be dismissed as to any stockholder without the approval of the Delaware Court of Chancery and such approval may be conditioned upon such terms as the Delaware Court of Chancery deems just. However, the preceding sentence will not affect the right of any stockholder who has not commenced an appraisal proceeding or joined the proceeding as a named party to withdraw such stockholder’s demand for appraisal and to accept the terms offered upon the Merger within 60 days after the effective time of the Merger.
Failure to follow the steps required by Section 262 for perfecting appraisal rights may result in the loss of appraisal rights. In view of the complexity of Section 262, stockholders who may wish to dissent from the Merger and pursue appraisal rights should consult their legal advisors.
120
The following is a summary of the material terms of the Merger Agreement, as amended by amendment no. 1. A copy of the Merger Agreement is attached as Annex A to this joint proxy statement/prospectus and is incorporated by reference into this joint proxy statement/prospectus. The Merger Agreement has been attached to this joint proxy statement/prospectus to provide you with information regarding its terms. It is not intended to provide any other factual information about MYnd, Emmaus or Merger Sub. The following description does not purport to be complete and is qualified in its entirety by reference to the Merger Agreement. You should refer to the full text of the Merger Agreement for details of the Merger and the terms and conditions of the Merger Agreement.
The Merger Agreement contains representations and warranties that MYnd and Merger Sub, on the one hand, and Emmaus, on the other hand, have made to one another as of specific dates. These representations and warranties have been made for the benefit of the other parties to the Merger Agreement and may be intended not as statements of fact but rather as a way of allocating the risk to one of the parties if those statements prove to be incorrect. In addition, the assertions embodied in the representations and warranties are qualified by information in confidential disclosure schedules exchanged by the parties in connection with signing the Merger Agreement. While MYnd and Emmaus do not believe that these disclosure schedules contain information required to be publicly disclosed under the applicable securities laws, other than information that has already been so disclosed, the disclosure schedules do contain information that modifies, qualifies and creates exceptions to the representations and warranties set forth in the attached Merger Agreement. Accordingly, you should not rely on the representations and warranties as current characterizations of factual information about MYnd or Emmaus, because they were made as of specific dates, may be intended merely as a risk allocation mechanism between MYnd and Merger Sub, and Emmaus and are modified by the disclosure schedules.
Under the Merger Agreement, Merger Sub, a wholly owned subsidiary of MYnd formed by MYnd in connection with the Merger, will merge with and into Emmaus, with Emmaus surviving as a wholly owned subsidiary of MYnd. Immediately prior to the effective time of the Merger, each share of MYnd preferred stock issued and outstanding immediately prior to the effective time of the Merger will be converted into one share of MYnd common stock.
At the effective time of the Merger, upon the terms and subject to the conditions set forth in the Merger Agreement:
| ● | each share of Emmaus common stock issued and outstanding immediately prior to the effective time of the Merger, including shares issued prior to the Merger upon conversion of Emmaus convertible promissory notes or other indebtedness, will be converted into and represent the right to receive a number of shares of MYnd common stock equal to the Exchange Ratio, as described below; and |
| ● | each share of MYnd preferred stock issued and outstanding immediately prior to the effective time of the Merger will be converted into one share of MYnd common stock. |
Immediately after the Merger, (a) MYnd securityholders (including holders of MYnd common stock and holders of options and warrants to purchase shares of MYnd common stock) are expected to own 5.9% of the combined company on a fully-diluted basis and (b) Emmaus securityholders (including holders of Emmaus common stock, holders of options and warrants to purchase shares of Emmaus common stock and holders of convertible promissory notes and other indebtedness convertible into Emmaus common stock) are expected to own 94.1% of the combined company.
There will be no adjustment to the total number of shares of MYnd common stock that Emmaus stockholders will be entitled to receive for changes in the market price of MYnd common stock.
In connection with the Merger Agreement, MYnd has agreed to either transfer certain agreements to Telemynd in connection with the Spin-Off or to terminate these agreements prior to the effective time of the Merger.
121
At the effective time of the Merger, each outstanding share of Emmaus common stock, including shares issued upon conversion of Emmaus convertible promissory notes or other indebtedness, will be converted into the right to receive a number of shares of MYnd common stock referred to in this joint proxy statement/prospectus as the Exchange Ratio. It is currently anticipated that, based upon the current capitalization of MYnd and Emmaus, the Exchange Ratio will be approximately seven shares of MYnd common stock for each share of Emmaus common stock, without giving effect to the Reverse Stock Split. MYnd will assume each outstanding and unexercised Emmaus options, warrants (if permitted by the terms of the warrant) and any other convertible securities (if permitted by the terms of the convertible security), which will be converted into MYnd options, warrants or convertible securities, as applicable. Shares of Emmaus common stock held by stockholders who have exercised and perfected appraisal or dissenters’ rights will be treated as described in the section entitled “The Merger—Appraisal Rights and Dissenters’ Rights” beginning on page 118 of this joint proxy statement/prospectus.
MYnd stockholders will continue to own and hold their existing shares of MYnd common stock and MYnd options and warrants and will remain outstanding in accordance with their terms. Immediately prior to the effective time of the Merger, each share of outstanding MYnd preferred stock will be converted into one share of MYnd common stock in accordance with the MYnd certificate of incorporation.
Immediately after the Merger, (i) MYnd securityholders (including holders of MYnd common stock and holders of options and warrants to purchase shares of MYnd common stock) are expected to own 5.9% of the combined company and (ii) Emmaus securityholders (including holders of Emmaus common stock, holders of options and warrants to purchase shares of Emmaus common stock and holders of convertible promissory notes and other indebtedness convertible into Emmaus common stock) are expected to own 94.1% of the combined company, in each case on a fully-diluted basis.
Procedures for Exchanging Emmaus Stock Certificates
The Merger Agreement provides that, at the closing of the Merger, MYnd will deposit with a mutually agreed upon exchange agent certificates or book-entry shares representing shares of MYnd common stock issuable to the Emmaus stockholders.
The Merger Agreement provides that, as soon as reasonably practicable after the effective time of the Merger, the exchange agent will mail to each record holder of Emmaus capital stock a letter of transmittal and instructions for surrendering and exchanging the record holder’s Emmaus stock certificates for shares of MYnd common stock. Upon surrender of an Emmaus stock certificate for exchange to the Exchange Agent, together with a duly signed letter of transmittal and such other documents as the exchange agent or MYnd may reasonably require, the Emmaus stock certificate surrendered will be cancelled and the holder of the Emmaus stock certificate will be entitled to receive the following:
| ● | certificates or book-entry shares representing that number of whole shares of MYnd common stock that such holder has the right to receive pursuant to the provisions of the Merger Agreement; and |
| ● | cash in lieu of any fractional share of MYnd common stock. |
At the effective time of the Merger, all shares of Emmaus capital stock outstanding immediately prior to the effective time of the Merger will be cancelled and all holders of Emmaus capital stock that was outstanding immediately prior to the effective time of the Merger will cease to have any rights as stockholders of Emmaus. In addition, the stock transfer books of Emmaus will be closed with respect to all shares of Emmaus capital stock outstanding immediately prior to the effective time of the Merger and no transfer of any shares of Emmaus capital stock will be made after the effective time of the Merger on such stock transfer books.
If any Emmaus stock certificate has been lost, stolen or destroyed, the exchange agent will, as a condition to the delivery of any shares of MYnd common stock, require the owner of such lost, stolen or destroyed certificate to provide an appropriate affidavit with respect to a lost, stolen or destroyed certificate.
From and after the effective time of the Merger, until it is surrendered, each certificate that previously evidenced Emmaus capital stock will be deemed to represent only the right to receive shares of MYnd common stock and cash in lieu of any fractional share of MYnd common stock. No dividends or distributions declared or made with respect to MYnd common stock with a record date after the effective time of the Merger will be paid to the holder of any unsurrendered certificate representing shares of Emmaus capital stock with respect to the shares of MYnd common stock that such holder has the right to receive in the Merger until such holder surrenders such certificate for exchange to the Exchange Agent.
122
No fractional shares of MYnd common stock shall be issued in connection with the Merger, and no certificates or scrip for any such fractional shares shall be issued. Any holder of Emmaus common stock who would otherwise be entitled to receive a fraction of a share of MYnd common stock (after aggregating all fractional shares of MYnd common stock issuable to such holder) shall, in lieu of such fraction of a share, and upon surrender by such holder of a letter of transmittal and accompanying documents as required by the Merger Agreement, be paid in cash the dollar amount (rounded to the nearest whole cent), without interest, determined by multiplying such fraction by the average closing price of a share of MYnd common stock on NASDAQ for the ten (10) consecutive trading days ending with the second (2nd) to last trading day immediately prior to closing of the Merger.
Treatment of Emmaus Options (see page [●])
As of the date of this joint proxy statement/prospectus, 6,642,000 shares of Emmaus common stock were issuable upon the exercise of outstanding options at a weighted-average exercise price of $4.40 per share. At the effective time of the Merger, each option to purchase common stock of Emmaus, or an Emmaus Option, will become an option to purchase shares of common stock of MYnd. The number of shares of MYnd common stock subject to each Emmaus Option will be determined by multiplying (i) the number of shares of Emmaus common stock that were subject to the underlying Emmaus Option by (ii) the Exchange Ratio, with the resulting number rounded down to the nearest whole number of shares of MYnd common stock. The per share exercise price for the MYnd common stock subject to each Emmaus Option will be determined by dividing (a) the per share exercise price of the underlying Emmaus Option by (b) the Exchange Ratio, with the resulting number rounded up to the nearest whole cent.
Any restrictions on the exercise of Emmaus Options will continue in full force and effect following the conversion and the term, exercisability, vesting schedules, status as an “incentive stock option” under Section 422 of the Code, if applicable, and other provisions of the Emmaus Options will generally remain unchanged, provided, that any Emmaus Options assumed by MYnd may be subject to adjustment to reflect changes in MYnd’s capitalization after the effective time of the Merger and the MYnd board of directors or any committee thereof will succeed to the authority of the Emmaus board of directors with respect to each Emmaus Option.
Treatment of Emmaus Warrants (see page [●])
As of the date of this joint proxy statement/prospectus, 1,340,000 shares of Emmaus common stock were issuable upon the exercise of Emmaus Warrants exercisable at an exercise price of $11.30 per share. Of such Emmaus Warrants, Emmaus Warrant to purchase up to 1,220,000 shares of Emmaus common stock will be amended and restated immediately prior to the effective time of the Merger to provide that they will be exercisable to purchase up to 1,464,000 shares of Emmaus common stock at an exercise price of $10 per share. In addition, as of the date of this joint proxy statement/prospectus, 2,045,431 shares of Emmaus common stock were issuable upon the exercise of other Emmaus Warrants at a weighted-average exercise price of $6.25 per share. At the effective time of the Merger, all Emmaus Warrants will become exercisable for shares of common stock of MYnd.
With respect to each Emmaus Warrant, (i) the number of shares of MYnd common stock subject to such Emmaus Warrant will be determined by multiplying (a) the number of shares of Emmaus common stock that were subject to such Emmaus Warrant by (b) the Exchange Ratio, with the resulting number rounded down to the nearest whole number of shares of MYnd common stock, and (ii) the per share exercise price for the MYnd common stock subject to such Emmaus Warrant will be determined by dividing (a) the per share exercise price for Emmaus common stock subject to such Emmaus Warrant by (b) the Exchange Ratio, with the resulting number rounded up to the nearest whole cent.
123
Treatment of Emmaus Convertible Notes (see page [●])
As of the date of this joint proxy statement/prospectus, Emmaus had outstanding approximately $34.5 million principal amount of Emmaus Convertible Notes convertible into shares of Emmaus common stock at conversion prices ranging from $3.05 to $10.00 per share. None of the outstanding Emmaus Convertible Notes originally provided for their conversion into Emmaus common stock or assumption by MYnd in connection with the Merger. In order to facilitate the Merger and to satisfy its covenants in the Merger Agreement, Emmaus entered into negotiations with the holders of Emmaus Convertible Notes to amend the terms thereof to provide that they will be converted automatically into shares of Emmaus common stock at their respective conversion prices immediately prior to the effective time of the Merger, which shares would be outstanding immediately prior to the Merger and would be converted into shares of MYnd common stock in the same manner as other outstanding shares of Emmaus common stock based the Exchange Ratio. As of the date of this joint proxy statement/prospectus the holders of an aggregate of approximately $29.5 million, or approximately 86%, principal amount of Emmaus Convertible Notes, have agreed to such amendments. In connection with such amendments, the conversion price of up to approximately $15.1 million principal amount of Emmaus Convertible Notes, including Emmaus Convertible Notes held by an Emmaus director and his affiliate, has been or is expected to be reduced from $10 a share to $8.25 a share. The Merger Agreement provides that, among other conditions to MYnd’s obligations to complete the Merger, at least 90% of the Emmaus Convertible Notes become converted notes. Accordingly, Emmaus intends to continue negotiations to similarly amend the one remaining outstanding Emmaus Convertible Note. However, there is no guarantee that it will be able to do so on the same or similar terms, or at all. See the section entitled “Index To Unaudited Pro Forma Condensed Financial Statements” in this joint proxy statement/prospectus for pro forma financial information of the combined company which reflects Emmaus’ expectations regarding the amount and terms of the Emmaus Convertible Notes to be converted in connection with the Merger.
Treatment of Emmaus Debentures (see page [●])
As of the date of this joint proxy statement/prospectus, Emmaus had outstanding $12.2 million principal amount of debentures, or Emmaus Debentures. Emmaus and the holders of the Emmaus Debentures have entered into a securities amendment agreement pursuant to which the Emmaus Debentures will be amended and restated immediately prior to the effective time of the Merger to provide, among other things, that, the principal amount thereof will be convertible at the option of the holders into shares of Emmaus common stock at an initial conversion price of $10 per share, subject to adjustment as provided in the amended and restated Emmaus Debentures. At the effective time of the Merger, the Emmaus Debentures will become convertible into shares of common stock of MYnd.
With respect to each Emmaus Convertible Note and Emmaus Debenture, (i) the number of shares of MYnd common stock subject to such Emmaus Convertible Note and Emmaus Debenture will be determined by multiplying (a) the number of shares of Emmaus common stock that were subject to such Emmaus Convertible Note and Emmaus Debenture by (b) the Exchange Ratio, with the resulting number rounded down to the nearest whole number of shares of MYnd common stock, and (ii) the per share conversion price for the MYnd common stock subject to such Emmaus Convertible Note and Emmaus Debenture will be determined by dividing (a) the per share conversion price for Emmaus common stock subject to such Emmaus Convertible Note and Debenture by (b) the Exchange Ratio, with the resulting number rounded up to the nearest whole cent.
Directors and Executive Officers of MYnd Following the Merger
Pursuant to the Merger Agreement, the MYnd board of directors immediately after the effective time of the Merger will consist of six members designated by Emmaus, or the Emmaus Appointees, and one director designated by MYnd. Each current director of MYnd that will no longer be a member of the MYnd board of directors after the effective time of the Merger will resign effective as of the effective time of the Merger. From and after the effective time of the Merger, the MYnd board of directors will maintain an independent audit committee, and it is anticipated that the Emmaus Appointees, together with the director designated by MYnd, will allow the MYnd board of directors to comply with the requisite NASDAQ independence requirements and all applicable securities laws. Each new director of MYnd that was not a member of the MYnd board of directors immediately before the effective time of the Merger will enter into an indemnification agreement with MYnd in connection with their appointment. It is anticipated that the MYnd board of directors will include Robin L. Smith, appointed by MYnd. Effective as of the effective time of the Merger, Emmaus will direct the MYnd board of directors to appoint each of Emmaus’ incumbent executive officers as executive officers of MYnd.
124
Amendment to the Certificate of Incorporation of MYnd
Stockholders of record of MYnd common stock on the record date for the MYnd special meeting will also be asked to approve the separate amendments to the certificate of incorporation of MYnd to (i) authorize the MYnd board of directors to effect the possible Reverse Stock and (ii) change the name of the corporation from “MYnd, Inc.” to “Emmaus Life Sciences, Inc.” in connection with the Merger, each of which amendment requires the affirmative vote of holders of a majority of the outstanding common stock on the record date for the MYnd special meeting.
Conditions to the Completion of the Merger
Each party’s obligation to effect the Merger is subject to the satisfaction or waiver by each of the parties, at or prior to the effective time of the Merger, of various conditions, which include the following:
| ● | the registration statement on Form S-4, of which this joint proxy statement/prospectus is a part, must have been declared effective by the SEC in accordance with the Securities Act and must not be subject to any stop order or proceedings seeking a stop order; |
| ● | there must not have been any temporary restraining order, preliminary or permanent injunction or other order issued by any court of competent jurisdiction or other legal restraint or prohibition preventing the consummation of the Merger that is in effect, and there must not be any proceeding brought by any administrative agency or commission or other governmental body or instrumentality, domestic or foreign, seeking any temporary restraining order, preliminary or permanent injunction or other order preventing the consummation of the Merger that is pending, and there must not have been any action taken, or any statute, rule, regulation, or order enacted, entered, enforced or deemed applicable to the Merger, which makes the consummation of the Merger illegal; |
| ● | the holders of a majority in voting power of the outstanding shares of all Emmaus capital stock must have adopted the Merger Agreement and approved the Merger, and the holders of a majority of the out-standing shares of MYnd capital stock must have approved the issuance of MYnd common stock in the Merger and the certificate of incorporation of MYnd, including for purposes of effectuating the Reverse Stock Split; |
| ● | the shares of MYnd common stock to be issued in the Merger must have been approved for listing on The NASDAQ Capital Market (subject to official notice of issuance), or the NASDAQ Approval Condition; |
| ● | the shares represented by stockholders of Emmaus who have validly exercised appraisal rights or dissenters’ rights shall not exceed 20% of the outstanding voting shares of Emmaus, or the Appraisal Rights Condition; and |
| ● | the Spin-Off shall have occurred or shall be expected to occur simultaneously with or after the Merger and MYnd shall have reasonably determined in good faith that the Spin-Off will not result in any material tax liability. |
In addition, the obligation of MYnd to effect the Merger is also subject to the satisfaction or waiver of certain conditions, including the following:
| ● | the (i) representations and warranties of Emmaus in the Merger Agreement with respect to its capital structure and authorization must be true and correct in all material respects and as of the closing date of the Merger, with the same force and effect as if made on and as of the closing date of the Merger, except for those representations and warranties which address matters only as of a particular date (which must be true and correct in all material respects as of such date) and (ii) representations and warranties of Emmaus in the Merger Agreement, other than those with respect to its capital structure, non-contravention and authorization, must be true and correct in all respects on and as of the closing date of the Merger, with the same force and effect as if made on and as of the closing date of the Merger, expect for those representations and warranties which address matters only as of a particular date (which must be true and correct in all material respects as of such date), or contain inaccuracies that, individually or in the aggregate, do not constitute and would not reasonably be expected to constitute a material adverse effect, provided that for purposes of clause (ii), all “material adverse effect” qualifications and other materiality qualifications limiting the scope of the representations and warranties of Emmaus in the Merger Agreement will be disregarded. The Merger and the transactions contemplated in connection with the Merger must not constitute a breach of Emmaus’ representations and warranties with respect to its capital structure; |
125
| ● | Emmaus must have performed or complied with in all material respects its agreements and covenants required by the Merger Agreement to be performed or complied with by it on or prior to the effective time of the Merger; |
| ● | since the date of the Merger Agreement, there must not have been any change, occurrence or circumstance in the business, results of operations or financial condition of Emmaus or any subsidiary of Emmaus that (i) prevents Emmaus from consummating the Merger or (ii) had, individually or in the aggregate, a material adverse effect on the business, financial condition, operations or result of operations of Emmaus or its subsidiaries taken as a whole that is continuing, provided, however, that in no event will any of the following, alone or in combination, be deemed to constitute, nor will any of the following be taken into account in determining whether there has occurred a material adverse effect on Emmaus: |
| o | any change in general economic or political conditions or the securities market in general after January 4, 2019 (whether as a result of acts of terrorism, war (whether or not declared), armed conflicts or otherwise) to the extent they do not disproportionately affect Emmaus, taken as a whole; |
| o | any change in or affecting the industries in which either Emmaus operates to the extent they do not disproportionately affect Emmaus, taken as a whole; |
| o | any change, effect or circumstance resulting from the announcement or pendency of the Merger Agreement or the consummation of the Merger or compliance with the terms of the Merger Agreement; |
| o | the taking of any action, or the failure to take any action, by Emmaus required to comply with the terms of the Merger Agreement; |
| o | any changes in applicable laws or accounting rules after January 4, 2019. |
| o | continued losses from operations or increases in liabilities or decreases in cash balances of Emmaus not materially inconsistent with kind and degree of losses from operations and increases in liabilities and decreases in cash balances which have occurred between December 31, 2017 and January 4, 2019; |
| o | any failure by Emmaus to meet any projections, forecasts or revenue or earnings projections |
| o | any natural or man-made disaster or acts of God or acts of war or terrorism; and |
| o | any reductions, either voluntary or involuntary, in Emmaus’ workforce. |
| ● | (i) Emmaus must have sufficient cash on hand and working capital to operate its business for at least 12 months following the Merger and (ii) at least 90% of the Emmaus Convertible Notes shall have become converted notes; |
| ● | the Lock-Up Agreements must be in full force and effect immediately following the completion of the Merger (see section entitled “Agreements Related to the Merger—Lock-Up Agreements” beginning on page 12 of this joint proxy statement/prospectus); |
| ● | Emmaus must have delivered a certificate setting forth the allocation of the Emmaus Merger Shares to its securityholders; and |
| ● | Emmaus must have delivered to MYnd certain other officer certificates and deliverables. |
In addition, the obligation of Emmaus to complete the Merger is further subject to the satisfaction or waiver of certain conditions, including the following:
| ● | the (i) representations and warranties of MYnd and Merger Sub in the Merger Agreement with respect to their capital structure, non-contravention and authorization must be true and correct in all material respects on and as of the closing date of the Merger, with the same force and effect as if made on and as of the closing date of the Merger, except for those representations and warranties which address matters only as of a particular date (which must be true and correct in all material respects as of such date) and (ii) representations and warranties of MYnd and Merger Sub in the Merger Agreement, other than those with respect to their capital structure and authorization, must be true and correct in all respects on and as of the closing date of the Merger, with the same force and effect as if made on and as of the closing date of the Merger, expect for those representations and warranties which address matters only as of a particular date (which must be true and correct in all material respects as of such date), or contain inaccuracies that, individually or in the aggregate, do not constitute and would not reasonably be expected to constitute a material adverse effect, provided that for purposes of clause (ii), all “material adverse effect” qualifications and other materiality qualifications limiting the scope of the representations and warranties of MYnd and Merger Sub in the Merger Agreement will be disregarded; |
126
| ● | MYnd and Merger Sub must have performed or complied with in all material respects its agreements and covenants required by the Merger Agreement to be performed or complied with by it on or prior to the effective time of the Merger; |
| ● | since the date of the Merger Agreement, there must not have been any change, occurrence or circumstance in the business, results of operations or financial condition of MYnd or any subsidiary of MYnd that (i) prevents MYnd or Merger Sub from consummating the Merger or (ii) had, individually or in the aggregate, a material adverse effect on the business, financial condition, operations or result of operations of MYnd or its subsidiaries taken as a whole, that is continuing, provided, however, that in no event will any of the following, alone or in combination, be deemed to constitute, nor will any of the following be taken into account in determining whether there has occurred a material adverse effect on MYnd: |
| o | any change in general economic or political conditions or the securities market in general after January 4, 2019 (whether as a result of acts of terrorism, war (whether or not declared), armed conflicts or otherwise) to the extent they do not disproportionately affect MYnd, taken as a whole; |
| o | any change in or affecting the industries in which either MYnd operates to the extent they do not disproportionately affect Emmaus, taken as a whole; |
| o | any change, effect or circumstance resulting from the announcement or pendency of the Merger Agreement or the consummation of the Merger or compliance with the terms of the Merger Agreement; |
| o | the taking of any action, or the failure to take any action, by MYnd required to comply with the terms of the Merger Agreement; |
| o | any changes in applicable laws or accounting rules after January 4, 2019; |
| o | any failure by MYnd to meet any projections, forecasts or revenue or earnings projections |
| o | any natural or man-made disaster or acts of God or acts of war or terrorism; and |
| o | any reductions, either voluntary or involuntary, in MYnd’s workforce |
| ● | Emmaus must have received written resignations from each resigning member of the MYnd board of directors and each of its subsidiaries, with such resignation to be effective as of the effective time of the Merger; |
| ● | each of the Emmaus appointees has been elected to the MYnd board of directors; |
| ● | certain MYnd agreements must have been transferred to Telemynd or be terminated on or prior to the date of the Merger; and |
| ● | shares of MYnd preferred stock must have been converted into common stock. |
Representations and Warranties
The Merger Agreement contains customary representations and warranties of MYnd and Emmaus for a transaction of this type relating to, among other things:
The representations and warranties are, in many respects, qualified by materiality and knowledge, and will not survive the Merger, but their accuracy forms the basis of one of the conditions to the obligations of MYnd and Emmaus to complete the Merger.
127
Each of MYnd and Emmaus agreed that, except as described below, MYnd and Emmaus will not, and will not authorize or permit any of their respective subsidiaries or any of their respective controlled affiliates, officers, directors, employees, partners, attorneys, accountants, advisors, agents or representatives of such parties or of any such party’s subsidiaries or other controlled affiliates to, directly or indirectly:
| ● | solicit, initiate, knowingly encourage, induce or facilitate the making, submission or announcement of any “acquisition proposal,” as defined below, or take any action that would reasonably be expected to lead to an acquisition proposal; |
| ● | furnish any nonpublic information regarding it to any person in connection with or in response to an acquisition proposal or an inquiry or indication of interest that could lead to an acquisition proposal; |
| ● | engage in discussions or negotiations with any person with respect to any acquisition proposal; |
| ● | approve, endorse or recommend an acquisition proposal; or |
| ● | enter into any letter of intent or similar document or any agreement contemplating or otherwise relating to an acquisition transaction. |
An “acquisition proposal” means any offer, proposal or indication of interest contemplating or which would reasonably be interpreted to lead to the contemplation of an “acquisition transaction,” as defined below.
An “acquisition transaction” means the following:
| ● | any merger, consolidation, amalgamation, share exchange, business combination, issuance of securities, acquisition of securities, tender offer, exchange offer or other similar transaction (i) in which Emmaus (or its subsidiaries) or MYnd (or its subsidiaries) is a constituent corporation, (ii) in which a person or “group” (as defined in the Securities Exchange Act of 1934, as amended, and the rules promulgated thereunder) of persons directly or indirectly acquires beneficial or record ownership of securities representing more than 15% of the outstanding securities of any class of voting securities of Emmaus (or its subsidiaries) or MYnd (or its subsidiaries), or (iii) in which Emmaus (or its subsidiaries) or MYnd (or its subsidiaries) issues securities representing more than 15% of the outstanding securities of any class of voting securities of any such entity (other than as contemplated under the Merger Agreement); |
| ● | any sale, lease, exchange, transfer, license, acquisition or disposition of any business or businesses or assets that constitute or account for 15% or more of the consolidated net revenues, net income or assets of Emmaus (or its subsidiaries) or MYnd (or its subsidiaries); or |
| ● | any liquidation or dissolution of any of Emmaus (or its subsidiaries) or MYnd (or its subsidiaries). |
However, before obtaining the applicable MYnd or Emmaus stockholder approvals required to adopt the Merger Agreement, each party may furnish nonpublic information regarding such party and its respective subsidiaries to, may enter into discussions with, or facilitate or cooperate with the submission of an acquisition proposal made by any person in response to any such acquisition proposal, that after consultation with a financial advisor and outside legal counsel, such party’s board of directors determines in good faith is, or would reasonably be expected to result in a “superior offer,” as defined below, (and is not withdrawn) if:
| ● | such acquisition proposal did not result from a breach of the no solicitation provisions of the Merger Agreement described above; |
| ● | such party’s board of directors concludes in good faith, after having taken into account the advice of its outside legal counsel, that such action is required in order for the board of directors to comply with its fiduciary duty obligations to its stockholders under applicable legal requirements; |
| ● | at least two business days prior to furnishing any information or entering into discussions with a third party, such party must (i) give the other party written notice of the identity of the third party, the terms and conditions of any proposals or offers (including, if applicable, copies of any written requests, proposals or offers, including proposed agreements) made thereby and of that party’s intention to furnish information to, or enter into discussions with such third party and (ii) such party must receive from the third party an executed confidentiality agreement on terms no less favorable to such party than those in the confidentiality agreement between MYnd and Emmaus, with such new confidentiality agreement to contain customary limitations on the use and disclosure of all nonpublic written and oral information furnished to such third party on or behalf of such party (as well as customary “standstill” provisions if MYnd is the party entering into a new confidentiality agreement with the third party); and |
128
| ● | substantially contemporaneous with furnishing of any information to a third party, such party furnishes the same information to the other party to the extent not previously furnished. Notwithstanding the non-solicitation provisions of the Merger Agreement described above, Emmaus is permitted to take, or refrain from taking, any action described above to the extent any such action is taken in connection with or view a view towards consummating a post-closing financing or refinancing, and no such action or omission will be deemed a violation of the non-solicitation provisions of the Merger Agreement. |
A “superior offer” means an unsolicited, bona fide written offer made by a third party to purchase all of the outstanding shares of capital stock of either MYnd or Emmaus, as applicable, on terms that the Emmaus board of directors or MYnd board of directors, as applicable, determines, in its reasonable judgment, based upon a written opinion of an independent financial advisor of nationally recognized reputation, to be more favorable to its stockholders from a financial point of view than the terms of the Merger; provided, however, that any such offer will not be deemed to be a “superior offer” if any financing required to consummate the transaction contemplated by such offer is not committed and is not reasonably capable of being obtained by such third party.
The Merger Agreement also provides that each party will promptly (and in no event later than 24 hours after receipt of any acquisition proposal, any inquiry or indication of interest that could lead to an acquisition proposal or any request for nonpublic information) advise the other orally and in writing of any acquisition proposal, any inquiry or indication of interest that could lead to an acquisition proposal or any request for nonpublic information relating to such party or its subsidiaries (including the identity of the third party making or submitting such acquisition proposal, inquiry, indication of interest or request, the material terms thereof and copies of any written material submitted therewith) that is made or submitted by any third party between the date of the Merger Agreement and the consummation of the Merger. Each party will keep the other informed on a prompt basis in all material respects with respect to the status of any such acquisition proposal, inquiry, indication of interest or request and any modification or proposed modification thereto and shall deliver copies of any written material submitted therewith.
The Merger Agreement provides that each party must have immediately ceased and caused to be terminated any discussions that existed at the date the Merger Agreement was signed with any third party that related to any acquisition proposal and such party must have promptly requested from each third party that executed a confidentiality agreement in connection with its consideration of making an acquisition proposal prior to the date of the Merger Agreement to return or destroy all confidential information concerning Emmaus or MYnd, as applicable, or any of their subsidiaries, as applicable, and promptly terminated all physical and electronic data access previously granted to such third party.
MYnd is obligated under the Merger Agreement to take all action necessary under applicable legal requirements to call, give notice of and hold a special meeting of its stockholders to vote on MYnd Stockholder Proposals. If on the date on which the MYnd special meeting is scheduled, MYnd does not receive proxies sufficient to obtain the requisite stockholder approval, MYnd may postpone or adjourn, or make one or more successive postponements or adjournments of, the MYnd special meeting as long as the date of the MYnd special meeting is not postponed or adjourned more than an aggregate of 30 calendar days in connection with any postponements or adjournments in reliance on the preceding sentence.
Emmaus is obligated under the Merger Agreement to take all action necessary under applicable legal requirements to call, give notice of and hold a special meeting of its stockholders to vote on Emmaus Stockholder Proposals. If on the date on which the Emmaus special meeting is scheduled, Emmaus does not receive proxies sufficient to obtain the requisite stockholder approval, Emmaus may postpone or adjourn, or make one or more successive postponements or adjournments of, the Emmaus special meeting as long as the date of the Emmaus special meeting is not postponed or adjourned more than an aggregate of 30 calendar days in connection with any postponements or adjournments in reliance on the preceding sentence.
129
Covenants; Conduct of Business Pending the Merger
Emmaus agreed that to carry on its business in accordance with good commercial practice and to carry on its business in the usual, regular and ordinary course, and in substantially the same manner as conducted previously. Emmaus also agreed that, subject to certain limited exceptions, without the written consent of MYnd, it will not, and will not permit its subsidiaries to do (or agree to do) any of the following during the period prior to closing of the Merger:
| ● | declare, accrue, set aside or pay any dividend or make any other distribution in respect of any shares of capital stock; or repurchase, redeem or otherwise reacquire any shares of capital stock or other securities (except for shares of Emmaus common stock from terminated employees of Emmaus) other than as provided in the Merger Agreement; |
| ● | except as provided in the Merger Agreement, sell, issue or grant, or authorize the issuance of (i) any capital stock or other security (except for Emmaus common stock issued upon the valid exercise of outstanding options, warrants or convertible notes), (ii) any option, warrant or right to acquire any capital stock or any other security, or (iii) any instrument convertible into or exchangeable for any capital stock or other security; |
| ● | amend the certificate of incorporation, bylaws or other charter or organizational documents of Emmaus or any subsidiary of Emmaus, or effect or be a party to any merger, consolidation, share exchange, business combination, recapitalization, reclassification of shares, stock split, reverse stock split or similar transaction other than as provided in the Merger Agreement; |
| ● | form any subsidiary or acquire any equity interest or other interest in any other person; |
| ● | lend money to any person; incur or guarantee any indebtedness for borrowed money; issue or sell any debt securities or options, warrants, calls or other rights to acquire any debt securities; guarantee any debt securities of others; |
| ● | or make any capital expenditure or commitment in excess of $250,000 other than in the ordinary course of business; |
| ● | other than in the ordinary course of business, (A) adopt, establish or enter into any MYnd employee program, (B) cause or permit any MYnd employee program to be amended other than as required by law or Section 409A of the Internal Revenue Code, subject to prior review and approval (with such approval not to be unreasonably withheld) by Emmaus, (C) hire any new employee or consultant, (D) grant, make or pay (or agree to pay) any severance, retention, change in control, bonus or profit-sharing or similar payment to, or increase the amount of the wages, salary, commissions, fringe benefits or other compensation or remuneration payable to, any of its directors, employees or consultants, or (E) accelerate the time of payment or vesting of any benefits or compensation to any of its directors, employees or consultants; |
| ● | acquire any material asset nor sell, lease or otherwise irrevocably dispose of any of its material assets or properties, nor grant any encumbrance with respect to such assets or properties, except in the ordinary course of business; |
| ● | make, change or revoke any material tax election (other than tax elections made in the ordinary course of business); file any material amendment to any tax return; adopt or change any material accounting method in respect of taxes; change any annual tax accounting period; enter into any tax sharing agreement; enter into any closing agreement with respect to any material tax liability; settle or compromise any claim, notice, audit report or assessment in respect of any material tax liability; apply for or enter into any ruling from any taxing authority with respect to taxes; or consent to any extension or waiver of the statute of limitations period applicable to any material tax claim or assessment; |
| ● | enter into, amend or terminate any company material contract, or amend or terminate any material company permit other than in the ordinary course of business; |
| ● | commence a lawsuit other than (A) for routine collection of bills, (B) in such cases as Emmaus in good faith determines that failure to commence such lawsuit would result in the material impairment of a valuable aspect of Emmaus’ and/or any subsidiary of Emmaus’ business, or (C) for a breach of the Merger Agreement; |
| ● | fail to make any material payment with respect to any of Emmaus’ accounts payable or indebtedness in a timely manner in accordance with the terms thereof and consistent with past practices; |
130
| ● | incur any liability not expressly permitted pursuant to the Merger Agreement, other than in the ordinary course of business; or |
| ● | issue any shares of preferred stock or any other security convertible into or exercisable or exchangeable for shares of preferred stock. |
MYnd agreed that to carry on its business in accordance with good commercial practice and to carry on its business in the usual, regular and ordinary course, and in substantially the same manner as conducted previously. MYnd also agreed that, subject to certain limited exceptions, without the written consent of Emmaus, it will not, and will not permit its subsidiaries to do (or agree to do) any of the following during the period prior to closing of the Merger:
| ● | declare, accrue, set aside or pay any dividend or make any other distribution in respect of any shares of capital stock other than as provided in the Merger Agreement; |
| ● | amend the certificate of incorporation, bylaws or other charter or organizational documents of MYnd or any subsidiary of MYnd, or effect or be a party to any merger, consolidation, share exchange, business combination, recapitalization, reclassification of shares, stock split, reverse stock split or similar transaction other than as provided in the Merger Agreement; |
| ● | form any new subsidiary or acquire any equity interest or other interest in any other Person other than as provided in the Merger Agreement; |
| ● | lend money to any person; incur or guarantee any indebtedness for borrowed money; issue or sell any debt securities or options, warrants, calls or other rights to acquire any debt securities; or guarantee any debt securities of others; |
| ● | make any capital expenditure or commitment in excess of $10,000 which would not be assumed in connection with the Spin-Off; |
| ● | other than in the ordinary course of business, (A) adopt, establish or enter into any Emmaus employee program, (B) cause or permit any Emmaus employee program to be amended other than as required by law or Section 409A of the Internal Revenue Code, subject to prior review and approval (with such approval not to be unreasonably withheld) by MYnd, (C) hire any new employee or consultant, (D) grant, make or pay (or agree to pay) any severance, retention, change in control, bonus or profit-sharing or similar payment to, or increase the amount of the wages, salary, commissions, fringe benefits or other compensation or remuneration payable to, any of its directors, employees or consultants, or (E) accelerate the time of payment or vesting of any benefits or compensation to any of its directors, employees or consultants; |
| ● | acquire any material asset nor sell, lease or otherwise irrevocably dispose of any of its material assets or properties, nor grant any encumbrance with respect to such assets or properties, except in the ordinary course of business other than as provided in the Merger Agreement; |
| ● | make, change or revoke any material tax election (other than tax elections made in the ordinary course of business); file any material amendment to any tax return; adopt or change any material accounting method in respect of taxes; change any annual tax accounting period; enter into any tax sharing agreement; enter into any closing agreement with respect to any material tax liability; settle or compromise any claim, notice, audit report or assessment in respect of any material tax liability; apply for or enter into any ruling from any taxing authority with respect to taxes; or consent to any extension or waiver of the statute of limitations period applicable to any material tax claim or assessment; |
| ● | enter into or amend any MYnd material contract which is not to be included in the Spin-Off assets; |
| ● | commence a lawsuit other than (A) for routine collection of bills, (B) in such cases as MYnd in good faith determines that failure to commence such lawsuit would result in the material impairment of a valuable aspect of MYnd’s and/or any subsidiary of MYnd’s business, or (C) for a breach of the Merger Agreement; |
| ● | fail to make any material payment with respect to any of MYnd’s accounts payable or indebtedness in a timely manner in accordance with the terms thereof and consistent with past practices; |
| ● | hire any employees or engage any independent contractors, consultants or other MYnd contingent workers; |
131
| ● | incur any liability not expressly permitted pursuant to the Merger Agreement, other than in the ordinary course of business; or |
| ● | amend or modify the terms of the Amended Separation Agreement (other than any amendment or modification required to address any comment from NASDAQ or the SEC), if such amendment or modification would materially, adversely affect MYnd’s rights thereunder or impose any material liability on MYnd or Emmaus after the closing of the Merger. |
Certain Permitted Transactions
MYnd and Emmaus agreed that MYnd and Emmaus may take certain actions between the signing of the Merger Agreement and the closing of the Merger which may alter the outstanding capital of MYnd or Emmaus or the terms of MYnd and Emmaus warrants, options, convertible notes and debentures. Specifically, the Merger Agreement provides that:
| ● | MYnd will take the actions set forth in the Amended Separation Agreement, which provides that prior to the closing of the Merger: |
| o | up to all of the assets (including the capital stock of each of MYnd’s subsidiaries and MYnd contracts), but excluding certain retained liabilities, may be transferred from MYnd to Telemynd; |
| o | Telemynd shall be owned by the stockholders of MYnd prior to the closing of the Merger; |
| o | MYnd will file with the SEC all documents necessary to consummate the Spin-Off in accordance; and |
| o | MYnd and Emmaus shall agree in good faith as to which assets of MYnd shall be retained by MYnd in order to cause Telemynd to be solvent prior to and immediately after the Spin-Off. |
| ● | MYnd may sell, lease or dispose of any of its assets or properties in exchange for cash or other consideration, which cash or other consideration may be included in the assets to be included in the Spin-Off (provided that (i) such sale does not impose on MYnd or any subsidiary of MYnd (other than Telemynd) any ongoing monetary obligations to any third party in excess of $250,000 in the aggregate, (ii) such sale does not impose any non-compete, non-solicitation, exclusivity, rights of first refusal or other similar restraint or covenant on MYnd or any of its subsidiaries (other than Telemynd) or any other impairment on the ability of MYnd or any of its subsidiaries (other than Telemynd) to conduct its or their business following the closing of the Merger and (iii) no such sale shall cause the failure of a condition to the closing of the Merger or otherwise impair or delay the consummation of the transactions contemplated by the Merger Agreement). |
| ● | MYnd may undertake one or more transactions, including one or more tender offers, exchange offers, or similar transactions, which results in the issuance, modification, conversion, exchange, acceleration, extension, or termination of any warrants, stock options or restricted stock awards of MYnd. |
| ● | Emmaus may undertake one or more transactions, including one or more tender offers, exchange offers, or similar transactions, which results in the modification, conversion, exchange, or termination of any = warrants, stock options, convertible notes, debentures or other indebtedness of Emmaus. |
| ● | MYnd may issue and sell, in or more public offerings or private placements, up to 5,000,000 shares of MYnd common stock, on terms and conditions acceptable to MYnd including pursuant to the common stock purchase agreement executed with Aspire Capital Fund, LLC on May 15, 2018; provided that if the proceeds received by MYnd from the sales of 5,000,000 shares of MYnd common stock, in the aggregate, are less than $5,000,000 in the aggregate, MYnd may issue and sell up to 3,200,000 additional shares of MYnd common stock for aggregate proceeds to MYnd of up to $2,000,000. As of the date of this joint proxy statement/prospectus, MYnd has sold the maximum 5,000,000 shares of MYnd common stock. |
| ● | Any and all proceeds from any MYnd common stock issuance may be contributed to Telemynd in connection with the Spin-Off. |
| ● | Emmaus may issue and sell, in one or more private offerings, up to 5,000,000 shares of Emmaus common stock, on terms and conditions acceptable to Emmaus. As of the date of this proxy statement/prospectus, Emmaus has sold 360,590 shares of common stock. |
132
MYnd and Emmaus agreed that each party would use its commercially reasonable efforts to file or otherwise submit, all applications, notices, reports and other documents reasonably required to be filed by such party with or otherwise submitted by such party to any governmental entity with respect to the Merger and to submit promptly any additional information requested by any such governmental entity.
MYnd and Emmaus agreed to:
| ● | provide reasonable access to the other party during the period prior to the closing of the Merger, to such party’s properties, books, contracts, commitments and records (including tax records) and, during such period, to furnish promptly to the other all information concerning its business, properties and personnel as such other party may reasonably request, and each will make available to the other the appropriate individuals (including attorneys, accountants and other professionals) for discussion of the other’s business, properties and personnel as either party may reasonably request; provided that each party reserved the right to withhold any information if access to such information would be reasonably likely to result in any such party forfeiting attorney-client privilege between it and its counsel with respect to such information; |
| ● | promptly provide the other party with copies of: (i) all material operating and financial reports prepared by such party (or their respective their representatives), as applicable, for such party’s senior management; (ii) any written materials or communications sent by or on behalf of such party to its stockholders; (iii) any material notice, document or other communication sent by or on behalf of any of such party to any third party to any material contract, as applicable, or sent to such party by any third party to any material contract, as applicable, (other than any communication that relates solely to routine commercial transactions and that is of the type sent in the ordinary course of business and consistent with past practices); (iv) any notice, report or other document filed with or sent to any governmental entity in connection with the Merger or any of the transactions contemplated thereby; and (v) any material notice, report or other document received from any governmental entity; and |
| ● | keep such information confidential in accordance with the terms of the currently effective confidentiality agreement between the parties; provided that Emmaus may make disclosure of such information pursuant to the terms of the Merger Agreement, including in connection with a post-closing financing or refinancing (provided that any third party receiving such information shall be required to execute a non-disclosure agreement on customary terms with respect to any information disclosed in connection therewith). |
MYnd and Emmaus agreed that:
| ● | from and after the effective time of the Merger, MYnd and the surviving corporation will fulfill and honor in all respects the obligations of Emmaus and MYnd which existed prior to the date of the Merger Agreement to indemnify each of Emmaus and MYnd’s present and former directors and officers, and their heirs, executors and assigns; |
| ● | MYnd will secure a directors and officers’ liability “tail” policy for MYnd’s existing directors and officers for a period of six years; |
| ● | Emmaus will secure a directors and officers’ liability “tail” policy for Emmaus’ existing directors and officers for a period of six years; |
| ● | the parties will consult with each other before issuing any press release or otherwise making any public statements with respect to the Merger and Merger Agreement and will not issue any such press release or make any such public statement without the prior consent of the other party, subject to certain exceptions; |
| ● | each party must promptly notify the other party of any litigation brought, or threatened, against such party and/or members of its board of directors or any of its officers relating to the Merger Agreement and the transactions contemplated thereby, or otherwise, and must keep the other party informed on a reasonably current basis with respect to the status thereof. Each party must also give the other party the right to review and comment on all material filings or responses to be made by such party in connection with the foregoing and, no settlement shall be agreed to in connection with the foregoing without the other party’s prior written consent; |
133
| ● | MYnd will file the certificate of amendment to its certificate of incorporation (authorizing the Reverse Stock Split and the name change to “Emmaus Life Sciences, Inc.”) with the Secretary of State of the State of Delaware to become effective immediately prior to the effective time of the Merger; |
| ● | to take all such steps as may be required (to the extent permitted under applicable legal requirements) to cause any acquisition of MYnd common stock (including derivative securities with respect to such stock) by each individual who is or will be subject to the reporting requirements of Section 16(a) of the Exchange Act with respect to MYnd, to be exempt under Rule 16b-3 under the Securities Exchange Act of 1934, as amended, or the Exchange Act; |
| ● | the parties will use their respective reasonable best efforts to cause the Merger to qualify as a “reorganization” within the meaning of Section 368(a) of the Code, including by executing and delivering customary tax representation letters to Emmaus’ and/or MYnd’s counsel, as applicable. None of the parties may take any actions, fail to take any actions, or cause any action to be taken which would reasonably be expected to prevent the Merger from qualifying as a “reorganization” under Section 368(a) of the Code; |
| ● | the parties will treat the Merger as a reorganization within the meaning of Section 368(a) of the Code for U.S. federal, state and other relevant tax purposes, unless otherwise required; |
| ● | MYnd must submit to the holders of MYnd common stock at the MYnd special meeting the MYnd Stockholder Proposals; |
| ● | Emmaus must submit to the holders of Emmaus common stock at the Emmaus special meeting the Emmaus Stockholder Proposals; |
| ● | MYnd must cause the Reverse Stock Split to be implemented, if deemed necessary or advisable by MYnd and Emmaus, and take effect immediately prior to the effective time of the Merger; |
| ● | MYnd will (i) to the extent required by the rules and regulations of NASDAQ, prepare and submit to NASDAQ an application for the listing of the shares of MYnd common stock to be issued in the Merger and use its reasonable commercial efforts to cause such shares to be approved for listing, and (ii) to the extent required by the rules and regulations of NASDAQ, file an initial listing for MYnd common stock on The NASDAQ Capital Market, or the NASDAQ listing application, and use its reasonable commercial efforts to cause such NASDAQ listing application to be approved prior to the effective time of the Merger; |
| ● | Emmaus will cooperate with MYnd as requested by MYnd with respect to the NASDAQ listing application and promptly furnish to MYnd all information concerning Emmaus and its affiliates that may be reasonably required or requested in connection with the NASDAQ listing application. |
| ● | Emmaus will use its commercially reasonable efforts to take all actions (i) to effect one or more Permitted Company Reorganizations, (ii) cause the Emmaus Convertible Notes to be amended to provide that they will convert into shares of Emmaus common stock immediately prior to the closing of the Merger, (iii) repay or convert Emmaus’ other indebtedness into Emmaus common stock and (iv) take any other action within Emmaus’ control or authority, in each case to the extent reasonably required to meet the NASDAQ stockholder equity requirements. |
Certain Post-Closing Covenants
Emmaus has agreed in the Merger Agreement that during the six-month period beginning upon the closing of the Merger, it will not amend the terms of any options, warrants, convertible promissory notes or other indebtedness convertible into Emmaus common stock to increase the number of shares of Emmaus common stock or MYnd common stock issuable upon the exercise or conversion thereof.
The Amended Separation Agreement provide that if Emmaus converts any Emmaus indebtedness which were not already included in the calculation of the Exchange Ratio into equity during the six-month period beginning upon the closing of the Merger, Emmaus will issue shares of the same class of stock issued in connection with such conversion to Telemynd so as to cause the Telemynd to own 5.9% of the total number of shares issued in such conversion (including the shares issued to Telemynd) in excess of the number of shares included in the calculation of the Exchange Ratio.
134
Termination of the Merger Agreement
The Merger Agreement may be terminated at any time before the completion of the Merger, whether before or after the required stockholder approvals to complete the Merger have been obtained, as set forth below:
| (1) | by mutual written consent of Emmaus and MYnd duly authorized by each of their respective boards of directors; |
| (2) | by either MYnd or Emmaus if the Merger has not been consummated by July 31, 2019; provided, however, that the right to terminate the Merger Agreement will not be available to any party whose failure to fulfill any obligation under the Merger Agreement has been a primary cause of the failure of the Merger to occur on or before such date; |
| (3) | by MYnd or Emmaus if a court of competent jurisdiction or other governmental, regulatory or administrative agency or commission has issued an order, decree or ruling or shall have taken any other action, having the effect of permanently restraining, enjoining or otherwise prohibiting the Merger; (provided, however, that the right to terminate the Merger Agreement will not be available to any party if the issuance of any such order, decree, ruling or other action shall have been caused principally by the action or failure to act of such party and such action or failure to act constitutes a material breach by such party of the Merger Agreement); |
| (4) | by either MYnd or Emmaus if the MYnd special meeting shall have been held and MYnd’s stockholders do not approve the MYnd Stockholder Proposals at the MYnd special meeting (or at any adjournment or postponement thereof); provided, however, that the right to terminate the Merger Agreement under this provision shall not be available to MYnd where the failure to obtain approval of the MYnd Stockholder Proposals at the MYnd special meeting shall have been caused by the action or failure to act of MYnd and such action or failure to act constitutes a material breach by MYnd of the Merger Agreement; |
| (5) | by either MYnd or Emmaus if the Emmaus special meeting shall have been held and Emmaus’ stockholders do not approve the Emmaus Stockholder Proposals at the Emmaus special meeting (or at any adjournment or postponement thereof); provided, however, that the right to terminate the Merger Agreement under this provision shall not be available to Emmaus where the failure to obtain approval of the Emmaus Stockholder Proposals at the Emmaus special meeting shall have been caused by the action or failure to act of Emmaus and such action or failure to act constitutes a material breach by Emmaus of the Merger Agreement; |
| (6) | by Emmaus (at any time prior to approval of the MYnd Stockholder Proposals at the MYnd special meeting) if (i) the MYnd board has approved, endorsed or recommended any competing proposal, (ii) MYnd fails to include its board recommendation of the MYnd Stockholder Proposals in this joint proxy statement/prospectus, or (iii) the board of directors of MYnd fails to publicly recommend against any MYnd Acquisition Proposal within ten (10) Business Days of the request of Emmaus to do so or fails to reaffirm (publicly, if so requested) the recommendation of the MYnd Stockholder Proposals within ten (10) business days of Emmaus’ request to do so; |
| (7) | by MYnd (at any time prior to approval of the Emmaus Stockholder Proposals at the Emmaus special meeting) if (i) the Emmaus board has approved, endorsed or recommended any competing proposal, (ii) Emmaus fails to include its board recommendation of the Emmaus Stockholder Proposals in this joint proxy statement/prospectus, or (iii) the board of directors of Emmaus fails to publicly recommend against any Emmaus Acquisition Proposal within ten (10) Business Days of the request of MYnd to do so or fails to reaffirm (publicly, if so requested) the recommendation of the Emmaus Stockholder Proposals within ten (10) business days of MYnd’s request to do so; |
| (8) | By Emmaus if MYnd breaches any of its representations, warranties, covenants or agreements in the Merger Agreement that would prevent MYnd from satisfying its closing conditions (with a 30 calendar day cure period); |
135
| (9) | By MYnd if Emmaus breaches any of its representations, warranties, covenants or agreements in the Merger Agreement that would prevent Emmaus from satisfying its closing conditions (with a 30 calendar day cure period); or |
| (10) | by Emmaus (any time prior to obtaining the required from Emmaus stockholders), if (i) Emmaus receives a superior proposal, (ii) Emmaus has complied with its non-solicitation obligations in the Merger Agreement, (iii) the board of directors of Emmaus approves, and Emmaus concurrently with the termination of the Merger Agreement enters into, a definitive agreement with respect to such superior proposal and (iv) Emmaus concurrently pays to MYnd a fee of $750,000, plus up to $600,000 as reimbursement for reasonable expenses; and |
| (11) | by MYnd (any time prior to obtaining the required from MYnd stockholders), if (i) MYnd receives a superior proposal, (ii) MYnd has complied with its non-solicitation obligations in the Merger Agreement, (iii) the board of directors of MYnd approves, and MYnd concurrently with the termination of the Merger Agreement enters into, a definitive agreement with respect to such superior proposal and (iv) MYnd concurrently pays to Emmaus a fee of $750,000, plus up to $600,000 as reimbursement for reasonable expenses. |
Fees payable by MYnd
MYnd is required to pay Emmaus a termination fee of $750,000 and reimburse Emmaus for third-party expenses of up to $600,000 if the Merger Agreement is terminated by Emmaus or MYnd, as applicable, pursuant to clauses 2, 4, 6, 8 or 11 above (and in the case of clause 2, 4, 6 or 8, (i) a MYnd Superior Proposal has been publicly disclosed at any time after the date of the Merger Agreement and prior to the MYnd special meeting (and not publicly withdrawn prior to the date of the MYnd special meeting) and (ii) within 12 months after the date of such termination, MYnd consummates or enters into a definitive agreement with respect to a merger, change of control transaction, sale of 50% or more of its assets, or similar transaction or consummates such a transaction).
MYnd is also required to pay Emmaus third-party expense reimbursements of up to $600,000 if the Merger Agreement is terminated by MYnd or Emmaus, as applicable, pursuant to clauses 4, 6 or 8 above.
Any termination of the Merger Agreement shall not relieve any party for its fraud or from liability for any willful and material breach of any representation, warranty, covenant, obligation or other provision contained in the Merger Agreement.
Fees payable by Emmaus
Emmaus is required to pay MYnd a termination fee of $750,000 and reimburse MYnd for third-party expenses of up to $600,000, if the Merger Agreement is terminated by MYnd or Emmaus, as applicable, pursuant to clauses 2, 5, 7, 9 or 10 above (and in the case of clause 2, 5, 7 or 9, (i) an Emmaus Superior Proposal has been publicly disclosed at any time after the date of the Merger Agreement and prior to the Emmaus special meeting (and not publicly withdrawn prior to the date of the Emmaus special meeting) and (ii) within 12 months after the date of such termination, Emmaus consummates or enters into a definitive agreement with respect to a merger, change of control transaction, sale of 50% or more of its assets, or similar transaction or consummates such a transaction).
Emmaus is required to pay MYnd a termination fee of $1,600,000 (instead of $750,000) and reimburse MYnd for third-party expenses of up to $600,000, if the Merger Agreement is terminated by MYnd or Emmaus pursuant to clause 2 above solely as a result of the failure to satisfy the NASDAQ Approval Condition.
Emmaus is also required to pay MYnd third-party expense reimbursements of up to $600,000 if the Merger Agreement is terminated by MYnd or Emmaus, as applicable, pursuant to clauses 5, 7 or 9 above.
Any termination of the Merger Agreement shall not relieve any party for its fraud or from liability for any willful and material breach of any representation, warranty, covenant, obligation or other provision contained in the Merger Agreement.
The Merger Agreement may be amended by the parties at any time prior to the effective time of the Merger, except that after the Merger Agreement has been adopted and approved by the stockholders of MYnd or Emmaus, no amendment which by legal requirements requires further approval by the stockholders of MYnd or Emmaus, as the case may be, shall be made without such further approval.
On May 10, 2019, MYnd, Emmaus and Merger Sub entered into amendment no. 1 to the original Merger Agreement, which we refer to as amendment no. 1. By executing amendment no. 1, MYnd, Emmaus and Merger Sub agreed that: (i) the definition “Parent California Subsidiary” should be amended to refer to Telemynd, Inc., the newly formed wholly-owned corporation, (ii) MYnd would not adopt a new equity incentive plan at closing, which had been contemplated previously and determined to be unnecessary at this time, (iii) MYnd would be entitled to receive credit in its Net Liabilities calculation for certain agreed upon prepaid costs, (iv) Telemynd would be entitled to receive shares of MYnd after closing if the exchange ratio applicable to any Emmaus Warrants, Emmaus Convertible Notes or Emmaus Debentures is modified in a manner which causes additional shares of Emmaus to be issued upon exercise, conversation or exchange, during the six (6) month period after the closing of the Merger for any reason, and (v) the outside termination date was extended from May 31, 2019 to July 31, 2019.
136
AGREEMENTS RELATED TO THE MERGER
The directors and executive officers of Emmaus, who in the aggregate own approximately 30% of the outstanding shares of Emmaus common stock, and the executive officers and directors of MYnd, who in the aggregate own or control approximately 34% of the outstanding shares of MYnd common stock on an as-converted to common stock basis, are parties to Voting Agreements with MYnd and Emmaus, respectively, whereby such parties agreed to vote in favor of certain proposals described in this joint proxy statement/prospectus, subject to the terms of the Voting Agreements.
The executive officers and directors of Emmaus entered into Lock-Up Agreements with Emmaus and MYnd pursuant to which the officers and directors agreed, except in certain limited circumstances, to refrain from the following restrictions, (i) offering, pledging, selling, contracting to sell, selling any option or contract purchase, purchasing any option or contract to sell, granting any option, right or warrant to purchase, making any short sale or otherwise transferring or disposing of or lending any shares of MYnd common stock or securities convertible into, exercisable or exchangeable for or that represent the right to receive MYnd common stock whether then owned or thereafter acquired, or the Lock-Up Securities, (ii) entering into any swap or other agreement that transfers, in whole or in part, any of the economic consequences of ownership of the Lock-Up Securities, (iii) making any demanded for or exercise any right with respect to the registration of any MYnd common stock or any security convertible into or exercisable or exchangeable for MYnd common stock or (iv) publicly disclosing the intention to do any of the foregoing.
The restrictions in the Lock-Up Agreements automatically terminate 120 days following the effective time of the Merger for the Emmaus officers and directors and 90 days following the effective time of the Merger for the MYnd officers and directors.
Exchange Agreement.
MYnd executed an exchange agreement with John Pappajohn, certain affiliates of John Pappajohn and Peter Unanue, each of whom is a director of MYnd and the holder of MYnd preferred stock. The exchange agreement provides that immediately after the effective of the Merger each share of MYnd preferred stock will be exchanged for a share of MYnd common stock and a preferred share of Telemynd, which preferred share will have the substantially the same terms as the MYnd preferred stock.
On March 27, 2019, MYnd, MYnd Analytics, Inc., a California corporation and Telemynd entered into an Amended and Restated Separation Agreement, which we refer to as the Amended Separation Agreement. As a result of the execution of the Amended Separation Agreement: (i) all references to MYnd Analytics, Inc., a California corporation were replaced with references to Telemynd, (ii) Telemynd will be entitled to receive shares of Emmaus after closing if the exchange ratio applicable to any Company Warrants, Company Convertible Notes or Company Debentures is reduced during the six (6) month period after the closing of the Merger for any reason, and (v) it was clarified that the MYnd board of directors retains flexibility to determine the exchange ratio (if any beyond one for one) to be used in the Spin-Off.
As a condition precedent to the consummation of the Merger, MYnd is required to take the actions set forth in the Amended Separation Agreement, which provides that prior to the closing of the Merger:
| ● | up to all of the assets (including the capital stock of each of MYnd’s subsidiaries and MYnd contracts), but excluding certain retained liabilities, may be transferred from MYnd to Telemynd; |
| ● | Telemynd shall be owned by the stockholders of MYnd prior to the closing of the Merger; |
| ● | MYnd will file with the SEC all documents necessary to consummate the Spin-Off in accordance; and |
| ● | MYnd and Emmaus shall agree in good faith as to which assets of MYnd shall be retained by MYnd in order to cause Telemynd to be solvent prior to and immediately after the Spin-Off. |
137
To complete the Spin-Off required by the Merger Agreement, MYnd will distribute all of the shares of Telemynd common and preferred stock held by it on a pro rata basis to holders of MYnd’s common stock and preferred as of record at the close of business on July 9, 2019. The Spin-Off is expected to occur immediately prior to, and is expressly contingent upon, the consummation of the Merger. Each holder of MYnd common stock are expected to receive a pro rata distribution of Telemynd common stock based upon a distribution ratio to be determined by MYnd. Each holder of MYnd preferred stock will receive Telemynd preferred stock using the same distribution ratio.
Telemynd will continue the business of MYnd. MYnd files annual, quarterly and current reports, proxy statements and other documents with the SEC under the Exchange Act. These SEC filings are available to the public from commercial document retrieval services and at www.sec.gov. The description of MYnd’s business and financial condition, as well as all risk factors relating to MYnd, which are set forth in the joint proxy statement/prospectus are applicable to those shares of stock of Telemynd to be distributed further to the Spin-off. If any of those risks and uncertainties develops into actual events, these events could have a material adverse effect on Telemynd’s businesses, financial conditions or results of operations. In addition, past financial performance may not be a reliable indicator of future performance, and historical trends should not be used to anticipate results or trends in future periods.
Amended Emmaus Convertible Notes
As of the date of this joint proxy statement/prospectus, there were outstanding approximately $34.5 million of aggregate principal amount of Emmaus Convertible Notes. In order to facilitate the Merger and satisfy its covenants in the Merger Agreement, as of the date of this joint proxy statement/prospectus, Emmaus has entered into separate amendments with the holders of approximately $29.5 million, or approximately 86%, principal amount of the outstanding Emmaus Convertible Notes, to amend the terms thereof to provide that the principal amount of and all accrued and unpaid interest thereon will be converted automatically into shares of Emmaus common stock at their respective conversion prices immediately prior to the effective time of the Merger, which shares would be outstanding immediately prior to the Merger and would be converted into shares of MYnd common stock in the same manner as other outstanding shares of Emmaus common stock based the Exchange Ratio. In connection with such amendments, the conversion price of up to approximately $15.1 million principal amount of Emmaus Convertible Notes, including $14.4 million of principal amount of Emmaus Convertible Notes held by Wei Peu Zen, an Emmaus director and his affiliate, has been or is expected to be reduced from $10 a share to $8.25 a share. Except as described above, the terms of the Emmaus Convertible Notes were unchanged by the amendments. The Merger Agreement provides that, among other conditions to MYnd’s obligations to complete the Merger, at least 90% of the Emmaus Convertible Notes become converted notes. Accordingly, Emmaus intends to continue negotiations to similarly amend the one remaining outstanding Emmaus Convertible Note. However, there is no guarantee that it will be able to do so on the same or similar terms, or at all. See the section entitled “Index To Unaudited Pro Forma Condensed Financial Statements” in this joint proxy statement/prospectus for pro forma financial information of the combined company which reflects Emmaus’ expectations regarding the amount and terms of the Emmaus Convertible Notes to be converted in connection with the Merger.
138
MATTERS BEING SUBMITTED TO A VOTE OF MYND STOCKHOLDERS
MYnd Stockholder Proposal No. 1: Approval of the Issuance of Common Stock in the Merger
At the MYnd special meeting, MYnd stockholders will be asked to approve the issuance of MYnd common stock pursuant to the Merger Agreement. Immediately following the Merger, it is expected that Emmaus securityholders will own 94.1% of the fully-diluted capital stock of MYnd, with existing MYnd stockholders holding 5.9% of the fully-diluted capital stock of MYnd.
The terms of, reasons for and other aspects of the Merger Agreement, the Merger and the issuance of MYnd common stock pursuant to the Merger Agreement are described in detail in the other sections in this joint proxy statement/prospectus.
Required Vote; Recommendation of Board of Directors
Presuming a quorum is present, the affirmative vote of the holders of a majority of the shares of MYnd common stock having voting power present in person or represented by proxy at the MYnd special meeting is required for approval of MYnd Stockholder Proposal No. 1. Each of Proposal Nos. 1, 2, 3 and 4 is conditioned upon each other. Therefore, the Merger cannot be consummated without the approval of Proposal Nos. 1, 2, 3 and 4.
THE MYND BOARD OF DIRECTORS UNANIMOUSLY RECOMMENDS THAT THE MYND STOCKHOLDERS VOTE “FOR” MYND PROPOSAL NO. 1 TO APPROVE THE ISSUANCE OF MYND COMMON STOCK PURSUANT TO THE MERGER AGREEMENT.
139
MYnd Stockholder Proposal No. 2: Approval of Spin-Off
General
Subject to the completion of the Merger, all or substantially all of the business, assets and liabilities of MYnd are expected to be transferred to a newly formed wholly-owned subsidiary of MYnd, which is referred to as Telemynd, and holders of record of MYnd common stock at the close of business on July 9, 2019 are expected to receive a pro rata distribution of Telemynd’s common stock based upon a distribution ratio to be determined by MYnd, which is referred to as the Spin-Off.
At the MYnd special meeting, MYnd stockholders will be asked to approve the Spin-Off. The terms of, reasons for and other aspects of the Spin-Off are described in detail in the other sections in this joint proxy statement/prospectus.
Purpose
In furtherance of the Spin-Off, MYnd and Telemynd entered into an Amended and Restated Separation and Distribution Agreement, or Amended Separation Agreement, on March 27, 2019. As a condition precedent to the consummation of the Merger, MYnd is required to take the actions set forth in the Amended Separation Agreement, which provides that prior to the closing of the Merger:
| ● | up to all of the assets (including the capital stock of each of MYnd’s subsidiaries and MYnd contracts), but excluding certain retained liabilities, may be transferred from MYnd to Telemynd; |
| ● | Telemynd shall be owned by the stockholders of MYnd prior to the closing of the Merger; |
| ● | MYnd will file with the SEC all documents necessary to consummate the Spin-Off in accordance; and |
| ● | MYnd and Emmaus shall agree in good faith as to which assets of MYnd shall be retained by MYnd in order to cause Telemynd to be solvent prior to and immediately after the Spin-Off. |
To complete the Spin-Off required by the Merger Agreement, MYnd will distribute all of the shares of Telemynd common and preferred stock held by it on a pro rata basis to holders of MYnd’s common stock as of record at the close of business on July 9, 2019. The Spin-Off is expected to occur immediately prior to, and is expressly contingent upon, the consummation of the Merger. Each holder of MYnd common stock will receive Telemynd common stock based upon a distribution ratio to be determined by MYnd. Pursuant to the Exchange Agreement, each holder of MYnd preferred stock will receive Telemynd preferred stock using the same distribution ratio.
MYnd’s board of directors considered a number of potentially negative factors in evaluating the Spin-Off as described in this joint proxy statement/prospectus, and ultimately concluded that the potential benefits of the Spin-Off outweighed these risks.
The MYnd board of directors believes the Spin-Off will create long-term value for Telemynd and its stockholders.
Publicly available information regarding Telemynd
Telemynd will continue the business of MYnd. MYnd files annual, quarterly and current reports, proxy statements and other documents with the SEC under the Exchange Act. These SEC filings are available to the public from commercial document retrieval services and at www.sec.gov. The description of MYnd’s business and financial condition, as well as all risk factors relating to MYnd, which are set forth in the joint proxy statement/prospectus are applicable to those shares of stock of Telemynd to be distributed further to the Spin-off. If any of those risks and uncertainties develops into actual events, these events could have a material adverse effect on Telemynd’s businesses, financial conditions or results of operations. In addition, past financial performance may not be a reliable indicator of future performance, and historical trends should not be used to anticipate results or trends in future periods.
140
Consequences if the Spin-Off Proposal is not Approved or if the Spin-Off Proposal is Approved but the Merger is not Consummated
If the Spin-Off proposal is not approved by MYnd’s stockholders, the conditions to the Merger will not be satisfied. The Spin-Off is expected to occur immediately prior to, and is expressly contingent upon, the closing of the Merger.
Material U.S. Federal Income Tax Consequences of the Spin-Off
The following is a discussion of certain material U.S. federal income tax consequences of the distribution of stock of Telemynd to the MYnd stockholders that are U.S. holders (as defined below) following the transfer of all or substantially all of MYnd’s assets to Telemynd. The following discussion also sets forth the material U.S. federal income tax consequences to MYnd resulting from the Spin-Off of Telemynd to the stockholders of MYnd that are U.S. holders.
This discussion is limited to holders who hold MYnd common stock as a “capital asset” within the meaning of Section 1221 of the Internal Revenue Code of 1986, as amended (“Code”) (generally, property held for investment). The effects of other U.S. federal tax laws, such as estate and gift tax laws, and any applicable state, local, or non-U.S. tax laws are not discussed. This discussion is based on the Code, U.S. Treasury Regulations promulgated thereunder (“Regulations”), judicial decisions, and published rulings and administrative pronouncements of the Internal Revenue Service (the “IRS”), each as in effect as of the date of the Spin-Off. These authorities are subject to differing interpretations or change. Any such change, which may or may not be retroactive, could alter the tax consequences to holders of MYnd common stock as described in this joint proxy statement/prospectus.
This discussion does not address all U.S. federal income tax consequences relevant to the particular circumstances of a MYnd stockholder. In addition, it does not address consequences relevant to holders of MYnd common stock that are subject to particular U.S. or non-U.S. tax rules, including, without limitation:
| ● | persons who have a functional currency other than the U.S. dollar; |
| ● | persons holding MYnd common stock as part of an integrated investment (including a “straddle,” pledge against currency risk, “constructive” sale or “conversion” transaction or other integrated or risk reduction transactions) consisting of shares of MYnd common stock and one or more other positions; |
| ● | persons who are not U.S. holders as defined below and certain former citizens or former long-term residents of the United States; |
| ● | banks, insurance companies, mutual funds, tax-exempt entities, governmental organizations, financial institutions, broker-dealers, dealers in securities or currencies, traders in securities, real estate investment trusts or regulated investment companies; |
| ● | persons who do not hold their MYnd common stock as a “capital asset” within the meaning of Section 1221 of the Code; |
| ● | partnerships or other entities or arrangements classified as partnerships or disregarded entities for U.S. federal income tax purposes, S corporations or other pass-through entities (including hybrid entities); |
| ● | persons who own (or are deemed to own) 5% or more (by vote or value) of the outstanding shares of MYnd common stock; |
| ● | persons subject to special tax accounting rules under Section 451(b) of the Code; |
| ● | persons who acquired their MYnd common stock pursuant to the exercise of warrants or conversion rights under convertible instruments; |
| ● | persons who own MYnd common stock that is “section 306 stock” within the meaning of Section 306(c) of the Code; and |
| ● | persons who hold their MYnd common stock through individual retirement accounts or other tax-deferred accounts. |
141
For purposes of this discussion, a “U.S. holder” is a beneficial owner of MYnd common stock that, for U.S. federal income tax purposes, is or is treated as:
| ● | an individual who is a citizen or resident of the United States; |
| ● | a corporation (or other entity taxable as a corporation for U.S. federal income tax purposes) created or organized in or under the laws of the United States, any state thereof, or the District of Columbia; |
| ● | an estate, the income of which is subject to U.S. federal income taxation regardless of its source; or |
| ● | a trust if either (i) a court within the United States is able to exercise primary supervision over the administration of such trust and one or more United States persons (within the meaning of Section 7701(a)(30) of the Code) are authorized or have the authority to control all substantial decisions of such trust, or (ii) the trust was in existence on August 20, 1996 and has a valid election in effect under applicable Regulations to be treated as a United States person for U.S. federal income tax purposes. |
If an entity (or an arrangement) treated as a partnership for U.S. federal income tax purposes holds MYnd common stock, the tax treatment of a partner in the partnership will depend on the status of the partner, the activities of the partnership and certain determinations made at the partner level. If you are a partnership or a partner of a partnership holding MYnd common stock or any other person excluded from this discussion, you should consult your tax advisor regarding the tax consequences of the Spin-Off.
In addition, the following discussion does not address (i) any U.S. federal non-income tax consequences of the Spin-Off, including estate, gift or other tax consequences, (ii) any state, local or non-U.S. tax consequences of the Spin-Off, (iii) the tax on net investment income or the alternative minimum tax, (iv) the tax consequences of transactions effectuated before, after or at the same time as the Spin-Off (whether or not they are in connection with the Spin-Off), and (v) the tax consequences to holders of convertible debt or options, warrants or similar rights to purchase or acquire MYnd common stock.
IN LIGHT OF THE FOREGOING, HOLDERS OF MYND COMMON STOCK SHOULD CONSULT THEIR OWN TAX ADVISORS REGARDING THE TAX CONSEQUENCES TO THEM OF THE SPIN-OFF, INCLUDING THE APPLICABLE U.S. FEDERAL, STATE, LOCAL AND NON-U.S. INCOME AND OTHER TAX CONSEQUENCES OR UNDER ANY APPLICABLE TAX TREATY, AND ANY TAX REPORTING REQUIREMENTS OF THE SPIN-OFF AND RELATED TRANSACTIONS IN LIGHT OF THEIR PARTICULAR CIRCUMSTANCES.
No ruling from the IRS has been or will be requested with respect to the tax consequences of the Spin-Off. Opinions of counsel do not bind the courts or the IRS, nor will they preclude the IRS from adopting a position contrary to those expressed in such opinions.
Tax Classification of the Spin-off in General
The Spin-Off will not qualify for tax-free treatment under Section 355 of the Code, and will be a taxable distribution for U.S. federal income tax purposes. MYnd stockholders will be treated as having received a distribution of property that does not qualify for tax-free treatment. The amount of that distribution will be equal to the fair market value of the Telemynd common stock received.
Tax Consequences of the Spin-Off to MYnd
To the extent that the fair market value of the common stock of Telemynd at the time of the distribution is greater than MYnd’s tax basis in the common stock of Telemynd, MYnd will recognize gain. If the market value of the common stock of Telemynd at the time of the distribution is less than MYnd tax basis in the common stock of Telemynd, MYnd will not recognize any loss. In the event that the MYnd recognizes a gain on the distribution of the stock of Telemynd, it is anticipated that the gain will be offset by net operating losses (herein referred to as “NOL’s”) as a result of built in gains under Section 382 of the Code. It is anticipated that an immaterial amount of historical NOL’s will be available after the Spin-Off.
Tax Consequences of the Spin-Off to U.S. Holders
The distribution of Telemynd common stock should be treated as ordinary dividend income to the extent considered paid out of MYnd’s current year or accumulated earnings and profits (as determined under U.S. federal income tax principles). Distributions in excess of both current year and accumulated earnings and profits will be treated as a non-taxable return of capital, which reduces basis, to the extent of the holder’s basis in MYnd common stock and thereafter as capital gain. To the extent that any such amount is treated as a dividend, corporate U.S. holders should generally be eligible for the dividends received deduction and non-corporate U.S. holders should generally qualify for reduced rates applicable to qualified dividend income, assuming in each case, that a minimum holding period and certain other generally applicable requirements are satisfied. U.S. holders will take a tax basis in their Telemynd common stock equal to its fair market value on the date of receipt.
142
To the extent that the distribution of the Telemynd common stock constitutes an “extraordinary dividend” with respect to a particular U.S. holder, special rules may apply. In general, a dividend constitutes an “extraordinary dividend” if the amount of the dividend exceeds 10% of that U.S. holder’s tax basis in its stock. For purposes of this calculation, only the portion of a distribution treated as a dividend, rather than the full amount of the distribution, is taken into account. If the portion (if any) of the distribution treated as a dividend constitutes an extraordinary dividend to a corporate U.S. holder that both (i) claimed a dividends-received deduction with respect to the distribution and (ii) held its MYnd common stock for two years or less, such U.S. holder will reduce its tax basis in its MYnd common stock (but not below zero) by an amount determined by reference to the dividends received deduction claimed. If any corporate U.S. holder’s basis would be reduced below zero as a result of these rules, any excess would be treated as capital gain. In addition, if the portion (if any) of the distribution treated as a dividend qualifies as an extraordinary dividend to a non-corporate U.S. holder who had claimed a reduced rate for qualified dividend income on the distribution, such non-corporate U.S. holder may be required to treat a portion of any loss on a subsequent sale of its MYnd common stock as long-term capital loss, regardless of its actual holding period.
The determination as to whether or not a distribution of property is a dividend, return of capital, or capital gain is governed by Section 301(c) of the Code. Property distributions made by a corporation to its shareholders out of either current year earnings and profits or out of accumulated earnings and profits are characterized as dividends. To the extent that portion of the distribution not characterized as a dividend exceeds the shareholders basis in the stock, it will be treated as gain from the sale or exchange of the property (capital gain).
In calculating the amount (if any) of the distribution to be considered a dividend, return of capital, or capital gain, it is the fair market value of the assets being distributed that is utilized in the calculation and analysis. The stock price of the company generally does not factor into determining the tax treatment of the distribution and should have no bearing on the outcome to the shareholders.
With regards to the taxability of the distribution, a formal earnings and profits study has not been completed. However, based on the MYnd’s historical losses of $51 million as well as the projected loss for 2019 exceeding the fair market value of the Telemynd common stock, it is anticipated that the MYnd will not have any current nor accumulated earnings and profits. As such, the distribution of Telemynd stock is not anticipated to be treated as a taxable dividend.
U.S. holders should consult with their tax advisors regarding the possible applicability and effects of the extraordinary dividend provisions, including the possible availability of an election to substitute the fair market value of the MYnd common stock for its tax basis for purposes of determining if the portion (if any) of the distribution treated as a dividend constitutes an extraordinary dividend. Such election will generally be available if the fair market value of the MYnd common stock as of the day before the ex-dividend date is established to the satisfaction of the Secretary of the Treasury.
Information Reporting and Backup Withholding
Payments of proceeds (if any) from the distribution of Telemynd to a stockholder may be subject to information reporting to the IRS and, possibly, backup withholding. Backup withholding will not apply if the stockholder furnishes both a correct taxpayer identification number and a certification that such stockholder is not subject to backup withholding, or otherwise establishes that an exemption applies. Backup withholding is not an additional tax. Any amounts withheld under the backup withholding rules may be refunded or allowed as a credit against a U.S. holder of MYnd common stock’s federal income tax liability, if any, provided the required information is timely furnished to the IRS. U.S. holders of MYnd common stock should consult their tax advisors regarding their qualification for an exemption from backup withholding and the procedures for obtaining such an exemption.
THE DISCUSSION ABOVE IS A GENERAL SUMMARY. IT DOES NOT COVER ALL TAX MATTERS THAT MAY BE OF IMPORTANCE TO A PARTICULAR HOLDER. EACH HOLDER IS URGED TO CONSULT ITS OWN TAX ADVISOR ABOUT THE TAX CONSEQUENCES TO IT OF THE SPIN-OFF IN LIGHT OF THE HOLDER’S OWN CIRCUMSTANCES.
Required Vote; Recommendation of Board of Directors
The affirmative vote of holders of a majority of the shares of MYnd common stock having voting power outstanding on the record date for the MYnd special meeting is required to approve the Spin-Off. Each of Proposal Nos. 1, 2, 3 and 4 is conditioned upon each other. Therefore, the Merger cannot be consummated without the approval of Proposal Nos. 1, 2, 3 and 4.
THE MYND BOARD OF DIRECTORS UNANIMOUSLY RECOMMENDS THAT MYND STOCKHOLDERS VOTE “FOR” MYND PROPOSAL NO. 2 TO APPROVE THE SPIN-OFF.
143
MYnd Stockholder Proposal No. 3: Approval of the Certificate of Amendment to the Certificate of Incorporation of MYnd to Effect the Name Change
At the MYnd special meeting, holders of MYnd stock will be asked to approve the certificate of amendment to the certificate of incorporation of MYnd to change the name of the corporation from “MYnd, Inc.” to “Emmaus Life Sciences, Inc.” by filing the certificate of amendment to the certificate of incorporation at the effective time of the Merger. The primary reason for the corporate name change is that management believes this will allow for brand recognition of Emmaus product candidates and product candidate pipeline following the consummation of the Merger. MYnd management believes that the current name will no longer accurately reflect the business of MYnd and the mission of MYnd subsequent to the consummation of the Merger.
Required Vote; Recommendation of Board of Directors
The affirmative vote of holders of a majority of the shares of MYnd common stock having voting power outstanding on the record date for the MYnd special meeting is required to approve the certificate of amendment to the certificate of incorporation to change the name “MYnd, Inc.” to “Emmaus Life Sciences, Inc.” Each of Proposal Nos. 1, 2, 3 and 4 is conditioned upon each other. Therefore, the Merger cannot be consummated without the approval of Proposal Nos. 1, 2, 3 and 4.
THE MYND BOARD OF DIRECTORS UNANIMOUSLY RECOMMENDS THAT MYND STOCKHOLDERS VOTE “FOR” MYND PROPOSAL NO. 3 TO APPROVE THE CERTIFICATE OF AMENDMENT TO THE CERTIFICATE OF INCORPORATION OF MYND EFFECTING THE NAME CHANGE.
144
MYnd Stockholder Proposal No. 4: Approval of the Certificate of Amendment to the Certificate of Incorporation of MYnd Authorizing the Reverse Stock Split
General
At the MYnd special meeting, MYnd stockholders will be asked to approve the certificate of amendment to the certificate of incorporation of MYnd to effect a reverse stock split of the issued and outstanding shares of MYnd common stock, in accordance with a ratio to be determined by mutual agreement of MYnd and Emmaus, and approved by the MYnd board of directors, within a range of one share of MYnd common stock for every two to ten shares of MYnd common stock (or any number in between), or the Reverse Stock Split. Upon the effectiveness of the certificate of amendment to the certificate of incorporation of MYnd authorizing the Reverse Stock Split, or the split effective time, the shares of MYnd common stock immediately prior to the split effective time will be reclassified into a smaller number of shares such that a MYnd stockholder will own one share of MYnd common stock for each [●] to [●] shares of issued common stock (or some number in between as applicable) held by that stockholder immediately prior to the split effective time.
If the MYnd stockholders approve the certificate of amendment to the certificate of incorporation of MYnd, MYnd and Emmaus will mutually agree, subject to the determination of the MYnd board of directors that it is in the best interests of MYnd and its stockholders, whether to effect the Reverse Stock Split and, if so, the number of shares of common stock within the stockholder-approved range (between [●] to [●] shares) which will be combined into one share of MYnd common stock. The MYnd board of directors believes that stockholder approval of this range of reverse stock split ratios (as opposed to approval of a single reverse stock split ratio) provides the MYnd board of directors with appropriate flexibility to achieve the purposes of the reverse stock split and, therefore, is in the best interests of MYnd and its stockholders. If MYnd Stockholder Proposal No. 4 is approved, MYnd anticipates the Reverse Stock Split would become effective in connection with the closing of the Merger.
The MYnd board of directors may determine to effect the Reverse Stock Split, if it is approved by the stockholders, even if the other proposals to be acted upon at the meeting are not approved, including the Merger and the issuance of shares of MYnd common stock pursuant to the Merger Agreement.
The form of the certificate of amendment to the certificate of incorporation of MYnd to effect the Reverse Stock Split, as more fully described below, will effect the Reverse Stock Split but will not change the number of authorized shares of common stock or preferred stock, or the par value of MYnd common stock or preferred stock.
Purpose
The MYnd board of directors approved the proposal approving the certificate of amendment to the certificate of incorporation of MYnd authorizing the Reverse Stock Split for the following reasons:
| ● | the MYnd board of directors believes authorizing the Reverse Stock Split is necessary to help avoid a delisting of MYnd common stock in the future; |
| ● | the Reverse Stock Split would bring the share price of the combined company to a level that is customary among successful companies listed on the major US stock exchanges; |
| ● | the increased share price resulting from the Reverse Stock Split could broaden the pool of potential investors into the combined company by meeting the requirements of certain institutional investors who have internal policies prohibiting them from purchasing stocks below a certain minimum share price, and by meeting the requirements of certain financial advisors who have policies to discourage their clients from investing into such stocks; and |
| ● | the increased share price resulting from the Reverse Stock Split could allow inclusion of the combined company’s common stock in certain biotech indices, and thereby allow investment in the combined company by certain index funds. |
There are risks associated with the Reverse Stock Split, including that the Reverse Stock Split may not result in an increase in the per share price of MYnd common stock.
145
MYnd cannot predict whether the Reverse Stock Split will increase the market price for MYnd common stock. The history of similar stock split combinations for companies in like circumstances is varied. There is no assurance that:
| ● | the market price per share of MYnd common stock after the Reverse Stock Split will rise in proportion to the reduction in the number of shares of MYnd common stock outstanding before the Reverse Stock Split; |
| ● | the Reverse Stock Split will result in a per share price that will attract brokers and investors who do not trade in lower priced stocks; |
| ● | the Reverse Stock Split will result in increased trading volume in MYnd common stock; |
| ● | the Reverse Stock Split will result in a per share price that will increase the ability of MYnd to attract and retain employees; or |
| ● | that MYnd will otherwise meet the requirements of The NASDAQ Capital Market or other national securities exchange. |
The market price of MYnd common stock will also be based on performance of MYnd and other factors, some of which are unrelated to the number of shares outstanding. If the Reverse Stock Split is effected and the market price of MYnd common stock declines, the percentage decline as an absolute number and as a percentage of the overall market capitalization of MYnd may be greater than would occur in the absence of the Reverse Stock Split. Furthermore, the liquidity of MYnd common stock could be adversely affected by the reduced number of shares that would be outstanding after the Reverse Stock Split.
Principal Effects of the Reverse Stock Split
The certificate of amendment to the certificate of incorporation of MYnd authorizing the Reverse Stock Split is set forth in Annex E to this joint proxy statement/prospectus.
The Reverse Stock Split will be effected simultaneously for all outstanding shares of MYnd common stock. The Reverse Stock Split will affect all of the MYnd stockholders uniformly and will not affect any stockholder’s percentage ownership interests in MYnd, except to the extent that the Reverse Stock Split results in any of the MYnd stockholders owning a fractional share. Common stock issued pursuant to the Reverse Stock Split will remain fully paid and nonassessable. The Reverse Stock Split does not affect the total proportionate ownership of MYnd following the Merger. The Reverse Stock Split will not affect MYnd continuing to be subject to the periodic reporting requirements of the Exchange Act.
Procedure for Effecting Reverse Stock Split and Exchange of Stock Certificates
If the MYnd stockholders approve the certificate of amendment to the certificate of incorporation of MYnd authorizing the Reverse Stock Split, and if the MYnd board of directors still believes that a Reverse Stock Split is in the best interests of MYnd and its stockholders, MYnd will file the certificate of amendment to the certificate of incorporation with the Secretary of State of the State of Delaware at such time as the MYnd board of directors has determined to be the appropriate split effective time. The MYnd board of directors may delay effecting the Reverse Stock Split without resoliciting stockholder approval. Beginning at the split effective time, each certificate representing pre-split shares will be deemed for all corporate purposes to evidence ownership of post-split shares.
As soon as practicable after the split effective time, stockholders will be notified that the Reverse Stock Split and/or corporate name change have been effected. MYnd expects that the MYnd transfer agent will act as exchange agent for purposes of implementing the exchange of stock certificates. Holders of pre-split shares will be asked to surrender to the exchange agent certificates representing pre-split shares in exchange for certificates representing post-split shares in accordance with the procedures to be set forth in a letter of transmittal to be sent by MYnd. In the event that MYnd Stockholder Proposal No. 3 is approved by MYnd, the certificates reflecting the post-split shares will also reflect the change of the MYnd corporate name to “Emmaus Life Sciences, Inc.” No new certificates will be issued to a stockholder until such stockholder has surrendered such stockholder’s outstanding certificate(s) together with the properly completed and executed letter of transmittal to the exchange agent. Any pre-split shares submitted for transfer, whether pursuant to a sale or other disposition, or otherwise, will automatically be exchanged for post-split shares. Stockholders should not destroy any stock certificate(s) and should not submit any certificate(s) unless and until requested to do so.
146
Fractional Shares
No fractional shares will be issued in connection with the Reverse Stock Split. Stockholders of record who otherwise would be entitled to receive fractional shares because they hold a number of pre-split shares not evenly divisible by the number of pre-split shares for which each post-split share is to be reclassified, will be entitled, upon surrender to the exchange agent of certificates representing such shares, to a cash payment in lieu thereof at a price equal to the fraction to which the stockholder would otherwise be entitled multiplied by the closing price of the common stock on The NASDAQ Capital Market or other national securities exchange on the first trading day immediately following the split effective time. The ownership of a fractional interest will not give the holder thereof any voting, dividend, or other rights except to receive payment therefor as described herein.
By approving the certificate of amendment to the certificate of incorporation of MYnd authorizing the Reverse Stock Split, stockholders will be approving the combination of every [●] to [●] shares of MYnd common stock (or some number in between) into one share of MYnd common stock.
Stockholders should be aware that, under the escheat laws of the various jurisdictions where stockholders reside, where MYnd is domiciled, and where the funds will be deposited, sums due for fractional interests that are not timely claimed after the effective date of the split may be required to be paid to the designated agent for each such jurisdiction, unless correspondence has been received by MYnd or the exchange agent concerning ownership of such funds within the time permitted in such jurisdiction. Thereafter, stockholders otherwise entitled to receive such funds will have to seek to obtain them directly from the state to which they were paid.
Potential Anti-Takeover Effect
Although the increased proportion of unissued authorized shares to issued shares could, under certain circumstances, have an anti-takeover effect, for example, by permitting issuances that would dilute the stock ownership of a person seeking to effect a change in the composition of the MYnd board of directors or contemplating a tender offer or other transaction for the combination of MYnd with another company, the Reverse Stock Split proposal is not being proposed in response to any effort of which MYnd is aware to accumulate shares of MYnd common stock or obtain control of MYnd, other than in connection with the Merger, nor is it part of a plan by management to recommend a series of similar amendments to the MYnd board of directors and stockholders. Other than the proposals being submitted to the MYnd stockholders for their consideration at the MYnd special meeting, the MYnd board of directors does not currently contemplate recommending the adoption of any other actions that could be construed to affect the ability of third parties to take over or change control of MYnd. For more information, please see the section entitled “Risk Factors—Risks Related to the Combined Company” beginning on page 21 of this joint proxy statement/prospectus.
Material U.S. Federal Income Tax Consequences of the Reverse Stock Split
The following is a discussion of the material U.S. federal income tax consequences of the Reverse Stock Split to U.S. holders of MYnd common stock, but does not purport to be a complete analysis of all potential tax effects. This discussion is based on the Code, Regulations, judicial decisions, and published rulings and administrative pronouncements of the IRS in effect as of the date of the Reverse Stock Split. These authorities may change or be subject to differing interpretations. Any such change may be applied retroactively in a manner that could adversely affect a holder of MYnd common stock.
This discussion does not address all U.S. federal income tax consequences relevant to the particular circumstances of a MYnd common stockholder. In addition, it does not address consequences relevant to holders of MYnd common stock that are subject to particular U.S. or non-U.S. tax rules, including, without limitation:
| ● | persons who have a functional currency other than the U.S. dollar; |
| ● | persons who hold MYnd common stock that constitutes “qualified small business stock” under Section 1202 of the Code or as “Section 1244 stock” for purposes of Section 1244 of the Code; |
| ● | persons holding MYnd common stock as part of an integrated investment (including a “straddle,” pledge against currency risk, “constructive” sale or “conversion” transaction or other integrated or risk reduction transactions) consisting of shares of MYnd common stock and one or more other positions; |
| ● | persons who are not U.S. holders as defined below and certain former citizens or former long-term residents of the United States; |
147
| ● | banks, insurance companies, mutual funds, tax-exempt entities, financial institutions, broker-dealers, dealers in securities or currencies, traders in securities, real estate investment trusts or regulated investment companies; |
| ● | persons who do not hold their MYnd common stock as a “capital asset” within the meaning of Section 1221 of the Code; |
| ● | partnerships or other entities or arrangements classified as partnerships or disregarded entities for U.S. federal income tax purposes, S corporations or other pass-through entities (including hybrid entities); |
| ● | persons who own (or are deemed to own) 5% or more (by vote or value) of the outstanding shares of MYnd common stock; |
| ● | persons subject to special tax accounting rules under Section 451(b) of the Code; |
| ● | persons who acquired (or will acquire) their MYnd common stock pursuant to the exercise of warrants or conversion rights under convertible instruments; |
| ● | persons who own MYnd common stock that is “section 306 stock” within the meaning of Section 306(c) of the Code; |
| ● | persons holding MYnd common stock who exercise dissenters’ rights; |
| ● | persons who acquired their MYnd common stock in a transaction subject to the gain rollover provisions of Section 1045 of the Code; and |
| ● | persons who hold their MYnd common stock through individual retirement accounts or other tax-deferred accounts. |
For purposes of this discussion, a “U.S. holder” is a beneficial owner of MYnd common stock that, for U.S. federal income tax purposes, is or is treated as:
| ● | an individual who is a citizen or resident of the United States; |
| ● | a corporation (or other entity taxable as a corporation for U.S. federal income tax purposes) created or organized in or under the laws of the United States, any state thereof, or the District of Columbia; |
| ● | an estate, the income of which is subject to U.S. federal income taxation regardless of its source; or |
| ● | a trust if either (i) a court within the United States is able to exercise primary supervision over the administration of such trust and one or more United States persons (within the meaning of Section 7701(a)(30) of the Code) are authorized or have the authority to control all substantial decisions of such trust, or (ii) the trust was in existence on August 20, 1996 and has a valid election in effect under applicable Regulations to be treated as a United States person for U.S. federal income tax purposes. |
If an entity (or an arrangement) treated as a partnership for U.S. federal income tax purposes holds MYnd common stock, the tax treatment of a partner in the partnership will depend on the status of the partner, the activities of the partnership and certain determinations made at the partner level. If you are a partnership or a partner of a partnership holding MYnd common stock or any other person excluded from this discussion, you should consult your tax advisor regarding the tax consequences of the Reverse Stock Split.
In addition, the following discussion does not address (i) any U.S. federal non-income tax consequences of the Reverse Stock Split, including estate, gift or other tax consequences, (ii) any state, local or non-U.S. tax consequences of the Reverse Stock Split, (iii) the Medicare contribution tax on net investment income or the alternative minimum tax, (iv) the tax consequences of transactions effectuated before, after or at the same time as the Reverse Stock Split (whether or not they are in connection with the Reverse Stock Split), including, without limitation, transactions in which MYnd common stock is acquired, and (v) the tax consequences to holders of convertible debt or options, warrants or similar rights to purchase or acquire MYnd common stock.
INVESTORS SHOULD CONSULT THEIR TAX ADVISORS WITH RESPECT TO THE APPLICATION OF THE U.S. FEDERAL INCOME TAX LAWS TO THEIR PARTICULAR SITUATIONS AS WELL AS ANY TAX CONSEQUENCES OF THE REVERSE STOCK SPLIT ARISING UNDER THE U.S. FEDERAL ESTATE OR GIFT TAX LAWS OR UNDER THE LAWS OF ANY STATE, LOCAL OR NON-U.S. TAXING JURISDICTION OR UNDER ANY APPLICABLE TAX TREATY.
148
Tax Consequences of the Reverse Stock Split
The Reverse Stock Split should constitute a “recapitalization” for U.S. federal income tax purposes. As a result, a U.S. holder of MYnd common stock generally should not recognize gain or loss upon the Reverse Stock Split, except with respect to cash received in lieu of a fractional share of MYnd common stock, as discussed below. A U.S. holder’s aggregate tax basis in the shares of MYnd common stock received pursuant to the Reverse Stock Split should equal the aggregate tax basis of the shares of the MYnd common stock surrendered (excluding any portion of such basis that is allocated to any fractional share of MYnd common stock), and such U.S. holder’s holding period in the shares of MYnd common stock received should include the holding period in the shares of MYnd common stock surrendered. Regulations provide detailed rules for allocating the tax basis and holding period of the shares of MYnd common stock surrendered to the shares of MYnd common stock received in a recapitalization pursuant to the Reverse Stock Split. U.S. holders of shares of MYnd common stock acquired on different dates and at different prices should consult their tax advisors regarding the allocation of the tax basis and holding period of such shares.
Cash in Lieu of Fractional Shares
A U.S. holder of MYnd common stock that receives cash in lieu of a fractional share of MYnd common stock pursuant to the Reverse Stock Split should recognize capital gain or loss in an amount equal to the difference between the amount of cash received and the U.S. holder’s tax basis in the shares of MYnd common stock surrendered that is allocated to such fractional share of MYnd common stock. Such capital gain or loss should be long-term capital gain or loss if the U.S. holder’s holding period for MYnd common stock surrendered exceeded one year at the effective time of the Reverse Stock Split.
Information Reporting and Backup Withholding
A U.S. holder of MYnd common stock may be subject to information reporting and backup withholding on cash paid in lieu of fractional shares in connection with the Reverse Stock Split. The current backup withholding rate is 24%. A U.S. holder of MYnd common stock will be subject to backup withholding if such holder is not otherwise exempt and such holder does not provide its taxpayer identification number in the manner required or otherwise fails to comply with applicable backup withholding tax rules.
Backup withholding is not an additional tax. Any amounts withheld under the backup withholding rules may be refunded or allowed as a credit against a U.S. holder of MYnd common stock’s federal income tax liability, if any, provided the required information is timely furnished to the IRS. U.S. holders of MYnd common stock should consult their tax advisors regarding their qualification for an exemption from backup withholding and the procedures for obtaining such an exemption.
Required Vote; Recommendation of Board of Directors
The affirmative vote of holders of a majority of the shares of MYnd common stock having voting power outstanding on the record date for the MYnd special meeting is required to approve the certificate of amendment to the certificate of incorporation of MYnd authorizing the Reverse Stock Split of MYnd common stock. Each of Proposal Nos. 1, 2, 3 and 4 is conditioned upon each other. Therefore, the Merger cannot be consummated without the approval of Proposal Nos. 1, 2, 3 and 4.
THE MYND BOARD OF DIRECTORS UNANIMOUSLY RECOMMENDS THAT MYND STOCKHOLDERS VOTE “FOR” MYND PROPOSAL NO. 4 TO APPROVE THE CERTIFICATE OF AMENDMENT TO THE CERTIFICATE OF INCORPORATION OF MYND AUTHORIZING THE REVERSE STOCK SPLIT.
MYnd Stockholder Proposal No. 5: Advisory Non-Binding Vote on Merger-Related Executive Compensation Arrangements
Section 14A of the Exchange Act, which was enacted as part of the Dodd-Frank Wall Street Reform and Consumer Protection Act of 2010, requires that MYnd provide stockholders with the opportunity to vote to approve, on a non-binding advisory vote basis, the payment of certain compensation that will or may become payable by MYnd to its named executive officers in connection with the Merger, as disclosed in the section entitled “The Merger—Interests of the MYnd Directors and Executive Officers in the Merger,” beginning on page 109 of this joint proxy statement/prospectus.
149
Accordingly, MYnd is asking MYnd stockholders to indicate their approval of such compensation that will or may become payable to MYnd’s named executive officers in connection with the Merger.
In general, the severance agreements, equity awards and other arrangements pursuant to which these compensation payments may be made have previously formed a part of MYnd’s overall compensation program for its named executive officers and previously have been disclosed to stockholders as part of MYnd’s annual proxy statements or its other reports filed with the SEC. These severance agreements, equity awards and other arrangements were adopted and approved by the MYnd board of directors, upon recommendation of its compensation committee, which is composed solely of non-employee directors, and are believed to be reasonable and in line with marketplace norms.
Accordingly, MYnd is seeking approval of the following resolution at the special meeting:
“RESOLVED, that the stockholders of MYnd, Inc. approve, on a nonbinding, advisory basis, the compensation that will or may become payable by MYnd to its named executive officers that is based on or otherwise relates to the Merger as disclosed pursuant to Item 402(t) of Regulation S-K in the section entitled “The Merger —Interests of the MYnd Directors and Executive Officers in the Merger” beginning on page 109 of this joint proxy statement/prospectus.
Stockholders of MYnd should note that this proposal is not a condition to completion of the Merger, and as an advisory vote, the result will not be binding on MYnd, its board of directors or the named executive officers. Further, the underlying severance agreements, equity awards and other arrangements are contractual in nature and not, by their terms, subject to stockholder approval. Accordingly, regardless of the outcome of the advisory vote, if the Merger is consummated and MYnd’s named executive officers are terminated in connection with the Merger, the named executive officers will be eligible to receive the compensation that is based on or otherwise relates to the Merger in accordance with the terms and conditions applicable to the underlying severance agreements, equity awards and other arrangements MYnd entered into with these named executive officers.
Required Vote; Recommendation of Board of Directors
The affirmative vote of the holders of a majority of the shares of MYnd common stock having voting power present in person or represented by proxy at the MYnd special meeting is required to approve the non-binding advisory vote on merger-related executive compensation arrangements.
THE MYND BOARD OF DIRECTORS UNANIMOUSLY RECOMMENDS THAT THE MYND STOCKHOLDERS VOTE “FOR” MYND PROPOSAL NO. 5 TO APPROVE, ON A NON-BINDING ADVISORY VOTE BASIS, COMPENSATION THAT WILL OR MAY BECOME PAYABLE BY MYND TO ITS NAMED EXECUTIVE OFFICERS IN CONNECTION WITH THE MERGER.
MYnd Stockholder Proposal No. 6: Approval of Possible Adjournment of the MYnd Special Meeting
If MYnd fails to receive a sufficient number of votes to approve MYnd Stockholder Proposal Nos. 1, 2, 3, 4 and 5, MYnd may propose to adjourn the MYnd special meeting, for a period of not more than 15 days, for the purpose of soliciting additional proxies to approve MYnd Stockholder Proposal Nos. 1, 2, 3, 4 and 5. MYnd currently does not intend to propose adjournment at the MYnd special meeting if there are sufficient votes to approve MYnd Stockholder Proposal Nos. 1, 2, 3, 4 and 5.
Required Vote; Recommendation of Board of Directors
The affirmative vote of the holders of a majority of the shares of MYnd common stock having voting power present in person or represented by proxy at the MYnd special meeting is required to approve the adjournment of the MYnd special meeting for the purpose of soliciting additional proxies to approve MYnd Stockholder Proposal Nos. 1, 2, 3, 4 and 5.
THE MYND BOARD OF DIRECTORS UNANIMOUSLY RECOMMENDS THAT THE MYND STOCKHOLDERS VOTE “FOR” MYND PROPOSAL NO. 6 TO ADJOURN THE SPECIAL MEETING, IF NECESSARY, TO SOLICIT ADDITIONAL PROXIES IF THERE ARE NOT SUFFICIENT VOTES IN FAVOR OF MYND PROPOSAL NOS. 1, 2, 3, 4 and 5.
150
Introduction
MYnd employs a clinically validated scalable technology platform to support personalized care for mental health patients. MYnd utilizes its patented machine learning, artificial intelligence, data analytics platform for the delivery of telebehavioral health services and its PEER predictive analytics product offering. On November 13, 2017, MYnd acquired Arcadian Telepsychiatry Services LLC (“Arcadian”), which manages the delivery of telepsychiatry and telebehavioral health services through a nationwide network of licensed and credentialed psychiatrists, psychologists and master’s-level therapists. MYnd is commercializing its PEER predictive analytics tool to help physicians reduce trial and error treatment in mental health. MYnd’s patented, clinically validated technology platform (“PEER Online”) utilizes complex algorithms to analyze electroencephalograms (“EEGs”) to generate Psychiatric EEG Evaluation Registry (“PEER”) Reports to predict individual responses to a range of medications prescribed for the treatment of behavioral disorders including depression, anxiety, bipolar disorder, post-traumatic stress disorder (“PTSD”) and other non-psychotic disorders.
MYnd entered into an equity purchase agreement (the “Agreement”) with Arcadian and Mr. Robert Plotkin, pursuant to which MYnd acquired all of the issued and outstanding membership interests (the “Equity Interests”) of Arcadian from Mr. Plotkin. In consideration for the Equity Interests, MYnd entered into an employment agreement with Mr. Plotkin, pursuant to which MYnd will continue to employ Mr. Plotkin as the CEO of Arcadian for an annual salary of $215,000, and granted him 35,000 options to purchase common stock of MYnd. In addition, MYnd entered into the Guaranty (as described below).
In connection with the Agreement, Arcadian entered into the Side Agreement and Seed Capital Amendment with Ben Franklin Technology Partners of Southeastern Pennsylvania (“BFTP”), pursuant to which BFTP waived its rights (a) to an equity conversion contemplated by the existing funding agreements (as they may be amended, supplemented or otherwise modified from time to time, the “BFTP Loan Documents”) between Arcadian and BFTP, under which BFTP has loaned Arcadian, as of August 31, 2017, the aggregate principal amount of $700,000 and upon which an aggregate of $85,496 of interest had then accrued (collectively, the “Loan Amount”) and (b) to act as an observer to Arcadian’s board. Under the Side Agreement and Seed Capital Amendment, Arcadian acknowledged and reaffirmed all of BFTP’s claims, encumbrances granted by Arcadian to BFTP, and BFTP’s other rights, interests and remedies pursuant to the BFTP Loan Documents and otherwise. The effectiveness of the Side Agreement and Seed Capital Amendment are conditioned upon (i) Arcadian making a one-time payment to BFTP of $175,000 as payment for the redemption and cancellation of two warrants to purchase equity interests in Arcadian and (ii) MYnd entering into a guaranty with respect to Arcadian’s obligations (including the Loan Amount) to BFTP under the BFTP Loan Documents, as amended by the Side Agreement and Seed Capital Amendment. Upon satisfaction of the foregoing conditions, the aforementioned BFTP rights will be waived and the BFTP warrants will be cancelled. The Side Agreement and Seed Capital Amendment further provide that following the closing of the transactions contemplated by the Agreement, MYnd will be obligated to complete all financial reporting to BFTP required under the BFTP Loan Documents.
In addition, MYnd executed an absolute, unconditional, irrevocable and continuing guaranty and suretyship (the “Guaranty”) in favor of BFTP, pursuant to which it unconditionally guaranteed the prompt payment and performance, when due, of all loans (including the Loan Amount), advances, debts, liabilities, obligations, covenants and duties owing by Arcadian to BFTP under the BFTP Loan Documents. Under the Guaranty, if Arcadian defaults under any obligation under the BFTP Loan Documents, MYnd will be required to pay the amount then due to BFTP. The Guaranty contains representations, warranties, covenants, conditions, events of default and indemnities that are customary for agreements of this type.
The Market for Telebehavioral Health and Predictive Healthcare
Telebehavioral health services involve the use of video conferencing equipment to conduct real time mental health consultations between a clinician and patient including individuals living in underserved areas or those with limited access to services. Over eighty-nine million Americans live in federally designated Mental Health Professional Shortage Areas. Two-thirds of US primary care physicians report not having adequate access to psychiatric care for their patients. Arcadian facilitates on-demand telebehavioral health services to expedite assessment, diagnosis, treatment, and disposition of patients in a wide variety of settings.
151
Analysts have identified predictive healthcare as one of the fastest-growing markets in healthcare, particularly, healthcare startups using advanced machine learning algorithms for medical imaging and diagnostics, remote patient monitoring, and risk prediction. The global healthcare analytics market is expected to reach USD $42.8 billion by 2024, according to a report by Grand View Research, Inc. Efforts to reduce the spiraling healthcare costs are facilitating the usage of healthcare analytics. Additionally, the benefits of healthcare analytics include the improvement of patient access to customized care, the furthering of transparent operations to enable better public oversight, and innovation in patient care delivery and services.
The Challenge and the Opportunity
The American Psychiatric Association estimates that between $26 billion and $48 billion could be saved annually through effective integration of medical and behavioral health services. Traditional in-person patient encounters for behavioral health are hampered by relative shortages of behavioral health clinicians, especially in areas of the country where there is the greatest need. Arcadian’s customers are payers, health plans, Employee Assistance Programs (“EAPs”), and provider groups. With the benefit of the MYnd technology platform, Arcadian is positioned to capitalize on the need for behavioral health services, overcoming gaps in care access, while supporting healthcare organizations nationwide.
Psychotropic medications have become the dominant treatment for mild to severe behavioral disorders with greater than 400% growth in the prescription of antidepressant medications over the last two decades. However, recent research has emerged challenging the assumption of efficacy of strategies for prescribing psychotropic medications for the treatment of mild to severe behavioral disorders, finding that these medications often do not work or lose their efficacy over time.
Currently, due to the lack of objective neurophysiological data available to physicians of brain function, physicians regularly make prescribing decisions based on incomplete symptomatic factors. To address this unmet medical need, we offer our PEER Online technology to analyze an individual’s digital Quantitative EEG (“QEEG”), correlating the individual’s QEEG features with medication outcomes in our proprietary database of over 11,000 unique patients to predict the efficacy of psychotropic medications by class and individual medication. The output of this analysis - the PEER Report - has been used as adjunctive information by physicians for over a decade on patients suffering from behavioral disorders including depression, anxiety disorders, obsessive-compulsive disorder (“OCD”), bipolar disorder, PTSD, addiction and eating disorders, including anorexia.
The Mental Health Parity and Addiction Equity Act (MHPAEA) requires health plans to ensure parity between medical/surgical benefits and mental health/substance use disorder (MH/SUD) benefits. Specifically, plans must offer parity in both numerical or “quantitative” financial requirements or treatment limits (e.g., cost sharing and day or visit limits) and “non-quantitative” treatment limits. This legislation drove a substantial increase in reimbursement transparency: plan administrators must now provide detailed criteria for medical necessity determinations relating to MH/SUD, including prior authorization requirements, determinations that a treatment is experimental, methods for reimbursing providers, step-therapy programs, and restrictions based on geographic location or facility type.
Further, key conditions of the 21st Century Cures Act have recently required the Departments of Labor, Treasury, and Health and Human Services to strengthen their enforcement of the MHPAEA, requiring audits and enforcement actions for any health insurer or group health plan that has violated MHPAEA at least five times.
Milliman Global Actuaries recently released a report on mental health utilization from 2008-13, the period in which the initial Parity regulations were implemented. For commercial health plans, outpatient visits increased by 19.5% for mental health care compared to only 2% for medical-surgical treatments; professional services increased by 9.1% for mental health versus 3.1% for medical-surgical care. In summary, the practical effect of these regulations is that mental health care visits have increased significantly, and we believe that current procedures with existing reimbursement codes such as EEG will be increasingly reimbursed by payers.
Arcadian Telepsychiatry Services LLC
Arcadian Telepsychiatry Services LLC, our wholly owned subsidiary acquired in November 2017, manages the delivery of telebehavioral health services through a multi-state network of licensed and credentialed psychiatrists, psychologists and other behavioral health therapists (“Providers”). Although many companies provide broad telehealth services within the U.S., only a few companies have a primary focus on telepsychiatry and telebehavioral health. Arcadian’s business model is unique, because it has access to a broad network of licensed behavioral health professionals exclusively focused on telepsychiatry and telebehavioral health. These Providers collectively offer a full suite of behavioral health and wellness services, including short-term (urgent), medium-term (rehabilitation) and long-term (management) behavioral care.
152
Arcadian’s telehealth service delivery model is optimized to deliver behavioral health care anytime and anywhere, offering unprecedented access to behavioral health services. All technology for scheduling and videoconferencing is accessible through a secure portal, creating a seamless experience for the patient, referring physician, and Arcadian provider. The Providers’ services include initial and follow-up psychiatric evaluations and diagnoses, medication prescribing and monitoring, urgent on-call evaluations, forensic and legal evaluations, individual and family counseling (e.g., grief, behavior problems, job loss) and drug and alcohol abuse rehabilitation counseling. Arcadian also arranges for services through Employee Assistance Programs (teleEAP) that many employers include as part of their employee benefits packages.
Arcadian contracts for most of its Providers’ services through contracts (each a “Service Agreement”) with the Providers. Neither MYnd nor Arcadian has an ownership interest in any Provider, nor any employment relationships with any Provider. All Providers are required to maintain proper state licensing, credentialing and malpractice insurance. In a typical Service Agreement, Arcadian provides certain management and administrative services in support of the Providers’ non-medical functions and the Providers provide telebehavioral health services.
Arcadian and its Providers currently have contracts with 32 insurance companies, human capital management corporations (i.e., EAP benefits), outpatient diagnostic and treatment centers, drug and alcohol rehabilitation centers (outpatient and residential), community behavioral health clinics, treatment and rehabilitation centers, corrections facilities, and post-acute care centers. Arcadian is exploring expansion opportunities by providing services to emergency departments, schools (K-12 and college) and large employers. Arcadian’s contracts span from Pennsylvania to California and North Dakota to Louisiana and Texas.
Commercial Strategy
We plan to drive adoption of our technology and secure sustained profitability through the following plan:
| 1. | Continue integration of Arcadian’s business into MYnd’s technology platform to enable scalable growth and achieve incremental growth through the integration of the MYnd offering with the Arcadian network. We are continuing the integration of Arcadian functions that support scheduling, clinical management and billing operations with the MYnd operating platform to ensure operational efficiency and scalable growth. By doing so, we believe we will have a unique platform which both improves access to and efficacy of behavioral health treatments. |
| 2. | Commercialize PEER through direct marketing to payers, providers and patients. MYnd has implemented a multi-prong strategy to increase patient and provider awareness of the PEER platform involving direct sales, social media and call centers. |
| 3. | Continue to pursue military and veterans’ engagements in the US and globally. Due to the high visibility of mental and emotional disorders in their organizations, the military and veterans’ administration possess the ability to sustain demand and need for intervention. We intend to continue the pursue relationships with the military of the United States, Canada and other countries, to improve the condition of those serving and veterans. We have submitted an application for a federal supply schedule solicitation with the Department of Veterans Affairs which, if granted, would provide MYnd with a five year General Services Administrative contract with all agencies of the Federal government. MYnd has commenced a clinical trial with the Canadian Armed Forces, which will provide both NATO and Health Canada (Canada’s single payer system) experience with our PEER technology. It will also increase the size of our data base, and potentially result in PEER being adopted as a standard of care by Health Canada. |
| 4. | Identify and implement strategic opportunities to capitalize on the MYnd technology platform. MYnd anticipates that recognition of the utility of the MYnd technology platform will follow with increasing market adoption. Accordingly, we will pursue strategic partnerships, licensing and distribution opportunities with global enterprise customers who provide electronic medical records, prescribing tools, and other large scale clinical management functions. In addition, MYnd may evaluate and pursue other strategic opportunities that could prove to be beneficial to MYnd’s business. |
153
PEER Report and PEER Online Database
A PEER Report is a personalized report for a patient which is generated after the patient receives an EEG. An EEG is a painless, non-invasive test that records the brain’s electrical activity and provides a basis for comparison against others within the PEER database. MYnd utilizes AI, machine learning and data analytics in order to inform therapeutic regimens, thereby improving patient outcomes and reducing healthcare costs. The PEER Reports use data from EEG tests, outcomes and machine learning to identify endophenotypic markers of drug response. This big data approach has allowed MYnd to generate a large clinical registry and database of predictive algorithms from more than 11,000 unique patients with psychiatric or addictive problems and 40,000 clinical outcomes.
The PEER Outcomes Database consists of physician-provided assessments of the clinical long-term outcomes of patients and their associated medications. The clinical outcomes of patients are recorded using an industry-standard outcome rating scale, the Clinical Global Impression-Improvement scale (“CGI-I”). The CGI-I allows a clinician to rate how much the patient’s illness has improved or worsened relative to a baseline state. A patient’s illness is compared to change over time and rated as: very much improved, much improved, minimally improved, no change, minimally worse, much worse, or very much worse. The format of the data is standardized and that standard is enforced at the time of capture by a software application. Outcome data is input into the database by the treating physician or their office staff. Each physician has access to their patient data through the software tool that captures the clinical outcome data.
We consider the information contained in the PEER Online database to be a valuable trade secret and are diligent about protecting such information. The PEER Online database is stored on a secure server to which only a limited number of employees have access.
Competitive Advantages of MYnd Technology Platform
MYnd technologies utilizes what is believed to be the largest database of longitudinal patient outcomes, collected from our subscribing physicians and patients over more than a decade. Because our data platform “learns”, it supports physicians in personalizing treatment of patients. PEER offers practical advantages to physicians and patients, including:
| ● | Scalable and Applicable to Other Services - Our products are built on a secure, HIPAA-compliant Force.com platform which is inherently scalable, i.e. services can be ordered and delivered to any physician with a web browser. The platform is capable of distributing point-of-care data to physicians for new drugs, non-pharmacological treatments, and other findings that are timely and clinically important for clinicians. |
| ● | Clinical utility - PEER results are available same-day and provide objective, actionable data to support treating physicians. |
| ● | Machine learning - A core attribute of the PEER Registry approach is that it “learns”, using machine learning algorithms to improve the accuracy of recommendations as outcomes are added to the database. |
| ● | Higher Efficacy - Findings presented at the Military Health Services Research Symposium in August 2016 included pooled results from all four randomized trials of PEER, with an average 47% improvement (mean change from baseline) for PEER-guided treatments, compared to only 16% average improvement in the standard of care group. In other words, physicians with PEER information in our study had three times higher medication efficacy than physicians treating as usual without the benefit of PEER. |
154
| ● | Pharmacogenomics - Currently, we believe that the most proven targets for pharmacogenomics are in the liver - a CYP450 drug metabolism - which apply to less than 15% of Americans. Conversely, PEER is based on functional brain activity and therefore, is more broadly applicable. |
Clinical Results and Independent Validation
PEER has abundant literature showing (1) it affects treatment management decisions, (2) the decisions result in ‘strong’ effects on established measures of effectiveness (>3- fold more than what has been reported by FDA and Cochrane review groups on effects of drugs without benefit of PEER), (3) improved quality of life scores, (4) safety comparable to existing treatment regimens, (5) generalizability to many settings across many types of patients, and (6) substantial cost offsets.
In the 2017 PEER Report Dossier prepared by John Hornberger of Cedar Associates LLC and a Stanford Health Policy Adjunct Affiliate it is stated that “EEG is a well-standardized clinical tool that has been used for decades. As such, the processes for ordering and performing EGG are established and seamless. PEER represents the next logical enhancement, which is to link the automated, quantitative EEG findings with phenotypes (in this case, with drug response in patients with TRD) using the world’s largest clinical repository. The four randomized trials met the essential criteria of showing that PEER increases response rates; because of the strength of randomization, it leads to strong inference that the effect found in the studies were authentic, not due to a confounding factor. Also, the effect was large enough that relatively modest sample were sufficient to demonstrate the effect was very unlikely (less than 1% risk) of being due to random chance alone. In addition, more than 45 studies have shown the feasibility of a well-validated and useful EEG-clinical repository platform to work across many settings and for many types of patients with depression. Due to the high cost of non-response in depression, and the strong effect found in controlled, prospective trials of PEER, use of PEER at its recommended list price represents a substantial cost-saving opportunity for health plans, especially those facing renewed efforts by employers and government agencies to provide and document readily more affordable, value-based care.”
Marketing and Sales
MYnd will pursue aggressively the expansion of its Arcadian telebehavioral health network, by increasing the number of contracted payors and providers and its geographic reach. MYnd will continue to focus marketing efforts on the geographies where there might be fewer available therapists as it continues to develop Arcadian’s network. MYnd will rely upon its in-house marketing staff to continue to market Arcadian services to insurance companies, EAPs and community behavioral health centers.
MYnd will actively pursue cross sales of Arcadian managed care and health system clients. MYnd will continue to market paid pilot programs such as the Horizon Blue Cross Blue Shield pilot, while it campaigns for coverage determinations from large health plans and health systems.
MYnd also plans to bring this platform to primary care providers, currently the main locus of treatment for behavioral disorders and a physician group that deals every day with the limited access to behavioral health specialists and the poor efficacy of current treatments.
Competition
While the telehealth market is in an early stage of development, it is competitive, and we expect it to attract increased competition, which could make it difficult for us to succeed. We currently face competition in the telehealth industry for our solution from a range of companies, including specialized software and solution providers that offer similar solutions, often at substantially lower prices, and that are continuing to develop additional products and becoming more sophisticated and effective. Competition from specialized software and solution providers, health plans and other parties will result in continued pricing pressures, which are likely to lead to price declines, which, in turn, could negatively impact our sales, profitability and market share.
155
Some of our competitors may have greater name recognition, including Teladoc, MDLive, Doctor on Demand and American Well, longer operating histories and significantly greater resources than we do. Further, our current or potential competitors may be acquired by third parties with greater available resources. As a result, our competitors may be able to respond more quickly and effectively than we can to new or changing opportunities, technologies, standards or customer requirements and may have the ability to initiate or withstand substantial price competition. In addition, current and potential competitors have established, and may in the future establish, cooperative relationships with vendors of complementary products, technologies or services to increase the availability of their solutions in the marketplace. Accordingly, new competitors or alliances may emerge that have greater market share, a larger customer base, more widely adopted proprietary technologies, greater marketing expertise, greater financial resources and larger sales forces than we have, which could put us at a competitive disadvantage. Our competitors could also be better positioned to serve certain segments of the telehealth market, which could create additional price pressure. In light of these factors, even if our solution is more effective than those of our competitors, current or potential clients may accept competitive solutions in lieu of purchasing our solution. If we are unable to successfully compete in the telehealth market, our business, financial condition and results of operations could be materially adversely affected.
Although we are not aware of any company that offers a service directly comparable to PEER Online services, several companies having greater financial and other resources than MYnd have suggested that they may be pursuing similar strategies, including Assurerx, Genomind, Verily, IBM Corporation and Google. All of these companies have reported developing either a genomic-based test strategy or other AI analysis of the health metrics to aid treatment.
Intellectual Property
Covering The Use Of The PEER Online Database
We have 20 issued patents, of which seven are in the U.S., at least one of which covers the process of using the data presented in our PEER Online service. Our patents will expire between July 2019 and June 2019 and cover QEEG (quantitative electrophysiology). We have been issued patents in the following countries and regions: Canada (three patents), Europe (two patents), Australia (three patents), Mexico (two patents), Japan (two patents) and Israel (one patent). We also have filed multiple additional patent applications for our technology in the U.S., Europe and Canada.
One US patent approval was for a distinctly new patent estate, covering internet transmission of neurometric information. This new allowance under its basic methods patent portfolio, patent number 8,239,013, covers remote or web-based transmission of neurometric data.
During 2009 and 2011, we were awarded additional process patents for use of PEER Online technology in drug discovery, including clinical trial and drug efficacy studies. In addition, we successfully defended our patents by requesting reexamination of a patent issued to Aspect Medical (acquired by Covidien, plc.), resulting in a reduction and narrowing of claims awarded under the previously issued Aspect Medical patents.
Transcranial Magnetic Stimulation
MYnd has filed patent applications in the U.S. and Canada related to MYnd’s acquisition of patient responsivity data for Transcranial Magnetic Stimulation (“TMS”). This would be MYnd’s first application for a neurometric predictor of a non-drug therapy. MYnd anticipates using this methodology to help physicians better understand which patients may positively respond to TMS for treating depression. The U.S. and Canadian patent applications are entitled “Method for Assessing the Susceptibility of a Human Individual Suffering from a Psychiatric or Neurological Disorder to Neuromodulation Treatment.”
TMS is a non-invasive outpatient procedure that uses magnetic fields to stimulate areas of the brain thought to control mood. TMS is sometimes used as an alternative treatment for patients who have failed one or more antidepressants for the treatment of depression. While treatment periods vary by patient, a typical treatment regimen generally involves 20 to 30 treatments over a four to six week period. TMS responsivity data, which is based on QEEG, helps physicians learn how patients with similar EEG patterns responded to TMS, thereby enabling them to more effectively guide patients most likely to benefit from this treatment and reduce expenditures on patients for whom TMS is not likely to be an effective solution for their depression.
Trademarks
“rEEG”, “PEER Online” (web-based software application), “PEER Online” (web-based services), and “MYnd Analytics” (word mark) are registered trademarks of MYnd in the United States. We will continue to expand our brand names and our proprietary trademarks worldwide as our operations expand.
156
Government Regulation
Arcadian
The healthcare industry, including behavioral healthcare, is extensively regulated at both the state and federal levels. The laws and rules on the practice of behavioral healthcare and telehealth continue to evolve, and MYnd will devote significant resources to monitoring these developments. As the applicable laws and rules change, Arcadian must conform its business processes from time to time to be in compliance with these changes.
Provider Licensing, Corporate Practice Restrictions, Certification and Scope of Practice
The practice of health care professions, including the provision of behavioral health services, is subject to various federal, state and local certification and licensing laws, regulations and approvals, relating to, among other things, the adequacy of health care, the practice of medicine and other health professions (including the provision of remote care and cross-coverage practice), equipment, personnel, operating policies and procedures and the prerequisites for prescribing medication. In addition, the provision of health care services through any kind of clinic, facility, storefront or other location open to the public is often subject to state clinic licensure laws akin to those that health facilities like hospitals, surgery centers and urgent care clinics must obtain and maintain. MYnd does not operate or promote any physical place to obtain healthcare and therefore does not believe it is subject to any clinic licensure requirements, but the application of some of these laws to MYnd and telehealth is unclear and subject to differing interpretation.
Some states have enacted regulations specific to providing services to patients via telehealth. Such regulations include informed consent requirements that some states require providers to obtain from their patients before providing telehealth services. Behavioral health professionals who provide professional services using telehealth modalities must, in most instances, hold a valid license to practice the applicable health profession in the state in which the patient is located. In addition, certain states require a physician providing telepsychiatry to be physically located in the same state as the patient. Arcadian requires each Provider to put in place procedures to ensure that the Provider is in compliance with all applicable laws and regulations. Nevertheless, any failure to comply with these laws and regulations could result in civil or criminal penalties against Arcadian.
Corporate Practice; Fee-Splitting
Arcadian contracts with Providers to help make their psychiatric, psychological and other behavioral health services available to customers. In addition, Arcadian provides a wide range of services to Providers, and the Providers pay Arcadian for those services. These contractual relationships are subject to various state laws, including those in New York, Texas and California, that prohibit professionals from sharing a portion of their professional fees with nonprofessionals (i.e., fee-splitting) and prohibit the practice of medicine or another health profession by lay entities or persons (i.e., corporate practice restrictions) and are intended to prevent unlicensed persons from interfering with or influencing a professional’s judgment.
State corporate practice and fee-splitting laws vary from state to state and are not consistent among states. In addition, these requirements are subject to broad powers of interpretation and enforcement by state regulators and the courts. may apply to Arcadian if a Provider is licensed there. Accordingly, administrative and management services provided by Arcadian to the Providers, such as scheduling, contracting, setting rates and the hiring and management of clinical personnel, may be considered an element of the practice of a health profession under certain state corporate practice doctrines. Decisions and activities may be viewed by regulatory authorities or other parties, including the Providers, as violating these fee-splitting and the corporate practice restrictions on of the health profession. An adverse finding with respect to fee-splitting and corporate practice restrictions could lead to judicial or administrative action against Arcadian or its Providers, civil or criminal penalties, receipt of cease and desist orders from state regulators, loss of Provider licenses, or the need to revise Service Agreements all in ways that may interfere with Arcadian’s business, cause other materially adverse consequences and may cause a substantial disruption to Arcadian’s business model.
157
Federal and State Fraud and Abuse Laws
Federal and State Anti-Kickback Statutes
MYnd must comply with the federal and state anti-kickback statutes. The federal Anti-Kickback Statute is broadly worded and prohibits the knowing and willful offer, payment, solicitation or receipt of any form of remuneration in return for, or to induce, (i) the referral of a person covered by Medicare, Medicaid or other federal governmental programs, (ii) the furnishing or arranging for the furnishing of items or services reimbursable under Medicare, Medicaid or other federal governmental programs or (iii) the purchasing, leasing or ordering or arranging or recommending purchasing, leasing or ordering of any item or service reimbursable under Medicare, Medicaid or other federal governmental programs. Certain federal courts have held that the federal Anti-Kickback Statute can be violated if “one purpose” of a payment is to induce referrals. In addition, a person or entity does not need to have actual knowledge of this statute or specific intent to violate it to have committed a violation, making it easier for the government to prove that a defendant had the requisite state of mind or “scienter” required for a violation. Moreover, the government may assert that a claim including items or services resulting from a violation of the federal Anti-Kickback Statute constitutes a false or fraudulent claim for purposes of the False Claims Act, as discussed below. Violations of the federal Anti-Kickback Statute may result in exclusion from Medicare, Medicaid or other federal governmental programs as well as civil and criminal penalties, including fines of $50,000 per violation and three times the amount of the unlawful remuneration. Imposition of any of these remedies could have a material adverse effect on our business, financial condition and results of operations.
State anti-kickback statutes require compliance independent of the federal Anti-Kickback Statute. Some state anti-kickback statutes prohibit the same conduct as the federal Anti-Kickback Statute, but may apply the prohibition broadly to all payor-reimbursed services, not just those that are federally funded. Other state anti-kickback statutes are limited to Medicaid services, while still others apply only to patient referrals and not to actions that involve “arranging or recommending” healthcare items or services. Very few state anti-kickback statutes have the extensive safe harbors and regulatory guidance of the federal Anti-Kickback Statute, making interpretation of the scope of the statutes more uncertain than the federal Anti-Kickback Statute. Like the federal Anti-Kickback Statute, violations of most state anti-kickback laws are subject to criminal sanctions. Accordingly, MYnd must analyze and ensure that it complies with state anti-kickback statutes whenever it commences operations in a new state. Any violation of state anti-kickback laws, therefore, could have a material adverse effect on our business, financial condition and results of operations.
Physician Self-Referral Laws
There is a federal physician self-referral prohibition, commonly known as the Stark Law, which prohibits a physician from referring Medicare patients to an entity providing “designated health services” if the physician or a member of such physician’s immediate family has a “financial relationship” with the entity, unless an exception applies. We do not believe MYnd’s operations, including those of Arcadian, implicate the Stark Law, because neither MYnd nor Arcadian nor the Providers acting pursuant to the Services Agreements offer or provide any services that would be considered designated health services under the Stark Law. As with the anti-kickback laws, however, physician self-referral prohibitions exist at the state level and, like the Stark Law, apply civil penalties to violations of their terms. These state physician self-referral laws are often similar to the Stark Law, but may apply to different services than the Stark Law and may have different exceptions. MYnd does not believe it is noncompliant with any state physician self-referral laws, but these laws are often vague, subject to amendment and lacking in court precedent or regulatory guidance. It is possible, therefore, that now or in the future MYnd could be found to be out of compliance with one or more state physician self-referral laws. Any such noncompliance could have a material adverse effect on our business, financial condition and results of operations.
Federal and State False Claims Statutes
Both federal and state government agencies have continued civil and criminal enforcement efforts as part of numerous ongoing investigations of healthcare companies and their executives and managers. Although there are a number of civil and criminal statutes that can be applied to healthcare providers, a significant number of these investigations involve the federal False Claims Act. These investigations can be initiated not only by the government, but also by a private party asserting direct knowledge of fraud. These “qui tam” whistleblower lawsuits may be initiated against any person or entity alleging such person or entity has knowingly or recklessly presented, or caused to be presented, a false or fraudulent request for payment from the federal government, or has made a false statement or used a false record to get a claim approved. In addition, the improper retention of an overpayment for 60 days or more is also a basis for a False Claim Act action, even if the claim was originally submitted appropriately. Penalties for False Claims Act violations include fines ranging from $5,500 to $11,000 for each false claim, plus up to three times the amount of damages sustained by the federal government. A False Claims Act violation may provide the basis for exclusion from government-funded healthcare programs.
158
In addition, some states have laws similar to the False Claims Act. The scope of these laws and the interpretations of them vary from state to state and are enforced by state courts and regulatory authorities, each with broad discretion. Some state false claims laws apply to claims for health care or services submitted to any third-party payor, including commercial insurers, not just those reimbursed by a government-funded healthcare program. A determination of liability under such state false claims laws could result in fines and penalties and restrictions on MYnd’s ability to operate in these jurisdictions and have a material adverse effect on our business, financial condition and results of operations.
Other Healthcare Anti-Fraud Laws
The federal Health Insurance Portability and Accountability Act of 1996, as amended by the Health Information Technology for Economic and Clinical Health Act, or HITECH, and their implementing regulations, collectively referred to as HIPAA, established several separate crimes for making false or fraudulent claims to insurance companies and other governmental payors of healthcare services. Under HIPAA, these two additional federal crimes are: “Healthcare Fraud” and “False Statements Relating to Healthcare Matters.” The Healthcare Fraud statute, 18 U.S.C. § 1347, prohibits knowingly and willfully executing or attempting to execute a scheme or artifice to defraud any healthcare benefit program, including private payors, or obtaining by means of false or fraudulent pretenses, representations or promises any of the money of the healthcare benefit program in connection with the delivery of, or payment for, healthcare benefits, items or services. A violation of this statute may result in fines, imprisonment or exclusion from government-sponsored healthcare programs. The False Statements Relating to Healthcare Matters statute, 18 U.S.C. §1035, prohibits knowingly and willfully falsifying, concealing or covering up a material fact by any trick, scheme or device, making any materially false, fictitious or fraudulent statement or representation, or making or using any materially false writing or document knowing that it contains any materially false, fictitious, or fraudulent statement or entry, in connection with the delivery of or payment for healthcare benefits, items or services. A violation of this statute may result in fines or imprisonment. This statute could be used by the government to assert criminal liability if a healthcare provider knowingly fails to refund an overpayment. These provisions target some of the same conduct in the submission of claims to private payors as the federal False Claims Act covers in connection with governmental health programs.
In addition, the federal Civil Monetary Penalties Law imposes civil administrative sanctions for, among other violations, inappropriate billing of services to federally funded healthcare programs and employing or contracting with individuals or entities who are excluded from participation in federally funded healthcare programs. Moreover, a person who offers or transfers to a Medicare or Medicaid beneficiary any remuneration, including waivers of co-payments and deductible amounts (or any part thereof) that the person knows or should know is likely to influence the beneficiary’s selection of a particular provider, practitioner or supplier of Medicare or Medicaid payable items or services may be liable for civil monetary penalties of up to $10,000 for each wrongful act. Moreover, in certain cases, providers who routinely waive copayments and deductibles for Medicare and Medicaid beneficiaries can also be held liable under the federal Anti-Kickback Statute and civil False Claims Act, which can impose additional penalties associated with the wrongful act.
Any violation of these other healthcare fraud laws could have a material adverse effect on our business, financial condition and results of operations.
State and Federal Health Information Privacy and Security Laws
There are numerous U.S. federal and state laws and regulations related to the privacy and security of personally identifiable information, or PII, including health information. In particular, HIPAA establishes privacy and security standards that limit the use and disclosure of protected health information, or PHI, and requires the implementation of administrative, physical, and technical safeguards to ensure the confidentiality, integrity and availability of individually identifiable health information in electronic form. Arcadian’s Providers and some of its clients are all regulated as covered entities under HIPAA. Since the effective date of the HIPAA Omnibus Final Rule on September 23, 2013, HIPAA’s requirements are also directly applicable to the independent contractors, agents and other “business associates” of covered entities that create, receive, maintain or transmit PHI in connection with providing services to covered entities. Arcadian is a business associate under these requirements.
159
Violations of HIPAA may result in civil and criminal penalties. The civil penalties range from $100 to $50,000 per violation, with a cap of $1.5 million per year for violations of the same standard during the same calendar year. However, a single breach incident can result in violations of multiple standards. HIPAA also contains a breach notification rule. Under the breach notification rule, covered entities must notify affected individuals without unreasonable delay in the case of a breach of unsecured PHI, which may compromise the privacy, security or integrity of the PHI. In addition, notification must be provided to the HHS and the local media in cases where a breach affects more than 500 individuals. Breaches affecting fewer than 500 individuals must be reported to HHS on an annual basis. The regulations also require business associates of covered entities to notify the covered entity of breaches by the business associate.
State attorneys general also have the right to prosecute HIPAA violations committed against residents of their states. Although HIPAA does not create a private right of action that would allow individuals to sue in civil court for a HIPAA violation, its standards have been used as the basis for the duty of care in state civil suits, such as those for negligence or recklessness in misusing personal information. In addition, HIPAA mandates that HHS conduct periodic compliance audits of HIPAA covered entities and their business associates for compliance. It also tasks HHS with establishing a methodology whereby harmed individuals who were the victims of breaches of unsecured PHI may receive a percentage of the Civil Monetary Penalty fine paid by the violator. In light of the HIPAA Omnibus Final Rule, recent enforcement activity, and statements from HHS, we expect increased federal and state privacy and security enforcement efforts.
Many states also have laws that protect the privacy and security of sensitive and personal information, including health information. These laws may be similar to or even more protective than HIPAA and other federal privacy laws. Where state laws are more protective than HIPAA, Arcadian must comply with the state laws, in addition to HIPAA. In certain cases, it may be necessary to modify Arcadian’s planned operations and procedures to comply with these more stringent state laws. Not only may some of these state laws impose fines and penalties upon violators, but also some, unlike HIPAA, may afford private rights of action to individuals who believe their personal information has been misused.
In addition to HIPAA, state health information privacy and state health information privacy laws, Arcadian may be subject to other state and federal privacy laws, including laws that prohibit unfair privacy and security practices and deceptive statements about privacy and security and laws that place specific requirements on certain types of activities, such as data security and texting.
In recent years, there have been a number of publicized data breaches involving the improper use and disclosure of PII and PHI. Many states have responded to these incidents by enacting laws requiring holders of personal information to maintain safeguards and to take certain actions in response to a data breach, such as providing prompt notification of the breach to affected individuals and state officials. In addition, under HIPAA and pursuant to the related contracts that we enter into with our business associates, we must report breaches of unsecured PHI to our contractual partners following discovery of the breach. Notification must also be made in certain circumstances to affected individuals, federal authorities and others.
Any violation of HIPAA or state privacy laws, therefore, could result in civil or even criminal liability, subject us to significant monetary fines, require us to restructure our operations and otherwise have a material adverse effect on our business, financial condition and results of operations.
FDA Regulation
The PEER Outcome database is registered with the United States Food and Federal Drug Administration (“FDA”) and the State of California as a Class I Exempt Device within the category of Medical Device Data System.
We currently intend to continue marketing as a cloud-based neurometric information service branded as PEER Online (“neurometric services”), under our Class I registration, while we continue to pursue the military trial and consider submission of a Class II device premarket notification. If we continue to market PEER Online and the FDA determines that we should be subject to further FDA regulation, it could seek enforcement action against us based upon a position that our PEER Online product represents a Class II medical device, as a result of which we could be forced to cease our marketing activities and pay fines and penalties. In August 2012, the FDA reviewed the study protocol to use our PEER Interactive Product, which is substantially similar to the PEER Online product, and determined that the Walter Reed PEER Trial was considered a Non-Significant Risk (“NSR”) clinical trial and did not require an Investigational Device Exemption.
160
In addition to the foregoing, federal and state laws and regulations relating to the sale of our neurometric services are subject to future changes, as are administrative interpretations of regulatory agencies. In the event that federal and state laws and regulations change, we may need to incur additional costs to seek government approvals for the sale of our neurometric services.
Employees
As of September 30, 2018, our operation has twenty–one full-time employees. We believe that our relations with our employees are good. None of our employees belong to a union.
Corporate Background
MYnd was incorporated in Delaware on March 20, 1987, under the name Age Research, Inc. Prior to January 16, 2007, MYnd (then called Strativation, Inc.) existed as a “shell company” with nominal assets whose sole business was to identify, evaluate and investigate various companies to acquire or with which to merge. On January 16, 2007, we entered into an Agreement and Plan of Merger with CNS Response, Inc., a California corporation formed on January 11, 2000 (“CNS California”), and CNS Merger Corporation, a California corporation and our wholly-owned subsidiary (“MergerCo”) pursuant to which we agreed to acquire CNS California in a merger transaction wherein MergerCo would merge with and into CNS California, with CNS California being the surviving corporation (the “Merger”). On March 7, 2007, the Merger closed, CNS California became our wholly-owned subsidiary, and on the same date we changed our corporate name from Strativation, Inc. to CNS Response, Inc.
At the meeting of shareholders of CNS Response, Inc. held on October 28, 2015, the shareholders approved a proposal to change MYnd’s name to MYnd Analytics, Inc. MYnd’s charter was amended on November 2, 2015.
MYnd actively operates its businesses through MYnd Analytics, Inc. (California) (formerly called CNS Response, Inc. (California) until November 22, 2017) and, until September 30, 2012, also operated the Neuro-Therapy Clinic, Inc. (“NTC”), which was acquired as a wholly-owned subsidiary in January 2008, when it was MYnd’s largest customer.
Our current address is 26522 La Alameda, Suite 290, Mission Viejo, California 92691. Our telephone number is (949) 420-4400 and we maintain a website at www.MYndAnalytics.com. The reference to our web address does not constitute incorporation by reference of the information contained at this site.
161
Overview
In this section of this joint proxy statement/prospectus, references to “we,” “us,” “our,” the “company” or “Emmaus” mean Emmaus Life Sciences, Inc. and its direct and indirect subsidiaries.
We are a commercial-stage biopharmaceutical company engaged in the discovery, development, marketing and sale of innovative treatments and therapies, primarily for rare and orphan diseases and a leader in the treatment of sickle cell disease, or SCD. On July 7, 2017, the U.S. Food and Drug Administration, or FDA, approved our lead product, Endari™ (L-glutamine oral powder), to reduce the acute complications of SCD in adult and pediatric patients five years of age and older.
We began marketing and selling Endari in the United States in January 2018. Endari is reimbursable by the Centers for Medicare and Medicaid Services, and every state provides coverage for Endari for outpatient prescriptions to all eligible Medicaid enrollees within their state Medicaid programs. Additionally, Emmaus has distribution agreements in place with the nation’s leading distributors and pharmacy benefits managers, making Endari available at selected pharmacies nationwide. We realized net revenues of $15.1 million and $5.3 million, respectively, in the year ended December 31, 2018 and the quarter ended March 31, 2019. We expect net revenues to continue to increase as we expand our marketing and commercialization efforts in the United States and commence marketing and commercialization outside the United States.
In January 2018, we filed with the European Medicines Agency, or EMA, an application for marketing authorization of Xyndari™, our L-glutamine oral powder, in the European Union, or EU, for treating SCD. On May 29, 2019, Emmaus announced that the Committee for Medicinal Products for Human Use (CHMP) of the EMA adopted a negative opinion in relation to use of Xyndari™ (glutamine) in the treatment of SCD. The opinion is based on the CHMP’s position that the main clinical study described below in this section does not conclusively support the efficacy of the treatment on SCD patients, although no safety concerns were raised. Emmaus intends to seek a re-examination by the CHMP and reserves its rights to pursue any further action.
In January 2019, we entered into an exclusive license, supply and exclusive distribution agreement with taiba Healthcare, or taiba, to register, commercialize and distribute Endari™ in certain countries throughout the Middle East and North Africa, or MENA, region.
Endari has received Orphan Drug designation from the FDA and Orphan Medicinal designation from the European Commission, or EC, which designations generally afford marketing exclusivity for Endari for a seven-year period in the United States and for a ten-year period in the EU, respectively, following marketing approval. If approved for marketing, Endari also will be entitled to an additional two years of marketing exclusivity in the EU based on Emmaus’ accepted pediatric investigation plan.
SCD is a rare, debilitating and lifelong hereditary blood disorder that affects approximately 100,000 patients in the U.S. and up to 25 million patients worldwide, the majority of which are of African descent. Approximately one in every 365 African-American children are born with SCD. FDA approval of Endari was based upon the results of a 48-week randomized, double-blind, placebo-controlled, multi-center Phase 3 clinical trial evaluating the effects of Endari, as compared to placebo in 230 adults and children with SCD. The results demonstrated that Endari reduced the frequency of sickle cell crises by 25% and hospitalizations by 33%. Additional findings included a 41% decrease in cumulative hospital days and greater than 60% fewer incidents of acute chest syndrome in patients treated with Endari.
The safety of Endari was based upon data from 298 patients, 187 treated with Endari and 111 patients treated with placebo in Phase 2 and Phase 3 studies. Endari’s safety profile was similar to placebo, and Endari was well-tolerated in pediatric and adult patients alike. The most common adverse reactions, occurring in more than 10% of patients treated with Endari, were constipation, nausea, headache, abdominal pain, cough, pain in extremity, back pain, and chest pain (non-cardiac).
On July 4, 2018, the FDA acknowledged receipt of our investigational new drug application, or IND, for the treatment of diverticulosis using the same pharmaceutical-grade L-glutamine oral powder used in Endari. We subsequently received a “Study May Proceed” letter from the FDA, and in April 2019 we intend to commence a Pilot/Phase 1 study of the safety and efficacy of pharmaceutical-grade L-glutamine oral powder in 10 patients at multiple study sites. The study will evaluate the change in the number and size of colonic diverticula and assess safety.
162
An Emmaus-led team at Los Angeles Biomedical Research Institute, or LA BioMed, an independent non-profit biomedical research organization academically affiliated with the David Geffen School of Medicine at University of California, at Los Angeles that works in partnership with Harbor-UCLA Medical Center, is conducting pre-clinical studies of Cultured Autologous Oral Mucosal Epithelial Cell Sheet, or CAOMECS, technology licensed by us from our strategic partner, CellSeed Inc., a Japanese company, which we refer to as CellSeed. Our lead CAOMECS program is for the treatment of corneal diseases. The development of CAOMECS for treating corneal and other diseases is in the early stages.
Sickle Cell Disease—Market Overview
Sickle cell disease is a genetic blood disorder that affects 20 million - 25 million people worldwide and occurs with increasing frequency among those whose ancestors are from regions including sub-Saharan Africa, South America, the Caribbean, Central America, the Middle East, India and Mediterranean regions such as Turkey, Greece and Italy. The U.S. Centers for Disease Control and Prevention estimates that there are as many as 100,000 patients with SCD in the United States, and we estimate there are approximately 80,000 patients in the EU. In regions such as Central Africa, 90% of patients with SCD die by age five and 99% of patients die by age 20. In all regions, SCD requires ongoing physician care and considerable medical intervention. The overall survival of patients in the United States with sickle cell anemia correlates with the severity of their symptoms, especially the number of crises per year.
SCD is characterized by the production of an altered form of hemoglobin which polymerizes and becomes fıbrous, causing the red blood cells of patients with SCD to become sickle shaped, inflexible and adhesive rather than round, smooth and flexible. The complications associated with SCD occur when these inflexible and sticky cells block, or occlude, small blood vessels, which can then cause severe and chronic pain throughout the body due to insufficient oxygen being delivered to tissue, or ischemia, and inflammation. According to an article in Annals of Internal Medicine, “In the Clinic: Sickle Cell Disease” by M.H. Steinberg (September 2011), which we refer to as the Steinberg Article, this leads to long term organ damage, diminished exercise tolerance, increased risk of stroke and infection and decreased lifespan.
Sickle cell crisis, a broad term covering a range of disorders, is one of the most devastating complications of SCD. Types of sickle cell crisis include:
Vaso occlusive crisis, characterized by obstructed blood flow to organs such as the bones, liver, kidney, eye or central nervous system;
Aplastic crisis, characterized by acute anemia typically due to viral infection;
Hemolytic crisis, characterized by accelerated red blood cell death and hemoglobin loss;
Splenic sequestration crisis, characterized by painful enlargement of the spleen due to trapped red blood cells; and
Acute chest syndrome, a potentially life-threatening obstruction of blood supply to the lungs characterized by fever, chest pain, cough and lung infiltrates.
According to the Steinberg Article, acute chest syndrome affects more than half of all patients with SCD and is a common reason for hospitalization. Other symptoms and complications of SCD include swelling of the hands and feet, infections, pneumonia, vision loss, leg ulcers, gallstones and stroke.
A crisis is characterized by excruciating musculoskeletal pain, visceral pain and pain in other locations. These crises occur periodically throughout the life of a person with SCD. In adults, the acute pain typically persists for five or ten days or longer, followed by a dull, aching pain generally ending only after several weeks and sometimes persisting between crises. According to the Steinberg Article, frequency of sickle cell crises varies within patients with SCD from rare occurrences to occurrences several times a month. Approximately 30% of patients have rare crises, 50% have occasional crises, and 20% have weekly or monthly crises. Crisis frequency tends to increase late in the second decade of life and to decrease after the fourth decade. The overall survival of patients in the United States with sickle cell anemia correlates with the severity of their disease state, especially the number of crises per year.
Treatment of sickle cell crisis is burdensome and expensive for patients and payors, as it encompasses costs for hospitalization, urgent care and emergency room visits and prescription pain medication. Endari enhances nicotinamide adenine dinucleotide (“NAD”) synthesis to reduce excessive oxidative stress in sickle red blood cells that induces much of the damage leading to characteristic symptoms of SCD. We believe that Endari, when taken on a daily basis, will decrease the incidence of sickle cell crisis by restoring the flexibility and function of red blood cells in patients with SCD. We believe that regular use of Endari also will reduce the number of costly hospitalizations of patients with SCD, as well as unexpected urgent care and emergency room visits.
163
Limitations of the Current Standard of Care
The other approved pharmaceutical targeting sickle cell crisis is hydroxyurea, which is available in both generic and branded formulations. Hydroxyurea, a drug originally developed as an anticancer chemotherapeutic agent, has been approved as a once daily oral treatment for reducing the frequency of sickle cell crisis and the need for blood transfusions in adult patients with recurrent moderate to severe sickle cell crisis. In December 2017, the FDA granted Addmedica a regular approval to hydroxyurea (Siklos) to reduce the frequency of painful crises and the need for blood transfusions in pediatric patients two years of age and older with sickle cell anemia with recurrent moderate to severe painful crises. While hydroxyurea has been shown to reduce the frequency of sickle cell crisis in some patient groups, it is not suitable for many patients due to significant toxicities and side effects. In particular, hydroxyurea can cause a severe decrease in the number of blood cells in a patient’s bone marrow, which may increase the risk that the patient will develop a serious infection or bleeding, or that the patient will develop certain cancers. Another potential treatment option for SCD, bone marrow transplant, is limited in its use due to the lack of availability of matched donors and the risk of serious complications, including graft versus host disease, infection and potentially death, as well as by its high cost.
Upon onset of sickle cell crisis, the current standard of care is focused on symptom management. Narcotics are typically used for the management of acute pain associated with sickle cell crisis. Pain management often starts with oral medications taken at home at the onset of pain. However, if the pain is not relieved, or if it progresses, patients may seek medical attention in a clinic setting or emergency department. Pain that is not controlled in these settings may require hospitalization for more potent pain medications, typically opioids administered intravenously. The patient must stay in the hospital to receive these intravenous pain medications until the sickle cell crisis resolves and the pain subsides. Other supportive measures during hospitalization include hydration, supplemental oxygen and treatment of any concurrent infections or other conditions.
According to Hematology in Clinical Practice, by Robert S. Hillman et. al. (5th ed. 2011), sickle cell crisis, once it has started, almost always results in tissue damage at the affected site in the body, increasing the importance of preventative measures. While pain medications can be effective in managing pain during sickle cell crisis, they do not affect or resolve the underlying vascular occlusion, tissue ischemia or potential tissue damage. Additionally, opioid narcotics that are generally prescribed to treat pain can also lead to tissue or organ damage and resulting complications and morbidities, prolonged hospital stays and associated continuation of pain and suffering. Given the duration and frequency of sickle cell crises, addiction to these opioid narcotics is also a significant concern.
Endari, our Solution for SCD
We believe Endari may provide a safe and effective means for reducing the frequency of sickle cell crisis in patients with SCD and the need for costly hospital stays or treatment with pain medications such as opioid narcotics. Published academic research identifies L-glutamine as a precursor to NAD, which is the major molecule that regulates and prevents oxidative damage in red blood cells. Several published studies have identified that sickle red blood cells have a significantly increased rate of transport of glutamine, which appears to be driven by the cells’ need to promote NAD synthesis, protecting against the oxidative damage and thereby leading to further improvement in their regulation of oxidative stress. In turn this made sickle red blood cells less adhesive to cells of the interior wall of blood vessels. This implied that there is decreased chance of blockage of blood vessels especially the small ones. In summary, improved regulation of oxidative stress appears to lead to less obstruction or blockage of small blood vessels, thereby alleviating a major cause of the problems that patients with SCD face.
In December 2013, we completed a Phase 3 prospective, randomized, double blind, placebo controlled, parallel group multicenter clinical trial to measure, over a 48-week time frame, as its primary outcome, the reduction in the number of occurrences of sickle cell crises experienced by patients in the trial. All participants other than those who received placebo, including children, received up to 30 grams of Endari daily, dissolved in liquid, split between morning and evening—the same dosage as our Phase 2 clinical trial completed in 2009. Patients were randomized to the study treatment using a 2:1 ratio of Endari to placebo. The randomization was stratified by investigational site and hydroxyurea usage.
164
The clinical trial evaluated the efficacy and safety of Endari in 230 patients (5 to 58 years of age) with sickle cell anemia or sickleβ0-thalassemia who had 2 or more painful crises within 12 months prior to enrollment. Eligible patients stabilized on hydroxyurea for at least 3 months continued their therapy throughout the study. The trial excluded patients who had received blood products within 3 weeks, had renal insufficiency or uncontrolled liver disease, or were pregnant (or planning pregnancy) or lactating. Study patients received Endari or placebo for a treatment duration of 48 weeks followed by 3 weeks of tapering.
Efficacy was demonstrated by a reduction in the number of sickle cell crises through Week 48 and prior to the start of tapering among patients that received Endari compared to patients who received placebo. A sickle cell crisis was defined as a visit to an emergency room/medical facility for sickle cell disease-related pain which was treated with a parenterally administered narcotic or parenterally administered ketorolac. In addition, the occurrence of chest syndrome, priapism, and splenic sequestration were considered sickle cell crises. Treatment with Endari also resulted in fewer hospitalizations due to sickle cell pain at Week 48, fewer cumulative days in hospital and a lower incidence of acute chest syndrome.
Table 3. Results from the Endari Clinical Trial in Sickle Cell Disease
| Endari | Placebo | |||||||
| Event | (n = 152) | (n = 78) | ||||||
| Median number of sickle cell crises (min, max)1 | 3 (0, 15 | ) | 4 (0, 15 | ) | ||||
| Median number of hospitalizations for sickle cell pain (min, max)1 | 2 (0, 14 | ) | 3 (0, 13 | ) | ||||
| Median cumulative days in hospital (min, max)1, | 6.5 (0, 94 | ) | 11 (0, 187 | ) | ||||
| Median time (days) to first sickle cell crisis (95% CI) 1,2 | 84 (62, 109 | ) | 54 (31, 73 | ) | ||||
| Patients with occurrences of acute chest syndrome (%)1 | 13 (8.6 | %) | 18 (23.1 | %) | ||||
| 1. | Measured through 48 weeks of treatment |
| 2. | Hazard Ratio=0.69 (95% CI=0.52, 0.93), estimated based on unstratified Cox’s proportional model. Median time and 95% CI were estimated based on the Kaplan Meier method. |
The recurrent crisis event time analysis (Figure 1) yielded an intensity rate ratio (IRR) value of 0.75 with 95% CI= (0.62, 0.90) and (0.55, 1.01) based on unstratified models using the Andersen-Gill and Lin, Wei, Yang and Ying methods, respectively in favor of Endari, suggesting that over the entire 48- week period, the average cumulative crisis count was reduced by 25% from the Endari group over the placebo group.
Figure 1. Recurrent Event Time for Sickle Cell Crises by Treatment Group

165
Endari was studied in 2 placebo-controlled clinical trials (a phase 3 study, n=230 and a phase 2 study, n=70). In these trials, patients with sickle cell anemia or sickle β0-thalassemia were randomized to receive Endari (n=187) or placebo (n=111) orally twice daily for 48 weeks followed by 3 weeks of tapering. Both studies included pediatric and adult patients (5-58 years of age) and 54% were female. The majority of patients were black (97.3%), had a diagnosis of sickle cell anemia (89.9%) and were receiving hydroxyurea at baseline (63.4%).
Treatment discontinuation due to adverse reactions was reported in 2.7% (n=5) of patients receiving Endari. These adverse reactions included one case each of hypersplenism, abdominal pain, dyspepsia, burning sensation, and hot flash.
Serious adverse reactions were reported in both treatment groups, more frequently in the placebo group, and were consistent with the underlying disease.
Three deaths (3/187=1.6%) occurred during the study in the Endari treatment group as compared to none in the placebo treatment group. None of the deaths were considered to be related to Endari treatment. Adverse reactions occurring in greater than 10% of patients treated with Endari are shown in Table 2 below.
Table 2. Adverse Reactions Occurring at an Incidence > 10% in Clinical
| Adverse reaction | Endari N = 187 (%) | Placebo N = 111 (%) | ||||||
| Constipation | 21 | 18 | ||||||
| Nausea | 19 | 14 | ||||||
| Headache | 18 | 15 | ||||||
| Abdominal Pain 1 | 17 | 16 | ||||||
| Cough | 16 | 14 | ||||||
| Pain in extremity | 13 | 7 | ||||||
| Back pain | 12 | 5 | ||||||
| Chest pain | 12 | 8 | ||||||
Abdominal pain = abdominal pain and abdominal pain, upper
166
Sales and Marketing Plans for Endari
Since FDA approval of Endari, we have focused our efforts on building a sales and marketing force through a contract sales organization (CSO) to commercialize Endari in the United States. Our sales and marketing efforts are targeted across several different groups, including patients, physicians, health care providers, hospitals, treatment centers, insurance carriers, nonprofit associations, and potentially, collaborations with other pharmaceutical or biotechnology companies. Our in-house product specialists and our CSO sales representatives will focus on:
| ● | promoting Endari to hematologist /oncologists and key opinion leaders in the area of SCD; |
| ● | starting with our 31 Phase 3 clinical trial sites, promoting awareness of Endari at all United States community-based SCD treatment centers; |
| ● | developing collateral materials and informational packets about Endari to educate patients and physicians and garner industry support; |
| ● | establishing collaborative relationships with nonprofit organizations and patient advocacy groups that focus on SCD; and |
| ● | identifying potential licensees and other international opportunities to commercialize Endari, if approved by foreign regulatory authorities. |
In January 2019, we entered into an exclusive license, supply and distribution agreement with taiba to register, commercialize and distribute Endari™ in certain countries throughout the MENA region. Under the terms of the agreement, Emmaus will be entitled to specified milestones payments and a high, double-digit royalty based upon net sales of Endari™ in the region. All costs for commercialization in the territory will be borne by taiba, which has its own distribution network in all Gulf Cooperation Council countries, with a regional office in Dubai and headquarters in Oman.
Diverticulosis
Diverticulosis, or the presence of colonic diverticula (i.e., pouches in the colon wall), is very common in industrialized nations, with its prevalence increasing with age. An estimated 40% of 60-year olds and 70% of 80-year olds have diverticulosis. Of these patients, 10% to 25% are expected to develop diverticulitis, the advancement of peridiverticular inflammation and infection, resulting in abdominal pain, nausea, vomiting, constipation, diarrhea, fever, and leukocytosis.
The pathogenesis of diverticulosis is believed to result from structural abnormalities of the colonic wall, disordered motility and low fiber diets. L-glutamine, a well-known and readily absorbed key intestinal nutrient, has yet to be investigated in the treatment of diverticulosis. However, relationships between glutamine and intestinal physiology have been extensively studied in inflammatory bowel diseases (i.e., ulcerative colitis, Crohn’s disease), short bowel syndrome and as a nutritional therapy for critical illnesses. Overall, glutamine elicits the following mechanisms of action within intestinal cells; promotion of enterocyte proliferation, regulation of tight junction proteins; suppression of pro-inflammatory signaling pathways; suppression of intestinal cell apoptosis and cellular stress; and microbiome regulation. Glutamine also helps to maintain intestinal tissue integrity through various signaling to pathways.
In June 2019 we intend to commence a Pilot/Phase 1 study of pharmaceutical-grade L-glutamine oral powder in 10 patients at multiple study sites. The study will evaluate the change in the number and size of colonic diverticula and assess safety.
CellSeed Collaboration
In June 2016, we entered into a non-exclusive agreement with the Japanese company, CellSeed, Inc. (“CellSeed”), and Dr. Kohji Nishida of the Graduate School of Medicine, Osaka University, Japan, for the development of Cultured Autologous Oral Mucosal Epithelial Cell Sheet (“CAOMECS”) for the treatment of corneal impairments in the United States. Under the agreement, we will be required to pay a single-digit royalty based upon net sales of the technology.
A cell sheet is a composite of cells grown and harvested in an intact sheet, rather than as individual cells. These cell sheets can be used for tissue transplantation or to engineer complex multilayer cell sheets composed of different types of cells. CellSeed’s technology involves culturing cells on a surface coated with the poly(N-isopropylacrylamide) temperature responsive polymer. The thinness of this polymer coating is measured at the nanometer scale. The cells cultured on this polymer can be harvested intact as a composite stratified cell sheet to transplant it precisely on the cornea. Using a patient’s own oral mucosal epithelial cells, we are working toward being able to grow and harvest a cell sheet for directly transplanting onto the cornea of the patient’s affected eye to repair the damaged cornea.
167
An Emmaus-led team at LA BioMed has been conducting preclinical studies on corneal cell sheet technology. Our lead CAOMECS program is for treatment of corneal diseases. CAOMECS products are in preclinical development and have not been approved for marketing in the United States or any jurisdiction. The development of therapeutic products based on this cell sheet technology is in its early stages.
Research and Development
We spent $1.7 million and $2.8 million, respectively, in 2018 and 2017 on research and development. None of these costs were borne or sponsored by our customers.
Raw Materials and Manufacturing
Our SCD treatment uses pharmaceutical grade L-glutamine, or PGLG, which differs from non-prescription grade L-glutamine available as a nutritional supplement. There are limited suppliers from which we can obtain PGLG for the manufacturing of Endari and our other PGLG product candidates.
We currently obtain all of our PGLG, directly or indirectly, from Ajinomoto Health and Nutrition North America, Inc. (“Ajinomoto”), a subsidiary of Ajinomoto North American Holdings, Inc., a food, amino acid and pharmaceutical company. We believe that Ajinomoto produces the majority of the PGLG approved for sale in the United States.
Ajinomoto provided PGLG to us free of charge for our clinical trials of Endari, including our Phase 3 trial. In return, we have agreed to purchase from Ajinomoto substantially all of our commercial needs for PGLG, subject to certain exceptions.
On June 12, 2017, we entered into an API supply agreement with Telcon RF Pharmaceutical, Inc. (formerly, Telcon, Inc.), a South Korea-based company, or Telcon, pursuant to which Telcon paid us approximately ₩36.0 billion KRW (approximately $31.8 million USD) in consideration of the right to supply 25% of our requirements for bulk containers of PGLG for a 15-year term. On July 12, 2017, we entered into a raw material supply agreement with Telcon which revised certain terms of the API supply agreement, which we refer to as the revised API agreement. The revised API agreement is effective for a term of five years with 10 one-year renewal periods. In the revised API agreement, we have agreed to purchase a total of 940,000 kilograms of PGLG at a fixed price of $50 per kilogram, or a total of $47.0 million, over the 15-year term of the agreement. In September 2018, we entered into an agreement with Ajinomoto and Telcon to permit Telcon to purchase L-glutamine from Ajinomoto for resale to us under the API agreement.
Except as described above, we have no long-term supply agreement with Ajinomoto.
On October 15, 2018, EJ Holdings, Inc., a Japanese corporation which is 40% owned by Emmaus, announced that it had entered into an acquisition agreement with Kyowa Hakko Bio Co. Ltd., or Kyowa, a subsidiary of Kyowa Hakko Kirin Co., Ltd., to purchase Kyowa’s facility in Ube, Japan, for the manufacture of L-glutamine and other amino acids. The acquisition is expected to occur in or about December 2019, subject to FDA cGMP re-certification of the facility and other regulatory approvals and customary closing conditions. Under the agreement, Kyowa will refurbish the plant at its expense and cooperate with us in seeking FDA re-certification. If the acquisition is completed, we expect to enter into a long-term agreement with EJ Holdings, Inc. for the supply of L-glutamine.
Endari and any other commercial products we develop must be packaged by a facility that meets FDA requirements for current Good Manufacturing Practices, cGMP. Packaging Coordinators, Inc. of Rockville, Illinois, has been approved by the FDA for packaging our commercial supplies of Endari. Previous compliance with cGMP requirements for the packaging of pharmaceutical products, however, does not guarantee the ability to maintain cGMP compliance for the packaging of pharmaceutical products in the future.
168
Competition
Endari may compete with non-prescription grade L-glutamine, which is widely available as a dietary supplement. Dietary supplements may be marketed without FDA approval, are generally not reimbursed by payors and are not subject to the rigorous quality control standards required by regulatory authorities for prescription drug products. Also, unlike prescription drug products, manufacturers of dietary supplements may not make claims that the supplements will cure, mitigate, treat or prevent disease, and we are not aware of any reports in peer-reviewed literature regarding the effectiveness of L-glutamine supplements in treating SCD in controlled clinical trials.
The biopharmaceutical industry is highly competitive and subject to rapid and significant technological change. While we believe that our development experience and scientific knowledge provide us with competitive advantages, we face potential competition from both large and small pharmaceutical and biotechnology companies, academic institutions, governmental agencies (such as the National Institutes of Health) and public and private research institutions. In comparison to us, many of the entities against whom we are competing, or against whom we may compete in the future, have significantly greater financial resources and expertise in research and development, manufacturing, preclinical testing, conducting clinical trials, obtaining regulatory approvals and marketing approved products. Smaller or early stage companies may also prove to be significant competitors, particularly through collaborative arrangements with large and established companies.
Mergers and acquisitions in the pharmaceutical and biotechnology industries may result in increasing concentration of resources among a smaller number of our competitors. These competitors compete with us in recruiting and retaining qualified scientific and management personnel and establishing clinical trial sites and patient registration for clinical trials, as well as in acquiring technologies complementary to, or necessary for, our product development programs.
Any product candidates that we successfully develop and commercialize will compete with existing therapies and new therapies that may become available in the future. The key competitive factors affecting the success of each of our product candidates, if approved, are likely to be their safety, efficacy, convenience, price, the level of proprietary and generic competition, and the availability of coverage and reimbursement from government and other third-party payors. Our commercial opportunity could be reduced or eliminated if our competitors develop and commercialize products that are safer or more effective, have fewer or less severe side effects, or are more convenient or less expensive than any products that we may develop. Our competitors may also obtain FDA or other regulatory approval for their products more rapidly than we may obtain approval for ours, which could result in their establishing a strong market position before we are able to enter the market.
Sickle Cell Disease
Endari is approved as a therapy to reduce the acute complications of SCD in adult and pediatric patients 5 years of age and older. The other approved drug targeting a reduction in the frequency of sickle cell crisis is hydroxyurea, which is available in both generic and branded formulations. While hydroxyurea has been shown to reduce the frequency of sickle cell crisis in some patient groups, it is not suitable for all patients because it can have significant toxicities and side effects. In December 2017, the FDA granted Addmedica approval for hydroxyurea (Siklos) to reduce the frequency of painful crises and the need for blood transfusions in pediatric patients 2 years of age and older with sickle cell anemia with recurrent moderate to severe painful crises.
There is a high level of interest in SCD and we understand several academic centers and pharmaceutical companies are researching new treatments and therapies for SCD. There are studies underway testing different compounds that target various aspects of SCD pathophysiology. We are aware of two studies targeting the reduction or duration of vaso occlusive crisis events in patients with SCD which are currently in Phase 3 clinical trials sponsored by Global Blood Therapeutics and Pfizer Inc. In addition, Global Blood Therapeutics is expected to seek accelerated approval. Novartis has completed a Phase 2 trial and is expected to file for FDA approval in 2019. Ironwood Pharmaceuticals is conducting a Phase 2 trial. The FDA has granted Fast Track status to Imara Inc.’s IMR-687, an investigational treatment for SCD. IMR-687 is an orally-administered, selective inhibitor of phosphodiesterase 9 designed to reduce red blood cell sickling and adherence of white blood cells to the blood vessel wall. It is currently being investigated in a Phase 2a, placebo-controlled clinical trial in patients with sickle cell anemia. We are also aware of efforts to develop cures for SCD through approaches such as bone marrow transplant and gene therapy. Although bone marrow transplant is currently available for SCD patients, its use is limited by the lack of availability of matched donors and by the risk of serious complications, including graft versus host disease and infection. Attempts to develop a cure through gene therapy remain at an early stage, but if these attempts were to succeed and receive regulatory approval, it could adversely affect the market for Endari.
169
L-glutamine is marketed and sold without a prescription as a nutritional supplement. Although Endari is manufactured under strict regulations following cGMP, which we believe offers a more consistent quality and a higher purity profile than non-pharmaceutical grade L-glutamine sold as a nutritional supplement, Endari may compete with non-pharmaceutical grade alternative sources of L-glutamine. We priced Endari at a significant premium over nonprescription L-glutamine products.
Government Regulation
The FDA and the EC have granted L-glutamine Orphan Drug designation and Orphan Medicinal designation, respectively, for the treatment of SCD.
Orphan Drug Designation. The FDA has authority under the U.S. Orphan Drug Act to grant Orphan Drug designation to a drug or biological product intended to treat a rare disease or condition. This law defines a rare disease or condition generally as one that affects fewer than 200,000 individuals in the United States, or more than 200,000 individuals in the United States and for which there is no reasonable expectation that the cost of the development and distribution of the orphan product in the United States will be recovered from sales of the product. Being granted Orphan Drug designation provides tax benefits to mitigate expenses of developing the orphan product. More importantly, Orphan Drug designation provides seven years of market exclusivity if the product receives the first FDA approval for the disease or condition for which it was granted such designation and the indication for which approval is granted matches the indication for which Orphan Drug designation was granted. During the seven-year exclusivity period, Orphan Drug exclusivity precludes FDA approval of a marketing application for the same product for the same indication. Orphan Drug exclusivity is limited and will not preclude the FDA from approving the same product for the same indication if the same product is shown to be clinically superior to the product previously granted exclusivity. For example, if the same product for the same indication is shown to have significantly fewer side effects, the FDA may approve the second product despite the Orphan Drug exclusivity granted to the first product. In addition, a product that is the same as the orphan product may receive approval for a different indication (whether orphan or not) during the exclusivity period of the orphan product. Also, Orphan Drug market exclusivity will not bar a different product intended to treat the same orphan disease or condition from obtaining its own Orphan Drug designation and Orphan Drug exclusivity.
Orphan Drug status in the EU has similar benefits, including a 10-year marketing exclusivity period following marketing authorization.
505(b)(2) Applications. Under Section 505(b)(2) of the FD&C Act, a person may submit a NDA for which one or more of the clinical studies relied upon by the applicant for approval were not conducted by or for the applicant and for which the applicant does not have a right of reference or use from the person by or for whom the clinical studies were conducted. Instead, a 505(b)(2) applicant may rely on published literature containing the specific information (e.g., clinical trials, animal studies) necessary to obtain approval of the application. The 505(b)(2) applicant may also rely on the FDA’s finding of safety and/or effectiveness of a drug previously approved by the FDA when the applicant does not own or otherwise have the right to access the data in that previously approved application. The 505(b)(2) pathway to market thus allows an applicant to submit to the FDA a NDA without having to conduct its own studies to obtain data that are already documented in published reports or previously submitted NDAs. In addition to relying on safety data from our previously approved drug product, NutreStore, we intend to take advantage of the 505(b)(2) pathway to the extent published literature will further support our new drug marketing application.
Regulation by United States and foreign governmental authorities is a significant factor in the development, manufacture and expected marketing of our product candidates and in our ongoing research and development activities. The nature and extent to which such regulation will apply to us will vary depending on the nature of the product candidates we seek to develop.
In particular, human therapeutic products, such as drugs, biologics and cell-based therapies, are subject to rigorous preclinical and clinical testing and other preapproval requirements of the FDA and similar regulatory authorities in other countries. Various federal and state statutes and regulations govern and influence pre- and post-approval requirements related to research, testing, manufacturing, labeling, packaging, storage, distribution and record keeping of such products to ensure the safety and effectiveness for their intended uses. The process of obtaining marketing approval and ensuring post approval compliance with the FD&C Act for drugs and biologics (and applicable provisions of the Public Health Service Act for biologics), and the regulations promulgated thereunder, and other applicable federal and state statutes and regulations, requires substantial time and financial resources. Any failure by us or our collaborators to obtain, or any delay in obtaining, marketing approval could adversely affect the marketing of any of our product candidates, our ability to receive product revenues, and our liquidity and capital resources.
170
The manufacture of these products is subject to cGMP regulations. The FDA inspects manufacturing facilities for compliance with cGMP regulations before deciding whether to approve a product candidate for marketing.
The steps required by the FDA before a new product, such as a drug, biologic or cell-based therapy, may be marketed in the United States include:
| ● | completion of preclinical studies (during this stage, the treatment is called a development candidate); |
| ● | the submission to the FDA of a proposal for the design of a clinical trial program for studying in humans the safety and effectiveness of the product candidate. This submission is referred to as a IND. The FDA reviews the IND to ensure it adequately protects the safety and rights of trial participants and that the design of the studies are adequate to permit an evaluation of the product candidate’s safety and effectiveness. The IND becomes effective within thirty days after the FDA receives the IND, unless the FDA notifies the sponsor that the investigations described in the IND are deficient and cannot begin; |
| ● | the conduct of adequate and well controlled clinical trials, usually completed in three phases, to demonstrate the safety and effectiveness of the product candidate for its intended use; |
| ● | the submission to the FDA of a marketing application, a NDA, if the product candidate is a drug, that provides data and other information to demonstrate the product is safe and effective for its intended use (“BLA”), if the product candidate is a biologic that provides data and other information to demonstrate that the product candidate is safe, pure, and potent; and |
| ● | the review and approval of the NDA or BLA by the FDA before the product candidate may be distributed commercially as a product. |
In addition to obtaining FDA approval for each product candidate before we can market it as a product, the manufacturing establishment from which we obtain it must be registered and is subject to periodic FDA post approval inspections to ensure continued compliance with cGMP requirements. If, as a result of these inspections, the FDA determines that any equipment, facilities, laboratories, procedures or processes do not comply with applicable FDA regulations and the conditions of the product approval, the FDA may seek civil, criminal, or administrative sanctions and/or remedies against us, including the suspension of the manufacturing operations, recalls, the withdrawal of approval and debarment. Manufacturers must expend substantial time, money and effort in the area of production, quality assurance and quality control to ensure compliance with these standards.
Preclinical testing includes laboratory evaluation of the safety of a product candidate and characterization of its formulation. Preclinical testing is subject to Good Laboratory Practice (“GLP”) regulations. Preclinical testing results are submitted to the FDA as a part of an IND which must become effective prior to commencement of clinical trials. Clinical trials are typically conducted in three sequential phases following submission of an IND. In Phase 1, the product candidate under investigation (and therefore often called an investigational product) is initially administered to a small group of humans, either patients or healthy volunteers, primarily to test for safety (e.g., to identify any adverse effects), dosage tolerance, absorption, distribution, metabolism, excretion and clinical pharmacology, and, if possible, to gain early evidence of effectiveness. In Phase 2, a slightly larger sample of patients who have the condition or disease for which the investigational product is being studied receive the investigational product to assess the effectiveness of the investigational product, to determine dose tolerance and the optimal dose range, and to gather additional information relating to safety and potential adverse effects. If the data show the investigational product may be effective and has an acceptable safety profile in the targeted patient population, Phase 3 studies, also referred to as pivotal studies or enabling studies, are initiated to further establish clinical safety and provide substantial evidence of the effectiveness of the investigational product in a broader sample of the general patient population, to determine the overall risk benefit ratio of the investigational product, and provide an adequate basis for physician and patient labeling. During all clinical studies, Good Clinical Practice (“GCP”) standards and applicable human subject protection requirements must be followed. The results of the research and product development, manufacturing, preclinical studies, clinical studies, and related information are submitted in a NDA or BLA to the FDA.
171
The process of completing clinical testing and obtaining FDA approval for a new therapeutic product, such as a drug, biologic or cell-based product, is likely to take a number of years and require the expenditure of substantial resources. If a NDA or BLA is submitted, there can be no assurance that the FDA will file, review, and approve it. Even after initial FDA approval has been obtained, post market studies could be required to provide additional data on safety or effectiveness. Additional pivotal studies would be required to support adding other indications to the labeling. Also, the FDA will require post market reporting and could require specific surveillance or risk mitigation programs to monitor for known and unknown side effects of the product. Results of post marketing programs could limit or expand the continued marketing of the product. Further, if there are any modifications to the product, including changes in indication, manufacturing process, labeling, or the location of the manufacturing facility, a NDA or BLA supplement would generally be required to be submitted to the FDA prior to or corresponding with that change, or for minor changes in the periodic safety update report that must be submitted annually to the FDA.
The rate of completion of any clinical trial depends upon, among other factors, sufficient patient enrollment and retention. Patient enrollment is a function of many factors, including the size of the patient population, the nature of the trial, the number of clinical sites, the availability of alternative therapies, the proximity of patients to clinical sites, and the eligibility and exclusion criteria for the trial. Delays in planned patient enrollment might result in increased costs and delays. Patient retention could be affected by patient noncompliance, adverse events, or any change in circumstances making the patient no longer eligible to remain in the trial.
Failure to adhere to regulatory requirements for the protection of human subjects, to ensure the integrity of data, other IND requirements, and GCP standards in conducting clinical trials could cause the FDA to place a “clinical hold” on one or more studies of a product candidate, which would stop the studies and delay or preclude further data collection necessary for product approval. Noncompliance with GCP standards would also have a negative impact on the FDA’s evaluation of a NDA or BLA. If at any time the FDA finds that a serious question regarding data integrity has been raised due to the appearance of a wrongful act, such as fraud, bribery or gross negligence, the FDA may invoke its Application Integrity Policy (“AIP”) under which it could immediately suspend review of any pending NDA or BLA or refuse to accept the submission of a NDA or BLA as filed, require the sponsor to validate data, require additional clinical studies, disapprove a pending NDA or BLA or withdraw approval of marketed products, as well as require corrective and preventive action to ensure data integrity in future submissions. Significant noncompliance with IND regulations could result in the FDA not only refusing to accept a NDA or BLA as filed but could also result in enforcement actions, including civil and administrative actions, civil money penalties, criminal prosecution, criminal fines and debarment. Whether or not FDA approval has been obtained, approval of a product by regulatory authorities in foreign countries must be obtained prior to the commencement of marketing the product in those countries.
The requirements governing the conduct of clinical trials and product approvals vary widely from country to country, and the time required for approval might be longer or shorter than that required for FDA approval. Although there are some procedures for unified filings for some European countries, in general, each country at this time has its own procedures and requirements.
In most cases, if the FDA has not approved a product candidate for sale in the United States, the unapproved product may be exported to any country in the world for clinical trial or sale if it meets U.S. export requirements and has marketing authorization in any listed country without submitting an export request to the FDA or receiving FDA approval to export the product, as long as the product meets the regulatory requirements of the country to which the product is being exported. Listed countries include each member nation in the European Union or the European Economic Area, Canada, Australia, New Zealand, Japan, Israel, Switzerland and South Africa. If an unapproved product is not approved in one of the listed countries, the unapproved product may be exported directly to an unlisted country if the product meets the requirements of the regulatory authority of that country, and the FDA determines that the foreign country has statutory or regulatory requirements similar or equivalent to the United States.
In addition to the regulatory framework for product approvals, we and our collaborative partners must comply with federal, state and local laws and regulations regarding occupational safety, laboratory practices, the use, handling and disposition of radioactive materials, environmental protection and hazardous substance control, and other local, state, federal and foreign regulation. All facilities and manufacturing processes used by third parties to produce our product candidates for clinical use in the United States and our products for commercialization must be in compliance with cGMP requirements and are subject to periodic regulatory inspections. The failure of third-party manufacturers to comply with applicable regulations could extend, delay or cause the termination of clinical trials conducted for our product candidates or the withdrawal of our products from the market. The impact of government regulation upon us cannot be predicted and could be material and adverse. We cannot accurately predict the extent of government regulation that might result from future legislation or administrative action.
172
Patents, Proprietary Rights and Know How
Our success will depend in part on our ability to obtain patents and otherwise preserve the intellectual property rights relating to the design, operation, sale and distribution of our products. We intend to seek patents on our products when we deem it commercially appropriate. The process of seeking patent protection can be lengthy and expensive, and there can be no assurance that patents will be issued for currently pending or future applications or that our existing patents or any new patents issued will be of sufficient scope or strength or provide meaningful protection or any commercial advantage to us. We may be subject to, or may initiate, litigation or patent office interference proceedings, which may require significant financial and management resources. The failure to obtain necessary licenses or other rights or the advent of litigation arising out of any such intellectual property claims could have a material adverse effect on our operations.
We have relied to date on a combination of patent licenses, trademark rights, trade secret protection, distribution agreements, manufacturing agreements, manufacturing capability and other unpatented proprietary information to protect our intellectual property rights. While we do not currently own any issued patents directed to the treatment of sickle cell anemia, we do own issued patents and patent applications directed to the treatment of diverticulosis, diabetes and hypertriglyceridemia. We furthermore have Orphan Drug market exclusivity for the treatment of sickle cell anemia with Endari in the United States (through July 7, 2024) and in the EU (ten years from the approval date, if approved).
We also rely on employee agreements to protect the proprietary nature of our products. We require that our officers and key employees enter into confidentiality agreements that require these officers and employees to assign to us the rights to any inventions developed by them during the course of their employment with us. All of the confidentiality agreements include non-solicitation provisions that remain effective during the course of employment and for periods following termination of employment.
Patents
We have issued patents related to compositions including PGLG and methods involving administration of PGLG for the treatment of diverticulosis in the United States, Japan, Australia, Mexico, China, Indonesia, Korea and Russia. A patent application related to the same subject matter has been allowed in the United States, and associated patent applications are currently pending in the United States, the EU, Brazil, India, Korea and Russia.
A patent directed to compositions for decreasing HbA1C levels in individuals who are shown to have average blood sugar levels in the diabetic range has issued in Japan. Associated applications are currently pending in the United States, Europe, Brazil, India, the Philippines, China and Indonesia, and a patent application directed to the treatment of hypertriglyceridemia is pending in Japan.
HbA1C levels are one of the best indicators of whether diabetics and prediabetics have blood sugar levels under control, through therapeutic application of L-glutamine. Diabetes is a chronic disease that occurs when the pancreas is no longer able to make insulin, or when the body cannot make good use of the insulin it produces. People with diabetes have an increased risk of developing a number of serious health problems including cardiovascular disease, kidney failure and blindness. Japan has more than 7 million diagnosed cases of diabetes, which represents about 7.6% of Japanese between the ages of 20 and 79. According to the U.S. Centers for Disease Control and Prevention, there are an estimated 29 million Americans living with diabetes and an estimated 86 million Americans with prediabetes, a serious health condition that can increase a person’s risk of developing type 2 diabetes.
Licenses
In June 2016, we entered into a nonexclusive agreement with CellSeed and Dr. Kohji Nishida for the development of CAOMECS technology. Under this license agreement, we are required to pay a single-digit royalty based on net sales per annum.
Trademarks
We currently own U.S. trademark registrations for “Emmaus Medical” and “Endari” and were recently granted a trademark registration for “Xyndari” (as Endari will be marketed if approved) in the EU. This joint proxy statement/prospectus also contains trademarks, service marks, trade names and copyrights of other companies, which are the property of their respective owners. Solely for convenience, trademarks and trade names referred to in this joint proxy statement/prospectus may appear without the® or TM symbols, but such references are not intended to indicate, in any way, that we will not assert, to the fullest extent under applicable law, our rights or the right of the applicable licensor to these trademarks and trade names.
173
Facilities
We lease office space under operating leases from unrelated entities. The rent expense for the years ended December 31, 2018 and 2017 amounted to $668,620 and $563,382, respectively.
We lease approximately 13,734 square feet of office space for our headquarters in Torrance, California, at a base rental of $48,087 per month. We have entered into an amended lease to expand our headquarters by an additional 7,559 square feet commencing June 1, 2019. The base monthly rent for this additional space of $27,590 will be payable commencing January 1, 2020. The amended lease will expire on February 29, 2026. We also lease an additional 1,600 square feet office space in Torrance, California, at a base rent of $2,240 per month and 2,986 square feet office space in New York, New York, at a base rent of 5,500. The leases relating to Torrance office and New York office will expire on January 31, 2020 and December 30, 2019, respectively.
In addition, our Japanese subsidiary leases 1,322 total square feet of office space in Tokyo, Japan. The leases relating to the space will expire on September 30, 2020. Our Korean subsidiary leases 465 total square feet of office space in Seoul, South Korea. The leases relating to the space will expire on November 29, 2019.
We believe our existing facilities are adequate for our operations at this time and we expect to be able to renew the office lease for our headquarters on commercially reasonable terms. In the event we determine that we require additional space to accommodate expansion of our operations, we believe suitable facilities will be available in the future on commercially reasonable terms as needed.
Employees
As of December 31, 2018, we had 31 employees, 28 of whom were full time, and we retained six consultants. We have not experienced any work stoppages and we consider our relations with our employees to be good.
Corporate Information
We were organized as Orphan Drugs International, LLC on December 20, 2000 and changed our name to Emmaus Medical, LLC in March 2002. In October 2003, we undertook a merger reorganization with Emmaus Medical, Inc., which was originally incorporated in September 2003.
On May 3, 2011, pursuant to an Agreement and Plan of Merger dated April 21, 2011, we merged with AFH Merger Sub, Inc., a wholly owned subsidiary of AFH Acquisition IV, Inc., a “blank check” or “shell” company, and continued as the surviving company. Upon the closing of the 2011 merger, we (1) became the 100% parent of Emmaus Medical, (2) assumed the operations of Emmaus Medical and its subsidiaries and (3) changed our name from “AFH Acquisition IV, Inc.” to “Emmaus Holdings, Inc.” On September 14, 2011, we changed our name from “Emmaus Holdings, Inc.” to “Emmaus Life Sciences, Inc.”
Our principal executive offices and corporate offices are located at 21250 Hawthorne Boulevard, Suite 800, Torrance, California, and our telephone number is (310) 214-0065. We maintain an Internet website at the following address: www.emmauslifesciences.com. The information on our website is not incorporated by reference in this joint proxy statement/prospectus or in any other filings we make with the SEC.
174
MYND MANAGEMENT’S DISCUSSION
AND ANALYSIS OF
FINANCIAL CONDITION AND RESULTS OF OPERATIONS
The following discussion and analysis of financial condition and results of operations should be read together with the consolidated financial statements of MYnd and the related notes, each included elsewhere in this joint proxy statement/prospectus. This discussion of MYnd’s financial condition and results of operations contains certain statements that are not strictly historical and are “forward-looking” statements within the meaning of the Private Securities Litigation Reform Act of 1995 and involve a high degree of risk and uncertainty. Actual results may differ materially from those projected in the forward-looking statements due to other risks and uncertainties that exist in MYnd’s operations, development efforts and business environment, including those set forth in the section titled “Risk Factors—Risks Related to MYnd” in this joint proxy statement/prospectus, the other risks and uncertainties described in the section titled “Risk Factors” in this joint proxy statement/prospectus and the other risks and uncertainties described elsewhere in this joint proxy statement/prospectus. All forward-looking statements included in this joint proxy statement/prospectus are based on information available to MYnd as of the date hereof, and MYnd assumes no obligation to update any such forward-looking statement.
Overview
MYnd Analytics, Inc. (“MYnd,” “CNS,” “we,” “us,” “our,” or the “Company”), formerly known as CNS Response Inc., is a predictive analytics company that has developed a decision support tool to help physicians reduce trial and error treatment in mental health and provide more personalized care to patients. The Company employs a clinically validated scalable technology platform to support personalized care for mental health patients. The Company utilizes its patented machine learning, artificial intelligence, data analytics platform for the delivery of telebehavioral health services and its PEER predictive analytics product offering. On November 13, 2017, the Company acquired Arcadian, which manages the delivery of telepsychiatry and telebehavioral health services through a nationwide network of licensed and credentialed psychiatrists, psychologists and master’s-level therapists. The Company is commercializing its PEER predictive analytics tool to help physicians reduce trial and error treatment in mental health. MYnd’s patented, clinically validated technology platform (“PEER Online”) utilizes complex algorithms to analyze electroencephalograms (“EEGs”) to generate Psychiatric EEG Evaluation Registry (“PEER”) Reports to predict individual responses to a range of medications prescribed for the treatment of behavioral disorders including depression, anxiety, bipolar disorder, PTSD and other non-psychotic disorders.
Recent Developments
Merger Agreement
On January 4, 2019, we entered into an Agreement and Plan of Merger (the “Merger Agreement”) by and among us, our wholly owned subsidiary, Athena Merger Subsidiary, Inc., a Delaware corporation (“Merger Sub”), and Emmaus Life Sciences, Inc., a Delaware corporation (“Emmaus”). Under the terms of the Merger Agreement, pending stockholder approval of the transaction, Merger Sub will merge with and into Emmaus with Emmaus surviving the merger and becoming a wholly-owned subsidiary of us (the “Merger”). Subject to the terms of the Merger Agreement, at the effective time of the Merger, Emmaus stockholders will receive a number of newly issued shares of our common stock determined using the exchange ratio described below in exchange for their shares of Emmaus stock. Following the Merger, stockholders of Emmaus will become our majority owners.
The exchange ratio will be determined prior to closing and will cause our securityholders (including holders of options and warrants) prior to the effective time to collectively own 5.9% of the post-merger company on a fully diluted basis and Emmaus securityholders (including holders of options, warrants and convertible notes) prior to the effective time to collectively own 94.1% of the post-merger company on a fully diluted basis. The exchange ratio will reflect any dilution that may result from securities sold by us or Emmaus prior to the closing of the Merger and any changes to the number of outstanding convertible securities of each company. The Merger Agreement provides that if Emmaus converts certain debt obligations into equity within six months of the completion of the Merger, Emmaus will issue additional shares (equal to 5.9% of the shares issued in connection with the debt conversion to third parties) to an existing subsidiary of us which is expected to be spun-off to our stockholders prior to the effective time of the merger, as described below.
The post-merger company, led by Emmaus’ management team, is expected to be named “Emmaus Life Sciences, Inc.” Prior to the closing of the Merger, MYnd will seek shareholder approval to conduct a reverse split of its outstanding shares if necessary to satisfy listing requirements of the Nasdaq Capital Market (the “NasdaqCM”). The post-merger company is expected to trade on the NasdaqCM under a new ticker symbol. At the closing, the post-merger company’s board of directors is expected to consist of one member from us and up to six members from Emmaus. The Merger has been unanimously approved by the Board of Directors of each company. The transaction is expected to close no later than July 31, 2019, subject to approvals by the stockholders of us and Emmaus, and other closing conditions, including but not limited to the approval of the continued listing of the post-merger company’s common stock on the NasdaqCM, conversion of MYnd’s preferred stock into common stock, satisfaction of certain cash and debt conversion conditions and consummation of the MYnd spin-off described below.
175
Spin-Off
Prior to the closing of the Merger, we intend, subject to obtaining any required regulatory approvals and the completion of certain tax analyses, to transfer all of our businesses, assets and liabilities not assumed by Emmaus to our existing wholly-owned subsidiary, Telemynd, Inc., a Delaware corporation (“Telemynd”), pursuant to the terms of the Amended and Restated Separation and Distribution Agreement (the “Separation Agreement”) entered into on March 27, 2019 by us, Telemynd and MYnd Analytics, Inc., a California corporation (“MYnd California”). We intend to distribute all shares of Telemynd held by us to our stockholders of record as a future record date will be determined for such potential distribution.
The Separation Agreement (i) amended and restated in its entirety that certain Separation and Distribution Agreement dated as of January 4, 2019, by and between MYnd and MYnd California (the “Prior Agreement”) and (ii) caused Telemynd to assume all of the rights and obligations of MYnd California under the Prior Agreement.
Pursuant to the Separation Agreement, the Telemynd Business (as defined in the Separation Agreement) would be separated from the Company upon, and subject to, the closing of the transactions contemplated by the Separation Agreement (provided that such transactions occur at all), and the Company intends to distribute all shares of Telemynd held by it to the Company’s stockholders of record as of a future record date to be determined for such potential distribution. The Separation Agreement includes the terms of the proposed spin-off and the distribution to the Company’s stockholders and includes representations and warranties, covenants and conditions, which would impact the terms of the proposed spin-off and distribution. The proposed spin-off will be subject to conditions and regulatory approvals not entirely under the control of the Company and the terms of the proposed spin-off, if and when completed, are subject to change. The foregoing summary of the Separation Agreement is not complete and qualified in its entirety by reference to the text of the Separation Agreement filed herewith.
Amendment to Merger Agreement
On May 10, 2019, the parties executed amendment no. 1 to the Merger Agreement. By executing amendment no. 1, MYnd, Emmaus and Merger Sub agreed that: (i) the definition “Parent California Subsidiary” should be amended to refer to Telemynd, Inc., the newly formed wholly-owned corporation, (ii) MYnd would not adopt a new equity incentive plan at closing, which had been contemplated previously and determined to be unnecessary at this time, (iii) MYnd would be entitled to receive credit in its Net Liabilities calculation for certain agreed upon prepaid costs, (iv) Telemynd would be entitled to receive shares of MYnd after closing if the exchange ratio applicable to any Emmaus Warrants, Emmaus Convertible Notes or Emmaus Debentures is modified in a manner which causes additional shares of Emmaus to be issued upon exercise, conversation or exchange, during the six (6) month period after the closing of the Merger for any reason, and (v) the outside termination date was extended from May 31, 2019 to July 31, 2019.
Going Concern Uncertainty
The accompanying unaudited condensed consolidated financial statements have been prepared in conformity with U.S. generally accepted accounting principles (“GAAP”), which contemplate continuation of the Company as a going concern. The Company has a limited operating history and its operations are subject to certain problems, expenses, difficulties, delays, complications, risks and uncertainties frequently encountered in the operation of a business with a limited operating history. These risks include the ability to obtain adequate financing on a timely basis, if at all, the failure to develop or supply technology or services to meet the demands of the marketplace, the failure to attract and retain qualified personnel, competition within the industry, government regulation and the general strength of regional and national economies.
The Company’s recurring net losses and negative cash flows from operations raise substantial doubt about its ability to continue as a going concern. During the six months ended March 31, 2019, the Company incurred a net loss of approximately $5.4 million and used approximately $3.8 million of net cash in operating activities. As of March 31, 2019, the Company’s accumulated deficit was approximately $89.9 million. In connection with these consolidated financial statements, management evaluated whether there were conditions and events, considered in the aggregate, that raised substantial doubt about the Company’s ability to meet its obligations as they become due for the next twelve months from the date of issuance of these financial statements. Management assessed that there were such conditions and events, including a history of recurring operating losses, and negative cash flows from operating activities.
176
If the Company raises additional funds by issuing additional equity or convertible debt securities, the fully diluted ownership percentages of existing stockholders will be reduced. In addition, any equity or debt securities that the Company would issue may have rights, preferences or privileges senior to those of the holders of its common stock.
To date, the Company has financed its cash requirements primarily from equity financings. The Company will need to raise funds immediately to continue its operations and increase demand for its services. Until it can generate sufficient revenues to meet its cash requirements, which it may never do, the Company must continue to finance future cash needs primarily through public or private equity offerings, debt financings or strategic collaborations. The Company’s liquidity and capital requirements depend on several factors, including the rate of market acceptance of its services, the future profitability of the Company, the rate of growth of the Company’s business and other factors described elsewhere in this Quarterly Report on Form 10-Q. The Company continues to explore additional sources of capital, but there is substantial doubt as to whether any financing arrangement will be available in amounts and on terms acceptable to the Company to permit it to continue operations. The accompanying condensed consolidated financial statements do not include any adjustments that might be necessary if the Company is unable to continue as a going concern.
Nasdaq Listing Requirements
As March 31, 2019, we had stockholders’ equity of approximately $512,100, and we are no longer in compliance with such continue listing requirement. If our Common Stock is delisted and we are not able to list our Common Stock on another national securities exchange, we expect our securities would be quoted on an over–the–counter market. If this were to occur, our stockholders could face significant material adverse consequences, including limited availability of market quotations for our Common Stock and reduced liquidity for the trading of our securities. In addition, we could experience a decreased ability to issue additional securities and obtain additional financing in the future. There can be no assurance that an active trading market for our Common Stock will develop or be sustained. We may choose to raise additional capital in order to increase our stockholders’ equity in order to meet the NASDAQ continued listing standards. Any additional equity financings may be financially dilutive to and will be dilutive from an ownership perspective to our stockholders, and such dilution may be significant based upon the size of such financing. Additionally, we cannot assure that such funding will be available on a timely basis, in needed quantities, or on terms favorable to us, if at all. On February 21, 2019, the Company received a letter from The Nasdaq Stock Market (“Nasdaq”) indicating that the Company was not compliant with the minimum stockholders’ equity requirement under Nasdaq Listing Rule 5550(b)(1) for continued listing on The Nasdaq Capital Market because the Company’s stockholders’ equity, as reported in the Company’s Quarterly Report on Form 10–Q for the period ended December 31, 2018, was below the required minimum of $2.5 million. Further, as of February 21, 2019, the Company did not meet the alternative compliance standards relating to the market value of listed securities or net income from continuing operations. This notice of noncompliance has had no immediate impact on the continued listing or trading of the Company’s common stock on The Nasdaq Capital Market. On April 17, 2019, the Company received a letter from Nasdaq granting the Company an extension through August 20, 2019 to regain compliance with Listing Rule 5550(b). The terms of the extension are as follows:
| ● | On or before June 30, 2019, the Company must provide an update on the closing of the merger transaction. If the merger transaction is delayed or terminated for any reason, the Company must provide an updated plan of compliance. Upon review of the updated plan, Staff will determine if a further extension is warranted; and |
| ● | On or before August 20, 2019, the Company must complete its business combination with Emmaus and the post– merger company must file an application and receive approval to list its securities on the Nasdaq Stock Market. |
No assurance can be given that the Company will be able to regain compliance prior to such date.
177
Financial Operations Overview
Revenues
Our neurometric services revenues are derived from the sales of PEER Reports and services of Electroencephalographs (EEG) and Quantitative Electroencephalographs (qEEG). Physicians and Customers are generally billed upon delivery of a PEER Report. The customer’s insurance is billed for EEG and qEEG services. The Company also derives revenue from its subsidiary Arcadian who manages the delivery of telepsychiatry and telebehavioral health services which are delivered directly to patients.
Cost of Revenues
Cost of revenues are for services and represent the cost of direct labor, the costs associated with external processing, analysis and consulting services necessary to generate the revenues.
Research and Product Development
Research and product development expenses are associated with our neurometric and telepsychiatry services and primarily represent costs incurred to design and conduct clinical studies, to recruit patients into the studies, to add data to our database, to improve analytical techniques and advance application of the methodology. We charge all research and development expenses to operations as they are incurred.
Sales and Marketing
For our neurometric and telepsychiatry services, our selling and marketing expenses consist primarily of personnel, media, support and travel costs to inform user organizations and consumers of our products and services. Additional marketing expenses are the costs of advertising, educating physicians, laboratory personnel, other healthcare professionals regarding our products and services.
General and Administrative
Our general and administrative expenses consist primarily of personnel, occupancy, legal, audit, consulting and administrative support costs.
Critical Accounting Policies and Significant Judgments and Estimates
This management’s discussion and analysis of financial condition and results of operations is based on our consolidated financial statements, which have been prepared in accordance with U.S. GAAP. The preparation of these consolidated financial statements requires management to make estimates and judgments that affect the reported amounts of assets, liabilities and expenses and the disclosure of contingent assets and liabilities at the date of the financial statements, as well as revenues and expenses during the reporting periods. We evaluate our estimates and judgments on an ongoing basis. We base our estimates on historical experience and on various other factors we believe are reasonable under the circumstances, the results of which form the basis for making judgments about the carrying value of assets and liabilities that are not readily apparent from other sources. Actual results could therefore differ materially from those estimates under different assumptions or conditions.
Our significant accounting policies are described in Note 2 to our condensed Consolidated Financial Statements included elsewhere in this report. We believe the following critical accounting policies reflect our more significant estimates and assumptions used in the preparation of our condensed consolidated financial statements.
Revenue Recognition
Accounting Standards Update (“ASU”) No. 2014-09, Revenue from Contracts with Customers (“Topic 606”), became effective for the Company on October 1, 2018. The Company’s revenue recognition disclosure reflects its updated accounting policies that are affected by this new standard. The Company applied the “modified retrospective” transition method for open contracts for the implementation of Topic 606. As sales are and have been primarily from providing healthcare services, and the Company has no significant post-delivery obligations, this new standard did not result in a material recognition of revenue on the Company’s accompanying consolidated financial statements for the cumulative impact of applying this new standard. The Company made no adjustments to its previously-reported total revenues, as those periods continue to be presented in accordance with its historical accounting practices under Topic 605, Revenue Recognition.
178
Revenue from providing neurometric and telepsychiatry services are recognized under Topic 606 in a manner that reasonably reflects the delivery of its services to customers in return for expected consideration and includes the following elements:
| ● | executed contracts with the Company’s customers that it believes are legally enforceable; |
| ● | identification of performance obligations in the respective contract; |
| ● | determination of the transaction price for each performance obligation in the respective contract; |
| ● | allocation the transaction price to each performance obligation; and |
| ● | recognition of revenue only when the Company satisfies each performance obligation. |
Stock-based Compensation Expense
Stock-based compensation expense, which is a non-cash charge, results from stock option grants and restricted share awards. Compensation for option is measured at the grant date based on the calculated fair value of the award. We recognize stock-based compensation expense on a straight-line basis over the vesting period of the underlying option. The amount of stock-based compensation expense expected to be amortized in future periods may decrease if unvested options are subsequently cancelled or may increase if future option grants are made.
Long-Lived Assets and Intangible Assets
Property and equipment and intangible assets are reviewed for impairment whenever events or changes in circumstances indicate the carrying value of the assets may not be recoverable. If the Company determines that the carrying value of the asset is not recoverable, a permanent impairment charge is recorded for the amount by which the carrying value of the long-lived or intangible asset exceeds its fair value. Intangible assets with finite lives are amortized on a straight-line basis over their useful lives of ten years.
Costs for software developed for internal use are accounted for through the capitalization of those costs incurred in connection with developing or obtaining internal-use software. Capitalized costs for internal-use software are included in intangible assets in the consolidated balance sheet. Capitalized software development costs are amortized over three years. Costs incurred during the preliminary project along with post-implementation stages of internal use computer software development and costs incurred to maintain existing product offerings are expensed as incurred. The capitalization and ongoing assessment of recoverability of development costs require considerable judgment by management with respect to certain external factors, including, but not limited to, technological and economic feasibility and estimated economic life. The Company will begin amortizing the software over its estimated economic life once it has been placed into service.
Derivative accounting for convertible debt and warrants
The Company evaluates all of its agreements to determine if such instruments have derivatives or contain features that qualify as embedded derivatives. For derivative financial instruments that are accounted for as liabilities, the derivative instrument is initially recorded at its fair value and is then re-valued at each reporting date, with changes in the fair value reported in the consolidated statements of operations. For stock-based derivative financial instruments, the Company uses a weighted average Black-Scholes option pricing model to value the derivative instruments at inception and on subsequent valuation dates. The classification of derivative instruments, including whether such instruments should be recorded as liabilities or as equity, is evaluated at the end of each reporting period. Derivative instrument liabilities are classified in the balance sheet as current or non-current based on whether or not net-cash settlement of the derivative instrument could be required within 12 months of the balance sheet date. As of March 31, 2019, the Company had no financial instruments that contain embedded derivative features.
Results of Operations for Three Months Ended March 31, 2019 and 2018
MYnd Analytics is focused on research and the commercialization of its PEER Reports through its Neurometric Services, as well as providing telehealth service through scheduling and videoconferencing which is accessed through a secure portal.
179
The following table presents consolidated statement of operations data for each of the periods:
Revenues
| Three
months ended March 31, | ||||||||||||
| 2019 | 2018 | Change | ||||||||||
| Neurometric services | $ | 44,800 | $ | 79,800 | $ | (35,000 | ) | |||||
| Telepsychiatry services | 415,300 | 380,100 | 35,200 | |||||||||
| Total Revenues | $ | 460,100 | $ | 459,900 | $ | 200 | ||||||
Our neurometric services revenues decreased by $35,000, or approximately 44%, during the three months ended March 31, 2019. This decrease was primarily due to decreased sales of PEER reports during the period. Our telepsychiatry revenues increased by $35,200, or approximately 9.3% during the three months ended March 31, 2019 which was primarily due to our allocation of additional resources to the Arcadian platform during the 2019 period.
Cost of Revenues
| Three
months ended March 31, | ||||||||||||
| 2019 | 2018 | Change | ||||||||||
| Neurometric services | $ | 5,100 | $ | 69,700 | $ | (64,600 | ) | |||||
| Telepsychiatry services | 291,200 | 228,600 | 62,600 | |||||||||
| Cost of Revenues | $ | 296,300 | $ | 298,300 | $ | (2,000 | ) | |||||
Cost of revenues increased during the three months ended March 31, 2019, primarily due to decreased cost of PEER, reports, offset by increased telepsychiatry service and labor costs. Our cost of revenues for neurometric services represents approximately 11% and 23%, respectively, of neurometric services revenues for the three months ended March 31, 2019 and 2018, respectively. The cost for neurometric services fluctuates as the Company pays fees to third party providers for EEG services as a cost for its Peer reports. In most cases, fees for Peer reports are billed to patients’ insurance carriers for which the Company does not recognize as revenues until they are ultimately collected. Historically, the Company has experienced a low collection rate while most claims are collected in excess of ninety days from billing. Therefore, there will be timing differences between payment of services (cost of revenues) and receipt of payment (revenues) which will not reflect evenly in the Company’s Statement of Operations.
Research expenses
| Three
months ended March 31, | ||||||||||||
| 2019 | 2018 | Change | ||||||||||
| Services Research Expenses | $ | 60,800 | $ | 73,400 | $ | (12,600 | ) | |||||
Research expenses consist of consulting fees, travel expenses, conference fees, and other miscellaneous costs listed as following:
| Three
months ended March 31, | ||||||||||||||
| 2019 | 2018 | Change | ||||||||||||
| (1) | Consulting fees | 58,500 | 69,800 | (11,300 | ) | |||||||||
| (2) | Other miscellaneous costs | 2,300 | 3,600 | (1,300 | ) | |||||||||
| Total Research Expenses | $ | 60,800 | $ | 73,400 | $ | (12,600 | ) | |||||||
| (1) | Consulting costs decreased by $11,300 for the three months ended March 31, 2019 and 2018, primarily due to decreased consulting services during the period. |
| (2) | Other miscellaneous costs for the three months ended March 31, 2019 and 2018 were relatively unchanged. |
Product Development
| Three
months ended March 31, | ||||||||||||
| 2019 | 2018 | Change | ||||||||||
| Product Development Expenses | $ | 237,300 | $ | 342,200 | $ | (104,900 | ) | |||||
180
Product development expenses consist of payroll costs, (including stock-based compensation), consulting fees, system development costs, conference fee, travel expenses, and miscellaneous costs which were as follows:
| Three
months ended March 31, | ||||||||||||||
| 2019 | 2018 | Change | ||||||||||||
| (1) | Salaries and benefit costs | $ | 152,600 | $ | 140,700 | $ | 11,900 | |||||||
| (2) | Consulting fees | 45,700 | 139,200 | (93,500 | ) | |||||||||
| (3) | System development costs | 28,400 | 46,800 | (18,400 | ) | |||||||||
| (4) | Conference & travel | 2,700 | 3,700 | (1,000 | ) | |||||||||
| (5) | Other miscellaneous costs | 7,900 | 11,800 | (3,900 | ) | |||||||||
| Total Product Development Expenses | $ | 237,300 | $ | 342,200 | $ | (104,900 | ) | |||||||
| (1) | Salaries and benefits increased by $11,900 for the three months ended March 31, 2019 and 2018, primarily due to increased stock based compensation of $19,000; |
| (2) | Consulting fees decreased by $93,500 for the three months ended March 31, 2019, primarily due to services in relation to the upgrade of the Company’s cloud based sales platform and for a data science project to improve the Company’s algorithms for the production of an enhanced PEER report during the three months ended March 31, 2018; |
| (3) | System development and maintenance costs decreased by $18,400 for the three months ended March 31, 2019, primarily due to no system development cost incurred during the current period; |
| (4) | Conference and travel costs for the three months ended March 31, 2019 and 2018, were relatively unchanged; |
| (5) | Other miscellaneous costs decreased by $3,900 for the three months ended March 31, 2019, primarily due to decreased dues subscriptions; |
Sales and marketing
| Three
months ended March 31, | ||||||||||||
| 2019 | 2018 | Change | ||||||||||
| Sales and Marketing Expenses | $ | 199,400 | $ | 638,000 | $ | (438,600 | ) | |||||
Sales and marketing expenses consist of payroll and benefit costs, (including stock-based compensation), advertising and marketing expenses, consulting fees, and miscellaneous expenses.
| Three
months ended March 31, | ||||||||||||||
| 2019 | 2018 | Change | ||||||||||||
| (1) | Salaries and benefit costs | $ | 139,200 | $ | 342,300 | $ | (203,100 | ) | ||||||
| (2) | Consulting fees | 31,200 | 95,100 | (63,900 | ) | |||||||||
| (3) | Advertising and marketing costs | 4,800 | 97,500 | (92,700 | ) | |||||||||
| (4) | Conferences and travel costs | 6,100 | 30,100 | (24,000 | ) | |||||||||
| (5) | Other miscellaneous costs | 18,100 | 73,000 | (54,900 | ) | |||||||||
| Total Sales and marketing expenses | $ | 199,400 | $ | 638,000 | $ | (438,600 | ) | |||||||
| (1) | Salaries and benefits for the three months ended March 31, 2019 decreased by $203,100 from the 2018 period; primarily due to decreased salaries and commission of marketing and sales staff; |
| (2) | Consulting fees for the three months ended March 31, 2019 decreased by $63,900, primarily due to the decrease in the number of marketing consultants; |
| (3) | Advertising and marketing expenses for the three months ended March 31, 2019 decreased by $92,700 primarily due to decreased social media advertising; |
| (4) | Conference and travel expenditures for the three months ended March 31, 2019 decreased by $24,000, primarily due to decreased travel expense for the sales staff; and |
| (5) | Miscellaneous expenditures for the three months ended March 31, 2019 decreased by $54,900, primarily due to decreased rent and office expenses. |
181
General and administrative
| Three months ended March 31, | ||||||||||||
| 2019 | 2018 | Change | ||||||||||
| General and administrative expenses | $ | 2,350,300 | $ | 1,740,900 | $ | 609,400 | ||||||
General and administrative expenses consist of payroll and benefit costs, (including stock based compensation), legal fees, patent costs, other professional and consulting fees, general administrative and occupancy costs, dues and subscriptions, conference fees, and travel expenses.
| Three months ended March 31, | ||||||||||||||
| 2019 | 2018 | Change | ||||||||||||
| (1) | Salaries and benefit costs | $ | 998,200 | $ | 728,000 | $ | 270,200 | |||||||
| (2) | Consulting fees | 336,600 | 364,200 | (27,600 | ) | |||||||||
| (3) | Legal fees | 484,600 | 44,300 | 440,300 | ||||||||||
| (4) | Other professional fees | 108,000 | 246,200 | (138,200 | ) | |||||||||
| (5) | Patent costs | 44,800 | 45,800 | (1,000 | ) | |||||||||
| (6) | Marketing and investor relations costs | 143,700 | 46,500 | 97,200 | ||||||||||
| (7) | Conference and travel costs | 36,200 | 26,100 | 10,100 | ||||||||||
| (8) | Dues & subscriptions fees | 52,600 | 49,700 | 2,900 | ||||||||||
| (9) | Computer & web services | 20,100 | 40,000 | (19,900 | ) | |||||||||
| (10) | General admin and occupancy costs | 125,500 | 150,100 | (24,600 | ) | |||||||||
| Total General and administrative expenses | $ | 2,350,300 | $ | 1,740,900 | $ | 609,400 | ||||||||
| (1) | Salaries and benefit expenses increased by $270,200 for the three months ended March 31, 2019 period. This increase was primarily due to increased bonus accrual of $153,000, and increased telepsychiatry management and staff cost due to acquisition of Arcadian on November 13, 2017; |
| (2) | Consulting fees decreased by $27,600 for the three months ended March 31, 2019 period, primarily related to decreased operational and consulting fees; |
| (3) | Legal fees increased by $440,300 for the three months ended March 31, 2019 period, primarily due to additional legal fees related to the negotiation and execution of the merger agreement and other financing activities; |
| (4) | Other professional fees decreased by $138,200 for the three months ended March 31, 2019 period, primarily due to higher audit fees in relation to the acquisition of Arcadian in fiscal 2018; |
| (5) | Patent costs decreased by $1,000 primarily due to less volume of patent and trademark applications and maintenance costs; |
| (6) | Marketing and investor relations costs increased by $97,200 for the three months ended March 31, 2019 as the Company engaged public relation firms in relation to capital raise and support of NASDAQ matters; |
| (7) | Conference and travel costs increased by $10,100 for the three months ended March 31, 2019, primarily due to more conferences attended and travel made during the period; |
| (8) | Dues and subscription costs increased by $2,900 for the three months ended March 31, 2019, primarily due to additional licenses for our Salesforce platform; |
| (9) | Computer and web services decreased by $19,900 for the three months ended March 31, 2019, primarily due to decreased services related to our telepsychiatry business and cloud hosting fees; and |
| (10) | General administrative and occupancy costs decreased by $24,600 for the three months ended March 31, 2019 period, primarily due to decreased Delaware franchise tax at $98,000, offset by increased bad debt write off at $14,000, and increased expenses from acquisition of Arcadian in fiscal 2018. |
Other income (expense)
| Three months ended March 31, | ||||||||||||
| 2019 | 2018 | Change | ||||||||||
| Interest expense | $ | (23,400 | ) | $ | (24,800 | ) | $ | 1,400 | ||||
Interest expense for the three months ended March 31, 2019 and 2018 were relatively unchanged;
Net Loss
| Three months ended March 31, | ||||||||||||
| 2019 | 2018 | Change | ||||||||||
| Loss, net | $ | (2,709,700 | ) | $ | (2,659,600 | ) | $ | (50,100 | ) | |||
Our net loss was $2.7 million for the three months ended March 31, 2019, compared to a net loss of approximately $2.7 million for the same period ended March 31, 2018, primarily due to increased revenue from the acquisition of our telepsychiatry business on November 13, 2018, offset by increased costs and expenses respectively.
182
Results of Operations for Six Months Ended March 31, 2019 and 2018
MYnd Analytics is focused on research and the commercialization of its PEER Reports through its Neurometric Services, as well as providing telehealth service through scheduling and videoconferencing which is accessed through a secure portal.
The following table presents consolidated statement of operations data for each of the periods:
Revenues
| Six months ended March 31, | ||||||||||||
| 2019 | 2018 | Change | ||||||||||
| Neurometric services | $ | 124,000 | $ | 133,100 | $ | (9,100 | ) | |||||
| Telepsychiatry services | 723,200 | 448,800 | 274,400 | |||||||||
| Total Revenues | $ | 847,200 | $ | 581,900 | $ | 265,300 | ||||||
Our neurometric services revenues decreased by $9,100, or approximately 7% for the six months ended March 31, 2019 The decrease was primarily due to decreased sales of PEER reports during the period. Our telepsychiatry revenues increased by $274,400, or approximately 61% during the six months ended March 31, 2019. Our increase in telepsychiatry services revenues is due to a combination of factors. First, the Company only began operating its Arcadian business during the three months ended December 31, 2017. As a result, the Company only recognized revenues from the Arcadian business (i.e. telepsychiatry services revenues) for a portion of the six-months ended March 31, 2018. In addition, the Company provided additional resources to the Arcadian platform during 2019, which improved its results of operations.
Cost of Revenues
| Six months ended March 31, | ||||||||||||
| 2019 | 2018 | Change | ||||||||||
| Neurometric services | $ | 11,500 | $ | 118,800 | $ | (107,300 | ) | |||||
| Telepsychiatry services | 509,900 | 264,400 | 245,500 | |||||||||
| Cost of Revenues | $ | 521,400 | $ | 383,200 | $ | 138,200 | ||||||
Overall, the cost of revenues increased during the six months ended March 31, 2019, primarily due to fees paid to service providers as a result of increased sales for telepsychiatry services. Our cost of revenues for neurometric services represents approximately 2% and 31%, respectively, of neurometric services revenues for the six months ended March 31, 2019 and 2018, respectively. The cost for neurometric services fluctuates as the Company pays fees to third party providers for EEG services as a cost for its Peer reports. In most cases Peers are billed to patients’ insurance carriers for which the Company does not recognize as revenues until they are ultimately collected. Historically the Company has experienced a low collection rate while most claims are collected in excess of ninety days from billing. Therefore, there will be timing differences between payment of services (cost of revenues) and receipt of payment (revenues) which will not reflect evenly in the Company’s Statement of Operations.
Research expenses
| Six months ended March 31, | ||||||||||||
| 2019 | 2018 | Change | ||||||||||
| Services Research Expenses | $ | 141,600 | $ | 154,900 | $ | (13,300 | ) | |||||
Research expenses consist of consulting fees, travel expenses, conference fees, and other miscellaneous costs listed as following:
| Six months ended March 31, | ||||||||||||||
| 2019 | 2018 | Change | ||||||||||||
| (1) | Consulting fees | 137,000 | 148,800 | (11,800 | ) | |||||||||
| (2) | Other miscellaneous costs | 4,600 | 6,100 | (1,500 | ) | |||||||||
| Total Research Expenses | $ | 141,600 | $ | 154,900 | $ | (13,300 | ) | |||||||
| (1) | Consulting costs decreased by $11,800 for the six months ended March 31, 2019 and 2018, primarily due to decreased consulting services during the period; |
| (2) | Other miscellaneous costs for the six months ended March 31, 2019 and 2018 were relatively unchanged. |
183
Product Development
| Six months ended March 31, | ||||||||||||
| 2019 | 2018 | Change | ||||||||||
| Product Development Expenses | $ | 474,300 | $ | 611,400 | $ | (137,100 | ) | |||||
Product development expenses consist of payroll costs, (including stock-based compensation), consulting fees, system development costs, conference fee, travel expenses, and miscellaneous costs which were as follows:
| Six months ended March 31, | ||||||||||||||
| 2019 | 2018 | Change | ||||||||||||
| (1) | Salaries and benefit costs | $ | 295,100 | $ | 265,100 | $ | 30,000 | |||||||
| (2) | Consulting fees | 97,300 | 211,700 | (114,400 | ) | |||||||||
| (3) | System development costs | 63,500 | 82,800 | (19,300 | ) | |||||||||
| (4) | Conference & travel | 4,100 | 14,600 | (10,500 | ) | |||||||||
| (5) | Other miscellaneous costs | 14,300 | 37,200 | (22,900 | ) | |||||||||
| Total Product Development Expenses | $ | 474,300 | $ | 611,400 | $ | (137,100 | ) | |||||||
| (1) | Salaries and benefits increased by $30,000 for the six months ended March 31, 2019, primarily due to increased stock-based compensation $33,000 recognized during the six months of 2019; |
| (2) | Consulting fees decreased by $114,400 for the six months ended March 31, 2019, primarily due to services in relation to the upgrade of the Company’s cloud based sales platform and for a data science project to improve the Company’s algorithms for the production of an enhanced PEER report during the six months ended March 31, 2018. |
| (3) | System development and maintenance costs decreased by $19,300 for the six months ended March 31, 2019, primarily due to no system development cost incurred during the current period; |
| (4) | Conference and travel costs decreased by $10,500 during the six months March 31, 2019 and 2018, primarily due to decreased conference attendance and travel expenses; |
| (5) | Other miscellaneous costs decreased by $22,900 for the six months ended March 31, 2019, primarily due to decreased computer services and dues subscriptions during the period; |
Sales and marketing
| Six months ended March 31, | ||||||||||||
| 2019 | 2018 | Change | ||||||||||
| Sales and Marketing Expenses | $ | 351,300 | $ | 1,305,200 | $ | (953,900 | ) | |||||
Sales and marketing expenses consist of payroll and benefit costs, (including stock-based compensation), advertising and marketing expenses, consulting fees, and miscellaneous expenses.
| Six months ended March 31, | ||||||||||||||
| 2019 | 2018 | Change | ||||||||||||
| (1) | Salaries and benefit costs | $ | 230,600 | $ | 589,400 | $ | (358,800 | ) | ||||||
| (2) | Consulting fees | 58,100 | 270,000 | (211,900 | ) | |||||||||
| (3) | Advertising and marketing costs | 4,800 | 248,600 | (243,800 | ) | |||||||||
| (4) | Conferences and travel costs | 9,600 | 55,700 | (46,100 | ) | |||||||||
| (5) | Other miscellaneous costs | 48,200 | 141,500 | (93,300 | ) | |||||||||
| Total Sales and marketing expenses | $ | 351,300 | $ | 1,305,200 | $ | (953,900 | ) | |||||||
| (1) | Salaries and benefits for the six months ended March 31, 2019 decreased by $358,800 from the 2018 period; primarily due to decreased salaries and commission of marketing and sales staff; |
| (2) | Consulting fees for the six months ended March 31, 2019 decreased by $211,900, primarily due to the decrease in the number of marketing consultants; |
| (3) | Advertising and marketing expenses for the six months ended March 31, 2019 decreased by $243,800 primarily due to decreased social media advertising; |
| (4) | Conference and travel expenditures for the six months ended March 31, 2019 decreased by $46,100, primarily due to decreased travel expense for the sales staff; and |
| (5) | Miscellaneous expenditures for the six months ended March 31, 2019 decreased by $93,300, primarily due to decreased rent and office expenses. |
184
General and administrative
| Six months ended March 31, | ||||||||||||
| 2019 | 2018 | Change | ||||||||||
| General and administrative expenses | $ | 4,724,100 | $ | 3,515,800 | $ | 1,208,300 | ||||||
General and administrative expenses consist of payroll and benefit costs, (including stock based compensation), legal fees, patent costs, other professional and consulting fees, general administrative and occupancy costs, dues and subscriptions, conference fees, and travel expenses.
| Six months ended March 31, | ||||||||||||||
| 2019 | 2018 | Change | ||||||||||||
| (1) | Salaries and benefit costs | $ | 1,974,900 | $ | 1,430,800 | $ | 544,100 | |||||||
| (2) | Transaction fees | — | 438,600 | (438,600 | ) | |||||||||
| (2) | Consulting fees | 729,800 | 562,300 | 167,500 | ||||||||||
| (3) | Legal fees | 926,000 | 78,900 | 847,100 | ||||||||||
| (4) | Other professional fees | 206,700 | 367,300 | (160,600 | ) | |||||||||
| (5) | Patent costs | 46,200 | 55,300 | (9,100 | ) | |||||||||
| (6) | Marketing and investor relations costs | 229,700 | 119,000 | 110,700 | ||||||||||
| (7) | Conference and travel costs | 63,600 | 82,800 | (19,200 | ) | |||||||||
| (8) | Dues & subscriptions fees | 109,000 | 95,000 | 14,000 | ||||||||||
| (9) | Computer & web services | 68,400 | 40,000 | 28,400 | ||||||||||
| (10) | General admin and occupancy costs | 369,800 | 245,800 | 124,000 | ||||||||||
| Total General and administrative expenses | $ | 4,724,100 | $ | 3,515,800 | $ | 1,208,300 | ||||||||
| (1) | Salaries and benefit expenses increased by $544,100 for the six months ended March 31, 2019 period, primarily due to increased bonus accrual of $163,000, and increased telepsychiatry management and staff cost due to acquisition of Arcadian on November 13, 2017; |
| (2) | Transaction cost was decreased by $438,600 primarily due to telepsychiatry management and staff cost related from acquisition of Arcadian on November 13, 2017; |
| (3) | Consulting fees increased by $167,500 for the six months ended March 31, 2019 period, primarily related to increased operational and consulting fees, as well as increased recruitment fees; |
| (4) | Legal fees increased by $847,100 for the six months ended March 31, 2019 period, primarily due to additional legal fees related to the negotiation and execution of the merger agreement and other financing activities; |
| (5) | Other professional fees decreased by $160,600 for the six months ended March 31, 2019 period, primarily due to higher audit fees in relation to the acquisition of Arcadian in fiscal 2018; |
| (6) | Patent costs decreased by $9,100 primarily due to less volume of patent and trademark applications and maintenance costs; |
| (7) | Marketing and investor relations costs increased by $110,700 for the six months ended March 31, 2019 as we engaged public relation firms in relation to capital raise and support of NASDAQ matters; |
| (8) | Conference and travel costs decreased by $19,200 for the six months ended March 31, 2019, primarily due to less conferences attended and less travel made during the period; |
| (9) | Dues and subscription costs increased by $14,000 for the six months ended March 31, 2019, primarily due to additional licenses for our Salesforce platform; |
| (10) | Computer and web services increased by $28,400 for the six months ended March 31, 2019, primarily due to increased services related to our telepsychiatry business and cloud hosting fees; and |
| (11) | General administrative and occupancy costs increased by $124,000 for the six months ended March 31, 2019 period. The increase was primarily due to increased bad debt write off at $12,700, and increased expenses related to our telepsychiatry business, offset by decreased in Delaware franchise tax in the amount of $43,000. |
185
Other income (expense)
| Six months ended March 31, | ||||||||||||
| 2019 | 2018 | Change | ||||||||||
| Interest expense | $ | (46,300 | ) | $ | (38,500 | ) | $ | (7,800 | ) | |||
Interest expense decreased by $7,800 for the six months ended March 31, 2019, primarily due to interest expense in relation to the acquisition of Arcadian on November 13, 2017.
Net Loss
| Six months ended March 31, | ||||||||||||
| 2019 | 2018 | Change | ||||||||||
| Loss, net | $ | (5,414,100 | ) | $ | (5,429,000 | ) | $ | 14,900 | ||||
Our net loss was $14,900 less for the six months ended March 31, 2019, compared to the same period ended March 31, 2018, primarily due to increased revenue from the acquisition of our telepsychiatry business on November 13, 2018, offset by increased costs and expenses respectively.
Liquidity and Capital Resources
The accompanying condensed consolidated financial statements have been prepared in conformity with U.S. generally accepted accounting principles (“GAAP”), which contemplate continuation of the Company as a going concern.
Since our inception, we have never been profitable and we have generated significant losses. The Company has a limited operating history and its operations are subject to certain problems, expenses, difficulties, delays, complications, risks and uncertainties frequently encountered in the operation of a business with a limited operating history. These risks include the ability to obtain adequate financing on a timely basis, if at all, the failure to develop or supply technology or services to meet the demands of the marketplace, the failure to attract and retain qualified personnel, competition within the industry, government regulation and the general strength of regional and national economies.
As of March 31, 2019, we had an accumulated deficit of approximately $89.9 million compared to our accumulated deficit as of September 30, 2018, of approximately $85.2 million. Our management expects that with our proposed clinical trials, sales and marketing and general and administrative costs, our expenditures will continue to grow and, as a result, we will need to generate significant product revenues to achieve profitability. The Company continues to explore additional sources of capital but there is substantial doubt as to whether any financing arrangement will be available in amounts and on terms acceptable to the Company to permit it to continue operations.
As of March 31, 2019, we had approximately $1.2 million in cash and cash equivalents and a working capital deficit of approximately $352,000. This is compared to our cash position of approximately $3.3 million as of September 30, 2018 and working capital of approximately $2.3 million.
The Company has been funded through multiple rounds of private placements, primarily from members of our Board or our affiliates, one public offering of common stock and recently, through our facility with Aspire Capital.
Working Capital, Going Concern, Operating Capital and Capital Expenditure Requirements
As of March 31, 2019, we had approximately $1.2 million in cash and cash equivalents, compared to approximately $3.3 million of cash and cash equivalents as of September 30, 2018.
Our recurring net losses and negative cash flows from operations raise substantial doubt about our ability to continue as a going concern. Management’s assessment of substantial doubt of going concern is based on current estimates and assumptions regarding our programs and business needs. Actual working capital requirements could differ materially from the above working capital projection. We may explore strategic opportunities including partnerships, licensing and acquisitions of other entities, assets or products. If we are unable to continue to identify sources of capital, we may be required to limit our activities, to terminate programs or terminate operations temporarily or permanently. Even if we close the Merger, we will be required to fund our continuing operations.
186
Our ability to successfully raise sufficient funds through the sale of equity securities, when needed, is subject to many risks and uncertainties and even if we are successful, future equity issuances would result in dilution to our existing stockholders. Our risk factors are described under the heading “Risk Factors” in Part I Item 1A and elsewhere in our Annual Report on Form 10-K and in other reports we file with the SEC.
The amount of capital we will need to conduct our operations and the time at which we will require such capital may vary significantly depending upon a number of factors, such as:
| ● | the amount and timing of costs we incur in connection with our clinical trials and product development activities, including enhancements to our PEER Online database and costs we incur to further validate the efficacy of our technology; |
| ● | whether we can receive sufficient business revenues from Arcadian to adequately cover our costs; |
| ● | the amount and timing of costs we incur in connection with the expansion of our commercial operations, including our sales and marketing efforts; |
| ● | whether we incur additional consulting and legal fees in our efforts in conducting Non-Significant Risk trials within FDA requirements, which will enable us to obtain a 510(k) clearance from the FDA; |
| ● | if we expand our business by acquiring or investing in complimentary businesses; and |
| ● | our continuing access to funding from Aspire Capital. |
Sources of Liquidity
Since our inception, substantially all of our operations have been financed from equity and debt financings.
The Aspire Capital Equity Lines of Credit
On December 6, 2016, the Company, entered into a common stock purchase agreement (the “First Purchase Agreement”) with Aspire Capital which provided that, upon the terms and subject to the conditions and limitations set forth therein, Aspire Capital was committed to purchase up to an aggregate of $10.0 million of shares of the Company’s common stock over the 30- month term of the First Purchase Agreement. For details of the First Purchase Agreement financing see “Private Placement Transactions - The Aspire Capital Equity Credit Lines” below.
From April 3, 2018 to May 7, 2018 the Company sold 1,180,000 shares of common stock to Aspire Capital under the First Purchase Agreement and received total proceeds of $2.4 million.
On May 15, 2018, the Company, entered into the Second Purchase Agreement with Aspire Capital which provides that, upon the terms and subject to the conditions and limitations set forth therein, Aspire Capital is committed to purchase up to an aggregate of $10.0 million of shares of the Company’s common stock over the 30-month term of the Second Purchase Agreement. For details of the Purchase Agreement financing see “Private Placement Transactions? The Aspire Capital Equity Credit Linea” below.
From May 15, 2018 to March 31, 2019, the Company sold 2,200,100 shares of common stock to Aspire Capital under the Second Purchase Agreement and received total proceeds of approximately $3.7 million.
Public Offering
In July 2017, the Company completed an underwritten public offering of its Common Stock and warrants, raising gross proceeds of approximately $8.79 million. In the offering, the Company sold 1,675,000 shares of Common Stock and accompanying warrants to purchase up to 1,675,000 shares of Common Stock (the “Warrants”), at a combined public offering price of $5.25 per share and accompanying Warrant, for a total offering size of $8,793,750. The Warrants were immediately exercisable for one share of Common Stock at an exercise price of $5.25 per share, and will expire five years after the issuance date. In connection with the offering, the Company granted the representative of the underwriters a 45-day option to purchase up to 251,250 additional shares of Common Stock and/or Warrants to cover over-allotments, if any. On August 24, 2017 the underwriters exercised their option and purchased 213,800 common stock warrants for $0.01 per warrant. The warrants were immediately exercisable for one share of common stock at an exercise price of $5.25 per share, subject to adjustments, and will expire five years after the issuance date.
187
Private Placement of Series A Preferred Stock with Warrant
On March 29, 2018, the Company sold an aggregate of 1,050,000 units for $2.00 per Unit, each consisting of one share of newly-designated Series A Preferred Stock, par value $0.001 per share and one Warrant to purchase one share of Common Stock, par value $0.001 per share for $2.34 per share in a private placement to three affiliates of the Company, for gross proceeds of $2.1 million. The private placement closed on March 29, 2018. The closing price per share of the Common Stock on the Nasdaq Stock Market on March 29, 2018 was $1.19 per share.
On April 30, 2018, the Company entered into the First Amended Subscription Agreement for Shares of Series A Preferred Stock and Common Stock Purchase Warrants (the “Amended Agreement”) with John Pappajohn and Mary Pappajohn (each an “Investor”, and collectively the “Investors”), which provides for the issuance, as of the date of the Original Agreement, of an aggregate of 500,000 Shares of Series A-1 Convertible Preferred Stock, par value $0.001 per share (“Series A-1 Convertible Preferred Stock”), in lieu of the same number of Shares of Series A Convertible Preferred Stock that the Company had originally agreed to issue to the Investors. The Series A-1 Convertible Preferred Stock will have substantially the same rights and preferences as the Shares of Series A Preferred Stock, except that the Shares of Series A-1 Convertible Preferred Stock are non-voting and cannot be converted into Common Stock by an Investor if, as a result of such conversion, such Investor would beneficially own greater than 19.9% of the outstanding shares of Common Stock. Additionally, the Warrants were amended to provide that they would not be exercisable by an Investor if, following any such exercise, such Investor would beneficially own greater than 19.9% of the outstanding shares of Common Stock.
Shares of the Company’s Series A and Series A-1 Preferred Stock are entitled to receive cash dividends at the rate of five percent (5.00%) of the Original Series A and Series A-1 Issue Price per annum, payable out of funds legally available therefor. Dividends will only payable when and if declared or upon certain events.
The Warrants are exercisable for a period of five years for an exercise price of $2.34. The exercise price is subject to adjustment for stock splits, stock dividends, combinations or similar events. The Warrants may not be exercised on a cashless basis.
Cash Flows
Net cash used in operating activities was approximately $3.8 million for the six months ended March 31, 2019, compared to approximately $4.7 million for the same period in 2018. The approximate $0.9 million net decrease in cash used for operations was primarily due to an increase in accounts payable of approximately $0.4 million, and increased stock based compensation at $0.2 million.
During the six months ended March 31, 2019, the Company used $9,100 in investing activities related to the purchase of furniture and equipment. During the six months ended March 31, 2018, the Company used $361,800 in investing activities, including $55,200 for the purchase of office equipment and $306,600 related to the acquisition of Arcadian.
Net Cash provided by financing activities for the six months ended March 31, 2019 was $1.8 million, consisting $1.8 million of gross proceeds received from Aspire purchase, offset by $17,500 repayments on notes payable and $600 repayments on a capital lease. Net Cash provided by financing activities for the six months ended March 31, 2018 was $2.1 million, consisting $2.1 million of gross proceeds received from private placements, offset by $34,100 repayments on notes payable and $600 repayments on a capital lease.
Off-Balance Sheet Arrangements
We have no off-balance sheet arrangements or financing activities with special purpose entities.
Private Placement Transactions
The Aspire Capital Equity Credit Lines
On December 6, 2016, the Company entered into the First Purchase Agreement with Aspire Capital which provided that, upon the terms and subject to the conditions and limitations set forth therein, Aspire Capital was committed to purchase up to an aggregate of $10.0 million of shares of the Company’s common stock over the 30-month term of the First Purchase Agreement. In consideration for entering into the First Purchase Agreement, concurrently with the execution of the First Purchase Agreement, the Company issued to Aspire Capital 80,000 shares of the Company’s common stock. See Note 7. Stockholders’ Equity”, Consolidated Financial Statements for additional detail.
188
Under the First Purchase Agreement, after the SEC declared effective the registration statement referred to above, on any trading day selected by the Company on which the closing sale price of its Common Stock was equal or greater than $0.50 per share, the Company had the right, in its sole discretion, to present Aspire Capital with a purchase notice, directing Aspire Capital (as principal) to purchase up to 50,000 shares of Common Stock per business day, up to $10.0 million of the Company’s common stock in the aggregate at a per share purchase price equal to the lesser of:
a) the lowest sale price of Common Stock on the purchase date; or
b) the arithmetic average of the three (3) lowest closing sale prices for Common Stock during the twelve (12) consecutive trading days ending on the trading day immediately preceding the purchase date.
The Company had the right, in its sole discretion, to present Aspire Capital with a volume-weighted average price purchase notice (each, a “VWAP Purchase Notice”) directing Aspire Capital to purchase an amount of stock equal to up to 30% of the aggregate shares of Common Stock traded on its principal market on the next trading day (the “VWAP Purchase Date”), subject to a maximum number of shares the Company may determine. The purchase price per share pursuant to such VWAP Purchase Notice was generally 95% of the volume-weighted average price for Common Stock traded on its principal market on the VWAP Purchase Date.
The purchase price was to be adjusted for any reorganization, recapitalization, non-cash dividend, stock split, or other similar transaction occurring during the period(s) used to compute the Purchase Price. The Company could deliver multiple Purchase Notices and VWAP Purchase Notices to Aspire Capital from time to time during the term of the Purchase Agreement, so long as the most recent purchase has been completed.
The Purchase Agreement provides that the Company and Aspire Capital would not effect any sales under the First Purchase Agreement on any purchase day selected where the closing sale price of the Company’s common stock was less than $0.50. There are no trading volume requirements or restrictions under the First Purchase Agreement, and the Company could control the timing and amount of sales of Common Stock to Aspire Capital. Aspire Capital had no right to require any sales by the Company, but was obligated to make purchases from the Company as directed by the Company in accordance with the First Purchase Agreement. There were no limitations on use of proceeds, financial or business covenants, restrictions on future fundings, rights of first refusal, participation rights, penalties or liquidated damages in the First Purchase Agreement. In consideration for entering into the Purchase Agreement, concurrently with the execution of the First Purchase Agreement, the Company issued to Aspire Capital 80,000 shares of Common Stock (the “ First Commitment Shares”). The First Purchase Agreement was terminated and replace by the Second Purchase Agreement, defined below on May 15, 2018. Aspire Capital had agreed that neither it nor any of its agents, representatives and affiliates shall engage in any direct or indirect short-selling or hedging of Common Stock during any time prior to the termination of the First Purchase Agreement. Any proceeds from the Company receives under the First Purchase Agreement were expected to be used for working capital and general corporate purposes.
On May 15, 2018 the Company terminated the First Purchase Agreement and entered into the Second Purchase Agreement with Aspire Capital which provides that, upon the terms and subject to the conditions and limitations set forth therein, Aspire Capital is committed to purchase up to an aggregate of $10.0 million of shares of the Company’s common stock over the 30-month term of the Purchase Agreement. In consideration for entering into the Purchase Agreement, concurrently with the execution of the Purchase Agreement, the Company issued to Aspire Capital 250,000 shares of the Company’s common stock (the “Second Commitment Shares”). See Note 6. Stockholders’ Equity of the Condensed Consolidated Financial Statements for additional detail.
Under the Second Purchase Agreement, after the SEC declared effective the registration statement referred to above, on any trading day selected by the Company on which the closing sale price of its Common Stock is equal or greater than $0.50 per share, the Company has the right, in its sole discretion, to present Aspire Capital with a purchase notice, directing Aspire Capital (as principal) to purchase up to 50,000 shares of Common Stock per business day, up to $10.0 million of the Company’s common stock in the aggregate at a per share purchase price equal to the lesser of:
a) the lowest sale price of Common Stock on the purchase date; or
b) the arithmetic average of the three (3) lowest closing sale prices for Common Stock during the twelve (12) consecutive trading days ending on the trading day immediately preceding the purchase date.
The Company has the right, in its sole discretion, to present Aspire Capital with a volume-weighted average price purchase notice (each, a “VWAP Purchase Notice”) directing Aspire Capital to purchase an amount of stock equal to up to 30% of the aggregate shares of Common Stock traded on its principal market on the next trading day (the “VWAP Purchase Date”), subject to a maximum number of shares the Company may determine. The purchase price per share pursuant to such VWAP Purchase Notice is generally 95% of the volume-weighted average price for Common Stock traded on its principal market on the VWAP Purchase Date.
189
The purchase price will be adjusted for any reorganization, recapitalization, non-cash dividend, stock split, or other similar transaction occurring during the period(s) used to compute the Purchase Price. The Company may deliver multiple Purchase Notices and VWAP Purchase Notices to Aspire Capital from time to time during the term of the Purchase Agreement, so long as the most recent purchase has been completed.
The Second Purchase Agreement provides that the Company and Aspire Capital will not effect any sales under the Second Purchase Agreement on any purchase day selected where the closing sale price of the Company’s common stock is less than $0.50. There are no trading volume requirements or restrictions under the Second Purchase Agreement, and the Company will control the timing and amount of sales of Common Stock to Aspire Capital. Aspire Capital has no right to require any sales by the Company, but is obligated to make purchases from the Company as directed by the Company in accordance with the Second Purchase Agreement. There are no limitations on use of proceeds, financial or business covenants, restrictions on future fundings, rights of first refusal, participation rights, penalties or liquidated damages in the Second Purchase Agreement. In consideration for entering into the Second Purchase Agreement, concurrently with the execution of the Second Purchase Agreement, the Company issued to Aspire Capital 250,000 shares of Common Stock (the “Second Commitment Shares”). The Second Purchase Agreement may be terminated by the Company at any time, at its discretion, without any cost to the Company. Aspire Capital has agreed that neither it nor any of its agents, representatives and affiliates shall engage in any direct or indirect short-selling or hedging of Common Stock during any time prior to the termination of the Second Purchase Agreement. Any proceeds from the Company receives under the Second Purchase Agreement are expected to be used for working capital and general corporate purposes.
As of March 31, 2019, the Company has issued purchase notices to Aspire Capital under the First Purchase Agreement to purchase 1,180,000 shares of common stock, at a per share price of $2.00, resulting in gross cash proceeds of approximately $2.4 million.
From May 15, 2018 to March 31, 2019, the Company sold 2,200,100 shares of common stock to Aspire Capital under the Second Purchase Agreement and received total proceeds of approximately $3.7 million.
The Second Purchase Agreement previously restricted the amount of shares that may be sold to Aspire Capital thereunder to 1,134,671 shares of Common Stock (the “Exchange Cap”). On November 26, 2018, the Company received shareholder approval to remove the Exchange Cap in compliance with the applicable listing rules of the Nasdaq Stock Market. Pursuant to Nasdaq Listing Rule 5635(d), shareholder approval is required prior to the issuance of securities in connection with a transaction other than a public offering involving the sale, issuance or potential issuance by the Company of common stock (or securities convertible into or exercisable common stock) equal to 20% or more of the common stock outstanding before the issuance for less than the greater of book or market value of the stock. Following receipt of shareholder approval, the Company may issue an additional $8.1 million, up to an aggregate of $10 million, of common stock to Aspire Capital under the Second Purchase Agreement, with availability of $6.3 million at March 31, 2019.
Private Placement of Series A Preferred Stock with Warrant
On March 29, 2018, the Company sold an aggregate of 1,050,000 units for $2.00 per Unit, each consisting of one share of newly-designated Series A Preferred Stock, par value $0.001 per share and one Warrant to purchase one share of Common Stock, par value $0.001 per share for $2.34 per share in a private placement to three affiliates of the Company, for gross proceeds of $2.1 million (“the Financing”). The private placement closed on March 29, 2018. The closing price per share of the Common Stock on the Nasdaq Stock Market on March 29, 2018 was $1.19 per share.
On April 30, 2018, the Company entered into the First Amended Subscription Agreement for Shares of Series A Preferred Stock and Common Stock Purchase Warrants (the “Amended Agreement”) with John Pappajohn and Mary Pappajohn (each an “Investor”, and collectively the “Investors”), which provides for the issuance, as of the date of the Original Agreement, of an aggregate of 500,000 Shares of Series A-1 Convertible Preferred Stock, par value $0.001 per share (“Series A-1 Convertible Preferred Stock”), in lieu of the same number of Shares of Series A Convertible Preferred Stock that the Company had originally agreed to issue to the Investors. The Series A-1 Convertible Preferred Stock will have substantially the same rights and preferences as the Shares of Series A Preferred Stock, except that the Shares of Series A-1 Convertible Preferred Stock are non-voting and cannot be converted into Common Stock by an Investor if, as a result of such conversion, such Investor would beneficially own greater than 19.9% of the outstanding shares of Common Stock. Additionally, the Warrants were amended to provide that they would not be exercisable by an Investor if, following any such exercise, such Investor would beneficially own greater than 19.9% of the outstanding shares of Common Stock.
190
Shares of the Company’s Series A and Series A-1 Preferred Stock are entitled to receive cash dividends at the rate of five percent (5.00%) of the Original Series A and Series A-1 Issue Price per annum, payable out of funds legally available therefor. Dividends will only payable when and if declared or upon certain events.
The Warrants are exercisable for a period of five years for an exercise price of $2.34. The exercise price is subject to adjustment for stock splits, stock dividends, combinations or similar events. The Warrants may not be exercised on a cashless basis.
In connection with the Financing, the Company also entered into the Registration Rights Agreement with the investors, requiring the Company to register the resale of the shares of Common Stock underlying the preferred stock and the Warrants. Under the Registration Rights Agreement, the Majority Holders may by a written Demand Notice to the Company commencing six (6) months from the closing date, request the Company to effect the registration of all or part of the registrable securities owned by such Majority Holders and their respective affiliates on a Registration Statement on Form S-3. The Company has agreed to use its reasonable best efforts to cause such registration and/or qualification to be complete as soon as practicable, but in no event later than sixty (60) days, after receipt of the Demand Notice.
The shares of Series A and Series A-1 Preferred Stock were offered and sold in reliance upon the exemption from the registration requirements of the Securities Act, set forth under Section 4(a)(2) of the Securities Act and Rule 506 of Regulation D promulgated under the Securities Act, relating to sales by an issuer not involving any public offering and in reliance on similar exemptions under applicable state laws. Each purchaser represented that it is an accredited investor and that it acquired the Series A and Series A-1 Preferred Stock and Warrants for investment purposes only and not with a view to any resale, distribution or other disposition of such securities in violation of the United States federal securities laws.
On September 21, 2018, the Company entered into definitive agreements with George C. Carpenter IV, President and Chief Executive Officer, Robin L. Smith, Chairman, as well as John Pappajohn, and Peter Unanue, each a director of the Company, and entities affiliated with Michal Votruba, a member of the Board of Directors of MYnd Analytics and Director of Life Sciences for the European-based RSJ-Gradus fund, relating to a private placement (the “September Private Placement”) of an aggregate of 459,458 units for $1.85 per unit, with each unit consisting of one share of common stock and one common stock purchase warrant to purchase one share of Common Stock for $2.00 per share.
The Company has used the proceeds of the above financings for general corporate purposes.
These private placements were made pursuant to an exemption from registration afforded by Section 4(a)(2) of the Securities Act, and Regulation D thereunder.
191
EMMAUS MANAGEMENT’S DISCUSSION
AND ANALYSIS OF
FINANCIAL CONDITION AND RESULTS OF OPERATIONS
You should read the following discussion and analysis of Emmaus’ financial condition and results of operations together with Emmaus’ consolidated financial statements and the related notes included elsewhere in this joint proxy statement/prospectus. Some of the information contained in this discussion and analysis or set forth elsewhere in this joint proxy statement/prospectus, including information with respect to Emmaus’ plans and strategy for Emmaus’ business and related financing, includes forward-looking statements that involve risks and uncertainties. As a result of many factors, including those factors set forth in the “Risk Factors” section of this joint proxy statement/prospectus, Emmaus’ actual results could differ materially from the results described in or implied by the forward-looking statements contained in the following discussion and analysis.
Company Overview
Emmaus is a commercial-stage biopharmaceutical company engaged in the discovery, development, marketing and sale of innovative treatments and therapies, primarily for rare and orphan diseases. On July 7, 2017, the U.S. Food and Drug Administration, or FDA, approved Emmaus’ lead product, Endari™ (L-glutamine oral powder), to reduce the severe complications of sickle cell disease (“SCD”) in adult and pediatric patients five years of age and older, and in January 2018 we began marketing and selling Endari™ in the U.S. Endari™ has received Orphan Drug designation from the FDA and Orphan Medical designation from the European Commission, or EC, which designations afford marketing exclusivity for Endari™ for a seven-year period in the U.S. and ten-year period in the European Union, respectively, following marketing approval.
Until we began marketing and selling Endari™ in the U.S. in early 2018, we had minimal revenues and relied upon funding from sales of equity securities and debt financings and loans, including loans from related parties. As of March 31, 2019, our accumulated deficit was $170.9 million and we had cash and cash equivalents of $15.3 million, of which $13.1 million was attributable to EJ Holdings Inc., a Japanese company which we consolidate as a variable interest entity (“VIE”). Until we can generate sufficient Endari™ sales revenues, our future cash requirements are expected to be financed through public or private equity offerings, debt financings or corporate collaboration and licensing arrangements. Because of the numerous risks and uncertainties associated with pharmaceutical development, we are unable to predict if or when we will become profitable through the sales of Endari.
Our future capital requirements are substantial and may increase beyond our current expectations depending on many factors, including, but not limited to: our success in commercializing Endari in the U.S. or elsewhere; the duration and results of the clinical trials for our other product candidates; unexpected delays or developments when seeking regulatory approvals; the time and cost in preparing, filing, prosecuting, maintaining and enforcing patent claims; current and future unexpected developments encountered in implementing our business development and commercialization strategies; the outcome of any future litigation; and further arrangements, if any, with collaborators.
Financial Overview
Revenues
Since January 2018, we have generated revenues through the sale of Endari as a treatment for SCD. We also generate revenues to a much lesser extent from sales of AminoPure, a nutritional supplement.
Revenues from Endari product sales are recognized upon transfer to our distributors, which are our customers, when they obtain control of our products. These distributors subsequently resell our products to specialty pharmacy providers, health care providers, hospitals, patients and clinics. In addition to distribution agreements with these distributors, we enter into arrangements with specialty pharmacy providers, in-office dispensing providers, group purchasing organizations, and government entities that provide for government-mandated and/or privately-negotiated rebates, chargebacks and discounts with respect to the purchase of our products. These various discounts, rebates, and charge-backs are referred to as “variable consideration.” Revenues from product sales are recorded net of these variable considerations.
Prior to recognizing revenues, we forecast and estimate variable consideration. Amounts of variable consideration are included in the transaction price to the extent that it is probable that a significant reversal in the amount of cumulative revenues recognized will not occur when the uncertainty associated with the variable consideration is subsequently resolved.
192
Provisions for returns and other adjustments are provided for in the period in which the related revenues are recorded. Actual amounts of consideration ultimately received may differ from our estimates. If actual results in the future vary from our estimates, we will adjust these estimates, which would affect net product revenues in the period such variances become known. The following are our significant categories of sales discounts and allowances:
Sales Discounts: We provide our customers prompt payment discounts that are explicitly stated in our contracts and are recorded as a reduction of revenues in the period the revenues are recognized.
Product Returns: We offer our distributors a right to return product purchased directly from us, which is principally based upon (i) overstocks, (ii) inactive product or non-moving product due to market conditions, and (iii) expired products. Product return allowances are estimated and recorded at the time of sale.
Government Rebates: We are subject to discount obligations under state Medicaid programs and the Medicare prescription drug coverage gap program. We estimate Medicaid and Medicare prescription drug coverage gap rebates based upon a range of possible outcomes that are probability-weighted for the estimated payor mix. These reserves are recorded in the same period the related revenues are recognized, resulting in a reduction of product revenues and the establishment of a current liability that is included as an accrued liability in our balance sheet. Our liability for these rebates consists primarily of estimates of claims expected to be received in future periods related to recognized revenues.
Chargebacks and Discounts: Chargebacks for fees and discounts represent the estimated obligations resulting from contractual commitments to sell products to certain specialty pharmacy providers, in-office dispensing providers, group purchasing organizations, and government entities at prices lower than the list prices charged to distributors. The distributors charge us for the difference between what they pay for the products and our contracted selling price to these specialty pharmacy providers, in-office dispensing providers, group purchasing organizations, and government entities. These reserves are established in the same period that the related revenues are recognized, resulting in a reduction of revenues. Chargeback amounts are generally determined at the time of resale of products by our distributors.
Cost of Goods Sold
Cost of goods sold includes the raw materials, packaging, shipping and distribution costs of Endari and AminoPure.
Research and Development Expenses
Research and development costs consist of expenditures for new products and technologies, which primarily involve fees paid to contract research organizations (“CRO”) that conduct clinical trials of our product candidates, payroll-related expenses, study site payments, consultant fees, and activities related to regulatory filings, manufacturing development costs and other related supplies. The costs of later-stage clinical studies, such as Phase 2 and 3 trials, are generally higher than those of earlier stages of development, such as preclinical studies and Phase 1 trials. This is primarily due to the increased size, expanded scope, patient related healthcare and regulatory compliance costs, and generally longer duration of later-stage clinical studies.
The most significant clinical trial expenditures in prior years have been related to the CRO costs and the payments to study sites in our Endari clinical trials. The contract with the CRO is based on time and material expended, whereas the study site agreements are based on per patient costs as well as other pass-through costs, including, but not limited to, start-up costs and institutional review board fees. The financial terms of these agreements are subject to negotiation and vary from contract to contract and may result in uneven payment flows. Payments under some of these contracts depend on factors such as the successful enrollment of patients and the completion of clinical trial milestones.
Future research and development expenses will depend on any new product candidates or technologies that we may introduce into our research and development pipeline. In addition, we cannot forecast with any degree of certainty which product candidates may be subject to future collaborations, when such arrangements will be secured, if at all, and to what degree, if any, such arrangements would affect our development plans and capital requirements.
193
Due to the inherently unpredictable nature of the process for developing drugs, biologics and cell-based therapies and the interpretation of the regulatory requirements, we are unable to estimate with any degree of certainty the amount of costs which will be incurred in obtaining regulatory approvals of Endari outside of the U.S. and the continued development of our other preclinical and clinical programs. Clinical development timelines, the probability of success and development costs can differ materially from expectations and can vary widely. These and other risks and uncertainties relating to product development are described in the Annual Report under the headings “Risk Factors—Risks Related to Development of our Product Candidates,” “Risk Factors—Risks Related to our Reliance on Third Parties,” and “Risk Factors—Risks Related to Regulatory Approval of our Product Candidates and Other Legal Compliance Matters.”
General and Administrative Expenses
General and administrative expenses consist principally of salaries and related costs, including share-based compensation, for personnel in executive, finance, business development, information technology, marketing and legal functions. Other general and administrative expenses include facility costs, patent filing costs and professional fees and expenses for legal, consulting, auditing and tax services. Inflation has not had a material impact on our general and administrative expenses over the past two years. We expect general and administrative expenses to continue to increase as we add additional personnel to support the business and operations of Emmaus.
Selling Expenses
Selling expenses consist principally of salaries and related costs for personnel involved in the launch, promotion and marketing of our products. Other selling cost include advertising, commissions, third party consulting costs, the cost of contracted sales personnel and travel. We expect selling expenses, as well as general and administrative expenses to increase as we add additional sales and administrative personnel to support the commercialization of Endari.
Environmental Expenses
The cost of compliance with environmental laws has not been material over the past two years and any such costs are included in general and administrative costs.
Inventories
Inventories consist of raw material, finished goods and work-in-process and are valued on a first-in, first-out basis and at the lower of cost or market value. Substantially all of the raw material purchased during the three months ended March 31, 2019 and 2018 was from one vendor.
194
| Three Months ended March 31, | Year ended December 31, | |||||||||||||||
| 2019 | 2018 | 2018 | 2017 | |||||||||||||
| REVENUES, NET | 5,307,104 | 781,314 | 15,076,822 | 513,447 | ||||||||||||
| COST OF GOODS SOLD | 200,166 | 134,679 | 763,520 | 283,833 | ||||||||||||
| GROSS PROFIT | 5,106,938 | 646,635 | 14,313,302 | 229,614 | ||||||||||||
| OPERATING EXPENSES | ||||||||||||||||
| Research and development | 513,339 | 411,401 | 1,722,897 | 2,815,106 | ||||||||||||
| Selling | 1,485,291 | 870,139 | 4,813,529 | 1,233,013 | ||||||||||||
| General and administrative | 3,680,505 | 3,806,583 | 17,876,527 | 15,071,360 | ||||||||||||
| Total operating expenses | 5,679,135 | 5,088,123 | 24,412,953 | 19,119,479 | ||||||||||||
| LOSS FROM OPERATIONS | (572,197 | ) | (4,441,488 | ) | (10,099,651 | ) | (18,889,865 | ) | ||||||||
| OTHER INCOME (EXPENSE) | ||||||||||||||||
| Other income | — | — | 737,971 | — | ||||||||||||
| Loss on debt extinguishment | — | (3,244,769 | ) | (3,244,769 | ) | — | ||||||||||
| Change in fair value of warrant derivative liabilities | (48,000 | ) | 840,000 | 20,674,000 | (15,777,00 | ) | ||||||||||
| Change in fair value of embedded conversion option | — | 466,000 | 466,000 | — | ||||||||||||
| Net gains (losses) on equity investment in marketable securities | (6,456,919 | ) | 5,535,435 | (43,977,002 | ) | — | ||||||||||
| Interest and other income (loss) | (110,580 | ) | 45,552 | 231,604 | (6,768 | ) | ||||||||||
| Interest expense | (6,965,212 | ) | (5,298,021 | ) | (22,825,190 | ) | (11,000,559 | ) | ||||||||
| Total other income (expense) | (13,580,711 | ) | (1,655,803 | ) | (47,937,386 | ) | (26,784,327 | ) | ||||||||
| LOSS BEFORE INCOME TAXES | (14,152,908 | ) | (6,097,291 | ) | (58,037,037 | ) | (45,674,192 | ) | ||||||||
| INCOME TAXES (BENEFIT) | — | — | 6,222 | (12,303,110 | ) | |||||||||||
| NET LOSS INCLUDING NON-CONTROLLING INTERESTS | (14,152,908 | ) | (6,097,291 | ) | (58,043,259 | ) | (33,371,082 | ) | ||||||||
| Net (income) loss attributable to non-controlling interests | (13,894 | ) | — | 145,699 | — | |||||||||||
| NET LOSS ATTRIBUTABLE TO THE COMPANY | (14,166,802 | ) | (6,097,291 | ) | (57,897,560 | ) | (33,371,082 | ) | ||||||||
| COMPONENTS OF OTHER COMPREHENSIVE INCOME (LOSS) | ||||||||||||||||
| Unrealized gain (loss) on investment in marketable securities | — | — | — | 44,752,413 | ||||||||||||
| Foreign currency translation adjustments | 7,642 | 13,801 | 17,129 | (25,882 | ) | |||||||||||
| Other comprehensive income (loss) | 7,642 | 13,801 | 17,129 | 44,726,531 | ||||||||||||
| COMPREHENSIVE INCOME (LOSS) | $ | 14,145,266 | ) | $ | (6,083,490 | ) | $ | (58,026,130 | ) | $ | 11,355,449 | |||||
| NET LOSS PER COMMON SHARE | $ | (0.40 | ) | $ | (0.17 | ) | $ | (1.65 | ) | $ | (0.96 | ) | ||||
| WEIGHTED-AVERAGE COMMON SHARES OUTSTANDING | 35,684,038 | 34,891,450 | 35,097,990 | 34,790,498 | ||||||||||||
Results of Operations
Three months ended March 31, 2019 and 2018
Net Income (Loss). Net loss attributable to us for the three months ended March 31, 2019 increased by $8.1 million, or 133%, to $14.2 million from $6.1 million for the three months ended March 31, 2018. The increase in net loss attributable to us is primarily a result of $11.9 million increase in other expenses and $0.6 million increase in operating expenses partially offset by $4.5 million increase in net revenues as discussed below. Our loss from operations was $0.6 million for the three months ended March 31, 2019 as compared to loss of $4.4 million for the three months ended March 31, 2018. As of March 31, 2019, we had an accumulated deficit of approximately $170.9 million. Losses will continue as we transition from developmental stage to our next phase as a commercial organization. We anticipate that our loss from operations will decline and that we will realize income from operations as we increase revenues for sales of Endari.
195
Revenues, Net. Gross revenue increased by $5.1 million or 617% to $5.9 million for three months ended March 31, 2019 from $0.8 million for the three months ended March 31, 2018, and net revenues increased by $4.5 million, or 579%, to $5.3 million for three months ended March 31, 2019 from $0.8 million for the three months ended March 31, 2018. Substantially all of these revenues were from sales of Endari, and revenues from sales of AminoPure were immaterial. We expect Endari revenues to continue to increase as we expand our commercialization efforts in the United States and abroad.
Cost of Goods Sold. Cost of goods sold increased by $0.1 million, or 49%, to $0.2 million for the three months ended March 31, 2019 from $0.1 million for the three months ended March 31, 2018. Cost of goods sold includes costs for raw material, packaging, testing, shipping and costs related to scrapped inventory. Substantially all of the raw material purchased during the three months ended March 31, 2019 and 2018 were from one vendor. Cost of goods sold increased due to the increase in Endari sales during the first quarter of 2019.
Research and Development Expenses. Research and development expenses increased by $0.1 million, or 25%, to $0.5 million for the three months ended March 31, 2019 from $0.4 million for the three months ended March 31, 2018. This increase was primarily due to an increase in expenses related to our sponsored oral mucosa epithelia study and diverticulosis study. We expect our research and development costs to increase in the remainder of 2019 as these studies progress.
Selling Expenses. Selling expenses increased by $0.6 million, or 71%, to $1.5 million for the three months ended March 31, 2019 from $0.9 million for the three months ended March 31, 2018. Selling expenses consist primarily of distribution fees, sales force fees, promotion, travel, marketing and branding expenses for Endari and to a much lesser extent costs of distribution, promotion, travel, tradeshows and exhibits related to AminoPure. The increase in selling expenses was primarily related to increased contract sales force fees for Endari. We anticipate that our selling expenses will increase during the remainder of 2019 as we expand Endari marketing and sales activities.
General and Administrative Expenses. General and administrative expenses decreased slightly by $0.1 million, or 3%, to $3.7 million for the three months ended March 31, 2019 from $3.8 million for the three months ended March 31, 2018. General and administrative expenses include share-based compensation expenses, professional fees, office rent and payroll expenses. We expect general and administrative expenses to continue to increase as we add additional personnel to support the commercialization of Endari and our other business operations.
Other Income (Expense). Total other expense increased by $11.9 million, or 720%, to $13.6 million for the three months ended March 31, 2019, compared to $1.7 million in other expense for the three months ended March 31, 2018. The increase was primarily due to an increase of $12.0 million in a change in the net gain (loss) on equity investment in marketable securities and $1.7 million in interest expenses. Other expense for the three months ended March 31, 2018 included a loss on debt extinguishment of $3.2 million, while there was no corresponding other expenses recognized during the three months ended March 31, 2019.
Operating Expenses Overall. We anticipate that our operating expenses will increase for, among others, the following reasons:
| ● | We intend to reinforce our sales and marketing team to commercialize Endari in the U.S. and to enter into one or more strategic partnerships to market Endari in the EU and other territories, subject to marketing approvals.; |
| ● | We anticipate increases in payroll and employee expenses associated with an increase in personnel, higher consulting, legal, accounting and investor relations costs, and increases in insurance premiums; and |
| ● | We expect increases in research and development activities as we undertake development of our product candidates continues. |
196
Years ended December 31, 2018 and 2017
Net Losses attribute to the Company. Net losses attribute to us were $57.9 million for the year ended December 31, 2018 compared to $33.4 million for the year ended December 31, 2017, representing an increase of $24.5 million, or 73%. The increase in net losses was primarily a result of a $21.2 million increase in other expenses and a $5.3 million increase in operating expenses, partially offset by a $14.6 million increase in net revenues as discussed below. As of December 31, 2018, we had an accumulated deficit of approximately $156.7 million. Losses will continue as we transition from developmental stage to a commercial organization. As a result, we anticipate that we will continue to incur net losses and be unprofitable for the foreseeable future.
Revenues, Net. Net revenues increased $14.6 million, or 2,836% to $15.1 million from $0.5 million for the years ended December 31, 2018 and 2017, respectively. Substantially all of these revenues were from Endari sales. We expect Endari revenues to continue to increase as we expand our commercialization efforts in the United States and abroad.
Cost of Goods Sold. Cost of goods sold increased $0.5 million, or 169%, to $0.8 million from $0.3 million for the years ended December 31, 2018 and 2017, respectively. Cost of goods sold includes costs for raw material, packaging, testing, shipping and costs related to scrapped inventory. The increases in cost of goods sold were associated with increased Endari sales in 2018.
Research and Development Expenses. Research and development expenses decreased by $1.1 million, or 39%, to $1.7 million from $2.8 million for the years ended December 31, 2018 and 2017, respectively. This decrease was primarily due to a decrease in regulatory consulting expenses. We expect our research and development costs to increase to support our post-approval commitment, work on marketing approvals outside the U.S. and potentially future clinical trial activity.
Selling Expenses. Selling expenses increased $3.6 million, or 290%, to $4.8 million from $ 1.2 million for the years ended December 31, 2018 and 2017, respectively. Selling expenses include the sales force fees, promotion, travel, marketing and branding expenses for Endari. The increase was primarily related to Endari as we launched the product in 2018. We anticipate that our selling expenses will increase as we expand our selling efforts.
General and Administrative Expenses. General and administrative expenses increased $2.8 million, or 19%, to $17.9 million from $15.1 million for the years ended December 31, 2018 and 2017, respectively. General and administrative expenses include share-based compensation expenses, professional fees, office rent and payroll expenses. This increase was due to an increase of $ 2.9 million of professional fees. We expect general and administrative expenses to increase as we add additional sales and administrative personnel to support the commercialization of Endari.
Other Income and Expense. Total other expenses increased by $21.2 million, or 79%, to $47.9 million expense from a $26.8 million expense for the years ended December 31, 2018 and 2017, respectively. The increase was primarily due to an unfavorable change in net loss on investment in marketable securities of $44.0 million, an increase of interest expense of $11.8 million as a result of increased debt balance and an increase in loss on debt extinguishment of $3.2 million upon early repayment of debt to GPB, partially offset by a favorable change in the fair value of the warrant derivative liabilities of $36.5 million as a result of cashless exercise of 2013 warrants.
We anticipate that our operating expenses will increase for, among others, the following reasons:
| ● | We intend to reinforce our sales and marketing team to commercialize Endari in the U.S. and to enter into one or more strategic partnerships to market Endari in the EU and other territories, subject to marketing approvals; |
| ● | We anticipate increases in payroll and employee expenses associated with an increase in personnel, higher consulting, and investor relations costs, and increases in insurance premiums; and |
| ● | We expect increases in research and development activities as we undertake our post-approval commitment and the development of our product candidates. |
197
Seasonality
We are in the early stages of commercialization of Endari and are continuing to assess how seasonal factors may affect our business. Our experience to date suggests that there may be seasonal variations in our Endari sales due to factors such as the year-end holiday period, severe winter weather conditions in certain regions of the United States, seasonal conditions that may affect medical practices and provider activity, including for example influenza outbreaks that may inhibit patients from seeking treatment for their SCD or filling or refilling prescriptions for Endari and possibly other factors relating to the timing of patient deductibles and co-insurance limits.
Cash flows for the three months ended March 31, 2019 and March 31, 2018
Net cash provided by operating activities
Net cash flows used in operating activities increased by $0.7 million, or 109%, to a negative net cash flow of $1.3 million for the three months ended March 31, 2019 from negative cash flow of $0.6 million for the three months ended March 31, 2018. This increase was primarily due to a $4.0 million increase of working capital expenditures and a $8.1 million increase in net loss partially offset by $11.2 million in the non-cash adjustments to net loss. The decrease in non-cash adjustments to net loss was primarily attributable to a $12.0 million increase in net loss on investment in marketable securities and $1.5 million increase in amortization of discount of convertible notes partially offset by $3.2 million decrease in loss on debt settlement.
Net cash used in investing activities
Net cash flows used in investing activities decrease by $0.5 million, or 97%, to approximately $16,000 for three months ended March 31, 2019 from $0.5 million for the three months ended March 31, 2018. Net cash used in investing activities includes purchase of marketable securities and investment at cost, as well as purchase of property and equipment.
Net cash from financing activities
Net cash flows used in financing activities decreased by $15.8 million, or 97%, to $0.5 million for the three months ended March 31, 2019 from $16.3 million for the three months ended March 31, 2018 , as a result of a decrease of $20.5 million in repayment of notes payable and convertible notes and increase of $2.3 million in net proceeds from issuance of common stock in addition to no repurchase of common stock and warrant during the three months ended March 31, 2019 comparing to $7.5 million used during the three months ended March 31, 2018. The decrease of cash outflow is partially offset by the $14.4 million of proceeds from convertible notes received for the three months ended March 2018 while there was no corresponding proceeds during the three months ended March 31, 2019.
Liquidity and Capital Resources
Based on our losses to date, anticipated future revenues and operating expenses, debt repayment obligations and cash and cash equivalents of $15.3 million of which $13.1 million was attributable to a VIE, as of March 31, 2019, we do not have sufficient operating capital for our business without raising additional capital. We had an accumulated deficit of $170.9 million at March 31, 2019. We anticipate that we will continue to incur net losses for the foreseeable future as we incur expenses for the commercialization of Endari, research costs for our pilot study of our L-glutamine product in the treatment of diverticulosis and corneal cell sheets using Cultured Autologous Oral Mucosal Epithelial Cell Sheet technology and the expansion of corporate infrastructure, including costs associated with being a public reporting company. We have previously relied on private equity offerings, debt financings and loans, including loans from related parties. As part of this effort, we have received various loans from officers, stockholders and other investors as discussed below. As of March 31, 2019, we had outstanding notes payable in an aggregate principal amount of $52.1 million, consisting of $17.2 million of non-convertible promissory notes and debentures and $34.9 million of convertible notes. The convertible notes and non-convertible promissory notes bear interest at rates ranging from 10% to 11% and, except for the 2011 convertible note listed below in the principal amount of $0.3 million, are unsecured. The net proceeds of the loans were used for working capital purposes. See Notes 7 and 11 to our consolidated statements for a description of recent amendments to our convertible promissory notes that make them convertible automatically into shares of Company common stock immediately prior to the effective time of our proposed merger transaction with MYnd Analytics, Inc.
198
Of the notes outstanding as of March 31, 2019, approximately $49.3 million principal amount of the notes are either due on demand or will become due and payable within the next 12 months. Our failure to raise capital as and when needed would have a negative impact on our financial condition and our ability to pursue our business strategies.
As described in Note 2 to our consolidated financial statements, we have had recurring operating losses, have a significant amount of notes payable and other obligations due within the next year and projected operating losses, including the expected costs relating to the commercialization of Endari that exceed both the existing cash balances and cash expected to be generated from operations for at least the remainder of 2019.
Our current cash burn rate for the three months ended March 31, 2019 was approximately $0.4 million per month.
Until we can generate a sufficient product revenue, our future cash needs are expected to be financed through public or private equity offerings, debt financings, loans, including loans from related parties, or other sources, such as strategic partnership agreements and licensing or other strategic arrangements. We have no understanding or arrangements with respect to future financings, and there can be no assurance of the availability of such capital on terms acceptable to us (or at all). Due to the uncertainty of our ability to meet our current operating and capital expenses, there is substantial doubt about our ability to continue as a going concern. There is also no assurance that revenues from sales of Endari will increase as expected.
For the three months ended March 31, 2019 and during the year ended December 31, 2018, we borrowed varying amounts pursuant to convertible notes and non-convertible promissory notes. As of March 31, 2019 and December 31, 2018, the aggregate principal amounts outstanding under convertible notes and non-convertible promissory notes totaled $52.2 million for both periods.
199
The table below lists our outstanding notes payable as of March 31, 2018 and December 31, 2018 and the material terms of our outstanding borrowings:
Year Issued | Interest Rate Range | Term of Notes | Conversion Price | Principal Outstanding March 31, 2019 | Discount Amount March 31, 2019 | Carrying Amount March 31, 2019 | Shares Underlying Notes March 31, 2019 | Principal Outstanding December 31, 2018 | Discount Amount December 31, 2018 | Carrying Amount December 31, 2018 | Shares Underlying Notes December 31, 2018 | ||||||||||||||||||||||||||||
| Notes payable | |||||||||||||||||||||||||||||||||||||||
| 2013 | 10% | Due on demand | — | $ | 902 | $ | — | $ | 902 | — | $ | 909 | $ | — | $ | 909 | — | ||||||||||||||||||||||
| 2015 | 10% | Due on demand | — | 10 | — | 10 | — | 10 | — | 10 | — | ||||||||||||||||||||||||||||
| 2016 | 10% - 11% | Due on demand | — | 843 | — | 843 | — | 843 | — | 843 | — | ||||||||||||||||||||||||||||
| 2017 | 5% - 11% | Due on demand | — | 1,951 | — | 1,951 | — | 2,575 | — | 2,575 | — | ||||||||||||||||||||||||||||
| 2018 | 10% - 11% | Due on demand- 18 months | — | 12,311 | 7,847 | 4,464 | — | 12,311 | 9,233 | 3,078 | — | ||||||||||||||||||||||||||||
| 2019 | 11% | Due on demand | — | 752 | — | 752 | — | — | — | — | — | ||||||||||||||||||||||||||||
| $ | 16,769 | $ | 7,847 | $ | 8,922 | — | $ | 16,648 | $ | 9,233 | $ | 7,415 | — | ||||||||||||||||||||||||||
| Current | $ | 14,569 | $ | 7,569 | $ | 7,000 | — | $ | 12,449 | $ | 6,054 | $ | 6,394 | — | |||||||||||||||||||||||||
| Non-current | $ | 2,200 | $ | 278 | $ | 1,922 | — | $ | 4,200 | $ | 3,179 | $ | 1,021 | — | |||||||||||||||||||||||||
| Notes payable - related party | |||||||||||||||||||||||||||||||||||||||
| 2016 | 10% | Due on demand | — | 270 | — | 270 | — | 270 | — | 270 | — | ||||||||||||||||||||||||||||
| 2017 | 10% | Due on demand | — | 27 | — | 27 | — | 39 | — | 39 | — | ||||||||||||||||||||||||||||
| 2018 | 11% | Due on demand | — | 159 | — | 159 | — | 159 | — | 159 | — | ||||||||||||||||||||||||||||
| 2019 | 10% | Due on demand | — | 14 | — | 14 | — | — | — | — | — | ||||||||||||||||||||||||||||
| $ | 470 | $ | — | $ | 470 | — | $ | 468 | $ | — | $ | 468 | — | ||||||||||||||||||||||||||
| Current | $ | 470 | $ | — | $ | 470 | — | $ | 468 | $ | — | $ | 468 | — | |||||||||||||||||||||||||
| Non-current | $ | — | $ | — | $ | — | — | $ | — | $ | — | $ | — | — | |||||||||||||||||||||||||
| Convertible notes payable | |||||||||||||||||||||||||||||||||||||||
| 2011 | 10% | 5 years | $3.05 | $ | 300 | $ | — | $ | 300 | 98 | $ | 300 | $ | — | $ | 300 | 98 | ||||||||||||||||||||||
| 2014 | 10% | Due on demand - 2 years | $3.05 - $3.60 | 522 | — | 522 | 186 | 519 | — | 519 | 184 | ||||||||||||||||||||||||||||
| 2016 | 10% | Due on demand - 2 years | $3.60 - $4.50 | 62 | — | 62 | 17 | 61 | — | 61 | 17 | ||||||||||||||||||||||||||||
| 2017 | 10% - 13.5% | Due on demand - 3 years | $3.50 - $10.31 | 1,895 | 108 | 1,787 | 618 | 2,820 | 349 | 2,471 | 899 | ||||||||||||||||||||||||||||
| 2018 | 6% - 10% | Due on demand - 2 years | $3.50 - $10.00 | 15,311 | 2,671 | 12,640 | 3,076 | 19,556 | 6,169 | 13,387 | 3,664 | ||||||||||||||||||||||||||||
| 2019 | 10% | Due on demand - 1 year | $3.50 - $4.50 | 2,039 | 1,804 | 235 | 570 | — | — | — | — | ||||||||||||||||||||||||||||
| $ | 20,129 | $ | 4,583 | $ | 15,546 | 4,565 | $ | 23,256 | $ | 6,518 | $ | 16,738 | 4,862 | ||||||||||||||||||||||||||
| Current | $ | 19,421 | $ | 4,264 | $ | 15,157 | 4,402 | $ | 16,604 | $ | 5,351 | $ | 11,253 | 3,981 | |||||||||||||||||||||||||
| Non-current | $ | 708 | $ | 319 | $ | 389 | 163 | $ | 6,652 | $ | 1,167 | $ | 5,485 | 881 | |||||||||||||||||||||||||
| Convertible notes payable - related party | |||||||||||||||||||||||||||||||||||||||
| 2012 | 10% | Due on demand | $ | 3.30 | $ | 200 | $ | — | $ | 200 | 76 | $ | 200 | $ | — | $ | 200 | 74 | |||||||||||||||||||||
| 2015 | 10% | 2 years | $ | 4.50 | 200 | — | 200 | 59 | 200 | — | 200 | 58 | |||||||||||||||||||||||||||
| 2017 | 10% | 2 years | $ | 10.00 | 5,000 | 218 | 4,782 | 545 | 5,000 | 311 | 4,689 | 533 | |||||||||||||||||||||||||||
| 2018 | 10% | 2 years | $ | 10.00 | 9,400 | 686 | 8,714 | 995 | 9,400 | 871 | 8,529 | 972 | |||||||||||||||||||||||||||
| $ | 14,800 | $ | 904 | $ | 13,896 | 1,675 | $ | 14,800 | $ | 1,182 | $ | 13,618 | 1,637 | ||||||||||||||||||||||||||
| Current | $ | 14,800 | $ | 904 | $ | 13,896 | 1,675 | $ | 5,400 | $ | 311 | $ | 5,089 | 665 | |||||||||||||||||||||||||
| Non-current | $ | — | $ | — | $ | — | — | $ | 9,400 | $ | 871 | $ | 8,529 | 972 | |||||||||||||||||||||||||
| Total | $ | 52,168 | $ | 13,334 | $ | 38,834 | 6,240 | $ | 55,172 | $ | 16,933 | $ | 38,239 | 6,499 | |||||||||||||||||||||||||
200
Off-Balance-Sheet Arrangements
We have no off-balance sheet arrangements.
Critical Accounting Policies
Management’s discussion and analysis of financial condition and results of operations is based on our financial statements, which have been prepared in accordance with U.S. generally accepted accounting principles (“GAAP”), on the basis that the Company will continue as a going concern. Due to the uncertainty of the Company’s ability to meet its current operating and capital expenses, there is substantial doubt about the Company’s ability to continue as a going concern, as the continuation and expansion of its business is dependent upon obtaining further financing, successful and sufficient market acceptance of its products, and finally, achieving a profitable level of operations. The consolidated interim financial statements do not include any adjustments that might result from the outcome of these uncertainties. The preparation of these financial statements requires us to make estimates and judgments that affect the reported amounts of assets, liabilities and expenses. On an ongoing basis, we evaluate these estimates and judgments, including those described below. We base our estimates on our historical experience and on various other assumptions that we believe to be reasonable under the present circumstances. These estimates and assumptions form the basis for making judgments about the carrying values of assets and liabilities that are not readily apparent from other sources. Actual results may differ materially from these estimates.
Refer to “Critical Accounting Policies” in Part II, Item 7, “Management’s Discussion and Analysis of Financial Condition and Results of Operations” of the Annual Report for our critical accounting policies. There have been no material changes in any of our critical accounting policies during the three months ended March 31, 2019 except for adopting the new lease accounting standard.
Evaluation of Disclosure Controls and Procedures
Disclosure controls and procedures (“DCP”) are controls and other procedures that are designed to ensure that information required to be disclosed by us in the reports that we file or submit under the Securities Exchange Act of 1934 (the “Exchange Act”) is recorded, processed, summarized and reported within the time periods specified in the SEC’s rules and forms. DCP include, without limitation, controls and procedures designed to ensure that information required to be disclosed by us in the reports that we file under the Exchange Act is accumulated and communicated to our management, including our principal executive and financial officers, as appropriate to allow timely decisions regarding required disclosures.
As of the end of the period covered by this Form 10-Q, we conducted an evaluation, under the supervision and with the participation of our Chief Executive Officer and Chief Financial Officer, of the effectiveness of our DCP. Based upon this evaluation and due to the material weaknesses in our internal control over financial reporting as of December 31, 2018 described below, our Chief Executive Officer and Chief Financial Officer concluded that Emmaus’ DCP were not effective. Our management is working at remediating the material weaknesses in our internal controls over financial reporting. However, we have not yet completed a full annual accounting cycle since December 31, 2018 to fully validate the remediation of the material weaknesses in our internal controls and the effectiveness of Emmaus’ DCP.
Changes in Internal Control over Financial Reporting
There were no changes in our internal control over financial reporting (as defined in Rules 13a-15(f) and 15d-15(f) under the Exchange Act) that occurred during the fiscal quarter ended September 30, 2018 which have materially affected, or are reasonably likely to materially affect, our internal control over financial reporting.
Material Weakness and Plan of Remediation
A material weakness is a deficiency, or combination of deficiencies, in internal control over financial reporting such that there is a reasonable possibility that a material misstatement of Emmaus’ annual or interim financial statements will not be prevented or detected on a timely basis. Material weaknesses would permit information required to be disclosed by Emmaus in the reports that it files or submits to not be recorded, processed, summarized and reported, within the time periods specified in the SEC’s rules and forms.
201
We conducted an evaluation pursuant to Rule 13a-15 of the Exchange Act of the effectiveness of the design and operation of our DCP as of December 31, 2018. This evaluation was conducted under the supervision (and with the participation) of our management, including our Chief Executive Officer and Chief Financial Officer. Based on that evaluation, our Chief Executive Officer and Chief Financial Officer concluded that our DCP were not effective as of December 31, 2018, because of the continuance of a material weakness (the “Material Weakness”) due to inadequate financial closing process, segregation of duties including access control of information technology especially financial information, inadequate documentation of policies and procedures over risk assessments, internal control and significant account process, and insufficient entity risk assessment process.
We are committed to remediating the control deficiencies that constituted the Material Weakness by implementing changes to our internal control over financial reporting. In 2018, we implemented measures designed to remediate the underlying causes of the control deficiencies that gave rise to the Material Weakness, including, without limitation:
| ● | engaging a third-party accounting consulting firm to assist us in the review of our application of GAAP on complex debt financing transactions; |
| ● | using a GAAP Disclosure and SEC Reporting Checklist; |
| ● | increasing the amount of external continuing professional training and academic education on accounting subjects for accounting staff including management staff to receive professional certification as a CPA or CMA; |
| ● | enhancing the level of the precision of review controls related to our financial close and reporting; and |
| ● | engaging other supplemental internal and external resources. |
Our management and board of directors are committed to the remediation of the Material Weakness, as well as the continued improvement of our overall system of DCP. We are in the process of implementing measures to remediate the underlying causes of the control deficiencies that gave rise to the Material Weakness, which primarily include engaging additional and supplemental internal and external resources with the technical expertise in GAAP, as well as to implement new policies and procedures to provide more effective controls to track, process, analyze, and consolidate the financial data and reports.
We believe these measures, once fully implemented, will remediate the control deficiencies that gave rise to the Material Weakness. As we continue to evaluate and work to remediate these control deficiencies, we may determine that additional remedial measures are required.
202
MANAGEMENT FOLLOWING THE MERGER
Director and Executive Officers
Resignation of Current Directors and Executive Officers of MYnd
Pursuant to the Merger Agreement, all of the current directors (other than one director designation by MYnd) and all of the executive officers of MYnd will resign immediately prior to the completion of the Merger.
Executive Officers and Directors of the Company Following the Merger
Pursuant to the Merger Agreement, effective as of the effective time of the Merger, the initial size of the board of directors of the company will be seven and the initial directors will be comprised of six members of the current Emmaus board of directors, Yutaka Niihara, M.D., M.P.H., Willis C. Lee, M.S., Robert Dickey IV, Masaharu Osato, M.D., Wei Peu Zen and Ian Zwicker, and MYnd’s current Chairman of the Board, Robin L. Smith.
Executive Officers of the Company Following the Merger
The following table lists the names and ages as of December 31, 2018 and positions of the individuals who are expected to serve as executive officers of the company upon completion of the Merger:
| Name | Age | Position | ||
| Yutaka Niihara, M.D., M.P.H. | 59 | Chairman and Chief Executive Officer | ||
| Willis C. Lee, M.S. | 58 | Vice Chairman and Chief Operating Officer | ||
| Lan T. Tran, M.P.H. | 43 | President and Chief Administrative Officer | ||
| Yasushi Nagasaki, C.P.A. | 51 | Senior Vice President, Finance |
In addition, Joseph (Jay) C. Sherwood III, age 64, the Chief Financial Officer of Emmaus, is expected to serve as Chief Financial Officer of the company upon completion of the Merger.
Background of the Officers of the Company Following the Merger
Yutaka Niihara, M.D., M.P.H. has served as our Chairman and Chief Executive Officer since January 2016. From April 2015 until December 2015, he served as Chief Scientific Officer of the company and from April 2011 to April 2015, he served as President and Chief Executive Officer. He served as President, Chief Executive Officer and Chairman of the Board of Emmaus Medical from 2003 to April 2011. Since May 2005, Dr. Niihara has also served as the President, Chief Executive Officer and Medical Director of Hope International Hospice, Inc., or Hope Hospice, a Medicare-certified hospice program. From June 1992 to October 2009, Dr. Niihara served as a physician specialist for Los Angeles County. Dr. Niihara is the principal inventor of the patented L-glutamine treatment for SCD. Dr. Niihara has been involved in patient care and research for sickle cell disease during most of his career and is a widely published author in the area of sickle cell disease. Dr. Niihara is board-certified by the American Board of Internal Medicine/Medical Oncology and by the American Board of Internal Medicine/Hematology. He is licensed to practice medicine in both the United States and Japan. Dr. Niihara is a Professor of Medicine at the David Geffen School of Medicine at UCLA. Dr. Niihara received his B.A. in Religion from Loma Linda University in 1982, obtained his M.D. degree from the Loma Linda University School of Medicine in 1986 and received his M.P.H. from Harvard School of Public Health in 2006. We believe Dr. Niihara is qualified to serve as a director due to his knowledge and experience.
Willis C. Lee, M.S. has served as Chief Operating Officer of the company since May 2011, as a director since December 2015, as Vice-Chairman of the board of directors since January 2016 and as our Chief Financial Officer from October 2016 to July 2018. Mr. Lee also previously served as a director of Emmaus Life Sciences, Inc. from May 2011 to May 2014 and again from to December 2015 to January 2016. Mr. Lee also served as the Co-Chief Operating Officer and Chief Financial Officer and as a director of Emmaus Medical from March 2010 to May 2011. Prior to that, he was the Controller at Emmaus Medical from February 2009 to February 2010. From 2004 to 2010, Mr. Lee led worldwide sales and business development of Yield Dynamics product group at MKS Instruments, Inc., a provider of instruments, subsystems, and process control solutions for the semiconductor, flat panel display, solar cell, data storage media, medical equipment, pharmaceutical manufacturing, and energy generation and environmental monitoring industries. Mr. Lee also served as President and Managing Director of Kenos Inc., a private service provider that provides funeral services to individuals, from January 2004 to December 2008. Mr. Lee held various managerial and senior positions at semiconductor companies such as MicroUnity Systems Engineering, Inc., a private semiconductor company that designs and develops new generation multimedia processors for computers and cable control boxes, from August 1995 to July 1996, HPL, Inc., a public semiconductor company that provides a software platform that enables data-driven decisions by gathering, managing and analyzing semiconductor manufacturing data, from June 2000 to October 2002, Syntricity, Inc., a private semiconductor software company that provides a software platform that enables data-driven decisions by gathering, managing and analyzing semiconductor manufacturing data, from November 2002 to April 2004 and also at Reden & Anders, a subsidiary of United Healthcare that provides actuarial services including capitation and risk assessment analyses for healthcare insurance carriers, from September 1996 to June 2000. Mr. Lee received his B.S. and M.S. in Physics from University of Hawaii (1984) and University of South Carolina (1986), respectively. We believe Mr. Lee is qualified to serve as a director due to his extensive knowledge and experience, as well as his intimate knowledge of the company through his service as executive officer of the company and Emmaus Medical.
203
Lan T. Tran, M.P.H. has served as our Chief Administrative Officer and Corporate Secretary since May 2011 and as Co-President since January 2016. She has served as the Co-Chief Operating Officer and Corporate Secretary of Emmaus Medical since April 2010 and as the Chief Compliance Officer of Emmaus Medical since May 2008. Prior to joining Emmaus Medical, Ms. Tran was with LA BioMed, a non-profit medical research and education company, from September 1999 to April 2008 and held positions of increasing responsibility including Grants and Contracts Trainee from September 1999 to March 2000, Grants and Contracts Officer from April 2000 to August 2004, Associate Director, Pre-Clinical/Clinical Trials Unit from September 2004 to June 2005, Director, Pre-Clinical/Clinical Trials Unit from July 2005 to June 2007, and Assistant Vice President, Research Administration from June 2007 to April 2008. In her position as Director, Pre-Clinical/Clinical Trials Unit and Assistant Vice President, Research Administration, Ms. Tran was part of the executive management team of LA BioMed and was responsible for all administrative aspects of research in her assigned area at LA BioMed, which had a research budget of $61,000,000 in 2008. Ms. Tran holds a B.S. in Psychobiology from UCLA, which was awarded in 1999, and a Masters of Public Health from UCLA which was awarded in 2002.
Joseph (Jay) C. Sherwood III. Jay has served as our Chief Financial Officer since June 3, 2019. Mr. Sherwood has over 30 years of investment banking experience, most recently as the Los Angeles Partner at G.C. Andersen Partners, LLC, where he was employed from November 2011 until joining Emmaus. His focus has been primarily representing middle-market companies in mergers and acquisitions, capital raising, and other financial advisory transactions, including fairness opinions and restructuring engagements. During his career, Mr. Sherwood has been responsible for raising more than $4.2 billion in equity and debt financing, providing merger & acquisition services representing more than $2.5 billion in transaction value, and developing expertise in several industry sectors, including healthcare. Prior to joining G.C. Andersen Partners, from January 2007 Mr. Sherwood was Senior Managing Director at McGladrey Capital Markets. Prior to McGladrey, he was Senior Managing Director at FTI Capital Advisors, a subsidiary of FTI Consulting, Inc. (NYSE: FCN), from November 2004 where he was responsible for the firm’s investment banking practice in the Western U.S. Mr. Sherwood also held senior investment banking positions with The Seidler Companies Inc., a leading regional investment banking firm based in Los Angeles, Roth Capital Partners and Drexel Burnham Lambert. He received a B.S. in Finance (magna cum laude) and an M.B.A., both from the University of Southern California where he is a guest lecturer in the Marshall Graduate School of Business. Mr. Sherwood holds FINRA Series 7, 24, 63 and 79 General Securities licenses.
Yasushi Nagasaki, C.P.A. has served as our Senior Vice President, Finance since April 2012. From May 2011 to April 2012, Mr. Nagasaki served as our Chief Financial Officer. From September 2005 until joining us, Mr. Nagasaki was the Chief Financial Officer of Hexadyne Corporation, an aerospace and defense supplier. Mr. Nagasaki also served on the board of directors at Hexadyne Corporation from September 2005 to April 2011. From May 2003 to August 2005, Mr. Nagasaki was the Controller at Upsilon Intertech Corporation, an international distributor of defense and aerospace parts and sub systems. Mr. Nagasaki is a Certified Public Accountant and received a B.A. in Commerce from Waseda University and a M.A. in International Policy Studies from the Monterey Institute of International Studies, a graduate school of Middlebury College.
204
Directors of the Company Following the Merger
The following table lists the names and ages as of December 31, 2018 and positions of the individuals who are expected to serve as directors of the company upon completion of the Transaction:
| Name | Age | Position/Committee Membership | ||
| Yutaka Niihara, M.D., M.P.H. | 59 | Chairman of the Board and Chief Executive Officer | ||
| Willis C. Lee, M.S. | 58 | Vice Chairman of the Board and Chief Operating Officer | ||
| Robert Dickey IV (1)(2) | 63 | Director | ||
| Masaharu Osato, M.D. (1) (2) | 64 | Director | ||
| Wei Peu Zen | 66 | Director | ||
| Ian Zwicker (1) (2) | 71 | Director | ||
| Robin L. Smith | 54 | Director |
(1) Member of the Audit Committee. Mr. Dickey is Chairman of the Audit Committee.
(2) Member of Compensation, Nominating and Corporate Governance Committee. Mr. Zwicker is Chairman of the Compensation, Nominating and Governance Committee.
There are no family relationships among any of the current MYnd directors and executive officers, and there are no family relationships among any of the proposed directors and officers.
Background of Non-Employee Directors of the Company Following the Merger
Mr. Robert Dickey IV has served as a Managing Director at Danforth Advisors since August 2018. Danforth Advisors provides finance support and strategy for life science companies, including CFO advisory, financial analysis, capital raising, and transactional support/execution for public offerings and M&A. Mr. Dickey served as a member on the board of directors at Sanuthera, Inc., a privately held medical device company, from 2013 to 2017, and was employed as Chief Financial Officer of Motif Bio Plc., a NASDAQ and London AIM exchange-listed antibiotics company, from January 2017 to February 2018. He also previously was employed with several other biotechnology companies, including as the Chief Financial Officer of Tyme Technologies, Inc. from May 2015 to January 2017, the Chief Financial Officer of NeoStem, Inc. from August 2013 to January 2015 and the Senior Vice President of Hemispherx Biopharma, Inc. from November 2008 to August 2013. Prior to that time, among other things, Mr. Dickey served as a Managing Director at Legg Mason Wood Walker, Inc. and as a Senior Vice President at Lehman Brothers. He received his undergraduate degree from Princeton University and an M.B.A. from The Wharton School of the University of Pennsylvania. We believe Mr. Dickey is qualified to serve as a director due to his executive experience in the life sciences industry and business and financial expertise.
Masaharu Osato, M.D. has been practicing gastroenterology and internal medicine (“GI”) at his private practice, the Osato Medical Clinic, Inc. in Torrance, CA, since 2001. Between 1998 and 2001 he completed a GI Fellowship at the Harbor-UCLA Medical Center. Between 1993 and 1997 and 1988 and 1993, respectively, Dr. Osato served as General Internist and Director of Health Screening Center at the Tokyo Adventist Hospital in Tokyo, Japan, and at the Kobe Adventist Hospital in Kobe, Japan. He attended the Loma Linda University School of Medicine in California between 1979 and 1983 and completed an internal medicine residency at the Kettering Memorial Medical Center at Wright State University between 1983 and 1986. Between 1986 and 1988 he completed a pediatric residency at the Loma Linda University Medical Center. We believe Dr. Osato is qualified to serve as a director due to his extensive knowledge of and experience in the GI sector.
Wei Peu Zen is Vice Chairman and Chief Executive Officer of Wai Kee Holdings Limited, a Hong Kong-based construction and infrastructure company whose shares are listed on the Main Board of Hong Kong Stock Exchange. He is also the Chairman, Chief Executive Officer and Managing Director of Build King Holdings Limited, a subsidiary of Wai Kee Holdings Limited. In addition, he is the Co-Chairman of Road King Infrastructure Limited, an associated corporation of Wai Kee Holdings Limited. The shares of both Build King Holdings Limited and Road King Infrastructure Limited are listed on the Main Board of Hong Kong Stock Exchange. Mr. Zen has over 40 years of experience in civil engineering and is responsible for the overall management of Wai Kee Group and oversees the operations of Wai Kee Group. Mr. Zen holds a B.Sc. degree in Engineering from The University of Hong Kong and a M.B.A. degree from The Chinese University of Hong Kong and is a member of both the Institution of Civil Engineers and the Hong Kong Institution of Engineers and a fellow member of the Institute of Quarrying, UK. He is a past Honorary Treasurer of Hong Kong Construction Association and a member of HKTDC Infrastructure Development Advisory Committee. He is also the President of Hong Kong Contract Bridge Association. We believe Mr. Zen is qualified to serve as a director due to his executive experience and business expertise.
205
Ian Zwicker is the founder of Zwicker Advisory Group and has been its Chief Executive Officer since 2014. From 1981 to 1990, Mr. Zwicker served as Managing Director and held a variety of management positions at the investment banking firms of SG Cowen and Hambrecht & Quist. From 1990 to 1999, Mr. Zwicker served as Managing Director and head of worldwide technology investment banking for Donaldson, Lufkin & Jenrette Securities Corporation, and from 2000 to 2001 as the President of WR Hambrecht + Co (WRH). He was a Director of Stirling Energy Systems, Inc. from 2006 to 2012. Mr. Zwicker was a Partner at WRH and was also Head of Capital Markets from 2013 to 2014. We believe Mr. Zwicker is qualified to serve as a director due to his executive experience and business expertise.
Robin L. Smith, M.D. joined the MYnd board of directors on August 20, 2015. Dr. Robin L. Smith is a global thought leader in the regenerative medicine industry, one of the fastest growing segments of modern-day medicine. She received her M.D. from Yale University and an M.B.A. from the Wharton School of Business. During her tenure as CEO of the Caladrius Biosciences, Inc. (formerly NeoStem Inc.) (NASDAQ: CLBS), which she led from 2006 to 2015, she pioneered the company’s innovative business model, combining proprietary cell therapy development with a successful contract development and manufacturing organization. Dr. Smith raised over $200 million, completing six acquisitions and one divestiture while the company won an array of industry awards and business recognition including a first-place ranking in the Tri-State region (for two years in a row), and eleventh place nationally, on Deloitte’s Technology Fast 500™, and Frost & Sullivan’s North American Cell Therapeutics Technology Innovation Leadership Award. Dr. Smith currently serves on the board of directors of Rockwell Medical (NASDAQ: RMTI). Dr. Smith is on the boards of directors of Prolung DX, BioXcel Corporation, and Signal Genetics. Dr. Smith is co-chairman of the Life Science advisory board on gender diversity. Dr. Smith is Vice President and member of the board of directors of the Science and Faith STOQ Foundation in Rome and serves on Sanford Health’s International Board and the Board of Overseers at the NYU Langone Medical Center in NYC.
Family Relationships and Certain Legal Proceedings
There are no family relationships among any of the executive officers and directors of Emmaus.
There have been no events under any bankruptcy act, no criminal proceedings and no judgments, injunctions, orders or decrees material to the evaluation of the ability and integrity of any director, executive officer, promoter or control person of Emmaus during the past ten years.
Emmaus is not aware of any legal proceedings in which any director or officer of Emmaus, or any associate of any such director or officer, is a party adverse to Emmaus or any of its subsidiaries or has a material interest adverse to Emmaus or any of its subsidiaries.
Director Independence
NASDAQ’s listing standards require that MYnd’s board of directors consist of a majority of independent directors, as determined under the applicable rules and regulations of The NASDAQ Stock Market LLC.
Based upon information requested from and provided by each proposed director concerning his or her background, employment and affiliations, including family relationships, other than Dr. Niihara, by virtue of his position as chief executive officer of Emmaus, Emmaus’ board of directors believes that each of Willis C. Lee, M.S., Robert Dickey, Masaharu Osato, M.D., Wei Peu Zen, Ian Zwicker and Robin L. Smith will qualify as an independent director following the completion of the Transaction.
Committees of the Board of Directors
MYnd’s board of directors currently has, and following the completion of the Merger will continue to have, the following committees: audit committee, a compensation committee and a nominating and corporate governance committee.
206
Audit Committee
The Audit Committee regularly meets with MYnd’s financial and accounting management and independent auditors and is responsible for the selection and engagement of MYnd’s independent auditors. Additionally, the Audit Committee reviews with the independent auditors the scope and results of the audit engagement, approves professional services provided by the independent auditors, reviews the independence of the independent auditors and reviews the adequacy of the internal accounting controls. The Audit Committee currently consists of Geoffrey Harris (Chair), John Pappajohn, and Michal Votruba, each of whom met the applicable independence standards promulgated by NASDAQ and those of the SEC. The board of directors of MYnd has also determined that Mr. Harris qualifies as an “audit committee financial expert,” as defined in Item 407(d)(5) of the SEC’s Regulation S-K. The Audit Committee of the combined company is expected to retain these duties and responsibilities following completion of the merger.
Following completion of the Merger, the members of the Audit Committee are expected to be Mr. Dickey, Mr. Zwicker and Dr. Osato. Mr. Dickey is expected to be the Chair of the Audit Committee and an “audit committee financial expert,” as defined in Item 407(d)(5) of the SEC’s Regulation S-K. MYnd’s board of directors has concluded that the expected composition of the Audit Committee meets the requirements for independence under the rules and regulations of NASDAQ and the SEC. MYnd and Emmaus believe that, after completion of the Merger, the functioning of the Audit Committee will comply with the applicable requirements of the rules and regulations of NASDAQ and the SEC.
Governance and Nominations Committee
The purpose of the Governance and Nominations Committee is to recommend to the board of directors nominees for election as directors and persons to be elected to fill any vacancies on the board of directors, develop and recommend a set of corporate governance principles and oversee the performance of the board of directors. The Governance and Nominations Committee currently consists Michal Votruba (Chair), John Pappajohn, and Geoffrey Harris, none of whom is an employee of MYnd and each of whom meets the independence requirements of NASDAQ and the SEC. The Governance and Nominations Committee of the combined company is expected to retain these duties and responsibilities following completion of the Merger
Following completion of the merger, the members of the Governance and Nominations Committee are expected to be to be Mr. Zwicker, Dr. Osato and Mr. Dickey. Mr. Zwicker is expected be the chairperson of the Governance and Nominations Committee. MYnd’s board of directors has determined that each expected member of the Governance and Nominations Committee is independent within the meaning of the independent director guidelines of NASDAQ and the SEC.
Compensation Committee
The Compensation Committee determines compensation levels for MYnd’s executive officers, implements incentive programs for officers, directors and consultants, and administers MYnd’s equity compensation plans. The Compensation Committee currently consists of John Pappajohn (Chair), Geoffrey Harris and Peter Unanue, none of whom is an employee of MYnd and each of whom meets the independence requirements of NASDAQ. The Compensation Committee of the combined company is expected to retain these duties and responsibilities following completion of the merger.
Compensation Committee Membership, Interlocks and Insider Participation
Following completion of the Merger, the members of the Compensation Committee are expected to consist of Mr. Zwicker, Dr. Osato and Mr. Dickey. Mr. Zwicker is expected be the Chair of the Compensation Committee. Each member of the Compensation Committee is expected to be an “outside” director as that term is defined in Section 162(m) of the Code, a “non-employee” director within the meaning of Rule 16b-3 of the rules promulgated under the Securities Exchange Act of 1934, as amended, and independent within the meaning of the independent director guidelines of NASDAQ and the SEC. None of the proposed executive officers of the combined company serves as a member of the board of directors or compensation committee of any entity that has one or more executive officers who is proposed to serve on the combined company’s board of directors or Compensation Committee following the merger.
207
Current Director Compensation
In December 2017, the Emmaus board of directors approved the following compensation program for non-employee directors:
| ● | $100,000 per year cash compensation, payable in quarterly installments; |
| ● | $1,000 per ad hoc board meeting attended in person; $1,000 per ad hoc board meeting attended telephonically; and |
| ● | possible awards of stock options to be determined by the Compensation Committee. |
The following table sets forth information regarding the compensation earned during the fiscal year ended December 31, 2018 by the Emmaus non-employee directors. Compensation earned by the employee directors, Yutaka Niihara, M.D., M.P.H. and Willis C. Lee, who are not compensated for their services as directors, is reflected above under the heading “Summary Compensation Table.”
| Name | Cash Fee | Option Awards | Total | |||||||||
| Ian Zwicker | $ | 100,000 | $ | 71,717 | $ | 171,717 | ||||||
| Masaharu Osato, M.D. | 100,000 | 71,717 | 171,717 | |||||||||
| Wei Peu Zen (1) | 58,333 | — | 58,333 | |||||||||
| Robert Dickey IV (2) | 33,333 | — | 33,333 | |||||||||
| Jon Kuwahara, C.P.A. (2) | 75,000 | 71,717 | 146,717 | |||||||||
| Total | $ | 366,666 | $ | 215,151 | $ | 581,817 | ||||||
| (1) | Mr. Zen was appointed as a director on April 19, 2018. |
| (2) | Mr. Dickey was elected as a director on September 27, 2018 to succeed Mr. Kuwahara, whose term ended on that date. |
On February 27, 2018, the Emmaus board of directors authorized and approved option grants to non-employee directors as reflected in the table, below. The options have a term of 10 years and an exercise price of $11.40 per share, the fair market value of a share of common stock as of the grant date as determined by the board of directors.
As of December 31, 2018, our current and former non-employee directors had option awards outstanding pursuant to Emmaus 2011 Stock Incentive Plan to purchase the following number of shares of our common stock in the table directly below:
| Name | Number of Securities Underlying Unexercised Options ($) Exercisable (Vested) | Number of Securities Underlying Unexercised Options ($) Unexercisable (Unvested) | Option Exercise Price | Option Expiration Date | ||||||||||
| Maurice J. DeWald (1) | 12,000 | — | $ | 3.60 | 12/19/2021 | |||||||||
| 75,000 | — | $ | 3.60 | 4/2/2022 | ||||||||||
| 250,000 | — | $ | 3.60 | 2/28/2023 | ||||||||||
| 10,000 | — | $ | 0.00 | 2/28/2023 | ||||||||||
| 50,000 | — | $ | 3.60 | 2/26/2024 | ||||||||||
| Ian Zwicker | 66,667 | 33,333 | (2) | $ | 4.70 | 1/14/2026 | ||||||||
| 66,667 | 33,333 | (3) | $ | 5.00 | 5/10/2026 | |||||||||
| — | 10,000 | (4) | $ | 11.40 | 2/27/2028 | |||||||||
| Masaharu Osato | 66,667 | 33,333 | (2) | $ | 4.70 | 1/14/2026 | ||||||||
| 66,667 | 33,333 | (3) | $ | 5.00 | 5/10/2026 | |||||||||
| — | 10,000 | (4) | $ | 11.40 | 2/27/2028 | |||||||||
| (1) | Mr. DeWald resigned from the board of directors on May 8, 2014. |
| (2) | Options vest annually in equal amounts (or as close to an equal amount as possible) over a period of three years with the first one third ( 1⁄3) vesting on January 14, 2017. |
| (3) | Options vest annually in equal amounts (or as close to an equal amount as possible) over a period of three years with the first one third ( 1⁄3) vesting on May 10, 2017. |
| (4) | Options vest annually in equal amounts (or as close to an equal amount as possible) over a period of three years with the first one third ( 1⁄3) vesting on February 27, 2018. |
208
Emmaus’ executive officers will serve as the executive officers of the combined company following the Merger. The following table sets forth compensation information for (i) Yutaka Niihara, M.D., M.P.H, Emmaus’ Chairman and Chief Executive Officer, (ii) Kurt H. Kruger, Emmaus’ Chief Financial Officer, (iii) Willis C. Lee, Emmaus’ Vice-Chairman, Chief Operating Officer and former Chief Financial Officer, (iv) Lan T. Tran, Emmaus’ President and Chief Administrative Officer and (v) Yasushi Nagasaki, Emmaus’ Senior Vice President, Finance. Dr. Niihara, Mr. Kruger, Mr. Lee, Ms. Tran, and Mr. Nagasaki are collectively referred to as the named executive officers of Emmaus.
Summary Compensation Table
The following table sets forth information concerning the compensation earned by Emmaus’ Chief Executive Officer, Chief Financial Officer and next three most highly compensated executive officers for the two fiscal years ended December 31, 2018 and 2017:
| Name and Position | Year | Salary | Bonus (1) | Option Awards | Total | |||||||||||||
| Yutaka Niihara, M.D., M.P.H. | 2018 | $ | 385,000 | — | — | $ | 385,000 | |||||||||||
| Chairman and Chief Executive Officer | 2017 | $ | 250,000 | $ | 1,000,000 | — | $ | 1,250,000 | ||||||||||
| Kurt H. Kruger (2) | 2018 | $ | 114,583 | $ | 50,000 | $ | 348,766 | $ | 513,349 | |||||||||
| Chief Financial Officer | 2017 | — | — | — | — | |||||||||||||
| Willis C. Lee | 2018 | $ | 240,000 | — | — | $ | 240,000 | |||||||||||
| Vice-Chairman, Chief Operating Officer and former Chief Financial Officer (2) | 2017 | $ | 180,000 | $ | 200,000 | — | $ | 380,000 | ||||||||||
| Lan T. Tran, M.P.H. | 2018 | $ | 235,000 | — | — | $ | 235,000 | |||||||||||
| President and Chief Administrative Officer | 2017 | $ | 180,000 | $ | 100,000 | — | $ | 280,000 | ||||||||||
| Yasushi Nagasaki | 2018 | $ | 235,000 | — | — | $ | 235,000 | |||||||||||
| Senior Vice President, Finance | 2017 | $ | 180,000 | $ | 50,000 | — | $ | 230,000 | ||||||||||
| (1) | The compensation of Dr. Niihara, Mr. Lee and Ms. Tran does not reflect annual performance bonuses provided for in their respective employment agreements. We did not grant such performance bonuses in certain prior years, in part, to preserve available capital to fund operating expenses. Additionally, no specific performance criteria were established for our executive officers for 2018 or 2017. Each of our executive officers waived any right under his or her employment agreement to such bonus. In December 2017, the Emmaus Compensation, Nominating and Corporate Governance Committee, or Compensation Committee, approved discretionary 2017 cash bonuses for each of Dr. Niihara, Mr. Lee, Ms. Tran and Mr. Nagasaki as shown. As of this date, the Compensation Committee has made no determination regarding any discretionary cash bonuses for 2018. |
| (2) | In July 2018, Mr. Kruger was appointed to succeed Mr. Lee as our Chief Financial Officer. Effective June 3, 2019, Mr. Sherwood was appointed to succeed Mr. Kruger as our Chief Financial Officer. |
209
Outstanding Equity Awards at 2018 Fiscal Year End
The following table sets forth information regarding outstanding equity awards held by Emmaus’ named executive officers at the end of the 2018 fiscal year:
| Name | Number of Securities Underlying Unexercised Options (#) Exercisable | Number of Securities Underlying Unexercised Options (#) Unexercisable (1) | Option Exercise Price | Option Expiration Date | ||||||||||
| Yutaka Niihara, M.D., M.P.H. | 250,000 | — | $ | 3.60 | 4/1/2022 | |||||||||
| 500,000 | — | $ | 3.60 | 2/28/2023 | ||||||||||
| 258,333 | 41,667 | (1) | $ | 5.00 | 5/10/2026 | |||||||||
| Kurt H. Kruger | 50,000 | — | $ | 11.30 | 8/8/2028 | |||||||||
| Willis C. Lee | 250,000 | — | $ | 3.60 | 4/1/2022 | |||||||||
| 500,000 | — | $ | 3.60 | 2/28/2023 | ||||||||||
| 258,333 | 41,667 | (1) | $ | 5.00 | 5/10/2026 | |||||||||
| Lan T. Tran, M.P.H. | 250,000 | — | $ | 3.60 | 4/1/2022 | |||||||||
| 500,000 | — | $ | 3.60 | 2/28/2023 | ||||||||||
| 258,333 | 41,667 | (1) | $ | 5.00 | 5/10/2026 | |||||||||
| Yasushi Nagasaki | 250,000 | — | $ | 3.60 | 4/1/2022 | |||||||||
| 500,000 | — | $ | 3.60 | 2/28/2023 | ||||||||||
| 258,333 | 41,667 | (1) | $ | 5.00 | 5/10/2026 | |||||||||
| (1) | One third (1/3) of the options vested on May 10, 2017, the first anniversary of the grant date. The remaining two thirds (2/3) vest in approximately equal monthly installments over a period of two years thereafter. |
Employment Agreements
On April 5, 2011, we entered into employment agreements with Yutaka Niihara, M.D., M.P.H., our Chief Executive Officer, Willis C. Lee, our Chief Operating Officer, and Lan T. Tran, M.P.H., our Chief Administrative Officer. Each of the Employment Agreements has an initial two-year term, unless terminated earlier. The Employment Agreements for Dr. Niihara, Mr. Lee and Ms. Tran automatically renew for additional one-year periods unless the Company or the officer provides notice of non-renewal at least 60 days prior to the expiration of the then current term.
Base Salary, Bonus and Other Compensation. Dr. Niihara’s, Mr. Lee’s, and Ms. Tran’s base salaries are $250,000, $180,000, and $180,000 per year, respectively, which will be reviewed at least annually. In December 2017, the Compensation Committee approved increases in Dr. Niihara’s, Mr. Lee’s, and Ms. Tran’s annual base salaries beginning January 1, 2018 to $385,000, $240,000, and $235,000, respectively. In addition to the base salary, each officer may be entitled to receive an annual performance bonus based on the officer’s performance for the previous year. The Employment Agreements provide that the respective officer’s performance for the previous year will be measured against a set of targets and goals as mutually established by us and the officer. To date, our board of directors and the Compensation, Nominating and Corporate Governance Committee have evaluated an officer’s performance on an overall basis related to the Company’s progress on major milestones, without reliance on specific position by position pre-established targets and goals. The officers are also eligible to receive paid vacation and to participate in health and other benefit plans and will be reimbursed for reasonable and necessary business expenses.
Equity Compensation. The Employment Agreements state that at the end of each calendar year on December 31, or as soon as reasonably practicable after such date (each a “Grant Date”), the Company will grant non-qualified 10-year stock options with a Black-Scholes-Merton value of $100,000 to Dr. Niihara, $50,000 to Mr. Lee, and $40,000 to Ms. Tran, in each case with an exercise price per share equal to the “Fair Market Value” (as such term is defined in the Company’s 2011 Stock Incentive Plan) on the applicable Grant Date. One-third of the options granted to each officer will vest on the first anniversary of the applicable Grant Date, one-third will vest on the second anniversary of the applicable Grant Date and the final one-third will vest on the third anniversary of the applicable Grant Date, although our current practice is to grant options that vest one-third on the first anniversary of the applicable Grant Date and then vest equally on a monthly basis until the third anniversary of the applicable Grant Date. Any unvested options will vest immediately upon a change in control (as defined below), termination of the officer’s employment other than a voluntary termination by the officer or a termination of the officer for cause. In the event that the officer is terminated for any reason other than cause, death or disability or retirement, each option, to the extent that it is exercisable at the time of such termination, shall remain exercisable for the 90-day period following such termination, but in no event following the expiration of its term. In the event that the officer’s employment terminates on account of death, disability or, with respect to any non-qualified stock option, retirement, each option granted that is outstanding and vested as of the date of such termination shall remain exercisable by such officer (or the officer’s legal representatives, heirs or legatees) for the one-year period following such termination, but in no event following the expiration of its term. As of March 20, 2018, management has no plan to grant discussed stock options for the year ended December 31, 2017.
210
Severance Compensation. If Dr. Niihara’s, Mr. Lee’s, or Ms. Tran’s employment is terminated for any reason during the term of his or her respective employment agreement, other than for cause or without good reason, he or she will be entitled to receive his or her base salary prorated through the termination date, any expense reimbursement due and owing for reasonable and necessary business expenses, and unpaid vacation benefits (the “Voluntary Termination Benefits”). If Dr. Niihara’s, Mr. Lee’s, or Ms. Tran’s employment is terminated due to death or disability of such officer during the term of his or her respective employment agreement, then such officer will also receive an amount equal to his or her target annual performance bonus, and for a termination due to disability only, six additional months of his or her base salary to be paid out over a six-month period and payment of COBRA benefits of up to six months following the termination. If Dr. Niihara’s employment is terminated without cause or Dr. Niihara resigns with good reason (not within two years following a change in control), he will receive the Voluntary Termination Benefits and, provided he signs a Release, a severance package equal to one year of his base salary to be paid out over a 12-month period, a pro rata amount of the annual performance bonus for the calendar year in which the termination date occurs based on the achievement of any applicable performance terms or goals for the year, and payment of COBRA benefits of up to 12 months following the termination. If the employment of any of Mr. Lee, or Ms. Tran is terminated without cause or any of them resigns with good reason (not within two years following a change in control) during the term of his or her respective employment agreement, he or she will receive the Voluntary Termination Benefits and, provided he or she signs a Release, a severance package equal to six months of his or her base salary to be paid out over a six-month period, an amount equal to half of the targeted annual performance bonus, and payment of COBRA benefits of up to six months following the termination.
Termination with cause includes a proven act of dishonesty, fraud, embezzlement or misappropriation of Company proprietary information; a conviction of, or plea of nolo contendere to, a felony or a crime involving moral turpitude; willful misconduct which cannot be cured on reasonable notice to the officer; or the officer’s habitual failure or refusal to perform his duties if such failure or refusal is not cured within 20 days after receiving written notice thereof from the board of directors. Good reason includes a reduction of more than 10% to the officer’s base salary or other compensation (except as part of a general reduction for all executive employees); a material diminution of the officer’s authority, responsibilities, reporting or job duties (except for any reduction for cause); the Company’s material breach of the Employment Agreement; or, in the case of Dr. Niihara, Mr. Lee and Ms. Tran, a relocation of the business requiring the officer to move or drive to work more than 40 miles from its current location. The officer may terminate the Employment Agreement for good reason if he or she provides written notice to the Company within 90 days of the event constituting good reason and the Company fails to cure the good reason within 30 days after receiving such notice.
Change of Control. The Employment Agreements will not be terminated upon a change of control. A change of control means any merger or reorganization where the holders of the Company’s capital stock prior the transaction own fewer than 50% of the shares of capital stock after the transaction, an acquisition of 50% of the voting power of the Company’s outstanding securities by another entity, or a transfer of at least 50% of the fair market value of the Company’s assets. Upon Dr. Niihara’s termination without cause or good reason that occurs within two years after a change of control, he will receive the Voluntary Termination Benefits and, provided he signs a release of all claims relating to his employment, a severance package equal to two years of his base salary to be paid out over a 12-month period, an amount equal to double the targeted annual performance bonus, payment of COBRA benefits of up to 18 months following the termination; and a one-time cash payment of $3.0 million. Upon Mr. Lee’s or Ms. Tran’s termination without cause or good reason that occurs within two years after a change of control, he or she will receive the Voluntary Termination Benefits and, provided he or she signs a Release, a severance package equal to one year of his or her base salary to be paid out over a 12-month period, an amount equal to the full year targeted annual performance bonus, payment of COBRA benefits of up to 12 months following the termination. Mr. Lee and Ms. Tran will also receive a one-time cash payment of $200,000. In addition, each officer’s unvested equity awards shall vest upon such termination and the officer will have 36 months in which to sell or exercise such awards (subject to expiration of the term of such options). The officer will also be free from all lock-up or other contractual restrictions upon the free sale of shares that are subject to waiver by the Company upon such termination.
211
MYnd Amended and Restated 2012 Omnibus Incentive Compensation Plan
The following description of the MYnd Amended and Restated 2012 Omnibus Incentive Compensation Plan is qualified in its entirety by reference to the complete text of the Amended and Restated 2012 Omnibus Incentive Compensation Plan. Stockholders are urged to read the actual text of the Amended and Restated 2012 Omnibus Incentive Compensation Plan in its entirety, which is filed with MYnd’s 2018 Proxy Statement as Appendix A and is available at www.sec.gov.
Purpose of the 2012 Plan
The MYnd Amended and Restated 2012 Omnibus Incentive Compensation Plan, or the 2012 Plan, is intended to allow selected employees (including officers), non-employee consultants and non-employee directors of MYnd or an affiliate of MYnd to acquire or increase equity ownership in MYnd, thereby strengthening their commitment to the success of MYnd and stimulating their efforts on behalf of MYnd, to assist MYnd and its affiliates in attracting new employees, officers and consultants and retaining existing employees and consultants, to optimize the profitability and growth of MYnd and its affiliates through incentives which are consistent with our Company’s goals, to provide such employees and consultants with an incentive for excellence in individual performance, to promote teamwork among employees, consultants and directors, and to attract and retain highly qualified persons to serve as non-employee directors and to promote ownership by such non-employee directors of a greater proprietary interest in MYnd, thereby aligning such non-employee directors’ interests more closely with the interests of MYnd common stockholders.
Administration
The 2012 Plan is administered by the compensation committee of the MYnd board of directors. If and to the extent that compliance with Rule 16b-3 under the Securities Exchange Act of 1934 or the performance-based exception to tax deductibility limitations under Code Section 162(m) is desirable, the Committee must be comprised of two or more Directors who qualify as “non-employee directors” under Rule 16b-3 and “outside directors” under Code Section 162(m). The Board has appointed the members of the Compensation Committee to serve as the Committee under the 2012 Plan. Subject to the terms of the 2012 Plan, the Committee has full power and discretion to select those persons to whom awards will be granted; to determine the amounts and terms of awards; to change and determine the terms of any award agreement, including but not limited to the term and the vesting schedule; to determine and change the conditions, restrictions and performance criteria relating to any award; to determine the settlement, cancellation, forfeiture, exchange or surrender of any award; to make adjustments in the terms and conditions of awards; to construe and interpret the 2012 Plan and any award agreement; to establish, amend and revoke rules and regulations for the administration of the 2012 Plan; to make all determinations deemed necessary or advisable for administration of the 2012 Plan; and to exercise any powers and perform any acts it deems necessary or advisable to administer the 2012 Plan and subject to certain exceptions, to amend, alter or discontinue the 2012 Plan or amend the terms of any award.
The Committee may delegate any or all of its administrative authority to our Chief Executive Officer or to a management committee except with respect to awards to executive officers who are subject to Section 16 of the Securities Exchange Act of 1934 and awards that are intended to comply with the performance-based exception to tax deductibility limitations under Code Section 162(m). In addition, the full board of directors must serve as the Committee with respect to any awards to our non-employee directors.
The repeal of the performance-based exception under Code Section 162(m) means that the Committee will intend any award granted after November 2, 2017 to comply with the performance-based exception. However, the Committee members may still need to qualify as “outside directors” for purposes of certifying performance with respect to any outstanding performance-based awards granted on or before November 2, 2017.
No Option Repricings Permitted
Notwithstanding the Committee’s powers and authority described above, neither the Board nor the Committee has the authority under the 2012 Plan to reduce the exercise price of any outstanding option. The prohibition against repricing does not apply to adjustments the Committee deems necessary to prevent the dilution or enlargement of the benefits provided under such awards, as described more fully under “Offering of Common Stock” below.
212
Eligibility
The 2012 Plan provides for awards to employees (including officers) and non-employee directors of, and non-employee consultants to, our Company or an affiliate (including potential employees and consultants). Some awards will be provided to officers and others who are deemed by us to be “insiders” for purposes of Section 16 of the Securities Exchange Act of 1934. For purposes of the 2012 Plan, an entity (including a partnership, limited liability Company or joint venture) will be considered our “affiliate” if we, directly or indirectly, own (i) stock possessing more than 50% of the total combined voting power of all outstanding classes of stock of such corporate entity or more than 50% of the total value of all outstanding shares of all classes of stock of such corporate entity or (ii) more than 50% of the profits interest or capital interest in any non-corporate entity.
In addition, the 2012 Plan provides that if our Company acquires another corporation or other entity (an “Acquired Entity”) as a result of a merger or consolidation of the Acquired Entity into our Company or any of our affiliates or as a result of the acquisition of the stock or property of the Acquired Entity by us or any of our affiliates, the Committee may grant awards (“Substitute Awards”) to the current and former employees, consultants and non-employee directors of the Acquired Entity in substitution for options and other stock-based awards granted by the Acquired Entity in order to preserve the economic value of the awards held by the current and former employees and non-employee directors of, and non-employee consultants to, the Acquired Entity immediately prior to its merger or consolidation into, or acquisition by, our Company or any of our affiliates.
Offering of Common Stock
Under the terms of the 2012 Plan, 2,250,000 shares of MYnd common stock will be available for delivery in settlement of awards (including incentive stock options), with the number of shares subject to the 2012 Plan to automatically increase, on January 1 of each year through 2022, by an amount of shares equal to the lesser of (a) 10% of the shares of common stock authorized under the 2012 Plan as of the preceding December 31 or (b) an amount, or no amount, as determined by the Board, but in no event may the number of shares of common stock authorized under the 2012 Plan exceed 2,950,000. The stock delivered to settle awards made under the 2012 Plan may be authorized and unissued shares or treasury shares, including shares repurchased by us for purposes of the 2012 Plan. If any shares subject to any award granted under the 2012 Plan (other than a Substitute Award) is forfeited or otherwise terminated without delivery of such shares (or if such shares are returned to us due to a forfeiture restriction under such award), the shares subject to such awards will again be available for issuance under the 2012 Plan. However, any shares that are withheld or applied as payment for shares issued upon exercise of an award or for the withholding or payment of taxes due upon exercise of the award will continue to be treated as having been delivered under the 2012 Plan and will not again be available for grant under the 2012 Plan.
If a dividend or other distribution (whether in shares of common stock or other property), recapitalization, forward or reverse stock split, subdivision, consolidation or reduction of capital, reorganization, merger, consolidation, scheme of arrangement, split-up, spin-off or combination involving MYnd or repurchase or exchange of shares or other securities of MYnd, or other rights to purchase shares of MYnd’s securities or other similar transaction or event affects the common stock of MYnd such that the Committee determines that an adjustment is appropriate in order to prevent dilution or enlargement of the benefits (or potential benefits) provided to grantees under the 2012 Plan, the Committee will make an equitable change or adjustment as it deems appropriate in the number and kind of securities subject to or to be issued in connection with awards (whether or not then outstanding) and the exercise price relating to an award in order to prevent the dilution or enlargement of the benefits (or potential benefits) intended to be made available under the 2012 Plan. The Committee will not make any adjustment to the number of shares underlying any option or to the exercise price of any such option if such adjustment would subject the grantee to tax penalties under Section 409A of the Code or would cause such option (determined as if such option was an incentive stock option) to violate Section 424(a) of the Code.
In connection with an Acquired Entity’s merger or consolidation into, or acquisition by, our Company or any of our affiliates, the Committee may grant Substitute Awards to current and former employees and non-employee directors of, and non-employee consultants to, the Acquired Entity in substitution of stock or other stock-based awards granted to such individuals by the Acquired Entity in order to preserve the economic value of the awards held by the current and former employees and non-employee directors of, and non-employee consultants to, the Acquired Entity immediately prior to its merger or consolidation into, or acquisition by, our Company or any of our affiliates. Substitute Awards will not count against the overall limit on the number of shares of common stock available for issuance under this 2012 Plan nor will they count against the individual annual limits on awards described below.
213
Individual Annual Limits on Awards
The 2012 Plan limits the number of shares that may be issued to any individual pursuant to awards granted in any calendar year. As proposed to be amended, under the 2012 Plan such limitation of the maximum number of shares of MYnd common stock that are subject to awards granted to any individual in a single calendar year will be eliminated. This limitation applies to the calendar year in which the awards are granted and not the year in which such awards settle.
Summary of Awards under the 2012 Plan (Including What Rights as a Stockholder, if any, Are Associated with an Award)
The 2012 Plan permits the granting of any or all of the following types of awards to all grantees:
| ● | stock options, including incentive stock options (“ISOs”); |
| ● | restricted stock; |
| ● | deferred stock and restricted stock units; |
| ● | performance units and performance shares; |
| ● | dividend equivalents; |
| ● | bonus shares; and |
| ● | other stock-based awards. |
Generally, awards under the 2012 Plan are granted for no consideration other than prior and future services. Awards granted under the 2012 Plan may, in the discretion of the Committee, be granted alone or in addition to, in tandem with or in substitution for, any other award under the 2012 Plan or other plan of ours. The material terms of each award will be set forth in a written award agreement between the grantee and us.
Stock Options
The Committee is authorized to grant stock options (including ISOs except that an ISO may only be granted to an employee of ours or one of our subsidiary corporations). A stock option allows a grantee to purchase a specified number of shares of MYnd common stock at a predetermined price per share (the “exercise price”) during a fixed period measured from the date of grant. The exercise price of an option will be determined by the Committee and set forth in the award agreement, but the exercise price may not be less than the fair market value of a share of common stock on the grant date. The term of each option is determined by the Committee and set forth in the award agreement, except that the term may not exceed 10 years. Such awards are exercisable in whole or in part at such time or times as determined by the Committee and set forth in the award agreement. Options may be exercised by payment of the purchase price through one or more of the following means: payment in cash (including personal check or wire transfer), by delivering shares of MYnd common stock previously owned by the grantee, or with the approval of the Committee, by delivery of shares of MYnd common stock acquired upon the exercise of such option or by delivering restricted shares. The Committee may also permit a grantee to pay the exercise price of an option through the sale of shares acquired upon exercise of the option through a broker-dealer to whom the grantee has delivered irrevocable instructions to deliver sales proceeds sufficient to pay the purchase price to us.
Restricted Shares
The Committee may award restricted shares consisting of shares of MYnd common stock which remain subject to a risk of forfeiture and may not be disposed of by grantees until certain restrictions established by the Committee lapse. The vesting conditions may be service-based (i.e., requiring continuous service for a specified period) or performance-based (i.e., requiring achievement of certain specified performance objectives) or both. A grantee receiving restricted shares will have all of the rights of a stockholder, including the right to vote the shares and the right to receive any dividends, except as otherwise provided in the award agreement. Upon termination of the grantee’s affiliation with us during the restriction period (or, if applicable, upon the failure to satisfy the specified performance objectives during the restriction period), the restricted shares will be forfeited as provided in the award agreement.
214
Restricted Stock Units and Deferred Stock
The Committee may also grant restricted stock unit awards and/or deferred stock awards. A deferred stock award is the grant of a right to receive a specified number of shares of MYnd common stock at the end of specified deferral periods or upon the occurrence of a specified event, which satisfies the requirements of Section 409A of the Code. A restricted stock unit award is the grant of a right to receive a specified number of shares of MYnd common stock upon lapse of a specified forfeiture condition (such as completion of a specified period of service or achieved of certain specified performance objectives). If the service condition and/or specified performance objectives are not satisfied during the restriction period, the award will be lapse without the issuance of the shares underlying such award.
Awards of restricted stock units and deferred stock are subject to such limitations as the Committee may impose in the award agreement. Restricted stock units and deferred stock awards carry no voting or other rights associated with stock ownership. The award agreement will provide whether grantees may receive dividend equivalents with respect to restricted stock units or deferred stock, and if so, whether such dividend equivalents are distributed when credited or deemed to be reinvested in additional shares of restricted stock units or deferred stock.
Performance Units
The Committee may grant performance units, which entitle a grantee to cash or shares conditioned upon the fulfillment of certain performance conditions and other restrictions as specified by the Committee and reflected in the award agreement. The initial value of a performance unit will be determined by the Committee at the time of grant. The Committee will determine the terms and conditions of such awards, including performance and other restrictions placed on these awards, which will be reflected in the award agreement.
Performance Shares
The Committee may grant performance shares, which entitle a grantee to a certain number of shares of common stock, conditioned upon the fulfillment of certain performance conditions and other restrictions as specified by the Committee and reflected in the award agreement. The Committee will determine the terms and conditions of such awards, including performance and other restrictions placed on these awards, which will be reflected in the award agreement.
Bonus Shares
The Committee may grant fully vested shares of MYnd common stock as bonus shares on such terms and conditions as specified in the award agreement.
Dividend Equivalents
The Committee is authorized to grant dividend equivalents which provide a grantee the right to receive payment equal to the dividends paid on a specified number of shares of MYnd common stock. Dividend equivalents may be paid directly to grantees or may be deferred for later delivery under the 2012 Plan. If deferred such dividend equivalents may be credited with interest or may be deemed to be invested in shares of MYnd common stock or in other property. No dividend equivalents may be granted in conjunction with any grant of stock options.
Other Stock-Based Awards
In order to enable us to respond to material developments in the area of taxes and other legislation and regulations and interpretations thereof, and to trends in executive compensation practices, the 2012 Plan authorizes the Committee to grant awards that are valued in whole or in part by reference to or otherwise based on our securities. The Committee determines the terms and conditions of such awards, including consideration paid for awards granted as share purchase rights and whether awards are paid in shares or cash.
215
Payment and Deferral of Awards
Awards may be settled in cash, stock, other awards or other property, in the discretion of the Committee. The Committee may permit grantees to defer the distribution of all or part of an award in accordance with such terms and conditions as the Committee may establish, which must comply in both form and substance with the requirements of Section 409A of the Code to ensure that the grantee will not be subjected to tax penalties imposed under Section 409A of the Code. The 2012 Plan authorizes the Committee to place shares or other property in trusts or make other arrangements to provide for payment of our obligations under the 2012 Plan. The Committee may condition the payment of an award on the withholding of taxes and may provide that a portion of the stock or other property to be distributed will be withheld to satisfy such tax obligations.
Transfer Limitations on Awards
Awards granted under the 2012 Plan generally may not be pledged or otherwise encumbered and generally are not transferable except by will or by the laws of descent and distribution or pursuant to a qualified domestic relations order. Each award will be exercisable during the grantee’s lifetime only by the grantee or, if permitted under applicable law, by the grantee’s guardian or legal representative. However, transfers of awards to family members (or family trusts or family-controlled partnerships) for estate planning purposes may be permitted in the discretion of the Committee.
Change of Control
If there is a merger or consolidation of us with or into another corporation or a sale of substantially all of MYnd common stock (a “Corporate Transaction”) and the outstanding awards are not assumed by surviving company (or its parent company) or replaced with economically equivalent awards granted by the surviving company (or its parent company), such awards will vest and become non-forfeitable and will be become exercisable and any conditions on such awards will lapse. If an option becomes exercisable as a result of a Corporate Transaction in which such awards are not assumed or replaced by the surviving company (or its parent company), the Committee may either (i) allow grantees to exercise such outstanding options within a reasonable period prior to the Corporate Transaction and cancel any outstanding options that remain unexercised upon consummation of the Corporate Transaction, or (ii) cancel any or all outstanding options in exchange for a payment (in cash, or in securities or other property) in an amount equal to the amount that the grantee would have received (net of the exercise price) if the options were exercised immediately prior to the Corporate Transaction. If an exercise price of the option exceeds the fair market value of MYnd common stock and the option is not assumed or replaced by the surviving company (or its parent company), such options will be cancelled without any payment to the grantee.
Amendment to and Termination of the 2012 Plan
The 2012 Plan may be amended, altered, suspended, discontinued or terminated by the Board without further stockholder approval, unless such approval of an amendment or alteration is required by law or regulation or under the rules of any stock exchange or automated quotation system on which the common stock is then listed or quoted. Thus, stockholder approval will not necessarily be required for amendments which might increase the cost of the 2012 Plan or broaden eligibility. Stockholder approval will not be deemed to be required under laws or regulations that condition favorable treatment of grantees on such approval, although the Board may, in its discretion, seek stockholder approval in any circumstance in which it deems such approval advisable.
In addition, subject to the terms of the 2012 Plan, no amendment or termination of the 2012 Plan may materially and adversely affect the right of a grantee under any award granted under the 2012 Plan.
Unless earlier terminated by the Board, the 2012 Plan will terminate when no shares remain reserved and available for issuance or, if earlier, on March 22, 2022. The terms of the 2012 Plan shall continue to apply to any awards made prior to the termination of the 2012 Plan until we have no further obligation with respect to any award granted under the 2012 Plan
Emmaus 2011 Stock Incentive Plan
Background
On May 3, 2011, the Emmaus board of directors and stockholders adopted the Emmaus Life Sciences, Inc. 2011 Stock Incentive Plan (the “Plan”). Stockholder approval of the Plan enables Emmaus to satisfy stock exchange listing requirements if and when Emmaus becomes subject to such requirements, and to make awards that qualify as performance-based compensation exempt from the deduction limitation set forth under Section 162(m) of the Internal Revenue Code of 1986, as amended (the “Code”). Subject to certain exceptions, Section 162(m) generally limits the corporate income tax deductions to $1,000,000 annually for compensation paid to each of the Chief Executive Officer and Emmaus’ other three highest paid executive officers required to be reported under the proxy disclosure rules.
216
The Plan permits grants of stock options, stock appreciation rights (“SARs”), restricted stock, stock units, stock bonus and unrestricted stock awards, which are collectively referred to as Awards. Emmaus’ board of directors believes that the Plan is an important factor in attracting, retaining and motivating Emmaus employees, consultants, agents, and directors and our affiliates, who are collectively referred to as Eligible Persons. Emmaus’ board of directors also believes that Emmaus needs the flexibility both to have an ongoing reserve of common stock available for future equity-based awards, and to make future awards in a variety of forms.
On February 28, 2013, Emmaus’ board of directors authorized and adopted an amendment to Section 1.5(a) of the Plan. The amendment increased the total number of shares of Emmaus common stock with respect to which awards may be granted pursuant to the Plan from 3,000,000 to 6,000,000 (subject to adjustment as set forth in the Plan), which is referred to as the Cap. Except for this increase in the Cap, the terms of the Plan were unchanged by the amendment. The amendment was subsequently ratified by Emmaus’ stockholders at the 2013 Annual Meeting held on September 23, 2013. On July 17, 2014, Emmaus’ board of directors authorized and adopted a further amendment to Section 1.5(a) of the Plan. The amendment increased the Cap from 6,000,000 to 9,000,000 (subject to adjustment as set forth in the Plan) and was subsequently ratified by Emmaus’ stockholders at the 2014 Annual Meeting on October 23, 2014.
Purpose
The purpose of the Plan is to attract, retain and motivate select employees, consultants and directors of Emmaus and its affiliates and to provide incentives and rewards for superior performance. As of December 31, 2017, there were approximately 28 Eligible Persons.
Shares Subject to the Plan
The Plan provides that no more than 9,000,000 shares of Emmaus common stock may be issued pursuant to Awards under the Plan. The number of shares available for Awards, as well as the terms of outstanding Awards, is subject to adjustment as provided in the Plan for stock splits, stock dividends, recapitalizations and other similar events.
The maximum awards that can be granted under the Plan to a single participant in any calendar year shall be 500,000 shares of common stock in the form of options or SARs, and 500,000 shares of common stock in the form of restricted shares, restricted stock units, stock bonus and other stock-based awards.
Administration
The Compensation, Nominating and Corporate Governance Committee of Emmaus’ board of directors or another committee appointed by Emmaus’ board of directors administer the Plan. The Compensation, Nominating and Corporate Governance Committee of Emmaus’ board of directors and any other committee exercising discretion under the Plan from time to time are referred to below as the Committee.
Subject to the terms of the Plan, the Committee has express authority to determine the Eligible Persons who will receive Awards, the number of shares of common stock, units or dollars to be covered by each Award, and the terms and conditions of Awards. The Committee has broad discretion to prescribe, amend, and rescind rules relating to the Plan and its administration, to interpret and construe the terms of the Plan and the terms of all Award agreements, and to take all actions necessary or advisable to administer the Plan.
217
Stock awards granted under the Plan (other than performance-based awards, awards involving an aggregate number of shares equal to less than 5% of shares available for awards and annual director stock grants described below) will have a minimum vesting period of three years.
The Plan provides that Emmaus will indemnify members of the Committee and their delegates against any claims, liabilities or costs arising from the good faith performance of their duties under the Plan. The Plan releases these individuals from liability for good faith actions associated with the Plan’s administration.
Eligibility
The Committee may grant options that are intended to qualify as incentive stock options (“ISOs”) only to employees of Emmaus and its subsidiaries and may grant all other Awards to Eligible Persons. The Plan and the discussion below use the term “Participant” to refer to an Eligible Person who has received an Award.
Types of Awards
Options. Options granted under the Plan provide Participants with the right to purchase shares of common stock at a predetermined exercise price. The Committee may grant options that are intended to qualify as ISOs or options that are not intended to so qualify, referred to as Non-ISOs. The Plan also provides that ISO treatment may not be available for options that become first exercisable in any calendar year to the extent the value of the underlying shares that are the subject of the option exceeds $100,000 (based upon the fair market value of the shares of common stock on the option grant date).
Stock Appreciation Rights (SARs). A stock appreciation right generally permits a Participant to receive, upon exercise, cash and/or shares of common stock equal in value to an amount determined by multiplying (a) the excess of the fair market value, on the date of exercise, of the shares of common stock with respect to which the SAR is being exercised, over the exercise price of the SAR for such shares by (b) the number of shares with respect to which the SARs are being exercised. The Committee may grant SARs in tandem with options or independently of them.
Exercise Price for Options and SARs. The exercise price of ISOs, Non-ISOs, and SARs may not be less than 100% of the fair market value on the grant date of the shares of common stock subject to the Award (110% of fair market value for ISOs granted to employees who, on the grant date, own stock representing more than 10% of the combined voting power of all classes of our stock).
Exercise of Options and SARs. To the extent exercisable in accordance with the agreement granting them, an option or SAR may be exercised in whole or in part, during the term established by the Committee, subject to earlier termination relating to a holder’s termination of employment or service. The expiration date of options and SARs may not exceed 10 years from the date of grant (five years in the case of ISOs granted to employees who, on the grant date, own more than 10% of the combined voting power of all classes of our stock).
Unless otherwise provided under the terms of the agreement evidencing a grant, options and SARs that have vested may be exercised during the one-year period after the optionee’s termination of service due to death or permanent disability or after the optionee retires (with respect to SARs and Non-ISOs only) and during the 90-day period after the optionee’s termination of employment other than for cause (but in no case later than the termination date of the option or SAR). Each option or SAR that remains unexercisable at the time of termination shall be terminated at the time of termination.
Restricted Stock, Stock Units, Stock Bonus, and Other Stock-Based Awards. Under the Incentive Plan, the Committee may grant restricted stock that is forfeitable until certain vesting requirements are met, may grant restricted stock units (“RSUs”), which represent the right to receive shares of common stock after certain vesting requirements are met, and may grant unrestricted stock as to which the Participant’s interest is immediately vested (subject to the exceptions to the minimum vesting requirements described above). The Plan provides the Committee with discretion to determine the terms and conditions under which a Participant’s interests in such Awards becomes vested, which may include the achievement of financial or other objective performance goals or other objectives.
218
Annual Non-Employee Director Grants. The Plan provides for annual grants of 10,000 options to non-employee directors, which are referred to as the Annual Director Awards. Each Annual Director Award will vest in four substantially equal quarterly installments. These grants have been superseded by, and are not in addition to, the compensation program for non-employee directors.
Clawback of Awards
Unless otherwise provided in an agreement granting an Award, Emmaus may terminate any outstanding, unexercised, unexpired or unpaid Award, rescind any exercise, payment or delivery pursuant to the Award, or recapture any common stock (whether restricted or unrestricted) or proceeds from the Participant’s sale of shares issued pursuant to the Award in the event of the discovery of the Participant’s fraud or misconduct, or otherwise in connection with a financial restatement.
Income Tax Withholding
As a condition for the issuance of shares pursuant to Awards, the Plan requires satisfaction of any applicable federal, state, local, or foreign withholding tax obligations that may arise in connection with the award or the issuance of shares.
Transferability
Awards may not be sold, pledged, assigned, hypothecated, transferred or disposed of other than by will or the laws of descent and distribution, except to the extent the Committee permits.
Certain Corporate Transactions
The Committee shall equitably adjust, as it deems necessary and appropriate, the number of shares covered by each outstanding Award, the number of shares that have been authorized for issuance under the Plan but have not yet been granted or that have been returned to the Plan upon cancellation, forfeiture or expiration of an Award, and the maximum number of shares that may be granted in any calendar year to individual participants, as well as the price per share covered by each outstanding Award, to reflect any increase or decrease in the number of issued shares resulting from a stock split, reverse stock split, stock dividend, combination, recapitalization or reclassification of the shares, or any other increase or decrease in the number of issued shares effected without receipt of consideration by us.
The Committee has the authority, in the event of a merger, sale of assets, reorganization or similar change in control transaction, to cause us to accelerate the vesting of Awards. To the extent that an Award is not exercised prior to consummation of a transaction in which the Award is not being assumed or substituted, such Award shall terminate upon such consummation.
Term of the Plan; Amendments or Termination
The term of the Plan is 10 years from the date of adoption by Emmaus’ board of directors. Emmaus’ board of directors may from time to time, amend, alter, suspend, discontinue or terminate the Plan; provided that no amendment, suspension or termination of the Plan shall materially and adversely affect Awards already granted. Furthermore, the Plan specifically prohibits the repricing of stock options or SARs without stockholder approval. For this purpose, a “repricing” means any of the following (or any other action that has the same effect as any of the following): (i) changing the terms of a stock option or SAR to lower its exercise price; (ii) any other action that is treated as a “repricing” under generally accepted accounting principles; and (iii) repurchasing for cash or canceling a stock option or SAR at a time when its exercise price is greater than the fair market value of the underlying stock in exchange for another award, unless the cancellation and exchange occurs in connection with a change in capitalization or similar change. Such cancellation and exchange would be considered a “repricing” regardless of whether it is treated as a “repricing” under generally accepted accounting principles and regardless of whether it is voluntary on the part of the participant.
219
U.S. Federal Income Tax Consequences
The U.S. federal income tax rules applicable to awards under the Plan under the Code are summarized below. This summary omits the tax laws of any municipality, state, or foreign country in which a participant resides.
Stock option grants under the Plan may be intended to qualify as incentive stock options under Section 422 of the Code or may be non-qualified stock options governed by Section 83 of the Code. Generally, federal income tax is not due from a participant upon the grant of a stock option, and a deduction is not taken by us. Under current tax laws, if a participant exercises a non-qualified stock option, he or she will have taxable income equal to the difference between the market price of the common stock on the exercise date and the stock option grant price. We are entitled to a corresponding deduction on our income tax return. A participant will not have any taxable income upon exercising an incentive stock option after the applicable holding periods have been satisfied (except that the alternative minimum tax may apply), and we will not receive a deduction when an incentive stock option is exercised. The treatment for a participant of a disposition of shares acquired through the exercise of a stock option depends on how long the shares were held and whether the shares were acquired by exercising an incentive stock option or a non-qualified stock option. We may be entitled to a deduction in the case of a disposition of shares acquired under an incentive stock option before the applicable holding periods have been satisfied.
Generally, taxes are not due when a restricted stock or RSU award is initially granted, but the restricted stock becomes taxable when it is no longer subject to a “substantial risk of forfeiture” (generally, when it becomes vested or nontransferable), in the case of restricted stock, or when shares are issued in connection with vesting, in the case of an RSU. Income tax is calculated on the value of the stock at ordinary rates at that time, and then at capital gain rates when the shares are sold. However, no later than 30 days after a participant receives an award of restricted stock, pursuant to Section 83(b) of the Code, the participant may elect to recognize taxable ordinary income in an amount equal to the fair market value of the stock at the time of receipt. Provided that the election is made in a timely manner, the participant will not recognize any additional income when the award is no longer transferable or subject to a “substantial risk of forfeiture.”
The grant of a stock appreciation right (“SAR’) generally will have no federal income tax consequences for the participant. Upon the exercise of a SAR, the participant will recognize ordinary income equal to the excess of the fair market value, on the date of exercise, of the shares of common stock with respect to which the SAR is being exercised, over the exercise price of the SAR for such shares. Generally, we will be entitled to a deduction equal to the amount of ordinary income recognized by the participant at the time the participant recognizes such income for tax purposes.
Section 409A of the Code provides additional tax rules governing non-qualified deferred compensation. Generally, Section 409A will not apply to awards granted under the Plan, but may apply in some cases to RSUs. For such awards subject to Section 409A, certain of our officers may experience a delay of up to six months in the settlement of the awards in shares of our stock.
Awards granted under the Plan may be structured to qualify as performance-based compensation under Section 162(m) of the Code. To qualify, the Plan must satisfy the conditions set forth in Section 162(m) of the Code, and stock options and other awards must be granted under the Plan by a committee consisting solely of two or more outside directors (as defined under Section 162 regulations) and must satisfy the Plan’s limit on the total number of shares that may be awarded to any one participant during any calendar year. For awards other than stock options and SARs to qualify, the grant, issuance, vesting, or retention of the award must be contingent upon satisfying one or more of the performance criteria set forth in the Plan, as established and certified by a committee consisting solely of two or more outside directors. The rules and regulations promulgated under Section 162(m) are complicated and subject to change from time to time, sometimes with retroactive effect. In addition, a number of requirements must be met in order for particular compensation to so qualify. As such, there can be no assurance that any compensation awarded or paid under the Plan will be deductible under all circumstances. The Compensation, Nominating and Corporate Governance Committee retains the right to make awards which would not be deductible under Section 162(m).
220
CERTAIN RELATIONSHIPS AND RELATED PARTY TRANSACTIONS OF EMMAUS
The following table sets forth information relating to our loans from related persons outstanding or at any time during the three months ended March 31, 2019 (in thousands):
| Class | Lender | Interest Rate | Date of Loan | Term of Loan | Principal Amount Outstanding at March 31, 2019 | Highest Principal Outstanding | Amount of Principal Repaid or Converted into Stock | Amount of Interest Paid | Conversion Rate | Shares Underlying Notes March 31, 2019 | |||||||||||||||||||||
| Current, Promissory note payable to related parties: | |||||||||||||||||||||||||||||||
| Lan T. Tran (2) | 10 | % | 4/29/2016 | Due on Demand | 20 | 20 | — | — | — | — | |||||||||||||||||||||
| Hope Hospice (1) | 10 | % | 6/3/2016 | Due on Demand | 250 | 250 | — | — | — | — | |||||||||||||||||||||
| Lan T. Tran (2) | 10 | % | 2/9/2017 | Due on Demand | — | 12 | — | — | — | — | |||||||||||||||||||||
| Yutaka Niihara (2)(3) | 10 | % | 9/14/2017 | Due on Demand | 27 | 904 | — | — | — | — | |||||||||||||||||||||
| Lan T. Tran (2) | 10 | % | 2/10/2018 | Due on Demand | 159 | 159 | — | — | — | — | |||||||||||||||||||||
| Lan T. Tran (2) | 10 | % | 2/9/2019 | Due on Demand | 14 | 14 | — | — | — | — | |||||||||||||||||||||
| Subtotal | $ | 470 | $ | 1,359 | $ | — | $ | — | — | ||||||||||||||||||||||
| Current, Convertible notes payable to related parties: | |||||||||||||||||||||||||||||||
| Yasushi Nagasaki (2) | 10 | % | 6/29/2012 | Due on Demand | $ | 200 | $ | 200 | $ | — | $ | — | $ | 3.30 | 76 | ||||||||||||||||
| Yutaka & Soomi Niihara (2)(3) | 10 | % | 11/16/2015 | 2 years | 200 | 200 | — | — | $ | 4.50 | 59 | ||||||||||||||||||||
| Wei Peu Zen (3) | 10 | % | 11/6/2017 | 2 years | 5,000 | 5,000 | — | 250 | $ | 10.00 | 545 | ||||||||||||||||||||
| Profit Preview International Group, Ltd. (4) | 10 | % | 2/1/2018 | 2 years | 4,037 | 4,037 | — | 202 | $ | 10.00 | 430 | ||||||||||||||||||||
| Profit Preview International Group, Ltd. (4) | 10 | % | 3/21/2018 | 2 years | 5,363 | 5,363 | — | 268 | $ | 10.00 | 565 | ||||||||||||||||||||
| Subtotal | $ | 14,800 | $ | 14,800 | $ | — | $ | — | 1,675 | ||||||||||||||||||||||
| Total | $ | 15,270 | $ | 16,159 | $ | — | $ | — | 1,675 | ||||||||||||||||||||||
| (1) | Dr. Niihara, the Chairman of the Board and Chief Executive Officer of the Company, is also the Chief Executive Officer of Hope Hospice. |
| (2) | Officer. |
| (3) | Director. |
| (4) | Mr. Zen, a Director of the Company, is the sole owner of Profit Preview International Group, Ltd. |
221
The following table sets forth information relating to our loans from related persons outstanding at any time during the year ended December 31, 2018 (in thousands):
| Class | Lender | Interest Rate | Date of Loan | Term of Loan | Principal Amount Outstanding at December 31, 2018 | Highest Principal Outstanding | Amount of Principal Repaid or Converted into Stock | Amount of Interest Paid | Conversion Rate | Shares Underlying Notes December 31, 2018 | ||||||||||||||||||||||||
| Current, Promissory note payable to related parties: | ||||||||||||||||||||||||||||||||||
| Masaharu & Emiko Osato (3) | 11 | % | 12/29/2015 | Due on Demand | $ | — | $ | 300 | $ | 300 | $ | 76 | — | — | ||||||||||||||||||||
| Lan T. Tran (2) | 11 | % | 2/10/2016 | Due on Demand | — | 131 | 131 | 29 | — | — | ||||||||||||||||||||||||
| Masaharu & Emiko Osato (3) | 11 | % | 2/25/2016 | Due on Demand | — | 400 | 400 | 94 | — | — | ||||||||||||||||||||||||
| Lan T. Tran (2) | 10 | % | 4/29/2016 | Due on Demand | 20 | 20 | — | — | — | — | ||||||||||||||||||||||||
| Hope Hospice (1) | 10 | % | 6/3/2016 | Due on Demand | 250 | 250 | — | — | — | — | ||||||||||||||||||||||||
| Lan T. Tran (2) | 10 | % | 2/9/2017 | Due on Demand | 12 | 12 | — | — | — | — | ||||||||||||||||||||||||
| Yutaka Niihara (2)(3) | 10 | % | 9/14/2017 | Due on Demand | 27 | 904 | 877 | 95 | — | — | ||||||||||||||||||||||||
| Lan T. Tran (2) | 11 | % | 2/10/2018 | Due on Demand | 159 | 159 | — | — | — | — | ||||||||||||||||||||||||
| Subtotal | $ | 468 | $ | 2,176 | $ | 1,708 | $ | 294 | — | |||||||||||||||||||||||||
| Current, Convertible notes payable to related parties: | ||||||||||||||||||||||||||||||||||
| Yasushi Nagasaki (2) | 10 | % | 6/29/2012 | Due on Demand | 200 | 200 | — | — | $ | 3.30 | 74 | |||||||||||||||||||||||
| Yutaka & Soomi Niihara (2)(3) | 10 | % | 11/16/2015 | 2 years | 200 | 200 | — | — | $ | 4.50 | 58 | |||||||||||||||||||||||
| Wei Peu Zen (3) | 10 | % | 11/6/2017 | 2 years | 5,000 | 5,000 | — | 250 | $ | 10.00 | 533 | |||||||||||||||||||||||
| Subtotal | $ | 5,400 | $ | 5,400 | $ | — | $ | 250 | 665 | |||||||||||||||||||||||||
| Non Current, Convertible notes payable to related parties: | ||||||||||||||||||||||||||||||||||
| Profit Preview International Group, Ltd. (4) | 10 | % | 2/1/2018 | 2 years | 4,037 | 4,037 | — | 202 | $ | 10.00 | 420 | |||||||||||||||||||||||
| Profit Preview International Group, Ltd. (4) | 10 | % | 3/21/2018 | 2 years | 5,363 | 5,363 | — | 268 | $ | 10.00 | 552 | |||||||||||||||||||||||
| Subtotal | $ | 9,400 | $ | 9,400 | $ | — | $ | 470 | 972 | |||||||||||||||||||||||||
| Total | $ | 15,268 | $ | 16,976 | $ | 1,708 | $ | 1,014 | 1,637 | |||||||||||||||||||||||||
| (1) | Dr. Niihara, the Chairman of the Board and Chief Executive Officer of the Company, is also the Chief Executive Officer of Hope Hospice. |
| (2) | Officer. |
| (3) | Director. |
| (4) | Mr. Zen, a Director of the Company, is the sole owner of Profit Preview International Group, Ltd. |
222
Except as described in the table above, no transactions occurred in the year ended December 31, 2018, and there are no currently proposed transactions, to which Emmaus was a party and in which:
| ● | The amounts involved exceeded or will exceed $120,000; and |
| ● | A director, executive officer, holder of more than 5% of the outstanding capital stock of Emmaus, or any member of such person’s immediate family had or will have a direct or indirect material interest, other than compensation, termination and change of control arrangements that are described under the section entitled “Management Following the Merger—Executive Compensation” beginning on page 16 of this joint proxy statement/prospectus. |
DESCRIPTION OF MYND CAPITAL STOCK
The following description of MYnd’s common stock and preferred stock summarizes the material terms and provisions of MYnd’s common stock and the preferred stock that it may offer under this joint proxy statement/prospectus. For the complete terms of MYnd’s common stock and preferred stock, please refer to its certificate of incorporation and its bylaws, each as amended to date, that are incorporated by reference into the registration statement of which this joint proxy statement/prospectus is a part or may be incorporated by reference in this joint proxy statement/prospectus. The terms of these securities may also be affected by the DGCL. The summary below is qualified in its entirety by reference to MYnd’s certificate of incorporation and bylaws, as in effect at the time of any offering of securities under this joint proxy statement/prospectus.
MYnd’s authorized capital stock currently consists of: (i) 250,000,000 shares of common stock, par value $0.001 per share, and (ii) 15,000,000 shares of blank-check preferred stock, par value $0.001 per share.
As of December 31, 2018, MYnd had 7,555,004 shares of common stock issued and outstanding. In addition, 1,622,445 shares of common stock were reserved for issuance in respect of options to purchase MYnd common stock, 2,500,000 shares of common stock were reserved for issuance to Aspire Capital in connection with the Purchase Agreement, and 6,075,769 shares of common stock were reserved for issuance pursuant to issued and outstanding warrants to purchase MYnd common stock.
Dividend Rights
The holders of outstanding shares of MYnd common stock are entitled to receive dividends out of funds legally available at the times and in the amounts that the MYnd board of directors may determine, subject to any preferential dividend rights of any preferred stock then outstanding. However, to date MYnd has not paid or declared cash distributions on MYnd common stock and does not currently intend to pay cash or other dividends on MYnd common stock in the foreseeable future. MYnd intends to retain all earnings, if and when generated, to finance its operations. The declaration of cash dividends in the future will be determined by the MYnd board of directors based upon our earnings, financial condition, capital requirements and other relevant factors.
Voting Rights
Each holder of MYnd common stock is entitled to one vote for each share of common stock held on all matters submitted to a vote of stockholders.
No Preemptive or Similar Rights
Holders of MYnd common stock do not have preemptive rights, and common stock is not convertible or redeemable. The rights, preferences and privileges of holders of common stock are subject to, and may be adversely affected by, the rights of the holders of shares of any series of preferred stock that MYnd may designate and issue in the future.
223
Right to Receive Liquidation Distributions
Upon our dissolution, liquidation or winding-up, the assets legally available for distribution to MYnd stockholders are distributable ratably among the holders of MYnd common stock, subject to the preferential rights of any preferred stock then outstanding.
As of December 31, 2018, MYnd had [●] shares of Series A preferred stock issued and outstanding and [●] shares of Series A-1 preferred stock issued and outstanding.
The MYnd board of directors has the authority, without further action by MYnd Stockholders, to provide, out of the unissued shares of preferred stock, for one or more series of preferred stock and, with respect to each such series, to fix the number of shares constituting such series and the designation of such series, the voting powers, if any, of the shares of such series, and the preferences and relative, participating, optional or other special rights, if any, and any qualifications, limitations or restrictions thereof, of the shares of such series. The powers, preferences and relative, participating, optional and other special rights of each series of preferred stock, and the qualifications, limitations or restrictions thereof, if any, may differ from those of any and all other series at any time outstanding.
The MYnd board of directors may authorize the issuance of preferred stock with voting or conversion rights that could adversely affect the voting power or other rights of the holders of MYnd common stock. The purpose of authorizing the MYnd board of directors of directors to issue preferred stock and determine its rights and preferences is to eliminate delays associated with a stockholder vote on specific issuances. The issuance of preferred stock, while providing flexibility in connection with possible acquisitions and other corporate purposes, could, among other things, have the effect of delaying, deferring or preventing a change of control of our company and may adversely affect the market price of MYnd common stock and the voting and other rights of the holders of MYnd common stock. It is not possible to state the actual effect of the issuance of any shares of preferred stock on the rights of holders of common stock until the board of directors determines the specific rights attached to that preferred stock.
Warrants
As of December 31, 2018, there are outstanding warrants to purchase an aggregate of 6,075,769 shares of MYnd common stock at a weighted average exercise price of $4.53 per share.
Delaware has enacted the following legislation that may deter or frustrate takeovers of Delaware corporations, such as MYnd:
Section 203 of the Delaware General Corporation Law. Section 203 provides, with some exceptions, that a Delaware corporation may not engage in any of a broad range of business combinations with a person or affiliate, or associate of the person, who is an “interested stockholder” for a period of three years from the date that the person became an interested stockholder unless: (i) the transaction resulting in a person becoming an interested stockholder, or the business combination, is approved by the board of directors of the corporation before the person becomes an interested stockholder; (ii) the interested stockholder acquires 85% or more of the outstanding voting stock of the corporation in the same transaction that makes it an interested stockholder, excluding shares owned by persons who are both officers and directors of the corporation, and shares held by some employee stock ownership plans; or (iii) on or after the date the person becomes an interested stockholder, the business combination is approved by the corporation’s board of directors and by the holders of at least 66 2/3% of the corporation’s outstanding voting stock at an annual or special meeting, excluding shares owned by the interested stockholder. An “interested stockholder” is defined as any person that is (a) the owner of 15% or more of the outstanding voting stock of the corporation or (b) an affiliate or associate of the corporation and was the owner of 15% or more of the outstanding voting stock of the corporation at any time within the three-year period immediately prior to the date on which it is sought to be determined whether the person is an interested stockholder.
Authorized but Unissued Stock. The authorized but unissued shares of MYnd common stock are available for future issuance without shareholder approval. These additional shares may be used for a variety of corporate purposes, including future public offering to raise additional capital, corporate acquisitions and employee benefit plans. The existence of authorized but unissued shares of common stock may enable the MYnd board of directors to issue shares of stock to persons friendly to existing management, which may deter or frustrate a takeover of the company.
MYnd’s shares of common stock are currently quoted on The NASDAQ Capital Market under the symbol “MYND.”
The transfer agent and registrar for MYnd common stock is American Stock Transfer & Trust Company. The address of American Stock Transfer & Trust Company is 6201 15th Avenue, Brooklyn, New York, and the phone number is (718) 921-8200.
224
COMPARISON OF RIGHTS OF HOLDERS OF MYND STOCK AND EMMAUS STOCK
General
Both MYnd and Emmaus are incorporated under the laws of the State of Delaware and, accordingly, the rights of the stockholders of each are currently, and will continue to be, governed by the DGCL. If the Merger is completed, Emmaus stockholders will become stockholders of MYnd, and their rights will be governed by the DGCL, the amended and restated bylaws of MYnd and the certificate of incorporation of MYnd.
The summary below describes the material differences between the current rights of Emmaus stockholders under the Emmaus amended and restated certificate of incorporation and the Emmaus amended and restated bylaws and the rights of the Emmaus stockholders, post-merger, under the MYnd certificate of incorporation and MYnd bylaws, as applicable, and as in effect immediately following the Merger.
While MYnd and Emmaus believe that the summary tables cover the material differences between the rights of their respective stockholders prior to the Merger and the rights of Emmaus stockholders following the Merger, these summary tables may not contain all of the information that is important to you. These summaries are not intended to be a complete discussion of the respective rights of Emmaus and MYnd stockholders and are qualified in their entirety by reference to the DGCL and the various documents of Emmaus and MYnd that are referred to in the summaries. You should carefully read this entire joint proxy statement/prospectus and the other documents referred to in this joint proxy statement/prospectus for a more complete understanding of the differences between being a stockholder of Emmaus or MYnd before the Merger and being a stockholder of MYnd after the Merger. MYnd has filed copies of its current certificate of incorporation and bylaws with the SEC and will send copies of the documents referred to in this joint proxy statement/prospectus to you upon your request. Emmaus will also send copies of its amended and restated certificate of incorporation and amended and restated bylaws to you upon your request. See the section entitled “Where You Can Find More Information” on page 232 of this joint proxy statement/prospectus.
The summary below does not give effect to the Reverse Stock Split.
| Rights of MYnd Stockholders | Rights of Emmaus Stockholders | |||
| Authorized Capital | The authorized capital stock of MYnd consists of 250,000,000 shares of common stock, $0.001 par value per share, and 15,000,000 shares of preferred stock, $0.001 par value per share. | The authorized capital stock of Emmaus consists of 100,000,000 shares of common stock, $0.001 par value per share, and 20,000,000 shares of preferred stock, $0.001 par value per share. | ||
| Outstanding Capital Stock | As of the record date for the MYnd Special Meeting, MYnd had [●] shares of common stock issued and outstanding, and [●] shares of preferred stock issued and outstanding. | As of the record date for the Emmaus Special Meeting, Emmaus had [●] shares of common stock issued and outstanding, and no shares of preferred stock issued or outstanding. | ||
| Number of Directors | The MYnd bylaws provide for a board of directors consisting of a number of directors determined by the MYnd board of directors, but in no event may the number of directors be fewer than three. MYnd currently has seven directors. | The Emmaus bylaws provide for a board of directors consisting of a number of directors determined by the Emmaus board of directors or the Emmaus stockholders, but in no event may the number of directors be fewer than one. Emmaus currently has six directors. | ||
| Election of Directors | In accordance with the MYnd bylaws, MYnd directors are elected by the MYnd stockholders, and at each election the persons receiving the greatest number of votes, up to the number of directors then to be elected, shall be the persons then elected, provided a quorum is present. In addition, under the current MYnd Charter, stockholders do not have any cumulative voting rights. | In accordance with the Emmaus bylaws, Emmaus directors are elected by the Emmaus stockholders, and at each election the persons receiving the greatest number of votes, up to the number of directors then to be elected, shall be the persons then elected, provided a quorum is present. In addition, under the current Emmaus Charter, stockholders do not have any cumulative voting rights. |
225
| Rights of MYnd Stockholders | Rights of Emmaus Stockholders | |||
| In accordance with the MYnd bylaws, the MYnd board of directors shall serve for an indefinite term that expires at the next annual meeting of the stockholders. A director of MYnd shall hold office until a successor is elected and has qualified or until the earlier death, resignation, or removal of the director. | In accordance with the Emmaus bylaws, the Emmaus board of directors shall serve for an indefinite term that expires at the next annual meeting of the stockholders. A director of Emmaus shall hold office until a successor is elected and has qualified or until the earlier death, resignation, or removal of the director. | |||
| Removal of Directors | MYnd directors may be removed at any time, with or without cause, by the affirmative vote of the holders of a majority of MYnd shares entitled to vote at an election of directors. | Emmaus directors may be removed at any time, with or without cause, by the affirmative vote of the holders of a majority of Emmaus shares entitled to vote at an election of directors. | ||
| Vacancies on the Board |
The MYnd bylaws provide that any vacancy on the MYnd board of directors resulting from the death, resignation, removal or disqualification of a director, or any newly-created directorship, may be filled by the affirmative vote of a majority of the remaining directors, although less than a quorum, or by a sole remaining director. In addition, vacancies on the MYnd board of directors resulting from newly created directorships may be filled by the affirmative vote of a majority of the directors serving at the time such directorships are created.
Each person elected to fill a vacancy shall hold office until a qualified successor is elected by the stockholders at the next annual meeting. |
The Emmaus bylaws provide that any vacancy on the Emmaus board of directors resulting from the death, resignation, removal or disqualification of a director, or any newly-created directorship, may be filled by the affirmative vote of a majority of the remaining directors, although less than a quorum, or by a sole remaining director. In addition, vacancies on the Emmaus board of directors resulting from newly created directorships may be filled by the affirmative vote of a majority of the directors serving at the time such directorships are created.
Each person elected to fill a vacancy shall hold office until a qualified successor is elected by the stockholders at the next annual meeting. | ||
| Advance Notice Requirements for Stockholder Nominations and Other Proposals | The MYnd certificate of incorporation, as amended, and bylaws of MYnd do not provide for procedures with respect to stockholder nominations and other proposals. | The Emmaus bylaws include advance notice requirements and other procedures with respect to stockholder nominations and other proposals. | ||
| Notice of Special Meeting |
The MYnd bylaws generally provide that notice of a stockholder meeting must be given to each stockholder entitled to notice of such meeting not less than ten days nor more than 60 days before the date of the meeting.
Any notice of a meeting may be given to stockholders by means of electronic transmission in accordance with applicable law. |
The Emmaus bylaws generally provide that notice of a stockholder meeting must be given to each stockholder of record entitled to vote at such meeting not less than ten days nor more than 60 days before the date of the meeting. |
226
| Rights of MYnd Stockholders | Rights of Emmaus Stockholders | |||
| Amendments to the Charter | Under the DGCL, an amendment to the certificate of incorporation requires (1) the approval of the board of directors, (2) the approval of a majority of the outstanding stock entitled to vote upon the proposed amendment, and (3) the approval of the holders of a majority of the outstanding stock of each class entitled to vote thereon as a class. | Under the DGCL, an amendment to the certificate of incorporation requires (1) the approval of the board of directors, (2) the approval of a majority of the outstanding stock entitled to vote upon the proposed amendment, and, (3) the approval of the holders of a majority of the outstanding stock of each class entitled to vote thereon as a class. | ||
| Amendments to Bylaws | The MYnd charter provides that the MYnd bylaws may be amended or repealed by the MYnd board of directors subject to the power of the stockholders of MYnd entitled to vote with respect thereto to make, alter, amend or repeal the bylaws. The affirmative vote of the holders of a majority of the voting power of the outstanding MYnd Shares entitled to vote with respect thereto, voting together as a single class, is required to make, alter, amend or repeal the MYnd bylaws. | The Emmaus bylaws may be amended or repealed by the Emmaus board of directors, subject to the power of the stockholders of Emmaus entitled to vote with respect thereto to make, alter, amend or repeal the bylaws. | ||
| Special Meeting of Stockholders | The MYnd bylaws provide that special stockholder meetings may be called only by or at the direction of the MYnd board of directors. | The Emmaus bylaws provide that special stockholder meetings may be called only by or at the direction of the Emmaus board of directors. | ||
| Stockholder Action by Written Consent | The MYnd bylaws provide that any action required or permitted to be taken by the MYnd stockholders may be effected by any consent in writing by the stockholders having not less than the minimum number of votes that would be necessary to authorize or take such action at a meeting. | The Emmaus bylaws provide that any action required or permitted to be taken by the Emmaus stockholders may be effected by any consent in writing by the stockholders having not less than the minimum number of votes that would be necessary to authorize or take such action at a meeting. | ||
| Delaware Forum Selection Bylaw | The MYnd bylaws do not include a so-called forum-selection provision | The Emmaus bylaws provide that, unless Emmaus consents in writing to an alternative forum, the Court of Chancery of the State of Delaware will be the sole and exclusive forum for (i) any derivative action or proceeding brought on Emmaus’ behalf, (ii) any action asserting a claim of breach of a fiduciary duty owed by any director, officer or other employee to Emmaus or its stockholders, (iii) any action asserting a claim arising pursuant to any provision of the Delaware General Corporation Law, or (iv) any action asserting a claim that is governed by the internal affairs doctrine. |
227
PRINCIPAL STOCKHOLDERS OF MYND
The following table sets forth information regarding beneficial and other ownership of the shares of our common stock as of May 24, 2019.
Each person whom we know to be the beneficial owner of 5% or more of our outstanding common stock;
Each of our executive officers;
Each of our current directors; and
All of our executive officers and directors as a group.
Applicable percentage ownership interest as of May 24, 2019 is based on 9,923,525 shares of issued and outstanding common stock.
Unless otherwise indicated in the table, the persons and entities named in the table have sole voting and sole investment power with respect to the shares set forth opposite the stockholder’s name, subject to community property laws, where applicable. Beneficial ownership is determined in accordance with Rule 13d-3 under the Securities Exchange Act of 1934, as amended. For purposes of such calculation, shares of our Common Stock subject to options, warrants and convertible promissory notes issued by us (and convertible interest on those notes) that are currently exercisable or convertible, or exercisable or convertible within sixty days from May 24, 2019, are deemed to be outstanding and to be beneficially owned by the person holding the options, warrants or convertible promissory notes, as applicable, for the purpose of computing the percentage ownership of that person, but are not treated as outstanding for the purpose of computing the percentage ownership of any other person. Unless otherwise indicated, the address of each of the executive officers and directors and 5% or more stockholders named below is c/o MYnd Analytics, Inc., 26522 La Alameda, Suite 290, Mission Viejo, CA 92691. There are no shares of any other class or series of stock issued and outstanding.
| Shares Beneficially Owned | ||||||||
Name of Beneficial Owner Executive Officers and Directors: | Number of Shares Beneficially Owned | Percentage of Shares Outstanding | ||||||
Patrick Herguth (1) Chief Executive Officer and Director | 50,000 | * | ||||||
George Carpenter (2) President and Chief Innovation Officer | 238,766 | 2.37 | % | |||||
Don D’Ambrosio (3) Chief Financial Officer | 54,501 | * | ||||||
Robin L. Smith (4) Chairman of the board of directors | 713,828 | 6.85 | % | |||||
John Pappajohn (5) Director | 2,281,392 | 20.59 | % | |||||
Michal Votruba (6) Director | 0 | 0 | % | |||||
Geoffrey E. Harris (7) Director | 134,668 | 1.35 | % | |||||
Peter Unanue (8) Director | 296,254 | 2.93 | % | |||||
| Directors and officers as a group (8 persons) (9) | ||||||||
| Non-Director 5%+ Stockholders: | 3,769,409 | 35.14 | % | |||||
| RSJ (10) | 1,964,448 | 18.14 | % | |||||
| * | Represents beneficial ownership of less than one percent (1%) of the outstanding shares of our MYnd common stock. |
| (1) | Consists of (a) 50,000 shares of MYnd common stock issuable upon the exercise of vested and exercisable options. Patrick Herguth has been our Chief Executive Officer since December 12, 2018. |
228
| (2) | Consists of (a) 98,806 shares of MYnd common stock, (b) 106,133 shares of MYnd common stock issuable upon the exercise of vested and exercisable options and (c) 33,827 shares of warrants. Mr. Carpenter has been our President since April 29, 2011 and our Chief Innovation Officer since December 12, 2018. |
| (3) | Consists of (a) 7,500 shares of MYnd common stock, and (b) 47,001 shares of MYnd common stock issuable upon the exercise of vested and exercisable options. Mr. D’Ambrosio has been our Chief Financial Officer since March 31, 2017. |
| (4) | Consists of (a) 211,539 shares of MYnd common stock and (b) 403,250 shares of MYnd common stock issuable upon the exercise of vested and exercisable options and (c) 99,039 shares of MYnd common stock issuable upon the exercise of warrants. Dr. Smith has been the Chairman of the Board since August 20, 2015. |
| (5) | Consists of (a) 1,125,425 shares of Common Stock and (b) 14,542 shares of Common Stock issuable upon the exercise of vested and exercisable options and (c) 641,425 shares of Common Stock issuable upon the exercise of common stock purchase warrants and (d) 500,000 shares of Common Stock issuable upon conversion of 500,000 shares of Series A Preferred Stock (250,000 of which are owned by Mr. Pappajohn’s spouse, with respect to which Mr. Pappajohn disclaims beneficial ownership). Does not include: (i) up to 500,000 shares of Common Stock issuable upon the conversion of Series A-1 Preferred Stock owned by Mr. Pappajohn and his spouse (over which Mr. Pappajohn disclaims beneficial ownership of his spouse’s Series A-1 Preferred Stock) and which are not convertible into Common Stock by virtue of the Beneficial Ownership Limitation described below in (ii); or (ii) shares issuable upon the exercise of warrants to purchase Common Stock that are not exercisable to the extent that after giving effect to such exercise the holder would beneficially own, for purposes of Section 13(d) of the Exchange Act more than 19.99% of the outstanding shares of Common Stock of the Company (the “Beneficial Ownership Limitation”) as provided in the applicable warrant to purchase shares of Common Stock or Certificate of Designation, as applicable. |
| (6) | Mr. Votruba is a representative of RSJ; refer to footnote (9) below, as all of his granted shares and options to purchase Common Shares are assigned to RSJ. Mr. Votruba has been a member of the Board since July 30, 2015. Mr. Votruba has agreed to assign to RSJ the benefit of all options and restricted shares granted to him in connection with his service as a member of the board of directors. |
| (7) | Consists of (a) 85,860 shares of MYnd common stock and (b) 19,250 shares of MYnd common stock issuable upon the exercise of vested and exercisable options and (c) 29,558 shares of MYnd common stock issuable upon the exercise of warrants. Mr. Harris has been a member of the board since July 30, 2015. |
| (8) | Consists of (a) 119,127 shares of MYnd common stock and (b) 50,000 shares of MYnd preferred stock (c) 12,000 shares of MYnd common stock issuable upon the exercise of vested and exercisable options and (d) 115,127 shares of MYnd common stock issuable upon the exercise of warrants. Mr. Unanue has been a member of the Board since September 19, 2017. |
| (9) | Consists of (a) 1,648,257 shares of MYnd common stock and (b) 550,000 shares of Series A MYnd preferred stock (c) 652,176 shares of MYnd common stock issuable upon the exercise of vested and exercisable options, and (d) 918,976 shares of MYnd common stock issuable upon the exercise of warrants. Totals for Directors and Officers do not include warrants granted to three directors and one officer in connection with a private placement transaction on September 21,2018. The Warrants will be exercisable for a period of five years commencing six months from the initial closing date of the private placement at an exercise price of $2.00 per share. The exercise price is subject to adjustment for stock splits, stock dividends, combinations or similar events. The Warrants may not be exercised on a cashless basis. |
| (10) | Consists of 1,056,474 shares of MYnd common stock, and (b) 13,250 shares of MYnd common stock issuable upon the exercise of vested and exercisable options and (c) 894,724 shares of MYnd common stock issuable upon the exercise of warrants. The address of RSJ is Na Florenci 2116/15, 110 00 Prague 1, Czech Republic. |
229
PRINCIPAL STOCKHOLDERS OF EMMAUS1
The table below sets forth as of April 30, 2019 information with respect to beneficial ownership of Emmaus common stock based owned by:
| ● | Each Emmaus director; | |
| ● | Each Emmaus named executive officer; | |
| ● | Each person known to Emmaus to be the beneficial owner of 5% or more of the outstanding shares of Emmaus common stock; and | |
| ● | All of Emmaus directors and executive officers as a group. |
Beneficial ownership is determined in accordance with the rules of the SEC. In computing the number of shares beneficially owned by a person and the percentage of ownership of that person, shares of common stock subject to options, warrants and convertible promissory notes held by that person that are currently exercisable or become exercisable within 60 days of April 30, 2019 are deemed outstanding even if they have not actually been exercised. Those shares, however, are not deemed outstanding for the purpose of computing the percentage ownership of any other person.
Unless otherwise indicated, the persons and entities named in the table have sole voting and sole investment power with respect to the shares set forth opposite the stockholder’s name, subject to community property laws, where applicable. Unless otherwise indicated in the table or footnotes, the address of each 5% beneficial holder listed is c/o Emmaus Life Sciences, Inc., 21250 Hawthorne Boulevard, Suite 800, Torrance, California 90503. An asterisk (*) denotes beneficial ownership of less than 1%.
| Name of Beneficial Owner | Position | Amount and Nature of Beneficial Ownership of Shares of Common Stock | Percent (1) | |||||||
| Directors and Executive Officers: | ||||||||||
| Yutaka Niihara, M.D., M.P.H. | Chairman and Chief Executive Officer | 12,123,587 | (2) | 31.6 | % | |||||
| Willis C. Lee | Vice-Chairman and Chief Operating Officer | 1,299,057 | (3) | 3.5 | % | |||||
| Kurt H. Kruger(4) | Chief Financial Officer | * | ||||||||
| Yasushi Nagasaki | Senior Vice President, Finance | 1,113,616 | (5) | 3.0 | % | |||||
| Lan T. Tran, M.P.H. | President and Chief Administrative Officer | 1,075,294 | (6) | 2.9 | % | |||||
| Masaharu Osato, M.D. | Director | 696,950 | (7) | 1.9 | % | |||||
| Wei Peu Zen | Director | 1,575,650 | (8) | 4.2 | % | |||||
| Ian Zwicker | Director | 203,334 | * | |||||||
| Robert Dickey IV | Director | — | — | |||||||
| All Directors and Executive Officers as a Group (9 persons) | 18,087,488 | (9) | 41.5 | % | ||||||
| 5% Owners: | ||||||||||
| Telcon RF Pharmaceutical Inc. | 3,949,445 | (10) | 11.0 | % | ||||||
| Daniel R. and Yuka I. Kimbell | 2,434,028 | (11) | 6.8 | % | ||||||
| * | Represents beneficial ownership of less than one percent (1%) of the outstanding shares of our Emmaus common stock. |
| (1) | Based on 36,000,894 shares of common stock issued and outstanding as of April 30, 2019. |
230
| (2) | Includes 9,593,260 shares of common that are held jointly by Dr. Niihara and Soomi Niihara, his wife. Also includes 44,229 shares for which Dr. Niihara is custodian and over which he has sole voting and investment control and 55,556 shares owned by Hope Hospice International, Inc., or Hope Hospice. Dr. Niihara is the chief executive officer and a co-director of Hope Hospice and shares voting and investment power over such shares. Also includes 1,050,000 shares underlying stock options, 1,300,000 shares underlying warrants and 60,542 shares underlying convertible promissory notes. |
| (3) | Includes 1,050,000 shares underlying stock options. |
| (4) | Effective June 3, 2019, Mr. Sherwood succeeded Mr. Kruger as Chief Financial Officer. |
| (5) | Includes 1,050,000 shares underlying stock options and 63,616 shares underlying convertible promissory notes. |
| (6) | Includes 1,050,000 shares underlying stock options. |
| (7) | Includes 491,506 shares held by Osato Medical Clinic and its pension plan. |
| (8) | Consists of shares underlying convertible promissory notes. Excludes 100,000 shares held by Smart Start Investments Limited, a Hong Kong corporation, of which the Mr. Zen is a director and 9.96% shareholder, and 531,302 shares underlying a convertible promissory note held by Wealth Threshold Limited, a Hong Kong limited company, of which the Mr. Zen is a director and 24.7% shareholder, as to which shares Mr. Zen disclaims beneficial ownership. |
| (9) | Includes 4,606,668 shares underlying stock options, 1,300,000 shares underlying warrants and 1,699,808 shares underlying convertible promissory notes. |
| (10) | The information regarding Telcon RF Pharmaceutical Inc. (formerly Telcon, Inc.) is based solely on a Schedule 13D filed by Telcon, Inc. with the SEC on May 9, 2018. The address for the stockholder is S-Tower 14th Floor 439 Bongunsa-ro, Gangnam-gu, Seoul, South Korea. |
| (11) | Includes 44,229 shares of common stock held by the stockholders as custodians and over which they have sole voting and investment control. The address for these stockholders is 16 N. Marengo Street, Suite 307, Pasadena, CA 91101. |
231
Dentons US LLP will pass upon the validity of the MYnd common stock offered by this joint proxy statement/prospectus. The material U.S. federal income tax consequences of the Merger will be passed upon for MYnd by Dentons US LLP.
MYnd
The financial statements of MYnd Analytics, Inc. for the years ended September 30, 2018 and 2017 included in this joint proxy statement/prospectus have been audited by Marcum, LLP, independent registered public accounting firm, as set forth in their report appearing elsewhere herein, and are included in reliance upon such report given on the authority of such firm as experts in accounting and auditing.
Emmaus
The financial statements of Emmaus Life Sciences, Inc. for the years ended December 31, 2018 and 2017 included in this joint proxy statement/prospectus have been audited by SingerLewak LLP, independent registered public accounting firm, as set forth in their report appearing elsewhere herein, and are included in reliance upon such report given on the authority of such firm as experts in accounting and auditing.
WHERE YOU CAN FIND MORE INFORMATION
MYnd and Emmaus each file annual, quarterly and special reports, proxy statements and other information are with the SEC. You may read and copy any reports, statements or other information that MYnd or Emmaus files at the SEC public reference room in at 100 F Street, N.E., Washington, D.C. 20549. Please call the SEC at 1-800-SEC-0330 for further information on the public reference rooms. MYnd SEC filings are also available to the public from commercial document retrieval services and on the website maintained by the SEC at http://www.sec.gov. Reports, proxy statements and other information concerning MYnd also may be inspected at the offices of the National Association of Securities Dealers, Inc., Listing Section, 1735 K Street, Washington, D.C. 20006.
As of the date of this joint proxy statement/prospectus, MYnd has filed a registration statement on Form S-4 to register with the SEC the MYnd common stock that MYnd will issue to Emmaus stockholders in the Merger. This joint proxy statement/prospectus is a part of that registration statement and constitutes a prospectus of MYnd, as well as a proxy statement of MYnd for its special meeting and a proxy statement of Emmaus for the purpose of the special meeting.
MYnd has supplied all information contained in this joint proxy statement/prospectus relating to MYnd and its subsidiaries Emmaus has supplied all information contained in this joint proxy statement/prospectus relating to Emmaus and its subsidiaries.
If you would like to request documents from MYnd or Emmaus, please send a request in writing or by telephone to either MYnd of Emmaus at the following addresses:
| MYnd Analytics, Inc. | Emmaus Life Sciences, Inc. |
| 26522 La Alameda, Suite 290 | 21250 Hawthorne Boulevard, Suite 800 |
| Mission Viejo, CA 92691 | Torrance, California 90503 |
| (949) 420-4400 | (310) 214-0065 |
232
If you are a MYnd stockholder and would like additional copies, without charge, of this joint proxy statement/prospectus or if you have questions about the Merger, including the procedures for voting your shares, you should contact MYnd’s proxy solicitor:
Alliance Advisors LLC
200 Broadacres Drive, 3rd Floor
Bloomfield, NJ 07003
Call Toll-Free: (844) 858-7387
If you are an Emmaus stockholder and would like additional copies, without charge, of this joint proxy statement/prospectus or if you have questions about the Merger, including the procedures for voting your shares, you should contact Emmaus’ information agent, Broadridge Corporate Issuer Solutions, Inc.:
Toll-Free: (855) 600-2571
Email: shareholder@broadridge.com
Section 16(a) Beneficial Ownership Reporting Compliance
Section 16(a) of the Exchange Act requires MYnd’s officers and directors, and persons who own more than ten percent of a registered class of MYnd’s equity securities, to file reports of ownership and changes in ownership with the SEC. Such officers, directors and ten-percent stockholders are also required by SEC rules to furnish MYnd with copies of all forms that they file pursuant to Section 16(a). Based on MYnd’s review of the copies of such forms received by it and written representations from certain reporting persons, MYnd believes that during fiscal 2018, its executive officers, directors and ten-percent stockholders complied with all other applicable filing requirements.
MYnd Future Stockholder Proposals
Pursuant to Rule 14a-8 under the Exchange Act, or Rule 14a-8, in order for a stockholder proposal to be considered for inclusion in MYnd’s proxy statement and form of proxy for the 2019 Annual Meeting of Stockholders, or the 2019 Annual Meeting, the stockholder proposal must have been received at MYnd’s principal executive offices no later than the close of business on October 17, 2019, and must otherwise comply with the requirements of Rule 14a-8 regarding the inclusion of stockholder proposals in company-sponsored proxy materials.
If a stockholder wishes to present a proposal for consideration at the 2019 Annual Meeting other than through inclusion in MYnd’s proxy statement and form of proxy in accordance with the requirements of Rule 14a-8, MYnd must receive notice of such stockholder proposal at MYnd’s principal executive offices by January 16, 2019, or such notice will be considered untimely under Rule 14a-4(c)(1) of the Exchange Act, and MYnd’s management will be able to vote proxies at its discretion with respect to such stockholder proposal.
The deadlines described above are calculated by reference to the date that proxy materials for MYnd’s 2018 Annual Meeting were first distributed to stockholders. If MYnd decides to hold its 2019 Annual Meeting more than 30 days before or after April 4, 2019 (the one-year anniversary date of the 2018 Annual Meeting), then the deadlines shall instead be a reasonable time before MYnd begins to print and mail the proxy materials for the 2019 Annual Meeting. Upon determination by MYnd that the date of the 2019 Annual Meeting will be advanced or delayed by more than 30 days from April 4, 2019, MYnd will, in a timely manner, inform stockholders of such change and disclose the new deadline by which stockholder proposals must be received in Item 5 of Part II of MYnd’s earliest possible Quarterly Report on Form 10-Q or in a current report on Form 8-K, or if impracticable, by any means reasonably determined to inform stockholders.
Such nominations or proposals must be submitted to Claire C. Ambrosio, General Counsel and Secretary, MYnd Analytics, Inc., at 26522 La Alameda, Suite 290, Mission Viejo, CA 92691. To avoid disputes as to the date of receipt, it is suggested that any stockholder proposal be submitted by certified mail, return receipt requested.
233
Emmaus Future Stockholder Proposals
Stockholders who wish to include a proposal in Emmaus’ Proxy Statement and form of proxy relating to its 2019 Annual Meeting of Stockholders pursuant to Rule 14a-8 must deliver to Emmaus a written copy of their proposal no later than April 25, 2019 (the date that is 120 calendar days before the anniversary of the date Emmaus’ Proxy Statement for its 2018 Annual Meeting of Stockholders was released to stockholders). If the date of the 2019 Annual Meeting is changed by more than 30 days from September 27, 2018 (the date of the 2018 Annual Meeting of Stockholders), then the deadline will be a reasonable time before Emmaus begins to print and mail proxy materials. Proposals must comply with the proxy rules relating to stockholder proposals, in particular Rule 14a-8, in order to be included in Emmaus’ proxy materials.
Notice of any proposal that a stockholder intends to present at the Emmaus 2019 Annual Meeting, but does not intend to have included in the Proxy Statement and form of proxy relating to the 2019 Annual Meeting, as well as any director nominations, must be delivered to, or mailed and received at, Emmaus not earlier than the close of business on May 30, 2019 and not later than the close of business on June 29, 2019. In addition, the notice must set forth the information required by Emmaus’ bylaws with respect to each director nomination or other proposal that the stockholder intends to present at the 2019 Annual Meeting of Stockholders.
If the date of the 2019 Annual Meeting is more than 30 days before or more than 60 days after the anniversary date of our 2018 Annual Meeting, notice by the stockholder of any such proposal or nomination to be timely must be so delivered, or mailed and received, not later than the 90th day prior to the 2019 Annual Meeting or, if later, the 10th day following the day on which public disclosure of the date of such Annual Meeting was first made.
If a stockholder would like to nominate someone to stand for election to Emmaus’ board of directors at the 2019 Annual Meeting or submit a proposal for consideration at such meeting, please review Emmaus’ advance-notice bylaw, which is available online as Exhibit 3.1 to the Current Report on Form 8-K that Emmaus filed with the SEC on March 6, 2013.
Proposals should be delivered to Emmaus Life Sciences, Inc. To avoid controversy and establish timely receipt, it is suggested that stockholders send their proposals by certified mail, return receipt requested.
Stockholder Communications with the MYnd Board of Directors
MYnd Stockholders may communicate with the MYnd board of directors, or an individual director, by sending written correspondence to MYnd’s General Counsel and Secretary, MYnd Analytics, Inc., at 26522 La Alameda, Suite 290, Mission Viejo, CA 92691. The General Counsel will review such correspondence and forward it to the MYnd board of directors, or an individual director, as appropriate.
Stockholder Communications with the Emmaus Board of Directors
If any stockholder wishes to contact the Emmaus board of directors, or any individual director, the stockholder must submit the inquiry in writing to: Emmaus Life Sciences, Inc., 21250 Hawthorne Blvd., Suite 800, Torrance, California 90503, Attention: Corporate Secretary, and specify whether the communication is directed to the entire board or to a particular director. Submitting stockholders should indicate they are a stockholder of Emmaus. Emmaus personnel will screen stockholder letters and, depending on the subject matter, will: forward the inquiry to the Chairman of the board of directors, who may forward the inquiry to a particular director if the inquiry is directed to a particular director; forward the inquiry to the appropriate personnel within Emmaus (for instance, if it is primarily commercial in nature); attempt to handle the inquiry directly (for instance, if it is a request for information about Emmaus or a stock-related matter); or not forward the inquiry, if it relates to an improper or inappropriate topic or is otherwise irrelevant.
234
MYND ANALYTICS, INC.
INDEX TO MYND CONSOLIDATED FINANCIAL STATEMENTS
F-1
REPORT OF INDEPENDENT REGISTERED PUBLIC ACCOUNTING FIRM
To the Stockholders and Board of Directors of
MYnd Analytics, Inc.
Opinion on the Financial Statements
We have audited the accompanying consolidated balance sheets of MYnd Analytics, Inc. (the “Company”) as of September 30, 2018 and 2017, the related consolidated statements of operations, equity and cash flows for each of the two years in the period ended September 30, 2018, and the related notes (collectively referred to as the “financial statements”). In our opinion, the financial statements present fairly, in all material respects, the financial position of the Company as of September 30, 2018 and 2017 and the results of its operations and its cash flows for each of the two years in the period ended September 30, 2018, in conformity with accounting principles generally accepted in the United States of America.
Explanatory Paragraph - Going Concern
The accompanying financial statements have been prepared assuming that the Company will continue as a going concern. As more fully described in Note 1, the Company has incurred significant losses and negative cash flows from operations and needs to raise additional funds to meet its obligations and sustain its operations. These conditions raise substantial doubt about the Company’s ability to continue as a going concern. Management’s plans in regard to these matters are also described in Note 1. The financial statements do not include any adjustments that might result from the outcome of this uncertainty.
Basis for Opinion
These financial statements are the responsibility of the Company’s management. Our responsibility is to express an opinion on the Company’s financial statements based on our audits. We are a public accounting firm registered with the Public Company Accounting Oversight Board (United States) (“PCAOB”) and are required to be independent with respect to the Company in accordance with the U.S. federal securities laws and the applicable rules and regulations of the Securities and Exchange Commission and the PCAOB.
We conducted our audits in accordance with the standards of the PCAOB. Those standards require that we plan and perform the audits to obtain reasonable assurance about whether the financial statements are free of material misstatement, whether due to error or fraud. The Company is not required to have, nor were we engaged to perform, an audit of its internal control over financial reporting. As part of our audits we are required to obtain an understanding of internal control over financial reporting but not for the purpose of expressing an opinion on the effectiveness of the Company’s internal control over financial reporting. Accordingly, we express no such opinion.
Our audits included performing procedures to assess the risks of material misstatement of the financial statements, whether due to error or fraud, and performing procedures that respond to those risks. Such procedures included examining, on a test basis, evidence regarding the amounts and disclosures in the financial statements. Our audits also included evaluating the accounting principles used and significant estimates made by management, as well as evaluating the overall presentation of the financial statements. We believe that our audits provide a reasonable basis for our opinion.
/s/ Marcum LLP
Marcum LLP
We have served as the Company’s auditor since 2017.
Costa Mesa, CA
December 11, 2018
F-2
CONSOLIDATED BALANCE SHEETS
| September 30, | ||||||||
| 2018 | 2017 | |||||||
| ASSETS | ||||||||
| CURRENT ASSETS: | ||||||||
| Cash and cash equivalents | $ | 3,254,700 | $ | 5,449,000 | ||||
| Accounts receivable, net | 63,300 | 6,500 | ||||||
| Prepaid insurance | 57,900 | 57,200 | ||||||
| Note receivable - related party | — | 159,500 | ||||||
| Prepaid expenses and other current assets | 134,700 | 22,000 | ||||||
| Total current assets | 3,510,600 | 5,694,200 | ||||||
| Property and equipment, net | 110,800 | 120,700 | ||||||
| Intangible assets, net | 116,500 | 60,200 | ||||||
| Investment in Arcadian | — | 195,900 | ||||||
| Goodwill | 1,386,800 | — | ||||||
| Other assets | 27,100 | 25,100 | ||||||
| TOTAL ASSETS | $ | 5,151,800 | $ | 6,096,100 | ||||
| LIABILITIES AND STOCKHOLDERS’ EQUITY: | ||||||||
| CURRENT LIABILITIES: | ||||||||
| Accounts payable (including $30,350 and $36,200 to related parties as of September 30, 2018, and 2017, respectively) | $ | 346,900 | $ | 736,900 | ||||
| Accrued liabilities | 268,900 | 55,200 | ||||||
| Accrued compensation | 175,400 | 466,000 | ||||||
| Accrued compensation – related parties | 209,300 | 204,600 | ||||||
| Accrued interest and other | 3,900 | 3,900 | ||||||
| Deferred revenue | 159,700 | 45,900 | ||||||
| Current portion of note payable | — | 31,500 | ||||||
| Current portion of capital lease | 1,300 | 1,300 | ||||||
| Total current liabilities | 1,165,400 | 1,545,300 | ||||||
| LONG-TERM LIABILITIES | ||||||||
| Long-term borrowing, net | 587,700 | — | ||||||
| Accrued interest on long-term borrowing | 110,100 | — | ||||||
| Long term portion of capital lease | 2,100 | 3,400 | ||||||
| Total long-term liabilities | 699,900 | 3,400 | ||||||
| TOTAL LIABILITIES | 1,865,300 | 1,548,700 | ||||||
| STOCKHOLDERS’ EQUITY: | ||||||||
| Preferred stock, $0.001 par value; 15,000,000 authorized; 1,500,000 shares of Series A Preferred Stock and 500,000 shares of Series A-1 authorized; 550,000 shares of Series A Preferred Stock and 500,000 shares of Series A-1 issued and outstanding as of September 30, 2018; No shares of Preferred stock issued and outstanding as of September 30, 2017; aggregate liquidation preference of $1,968,750 as of September 30, 2018 | 1,100 | — | ||||||
| Common stock, $0.001 par value; 250,000,000 shares and 500,000,000 shares authorized as of September 30, 2018 and September 30, 2017 respectively, 7,407,254 and 4,299,311 shares issued and outstanding as of September 30, 2018 and September 30, 2017, respectively; | 7,400 | 4,300 | ||||||
| Additional paid-in capital | 89,257,700 | 80,189,700 | ||||||
| Accumulated deficit | (85,245,300 | ) | (75,646,600 | ) | ||||
| Total controlling interests | 4,020,900 | 4,547,400 | ||||||
| Non-controlling interest | (734,400 | ) | — | |||||
| Total stockholders’ equity | $ | 3,286,500 | $ | 4,547,400 | ||||
| TOTAL LIABILITIES AND STOCKHOLDERS’ EQUITY | $ | 5,151,800 | $ | 6,096,100 | ||||
See Accompanying Notes to the Consolidated Financial Statements
F-3
CONSOLIDATED STATEMENTS OF OPERATIONS
| For the years ended September 30 | ||||||||
| 2018 | 2017 | |||||||
| REVENUES | ||||||||
| Neurometric services | $ | 263,700 | $ | 128,500 | ||||
| Telepsychiatry services | 1,051,800 | — | ||||||
| Total revenues | 1,315,500 | 128,500 | ||||||
| Cost of revenue: | ||||||||
| Neurometric services | 131,200 | 53,500 | ||||||
| Telepsychiatry services | 696,200 | — | ||||||
| 827,400 | 53,500 | |||||||
| Gross Margin | 488,100 | 75,000 | ||||||
| OPERATING EXPENSES | ||||||||
| Research | 231,500 | 123,900 | ||||||
| Product development | 1,146,000 | 1,237,200 | ||||||
| Sales and marketing | 1,617,900 | 1,226,700 | ||||||
| General and administrative | 7,737,600 | 4,590,800 | ||||||
| Total operating expenses | 10,733,000 | 7,178,600 | ||||||
| OPERATING LOSS | (10,244,900 | ) | (7,103,600 | ) | ||||
| OTHER INCOME (EXPENSE): | ||||||||
| Interest expense, net | (86,300 | ) | (6,600 | ) | ||||
| Total other income (expense) | (86,300 | ) | (6,600 | ) | ||||
| LOSS BEFORE PROVISION FOR INCOME TAXES | (10,331,200 | ) | (7,110,200 | ) | ||||
| Provision for income taxes | 1,900 | 2,600 | ||||||
| NET LOSS | $ | (10,333,100 | ) | $ | (7,112,800 | ) | ||
| Net loss attributable to non-controlling interest | (734,400 | ) | — | |||||
| Net Loss attributable to MYnd Analytics, Inc. | (9,598,700 | ) | (7,112,800 | ) | ||||
| BASIC AND DILUTED LOSS PER SHARE | $ | (1.86 | ) | $ | (2.52 | ) | ||
| WEIGHTED AVERAGE SHARES OUTSTANDING: | ||||||||
| Basic and Diluted | 5,199,566 | 2,817,415 | ||||||
See Accompanying Notes to the Consolidated Financial Statements
F-4
CONSOLIDATED STATEMENTS OF CHANGES IN EQUITY
| Sub-total | ||||||||||||||||||||||||||||||||||||
| Common Stock | Preferred Stock | Additional Paid-in | Accumulated | MYnd Stockholders’ | Non- controlling | Total | ||||||||||||||||||||||||||||||
| Shares | Amount | Shares | Amount | Capital | Deficit | Equity | Interest | Equity | ||||||||||||||||||||||||||||
| Balance at September 30, 2016 | 1,941,061 | $ | 1,900 | — | $ | — | $ | 67,467,400 | $ | (68,533,800 | ) | $ | (1,064,500 | ) | $ | — | $ | (1,064,500 | ) | |||||||||||||||||
| Stock-based compensation | — | — | — | — | 2,086,000 | — | 2,086,000 | — | 2,086,000 | |||||||||||||||||||||||||||
| Stock issued for private placement of shares | 477,000 | 500 | — | — | 2,980,800 | — | 2,981,300 | — | 2,981,300 | |||||||||||||||||||||||||||
| Stock issued for purchase agreement to Aspire Capital | 20,000 | — | — | — | 145,000 | — | 145,000 | — | 145,000 | |||||||||||||||||||||||||||
| Commitment shares issued to Aspire Capital | 80,000 | 100 | — | — | (100 | ) | — | — | — | — | ||||||||||||||||||||||||||
| Stock issued to vendor for services | 26,250 | — | — | — | 173,000 | — | 173,000 | — | 173,000 | |||||||||||||||||||||||||||
| Restricted stock compensation | 79,000 | 100 | — | — | (100 | ) | — | — | — | — | ||||||||||||||||||||||||||
| Common stock issued to Arcadian | 1,000 | — | — | — | 5,900 | — | 5,900 | — | 5,900 | |||||||||||||||||||||||||||
| Common stock - public Offering | 1,675,000 | 1,700 | — | — | 7,480,400 | — | 7,482,100 | — | 7,482,100 | |||||||||||||||||||||||||||
| Offering costs - legal fees Arcadian | — | — | — | (148,600 | ) | — | (148,600 | ) | — | (148,600 | ) | |||||||||||||||||||||||||
| Net loss | — | — | — | (7,112,800 | ) | (7,112,800 | ) | — | (7,112,800 | ) | ||||||||||||||||||||||||||
| Balance at September 30, 2017 | 4,299,311 | $ | 4,300 | — | $ | — | $ | 80,189,700 | $ | (75,646,600 | ) | $ | 4,547,400 | $ | — | $ | 4,547,400 | |||||||||||||||||||
| Stock-based compensation | — | — | — | — | 1,588,300 | — | 1,588,300 | — | 1,588,300 | |||||||||||||||||||||||||||
| Proceeds from issuance of preferred stock | — | — | 1,050,000 | 1,100 | 2,036,000 | — | 2,037,100 | — | 2,037,100 | |||||||||||||||||||||||||||
| Stock issued to Aspire Capital | 2,314,671 | 2,310 | — | — | 4,257,900 | — | 4,260,210 | — | 4,260,210 | |||||||||||||||||||||||||||
| Issuance of common stock | 183,814 | 175 | — | — | 80,300 | — | 80,475 | — | 80,475 | |||||||||||||||||||||||||||
| Stock issued for private placement of shares | 459,458 | 460 | — | — | 849,500 | — | 849,960 | — | 849,960 | |||||||||||||||||||||||||||
| Stock issued to vendor for services | 115,000 | 120 | — | — | 201,800 | — | 201,920 | — | 201,920 | |||||||||||||||||||||||||||
| Proceeds from option exercise | 35,000 | 35 | — | — | 54,200 | — | 54,235 | — | 54,235 | |||||||||||||||||||||||||||
| Net loss | (9,598,700 | ) | (9,598,700 | ) | (734,400 | ) | (10,333,100 | ) | ||||||||||||||||||||||||||||
| Balance at September 30, 2018 | 7,407,254 | $ | 7,400 | 1,050,000 | $ | 1,100 | $ | 89,257,700 | $ | (85,245,300 | ) | $ | 4,020,900 | $ | (734,400 | ) | $ | 3,286,500 | ||||||||||||||||||
See Accompanying Notes to the Consolidated Financial Statements
F-5
CONSOLIDATED STATEMENTS OF CASH FLOWS
| For the years ended September 30 | ||||||||
| 2018 | 2017 | |||||||
| OPERATING ACTIVITIES: | ||||||||
| Net loss | $ | (10,333,100 | ) | $ | (7,112,800 | ) | ||
| Adjustments to reconcile net loss to net cash used in operating activities: | ||||||||
| Depreciation and amortization | 117,900 | 48,700 | ||||||
| Change in provision for doubtful accounts | 800 | — | ||||||
| Stock based compensation | 1,588,300 | 2,086,000 | ||||||
| Non-cash common stock issued to vendors for services | 201,920 | 173,000 | ||||||
| Accretion of debt discount and non-cash interest expense | 82,300 | — | ||||||
| Changes in operating assets and liabilities: | ||||||||
| Accounts receivable | (500 | ) | (1,400 | ) | ||||
| Prepaid expenses and other assets | (91,500 | ) | (12,100 | ) | ||||
| Accounts payable and accrued liabilities | (432,700 | ) | 301,500 | |||||
| Deferred revenue | 113,800 | — | ||||||
| Deferred compensation | (285,900 | ) | (275,000 | ) | ||||
| Net cash used in operating activities | (9,038,680 | ) | (4,792,100 | ) | ||||
| INVESTING ACTIVITIES: | ||||||||
| Purchase of property and equipment | (55,200 | ) | (127,900 | ) | ||||
| Investment in Arcadian | — | (190,000 | ) | |||||
| Payment for acquisition of business, net of cash acquired | (306,600 | ) | — | |||||
| Loan Advance – Plotkin | — | (159,500 | ) | |||||
| Purchase of intangible assets | — | (2,100 | ) | |||||
| Net cash used in investing activities | (361,800 | ) | (479,500 | ) | ||||
| FINANCING ACTIVITIES: | ||||||||
| Principal payments on capital lease | (2,600 | ) | (1,200 | ) | ||||
| Principal payments on long-term debt | (37,000 | ) | — | |||||
| Principal payments on note payable | (36,200 | ) | (56,200 | ) | ||||
| Proceeds from Aspire Capital purchase agreements | 4,260,210 | 145,000 | ||||||
| Proceeds from sale of preferred stock and common stock warrants | 2,037,100 | — | ||||||
| Proceeds from sale of common stock | 930,435 | 2,981,300 | ||||||
| Proceeds from public offering | — | 7,482,100 | ||||||
| Proceeds from stock options exercised | 54,235 | — | ||||||
| Deferred offering costs | — | (148,600 | ) | |||||
| Net cash provided by financing activities | 7,206,180 | 10,402,400 | ||||||
| NET INCREASE (DECREASE) IN CASH | (2,194,300 | ) | 5,130,800 | |||||
| CASH- BEGINNING OF YEAR | 5,449,000 | 318,200 | ||||||
| CASH- END OF YEAR | $ | 3,254,700 | $ | 5,449,000 | ||||
| SUPPLEMENTAL DISCLOSURE OF CASH FLOW INFORMATION: | ||||||||
| Cash paid during the period for: | ||||||||
| Interest | $ | 8,200 | $ | 6,600 | ||||
| Income taxes | $ | 1,900 | $ | 2,600 | ||||
| Non-cash financing and investing activities | ||||||||
| Long-term borrowings assumed in business combination | $ | 651,700 | — | |||||
| Commitment shares issued to Aspire Capital as offering cost | $ | 795,000 | $ | 708,000 | ||||
| Investment in Arcadian 1,000 shares at $5.90 per share of common stock | $ | — | $ | 5,900 | ||||
See Accompanying Notes to the Consolidated Financial Statements
F-6
NOTES TO THE CONSOLIDATED FINANCIAL STATEMENTS
| 1. | NATURE OF OPERATIONS |
Organization, Nature of Operations and Going Concern Uncertainty
MYnd Analytics, Inc. (“MYnd,” “CNS,” “we,” “us,” “our,” or the “Company”), formerly known as CNS Response Inc., is a predictive analytics company that has developed a decision support tool to help physicians reduce trial and error treatment in mental health and provide more personalized care to patients. The Company employs a clinically validated scalable technology platform to support personalized care for mental health patients. The Company utilizes its patented machine learning, artificial intelligence, data analytics platform for the delivery of telebehavioral health services and its PEER predictive analytics product offering. On November 13, 2017, the Company acquired Arcadian, which manages the delivery of telepsychiatry and telebehavioral health services through a nationwide network of licensed and credentialed psychiatrists, psychologists and master’s-level therapists. The Company is commercializing its PEER predictive analytics tool to help physicians reduce trial and error treatment in mental health. MYnd’s patented, clinically validated technology platform (“PEER Online”) utilizes complex algorithms to analyze electroencephalograms (“EEGs”) to generate Psychiatric EEG Evaluation Registry (“PEER”) Reports to predict individual responses to a range of medications prescribed for the treatment of behavioral disorders including depression, anxiety, bipolar disorder, PTSD and other non-psychotic disorders.
Going Concern Uncertainty
The accompanying consolidated financial statements have been prepared in conformity with U.S. generally accepted accounting principles (“GAAP”), which contemplate continuation of the Company as a going concern. The Company’s operations are subject to certain problems, expenses, difficulties, delays, complications, risks and uncertainties frequently encountered in the operation of a business. These risks include the ability to obtain adequate financing on a timely basis, if at all, the failure to develop or supply technology or services to meet the demands of the marketplace, the failure to attract and retain qualified personnel, competition within the industry, government regulation and the general strength of regional and national economies.
The Company’s recurring net losses and negative cash flows from operations raise substantial doubt about its ability to continue as a going concern. During the twelve months ended September 30, 2018, the Company incurred a net loss of $10.3 million and used $9.0 million of net cash in operating activities. As of September 30, 2018, the Company’s accumulated deficit was $85.2 million. In connection with these consolidated financial statements, management evaluated whether there were conditions and events, considered in the aggregate, that raised substantial doubt about the Company’s ability to meet its obligations as they become due for the next twelve months from the date of issuance of these financial statements. Management assessed that there were such conditions and events, including a history of recurring operating losses, and negative cash flows from operating activities.
If the Company raises additional funds by issuing additional equity or convertible debt securities, the fully diluted ownership percentages of existing stockholders will be reduced. In addition, any equity or debt securities that the Company would issue may have rights, preferences or privileges senior to those of the holders of its common stock.
To date, the Company has financed its cash requirements primarily from equity financings. The Company will need to raise funds immediately to continue its operations and increase demand for its services. Until it can generate sufficient revenues to meet its cash requirements, which it may never do, the Company must continue to finance future cash needs primarily through public or private equity offerings, debt financings or strategic collaborations. The Company’s liquidity and capital requirements depend on several factors, including the rate of market acceptance of its services, the future profitability of the Company, the rate of growth of the Company’s business and other factors described elsewhere in this Annual Report on Form 10-K. The Company continues to explore additional sources of capital, but there is substantial doubt as to whether any financing arrangement will be available in amounts and on terms acceptable to the Company to permit it to continue operations. The accompanying consolidated financial statements do not include any adjustments that might be necessary if the Company is unable to continue as a going concern.
F-7
| 2. | SUMMARY OF SIGNIFICANT ACCOUNTING POLICIES |
Basis of Presentation
The accompanying consolidated financial statements of the Company have been prepared pursuant to the rules and regulations of the U.S. Securities and Exchange Commission (the “SEC”) and are in accordance with accounting principles generally accepted in the United States of America.
Basis of Consolidation
The audited consolidated financial statements include the results of MYnd, its wholly owned subsidiary, Arcadian Telepsychiatry Services LLC (“Arcadian Services”), two professional associations, Arcadian Telepsychiatry PA (“Texas PA”) which is incorporated in Texas and Arcadian Telepsychiatry Florida P.A. (“Florida PA”) which is incorporated in Florida, and two professional corporations, Arcadian Telepsychiatry P.C. (“Pennsylvania PC”) which is incorporated in Pennsylvania and Arcadian Telepsychiatry of California, P.C. (“California PC”) which is incorporated in California collectively “the Arcadian Entities.”
Arcadian Services is party to Management Services Agreements by and among it and the Arcadian Entities pursuant to which each entity provides services to Arcadian Services. Each entity is established pursuant to the requirements of its respective domestic jurisdiction governing the corporate practice of medicine. All intercompany balances and transactions have been eliminated upon consolidation.
Segments
We view our operations and manage our business as one operating segment.
Variable Interest Entities (VIE)
On November 13, 2017, Arcadian Services entered into a management and administrative services agreement with Texas PA and with Pennsylvania PC, for an initial fixed term of 20 years. In accordance with relevant accounting guidance, Texas PA and Pennsylvania PC are determined to be a Variable Interest Entity (“VIE”) as MYnd is the primary beneficiary with the ability to direct the activities (excluding clinical decisions) that most significantly affect Texas PA’s and Pennsylvania PC’s economic performance through its majority representation of the Texas PA and Pennsylvania PC; therefore, Texas PA and Pennsylvania PC are consolidated by MYnd. On January 19, 2018, Arcadian Services entered into a management and administrative services agreement with California PC, for an initial fixed term of 20 years. In accordance with relevant accounting guidance, California PC is determined to be a VIE and MYnd is the primary beneficiary with the ability to direct the activities (excluding clinical decisions) that most significantly affect California PC’s economic performance through its majority representation of California PC; therefore, California PC is consolidated by MYnd. On March 27, 2018, Arcadian Services entered into a management and administrative services agreement with Florida PA, for an initial fixed term of 20 years. In accordance with relevant accounting guidance, Florida PA is determined to be a VIE and MYnd is the primary beneficiary with the ability to direct the activities (excluding clinical decisions) that most significantly affect Florida PA’s economic performance through its majority representation of Florida PA; therefore, Florida PA is consolidated by MYnd.
The Company holds a variable interest in the entities which contract with physicians and other health professionals in order to provide telepsychiatry services to Arcadian Services. The entities are considered variable interest entities since they do not have sufficient equity to finance their activities without additional financial support. An enterprise having a controlling financial interest in a VIE must consolidate the VIE if it has both power and benefits, that is, it has (1) the power to direct the activities of a VIE that most significantly impact the VIE’s economic performance (power) and (2) the obligation to absorb losses of the VIE that potentially could be significant to the VIE or the right to receive benefits from the VIE that potentially could be significant to the VIE (benefits). The Company has the power and rights to control all activities of the entities and funds and absorbs all losses of the VIE.
Use of Estimates
The preparation of the consolidated financial statements requires management to make estimates and judgments that affect the reported amounts of assets, liabilities, revenue and expense, and related disclosure of contingent assets and liabilities. On an ongoing basis, the Company evaluates its estimates, including those related to revenue recognition, doubtful accounts, intangible assets, income taxes, valuation of equity instruments, accrued liabilities, contingencies and litigation. The Company bases its estimates on historical experience and on various other assumptions that are believed to be reasonable under the circumstances, the results of which form the basis for making judgments about the carrying values of assets and liabilities that are not readily apparent from other sources. Actual results may differ materially from these estimates.
F-8
Cash and Cash Equivalents
The Company considers all liquid instruments purchased with a maturity of three months or less to be cash equivalents. The Company deposits its cash with major financial institutions and may at times exceed the federally insured limit of $250,000. At September 30, 2018 cash exceeds the federally insured limit by $3.0 million. The Company believes that the risk of loss is minimal. To date, the Company has not experienced any losses related to cash deposits with financial institutions.
Debt Instruments
Debt instruments are initially recorded at fair value, with coupon interest and amortization of debt issuance discounts recognized in the statement of operations as interest expense at each period end while such instruments are outstanding.
Fair Value of Financial Instruments
Financial Accounting Standards Board, or FASB, Accounting Standards Codification, or ASC, ASC 825-10 - Recognition and Measurement of Financial Assets and Financial Liabilities defines financial instruments and requires disclosure of the fair value of financial instruments held by the Company. The Company considers the carrying amount of cash, accounts receivable, other receivables, accounts payable and accrued liabilities, to approximate their fair values because of the short period of time between the origination of such instruments and their expected realization.
The Company also analyzes all financial instruments with features of both liabilities and equity under ASC 480-10, ASC 815-10 and ASC 815-40.
The FASB has established a framework for measuring fair value using generally accepted accounting principles. That framework provides a fair value hierarchy that prioritizes the inputs to valuation techniques used to measure fair value. The hierarchy gives the highest priority to unadjusted quoted prices in active markets for identical assets or liabilities (level 1 measurements) and the lowest priority to unobservable inputs (level 3 measurements). The three levels of the fair value hierarchy are described as follows:
| ● | Level I inputs to the valuation methodology are quoted prices for identical assets or liabilities in active markets; | |
| ● | Level II inputs to the valuation methodology include: |
| ○ | quoted prices for similar assets and liabilities in active markets; | |
| ○ | Quoted prices for identical or similar assets or liabilities in inactive markets; | |
| ○ | Inputs other than quoted prices that are observable for the asset or liability; | |
| ○ | Inputs that are derived principally from or corroborated by observable market data by correlation or other means; |
If the asset or liability has a specified (contractual) term, the level 2 input must be observable for substantially the full term of the asset or liability.
| ● | Level III inputs to the valuation methodology are unobservable and significant to the fair value measurement. |
The asset or liability’s fair value measurement level within the fair value hierarchy is based on the lowest level of any input that is significant to the fair value measurement. Valuation techniques used must maximize the use of observable inputs and minimize the use of unobservable inputs.
Accounts Receivable
The Company estimates the collectability of customer receivables on an ongoing basis by reviewing past-due invoices and assessing the current creditworthiness of each customer. Allowances are provided for specific receivables deemed to be at risk for collection which as of September 30, 2018 and 2017 are $1,800 and $1,000 respectively.
Property and Equipment
Property and Equipment, which are recorded at cost, consist of office furniture and equipment, which are depreciated, over their estimated useful lives on a straight-line basis. The useful lives of these assets is estimated to be between three and five years. Depreciation expense on furniture and equipment for the twelve months ended September 30, 2018 and 2017 was $60,300 and $19,700 respectively. Accumulated depreciation at September 30, 2018 and 2017 was $149,200 and $84,200, respectively.
F-9
Long-Lived Assets
As required by ASC 350-30 - Intangibles—Goodwill and other, the Company reviews the carrying value of its long-lived assets at least annually or whenever events or changes in circumstances indicate that the historical cost-carrying value of an asset may no longer be recoverable. The Company assesses recoverability of the carrying value of the asset by estimating the future undiscounted net cash flows expected to result from the asset, including eventual disposition. If the future net cash flows are less than the carrying value of the asset, an impairment loss is recorded equal to the difference between the asset’s carrying value and fair value. No impairment loss was recorded for the years ended September 30, 2018 and 2017.
Intangible Assets
Costs for software developed for internal use are accounted for through the capitalization of those costs incurred in connection with developing or obtaining internal-use software. Capitalized costs for internal-use software are included in intangible assets in the consolidated balance sheet. Capitalized software development costs are amortized over three years. Costs incurred during the preliminary project along with post-implementation stages of internal use computer software development and costs incurred to maintain existing product offerings are expensed as incurred. The capitalization and ongoing assessment of recoverability of development costs require considerable judgment by management with respect to certain external factors, including, but not limited to, technological and economic feasibility and estimated economic life.
At September 30, 2018, the Company had $101,700 in capitalized software development costs. Amortization for the twelve months ended September 30, 2018 and 2017 was $29,000 and $29,000, respectively. Accumulated amortization was $70,400 and $39,300 at September 30, 2018 and 2017, respectively.
On November 13, 2017, the Company acquired customer relationships and tradename intangibles in connection with the Arcadian Services acquisition of which $109,000 were recorded at fair value and are being amortized over an estimated useful life of four years on a straight-line basis. Amortization for the twelve months ended September 30, 2018 and 2017 was $23,800 and none, respectively. Accumulated amortization was $23,800 and $0 at September 30, 2018 and 2017, respectively.
The expected amortization of the intangible assets, as of September 30, 2018, for each of the next four years is as follows:
| For the year ended September 30, | Intangible assets | |||
| 2019 | $ | 54,200 | ||
| 2020 | 29,400 | |||
| 2021 | 29,400 | |||
| 2022 | 3,500 | |||
| Total | $ | 116,500 | ||
Goodwill
Goodwill represents the excess of the aggregate purchase price paid over the fair value of the net assets acquired in our business combinations. Goodwill is not amortized and is tested for impairment at least annually or whenever events or changes in circumstances indicate that the carrying value may not be recoverable. Events or changes in circumstances that could trigger an impairment review include a significant adverse change in business climate, an adverse action or assessment by a regulator, unanticipated competition, a loss of key personnel, significant changes in the manner of our use of the acquired assets or the strategy for our overall business, significant negative industry or economic trends, or significant underperformance relative to expected historical or projected future results of operations. The Company has the option to first assess qualitative factors to determine whether the existence of events or circumstances leads to a determination that it is more likely than not that the fair value of a reporting unit is less than its carrying value, including goodwill. If, after assessing the totality of events or circumstances, the Company determines that it is not more likely than not that the fair value of a reporting unit is less than its carrying amount, additional impairment testing is not required. The Company tests for goodwill impairment annually on September 30.
The Company performed a qualitative goodwill assessment at September 30, 2018 and concluded there was no impairment based on consideration of a number of factors, including the improvement in the Company’s key operating metrics over the prior year, improvement in the strength of the general economy and the Company’s continued execution against its overall strategic objectives.
Based on the foregoing, the Company determined that it was not more likely than not that the fair value of its reporting unit is less than its carrying amount and therefore that no further impairment testing was required.
F-10
Accrued Compensation
Accrued compensation consists of accrued vacation pay, accrued compensation granted by the Board but not paid, and accrued pay due to staff members.
Accrued compensation – related parties consists of accrued vacation pay, accrued bonuses granted by the Board but not paid for officers and directors.
Deferred Revenue
Deferred revenue represents cash collected in advance of services being rendered but not earned as of September 30, 2018 and 2017. This represents a philanthropic grant for the payment of PEER Reports ordered in a clinical trial for a member of the U.S. Military, a veteran or their family members, the cost of which is not covered by other sources. On August 1, 2017, the Company entered into a Research Study Funding Agreement with Horizon Healthcare Services, Inc. dba Horizon Blue Cross Blue Shield of New Jersey and its subsidiaries (collectively “Horizon”) and Cota, Inc. (“Cota”). On February 6, 2018, Horizon prepaid for part of the study, $125,000 and the Company paid Cota $15,000 out of this payment for its services under the Study. These deferred revenue grant funds total $159,700 and $45,900 as of September 30, 2018 and 2017, respectively.
Revenues
The Company derives substantially all of its revenue from neurometric and telepsychiatry services. The Company recognizes revenues in accordance with ASC 605, and accordingly revenue is recognized when persuasive evidence of an arrangement exists, delivery has occurred, the fee is fixed or determinable, collectability is reasonably assured and acceptance criteria, if any, have been met. If any of these criteria are not met, revenue recognition is deferred until such time that all of the criteria are met. The Company’s neurometric and telepsychiatry services are recognized in the month the services are delivered by the physician.
Research
The Company charges research and development expenses to operations as incurred.
Advertising Expenses
The Company charges all advertising expenses to operations as incurred. For the year ended September 30, 2018 and 2017 advertising expenses were $248,600 and $152,000, respectively.
Stock-Based Compensation
The Company accounts for awards to employees in accordance with ASC 718, Compensation-Stock Compensation. For stock options issued to employees and directors we use the Black-Scholes option valuation model for estimating fair value at the date of grant. For stock options issued for services rendered by non-employees, we recognize compensation expense in accordance with the requirements of ASC 505-50, Equity, or ASC 505-50, as amended. Non-employee option grants that do not vest immediately upon grant are recorded as an expense over the vesting period. At the end of each financial reporting period prior to performance, the value of these options, as calculated using the Black-Scholes option valuation model, is determined, and compensation expense recognized or recovered during the period is adjusted accordingly. Since the fair value of options granted to non-employees is subject to change in the future, the amount of the future compensation expense is subject to adjustment until the common stock options or warrants are fully vested.
Warrants
From time to time, the Company has issued warrants to purchase shares of common stock. These warrants have been issued in connection with the Company’s financing transactions. The Company’s warrants are subject to standard anti-dilution provisions applicable to shares of our common stock. The Company estimates the fair value of warrants using the Black-Scholes option valuation model with the following assumptions: market prices of the stock, time to maturity, volatility, zero expected dividend rate and risk free rate all at the date of the warrant issuance.
F-11
Income Taxes
The Company accounts for income taxes under the asset and liability method. Deferred tax assets and liabilities are recognized for future tax consequences attributable to differences between the financial statement carrying amounts of existing assets and liabilities and their respective tax bases. Deferred tax assets and liabilities are measured using enacted tax rates expected to apply to taxable income in the years in which the temporary differences are expected to be recovered or settled. The effect on deferred tax assets and liabilities of a change in tax rates is recognized in income in the period that includes the enactment date. Valuation allowances are recorded, when necessary, to reduce deferred tax assets to the amount expected to be realized.
On December 22, 2017, President Trump signed into law new legislation that significantly revises the Internal Revenue Code of 1986, as amended, or the Code. The newly enacted federal income tax law, among other things, contains significant changes to corporate taxation, including reduction of the corporate tax rate from a top marginal rate of 35 percent to a flat rate of 21 percent, limitation of the tax deduction for interest expense to 30 percent of adjusted earnings (except for certain small businesses), limitation of the deduction for net operating losses to 80 percent of current-year taxable income and elimination of net operating loss carrybacks, one time taxation of offshore earnings at reduced rates regardless of whether they are repatriated, immediate deductions for certain new investments instead of deductions for depreciation expense over time, and modifying or repealing many business deductions and credits.
As a result of the implementation of certain provisions of FASB ASC 740, Income Taxes, which clarifies the accounting and disclosure for uncertainty in tax positions, the Company has analyzed filing positions in each of the federal and state jurisdictions where required to file income tax returns, as well as all open tax years in these jurisdictions. We have identified U.S. Federal and California as our major tax jurisdictions. Generally, we remain subject to Internal Revenue Service examination of our 2013 through 2016 U.S. federal income tax returns, and remain subject to California Franchise Tax Board examination of our 2012 through 2016 California Franchise Tax Returns. We have certain tax attribute carryforwards which will remain subject to review and adjustment by the relevant tax authorities until the statute of limitations closes with respect to the year in which such attributes are utilized.
We believe that our income tax filing positions and deductions will be sustained on audit and do not anticipate any adjustments that will result in a material change to our financial position. Therefore, no reserves for uncertain income tax positions have been recorded pursuant to ASC 740. Our policy for recording interest and penalties associated with income-based tax audits is to record such items as a component of income taxes.
Non-controlling Interest
The Company consolidates entities in which the Company has a controlling financial interest. The Company consolidates subsidiaries in which the Company holds, directly or indirectly, more than 50% of the voting rights, and VIEs for which the Company is the primary beneficiary. Non-controlling interests represent third-party equity ownership interests in the Company’s consolidated entities. The amount of net loss attributable to non-controlling interests for the year ended September 30, 2018 and 2017 was $734,400 and $0, respectively.
Earnings (Loss) per Share
Basic and diluted earnings (loss) per share is presented in conformity with the two-class method. Under the two-class method, basic net loss per share is computed by dividing income (loss) available to common stockholders by the weighted average common shares outstanding during the period. Net loss per share is calculated as the net loss less the current period preferred stock dividends. Diluted earnings (loss) per share takes into account the potential dilution that could occur if securities or other contracts to issue Common Stock were exercised and converted into Common Stock.
Recent Accounting Pronouncements
Apart from the below-mentioned recent accounting pronouncements, there are no new accounting pronouncements that are currently applicable to the Company.
In May 2014, the FASB issued ASU No. 2014-09, Revenue from Contracts with Customers, as amended, which requires an entity to recognize the amount of revenue to which it expects to be entitled for the transfer of promised goods or services to customers, or the new revenue standard. The new revenue standard also includes Subtopic 340-40, Other Assets and Deferred Costs - Contracts with Customers, which discusses the deferral of incremental costs of obtaining a contract with a customer. The new revenue standard is effective for annual periods beginning after December 15, 2017. The standard permits the use of either a full retrospective or modified retrospective transition method.
F-12
The Company will adopt the new revenue standard as of October 1, 2018, using the modified retrospective transition method applied to those contracts which were not completed as of that date. Upon adoption, we will recognize the cumulative effect of adopting this guidance as an adjustment to our opening balance of accumulated deficit. Prior periods will not be retrospectively adjusted.
We do not expect the new revenue standard to have a material impact on our revenue upon adoption. Also, we do not expect the new standard to have a material impact as it relates to the deferral of incremental costs of obtaining contracts. The Company is in the process of implementing the necessary changes to its accounting policies, processes, internal controls and information systems that will be required to meet the new revenue standard’s reporting and disclosure requirements.
In February 2016, the FASB issued ASU 2016-02, Leases (Topic 842). This ASU requires that a lessee recognize lease assets and lease liabilities for those leases classified as operating leases. The guidance is effective for interim and annual periods beginning after December 15, 2018. The Company is currently evaluating the impact of adoption of this standard to its financial statements.
In March 2016, the FASB issued ASU 2016-09, Improvements to Employee Share-Based Payment Accounting. This ASU simplifies several aspects of the accounting for share-based payment transactions, including the income tax consequences, accounting for forfeitures, and classification of awards as either equity or liabilities, and classification on the statement of cash flows. The guidance is effective for interim and annual periods beginning after December 15, 2016, with early adoption permitted. The guidance will be applied prospectively, retrospectively, or by means of a cumulative-effect adjustment to equity as of the beginning of the period in which the guidance is adopted, dependent upon the specific amendment that is adopted within the ASU. The adoption of this new guidance did not have a material effect on the consolidated results of operations, cash flows, and financial position. The Company adopted the guidance on October 1, 2017 and chose to prospectively apply the guidance in its financial statements.
In January 2017, the FASB issued ASU 2017-01, Business Combinations (Topic 805): Clarifying the Definition of a Business. This guidance narrows the definition of a business. This standard provides guidance to assist entities with evaluating when a set of transferred assets and activities is a business. This guidance is effective for interim and annual reporting periods beginning after December 15, 2017, and early adoption is permitted. This guidance must be applied prospectively to transactions occurring within the period of adoption. The Company adopted ASU 2017-01 on October 1, 2017, and prospectively applied ASU 2017-01 as required with no impact on its consolidated financial position, results of operations or cash flows.
In January 2017, the FASB issued ASU 2017-04, Intangibles-Goodwill and Other (Topic 350): Simplifying the Test for Goodwill Impairment. This guidance eliminates Step 2 from the goodwill impairment test, instead requiring an entity to recognize a goodwill impairment charge for the amount by which the goodwill carrying amount exceeds the reporting unit’s fair value. This guidance is effective for interim and annual goodwill impairment tests in fiscal years beginning after December 15, 2019, and early adoption is permitted. This guidance must be applied on a prospective basis. The Company adopted ASU 2017-04 in the first quarter of 2018, and prospectively applied ASU 2017-04 as required with no impact on its consolidated financial position, results of operations or cash flows.
In May 2017, the FASB issued ASU 2017-9, “Compensation – Stock Compensation (Topic 718): Scope of Modification Accounting,” to provide clarity and reduce both diversity in practice and cost complexity when applying the guidance in Topic 718 to a change to the terms and conditions of a stock-based payment award. ASU 2017-9 also provides guidance about the types of changes to the terms or conditions of a share-based payment award that require an entity to apply modification accounting in accordance with Topic 718. For all entities, including emerging growth companies, the standard is effective for annual periods beginning after December 15, 2017, and for interim periods therein. Early adoption is permitted. The Company adopted the guidance on October 1, 2017 and there was no impact on the financial statements.
In July 2017, the FASB issued a two-part ASU 2017-11, I. Accounting for Certain Financial Instruments With Down Round Features and II. Replacement of the Indefinite Deferral for Mandatorily Redeemable Financial Instruments of Certain Nonpublic Entities and Certain Mandatorily Redeemable Non-controlling Interests with a Scope Exception (“ASU 2017-11”). ASU 2017-11 amends guidance in FASB ASC 260, Earnings Per Share, FASB ASC 480, Distinguishing Liabilities from Equity, and FASB ASC 815, Derivatives and Hedging. The amendments in Part I of ASU 2017-11 change the classification analysis of certain equity-linked financial instruments (or embedded features) with down round features. The amendments in Part II of ASU 2017-11 re-characterize the indefinite deferral of certain provisions of Topic 480 that now are presented as pending content in the Codification, to a scope exception. Those amendments do not have an accounting effect. ASU 2017-11 is effective for public business entities for fiscal years, and interim periods within those fiscal years, beginning after December 15, 2018. Early adoption is permitted. The Company adopted ASU 2017-11 ended October 1, 2017, and retrospectively applied ASU 2017-11 as required with no impact on its consolidated financial position or results of operations.
F-13
In June 2018, the FASB issued ASU 2018-07, Improvements to Nonemployee Share-Based Payment Accounting (Topic 718). The amendments in this Update expand the scope of Topic 718 to include share based payment transactions for acquiring goods and services from nonemployees. An entity should apply the requirements of Topic 718 to nonemployee awards except for specific guidance on inputs to an option pricing model and the attribution of cost (that is, the period of time over which share-based payment awards vest and the pattern of cost recognition over that period). The amendments specify that Topic 718 applies to all share-based payment transactions in which a grantor acquires goods or services to be used or consumed in a grantor’s own operations by issuing share-based payment awards. The amendments also clarify that Topic 718 does not apply to share-based payments used to effectively provide (1) financing to the issuer or (2) awards granted in conjunction with selling goods or services to customers as part of a contract accounted for under Topic 606, Revenue from Contracts with Customers. The amendments in this Update are effective for public business entities for fiscal years beginning after December 15, 2018, including interim periods within that fiscal year. The Company is currently evaluating the impact of adoption of this standard to its financial statements.
3. ACCOUNTS RECEIVABLE, NET
Accounts receivable, net, is as follows:
| September 30, | September 30, | |||||||
| 2018 | 2017 | |||||||
| Accounts receivable | $ | 65,100 | $ | 7,500 | ||||
| Allowance for doubtful accounts | (1,800 | ) | (1,000 | ) | ||||
| Accounts receivable, net | $ | 63,300 | $ | 6,500 | ||||
4. LONG - TERM BORROWINGS AND OTHER NOTES PAYABLE
Debt assumed from Arcadian Services
As a result of the acquisition of Arcadian Services, the Company guaranteed Arcadian Services’ then outstanding debt obligations totaling $700,000 owed to Ben Franklin Technology Partners of Southeastern Pennsylvania (“BFTP”). The maturity date for the debt is September 30, 2021 and interest accrues at an 8% annual rate. Unpaid interest was $110,100 as of September 30, 2018. The Company recorded the debt at its fair value and recorded a discount of $112,300 as of September 30, 2018 attributable to the difference between the market interest rate and the stated interest rate on the debt. Interest expense related to the accretion of debt discount for the twelve months ended September 30, 2018 was $32,800.
A balloon payment of $700,000 plus interest will be made on the scheduled maturity date of September 30, 2021.
Other Notes Payable
Note Payable - finance company, principal is payable over thirty-six equal payments of $1,200 through May 8, 2018. Interest is payable monthly on the unpaid balance at 19% per annum. The outstanding balance was paid in full on May 8, 2018.
Loan payable to a vendor, principal payments of $5,000 per month, together with interest computed at 6% per annum. The outstanding balance was paid in full on May 8, 2018.
5. ACQUISITION
The Company accounted for the acquisition of Arcadian Services using the acquisition method of accounting for business combinations under ASC 805, Business Combinations. The total purchase price is allocated to the tangible and identifiable intangible assets acquired and liabilities assumed based on their estimated fair values as of the acquisition date.
Fair value estimates are based on a complex series of judgments about future events and uncertainties and rely heavily on estimates and assumptions. The judgments used to determine the estimated fair value assigned to each class of assets acquired and liabilities assumed, as well as asset lives and the expected future cash flows and related discount rates, can materiality impact our results of operations. Significant inputs used for the model included the amount of cash flows, the expected period of the cash flows and the discount rates. The finalization of the purchase accounting assessment may result in a change in the fair value of the debt assumed and intangible assets, which may have a material impact on our results of operations and financial position.
On November 13, 2017, the Company acquired Arcadian Services. The purchase price, including the value of the indebtedness and payables of Arcadian Services, is $1,339,600 based upon a deemed acquisition of all of the assets and liabilities of Arcadian Services, including the equity interests in Arcadian Services. The aggregate purchase price consists of (i) initial investment in Arcadian of $195,900 (ii) $317,000 of forgiveness of a note receivable with the primary member of Arcadian (iii) assumption by Arcadian Services of subordinated debt (“Arcadian Note”) with a fair value of $555,000, plus accrued interest of $96,700 (iv) $175,000 payment for the redemption and cancellation of two warrants to purchase equity interests in Arcadian Services. The Arcadian Note bears interest at an annual rate of 8% and matures on September 30, 2021.
F-14
The following table summarizes the allocation of the purchase consideration and the estimated fair value of the assets acquired and the liabilities assumed for the acquisition of Arcadian Services made by the Company:
| Assets acquired: | ||||
| Cash | $ | 25,900 | ||
| Accounts receivable | 57,100 | |||
| Other assets | 24,000 | |||
| Intangibles | 109,000 | |||
| Goodwill | 1,386,800 | |||
| Total assets acquired | $ | 1,602,800 | ||
| Liabilities assumed | ||||
| Accounts payable | $ | 147,700 | ||
| Accrued other liabilities | 108,700 | |||
| Notes payable | 6,800 | |||
| Total liabilities assumed | $ | 263,200 | ||
| Net assets acquired | $ | 1,339,600 | ||
| Consideration paid: | ||||
| Initial investment in Arcadian Services | 195,900 | |||
| Long-term debt | 555,000 | |||
| Accrued interest | 96,700 | |||
| Payment on warrant outstanding | 175,000 | |||
| Forgiveness of loan in relation of acquisition | 317,000 | |||
| Total consideration | $ | 1,339,600 | ||
The weighted average useful life of all identified acquired intangible assets is 3.9 years. The useful lives for trade names and customer relationships are 1.0 years and 4.0 years. Identifiable intangible assets with definite lives are amortized over the period of estimated benefit using the straight-line method and the estimated useful lives of one to four years. The straight-line method of amortization represents the Company’s best estimate of the distribution of the economic value of the identifiable intangible assets.
As a result of the acquisition, the Company recorded $1,386,800 of goodwill. The goodwill balance is primarily attributed to the anticipated synergies from the acquisition and expanded market opportunities with respect to the integration of Arcadian Services’ products with the Company’s other solutions. The Company believes that the factors listed above support the amount of goodwill recorded as a result of the purchase price paid.
For the year ended September 30, 2018, the Company incurred transaction costs of $438,600 and $0 in connection with the Arcadian Services acquisition, which were expensed as incurred and included in general and administrative expenses within the accompanying consolidated statements of operations.
Unaudited Pro Forma Financial Information
The following unaudited pro forma statement of operations data presents the combined results of operations for the years ended September 30, 2018 and 2017 as if the acquisition of Arcadian Telepsychiatry Services LLC had taken place on October 1, 2016.
The unaudited pro forma financial information includes the effects of certain adjustments, including the amortization of acquired intangibles and the associated tax effect and the elimination of the Company’s and the acquiree’s non-recurring acquisition related expenses.
The unaudited pro forma information presented does not purport to be indicative of the results that would have been achieved had the acquisitions been consummated at October 1, 2016 nor of the results which may occur in the future. The pro forma adjustments are based upon available information and certain assumptions that the Company believes are reasonable.
F-15
| Pro Forma | Years Ended September 30, | |||||||
| 2018 | 2017 | |||||||
| Revenues | $ | 1,460,800 | $ | 1,154,500 | ||||
| Net income (loss) | $ | (10,558,000 | ) | $ | (7,894,700 | ) | ||
| Basic and diluted loss per share: | $ | (2.03 | ) | $ | (2.80 | ) | ||
| weighted shares outstanding: | 5,199,566 | 2,817,415 | ||||||
6. STOCKHOLDERS’ EQUITY
The Aspire Capital Equity Line
On December 6, 2016, the Company, entered into the first common stock purchase agreement (the “First Purchase Agreement”) with Aspire Capital Fund, LLC (“Aspire Capital”) which provided that, upon the terms and subject to the conditions and limitations set forth therein, Aspire Capital was committed to purchase up to an aggregate of $10.0 million of shares of the Company’s Common Stock over the 30-month term of the First Purchase Agreement. Concurrently with entering into the First Purchase Agreement, the Company also entered into a registration rights agreement with Aspire Capital (the “Registration Rights Agreement”), pursuant to which the Company maintained an effective registration statement registering the sale of the shares of Common Stock that were issued to Aspire under the First Purchase Agreement. Under the First Purchase Agreement, on any trading day selected by the Company on which the closing sale price of its Common Stock is equal to or greater than $0.50 per share, the Company had the right, in its sole discretion, to present Aspire Capital with a purchase notice, directing Aspire Capital (as principal) to purchase up to 50,000 shares of Common Stock per business day, up to $10.0 million of the Company’s common stock in the aggregate at a per share purchase price equal to the lesser of:
| a) | the lowest sale price of Common Stock on the purchase date; or | |
| b) | the arithmetic average of the three (3) lowest closing sale prices for Common Stock during the twelve (12) consecutive trading days ending on the trading day immediately preceding the purchase date. |
In addition, on any date on which the Company submitted a purchase notice to Aspire Capital in an amount equal to 50,000 shares, and the closing sale price of its Common Stock is equal to or greater than $0.50 per share, the Company also had the right, in its sole discretion, to present Aspire Capital with a volume-weighted average price purchase notice (each, a “VWAP Purchase Notice”) directing Aspire Capital to purchase an amount of stock equal to up to 30% of the aggregate shares of Common Stock traded on its principal market on the next trading day (the “VWAP Purchase Date”), subject to a maximum number of shares the Company may determine. The purchase price per share pursuant to such VWAP Purchase Notice is generally 95% of the volume-weighted average price for Common Stock traded on its principal market on the VWAP Purchase Date.
The purchase price was subject to adjustment for any reorganization, recapitalization, non-cash dividend, stock split, or other similar transaction occurring during the period(s) used to compute the First Purchase Price. The Company could deliver multiple Purchase Notices and VWAP Purchase Notices to Aspire Capital from time to time during the term of the Purchase Agreement, so long as the most recent purchase has been completed.
The First Purchase Agreement provided that the Company and Aspire Capital would not effect any sales under the First Purchase Agreement on any purchase date where the closing sale price of the Company’s common stock was less than $0.50. There were no trading volume requirements or restrictions under the First Purchase Agreement, and the Company could control the timing and amount of sales of Common Stock to Aspire Capital. Aspire Capital had no right to require any sales by the Company, but was obligated to make purchases from the Company as directed by the Company in accordance with the First Purchase Agreement. There were no limitations on use of proceeds, financial or business covenants, restrictions on future fundings, rights of first refusal, participation rights, penalties or liquidated damages in the First Purchase Agreement. In consideration for entering into the First Purchase Agreement, concurrently with the execution of the First Purchase Agreement, the Company issued to Aspire Capital 80,000 shares of Common Stock (the “First Commitment Shares”). The First Purchase Agreement was terminated and replaced by the Second Purchase Agreement on May 15, 2018. Aspire Capital has agreed that neither it nor any of its agents, representatives and affiliates shall engage in any direct or indirect short-selling or hedging of Common Stock during any time prior to the termination of the First Purchase Agreement. Any proceeds the Company receives under the First Purchase Agreement are expected to be used for working capital and general corporate purposes. The Company cannot request Aspire to purchase more than $100,000 per business day.
F-16
As of September 30, 2018, the Company has issued purchase notices to Aspire Capital under the First Purchase Agreement to purchase an aggregate of 1,180,000 shares of common stock, at a per share price of $2.00, resulting in gross cash proceeds of approximately $2.4 million. The issuance of shares of common stock that were issued from time to time to Aspire Capital under the First Purchase Agreement were exempt from registration under the Securities Act, pursuant to the exemption for transactions by an issuer not involving any public offering under Section 4(a)(2) of the Securities Act.
The Second Purchase Agreement with Aspire Capital
On May 15, 2018, the Company, entered into the Second Purchase Agreement with Aspire Capital under substantially the same terms, conditions and limitations as the First Purchase Agreement. Pursuant to the Second Purchase Agreement, Aspire Capital is committed to purchase up to an aggregate of $10.0 million of shares of the Company’s Common Stock over 80 the 30-month term of the Second Purchase Agreement. Concurrently with entering into the Second Purchase Agreement, the Company also entered into a registration rights agreement with Aspire Capital (the “Registration Rights Agreement”), pursuant to which the Company maintains an effective registration statement registering the sale of the shares of Common Stock that have and may be issued to Aspire under the Second Purchase Agreement. Under the Second Purchase Agreement, on any trading day selected by the Company on which the closing sale price of its Common Stock is equal to or greater than $0.50 per share, the Company has the right, in its sole discretion, to present Aspire Capital with a purchase notice, directing Aspire Capital (as principal) to purchase up to 50,000 shares of Common Stock per business day, up to $10.0 million of the Company’s common stock in the aggregate at a per share purchase price equal to the lesser of:
| a) | the lowest sale price of Common Stock on the purchase date; or |
| b) | the arithmetic average of the three (3) lowest closing sale prices for Common Stock during the twelve (12) consecutive trading days ending on the trading day immediately preceding the purchase date. |
In addition, on any date on which the Company submits a purchase notice to Aspire Capital in an amount equal to 50,000 shares, and the closing sale price of its Common Stock is equal to or greater than $0.50 per share, the Company also has the right, in its sole discretion, to present Aspire Capital with a volume-weighted average price purchase notice (each, a “VWAP Purchase Notice”) directing Aspire Capital to purchase an amount of stock equal to up to 30% of the aggregate shares of Common Stock traded on its principal market on the next trading day (the “VWAP Purchase Date”), subject to a maximum number of shares the Company may determine. The purchase price per share pursuant to such VWAP Purchase Notice is generally 95% of the volume-weighted average price for Common Stock traded on its principal market on the VWAP Purchase Date.
The purchase price will be adjusted for any reorganization, recapitalization, non-cash dividend, stock split, or other similar transaction occurring during the period(s) used to compute the Purchase Price. The Company may deliver multiple Purchase Notices and VWAP Purchase Notices to Aspire Capital from time to time during the term of the Second Purchase Agreement, so long as the most recent purchase has been completed.
The Second Purchase Agreement provides that the Company and Aspire Capital will not effect any sales under the Second Purchase Agreement on any purchase date where the closing sale price of the Company’s common stock is less than $0.50. There are no trading volume requirements or restrictions under the Second Purchase Agreement, and the Company will control the timing and amount of sales of Common Stock to Aspire Capital. Aspire Capital has no right to require any sales by the Company, but is obligated to make purchases from the Company as directed by the Company in accordance with the Second Purchase Agreement. There are no limitations on use of proceeds, financial or business covenants, restrictions on future fundings, rights of first refusal, participation rights, penalties or liquidated damages in the Second Purchase Agreement. In consideration for entering into the Second Purchase Agreement, concurrently with the execution of the Second Purchase Agreement, the Company issued to Aspire Capital 2,500,000 shares of Common Stock (the “Second Commitment Shares”). The Second Purchase Agreement may be terminated by the Company at any time, at its discretion, without any cost to the Company. Aspire Capital has agreed that neither it nor any of its agents, representatives and affiliates shall engage in any direct or indirect short-selling or hedging of Common Stock during any time prior to the termination of the Second Purchase Agreement. Any proceeds from the Company receives under the Second Purchase Agreement are expected to be used for working capital and general corporate purposes. The Company cannot request Aspire to purchase more than $300,000 per business day.
As of September 30, 2018, the Company has issued purchase notices to Aspire Capital under the Second Purchase Agreement to purchase an aggregate of 884,671 shares of common stock, resulting in gross cash proceeds of approximately $1.9 million. The issuance of shares of common stock that were issued from time to time to Aspire Capital under the Second Purchase Agreement were exempt from registration under the Securities Act, pursuant to the exemption for transactions by an issuer not involving any public offering under Section 4(a)(2) of the Securities Act.
F-17
Shareholder Approval for Removal of Exchange Cap
The Second Purchase Agreement previously restricted the amount of shares that may be sold to Aspire Capital thereunder to 1,134,671 shares of Common Stock (the “Exchange Cap”). On November 26, 2018, the Company received shareholder approval to remove the Exchange Cap in compliance with the applicable listing rules of the NASDAQ Stock Market. Pursuant to NASDAQ Listing Rule 5635(d), shareholder approval is required prior to the issuance of securities in connection with a transaction other than a public offering involving the sale, issuance or potential issuance by the Company of common stock (or securities convertible into or exercisable common stock) equal to 20% or more of the common stock outstanding before the issuance for less than the greater of book or market value of the stock. Following receipt of shareholder approval, the Company may issue an additional $8.1 million, up to an aggregate of $10 million, of common stock to Aspire Capital under the Second Purchase Agreement.
Common and Preferred Stock
As of September 30, 2017, the Company is authorized to issue 515,000,000 shares of stock of which 500,000,000 are common stock, and 15,000,000 shares were preferred shares. As of September 30, 2018, the Company is authorized to issue 265,000,000 shares of stock of which 250,000,000 are common stock, and 15,000,000 shares were preferred shares, with a par value of $0.001 per shares are blank-check preferred stock which the Board is expressly authorized to issue without stockholder approval, for one or more series of preferred stock and, with respect to each such series, to fix the number of shares constituting such series and the designation of such series, the voting powers, if any, of the shares of such series, and the preferences and relative, participating, optional or other special rights, if any, and any qualifications, limitations or restrictions thereof, of the shares of such series. The powers, preferences and relative, participating, optional and other special rights of each series of preferred stock, and the qualifications, limitations or restrictions thereof, if any, may differ from those of any and all other series at any time outstanding.
Private Placement with Directors and Management
On September 21, 2018, the Company entered into definitive agreements with George C. Carpenter IV, President and Chief Executive Officer, Robin L. Smith, Chairman, as well as John Pappajohn, and Peter Unanue, each a director of the Company, and entities affiliated with Michal Votruba, a member of the board of directors of MYnd Analytics and Director of Life Sciences for the European-based RSJ-Gradus fund, relating to a private placement of an aggregate of 459,458 units for $1.85 per unit, with each unit consisting of one share of common stock and one common stock purchase warrant to purchase one share of Common Stock for $2.00 per share.
Stock-Option Plans
2006 Stock Incentive Plan
On August 3, 2006, CNS California adopted the CNS California 2006 Stock Incentive Plan (the “2006 Plan”). The 2006 Plan provides for the issuance of awards in the form of restricted shares, stock options (which may constitute incentive stock options (ISO) or non-statutory stock options (NSO), stock appreciation rights and stock unit grants to eligible employees, directors and consultants and is administered by the Board. A total of 3,339 shares of stock were ultimately reserved for issuance under the 2006 Plan. As of September 30, 2018, zero options were exercised and there were 1,445 option shares outstanding under the amended 2006 Plan. The outstanding options have exercise prices to purchase shares of Common Stock ranging from $2,400 to $3,300 per share.
2012 Omnibus Incentive Compensation Plan
On March 22, 2012, our Board approved the MYnd Analytics, Inc. 2012 Omnibus Incentive Compensation Plan (the “2012 Plan”), and reserved 1,667 shares of stock for issuance under the 2012 plan. On December 10, 2012, the Board approved the amendment of the 2012 Plan to increase the shares authorized for issuance from 1,667 shares to 27,500 shares. On March 26, 2013, the Board further approved the amendment of the 2012 Plan to increase the shares authorized for issuance from 27,500 shares to 75,000 shares. The 2012 Plan, as amended, was approved by our stockholders at the 2013 annual meeting held on May 23, 2013.
On April 5, 2016, the Board approved a further amendment of the 2012 Plan to increase the Common Stock authorized for issuance from 75,000 shares to 200,000 shares.
F-18
On September 22, 2016 the Board amended the 2012 Plan to: (i) increase the total number of shares of Common Stock available for grant under the 2012 Plan from 200,000 shares to an aggregate of 500,000 shares, (ii) add an “evergreen” provision which, on January 1st of each year through 2022, automatically increases the number of shares subject to the 2012 Plan by the lesser of: (a) a number equal to 10% of the shares of Common Stock authorized under the 2012 Plan as of the preceding December 31st, or (b) an amount, or no amount, as determined by the Board, but in no event may the number of shares of Common Stock authorized under the 2012 Plan exceed 885,781 and (iii) increase the annual individual award limits under the 2012 Plan to 100,000 shares of Common Stock, subject to adjustment in accordance with the 2012 Plan. Per the above mentioned “evergreen” provision, an additional 50,000 shares were automatically allocated for distribution under the 2012 Plan as of January 1, 2017.
At the 2017 Annual Meeting of Stockholders of MYnd Analytics, Inc. (“the Company”), held on August 21, 2017 (the “2017 Annual Meeting”), the holders of the Company’s common stock voted to amend the Company’s 2012 Omnibus Incentive Compensation Plan (the “2012 Plan”) to increase: (i) the total number of shares of common stock, par value $0.001 per share (“Common Stock”), available for grant under the 2012 Plan (subject to the overall limits described in clause (ii) below) from 550,000 shares to an aggregate of 975,000 shares; (ii) the aggregate limitation on authorized shares available for grant under the 2012 Plan, following any increases pursuant to the evergreen provision, from 885,781 shares to 1,570,248 shares and (iii) the annual individual award limits under the 2012 Plan to 150,000 shares of Common Stock (subject to adjustment in accordance with the 2012 Plan);
At the 2018 Annual Meeting of Stockholders of the Company, held on April 4, 2018, the holders of the Company’s common stock voted to amend the 2012 Plan to increase (i) the total number of shares of Common Stock available for grant under the 2012 Plan (subject to the overall limit described in clause (ii) below) from 1,072,500 shares to an aggregate of 1,500,000 shares and (ii) the aggregate limitation on the authorization shares available for grant under the 2012 Plan, following any increases pursuant to the evergreen provision, from 1,570,248 shares to 2,200,000 shares.
At the Special Meeting of Stockholders of the Company, held on November 26, 2018, the holders of the Company’s common and preferred stock voted to (i) amend the 2012 Plan to eliminate the annual individual award limits under the 2012 Plan and (ii) amend 2012 Plan to increase: (a) the total number of shares of common stock, par value $0.001 per share (“Common Stock”), available for grant under the 2012 Plan (subject to the overall limits described in clause (b) below) from 1,500,000 shares to an aggregate of 2,250,000 shares and (b) the aggregate limitation on authorized shares available for grant under the 2012 Plan, following any increases pursuant to the evergreen provision (the “Evergreen Provision”), from 2,200,000 shares to 2,950,000 shares.
Chairman Agreements and Amendments
On July 14, 2017, the Company entered into a Chairman Services Agreement (the “Agreement”) with Robin L. Smith, M.D., the Chairman of the Company’s board of directors (the “Board”). Pursuant to the Agreement, Dr. Smith is entitled to receive the following equity awards: (a) on the Effective Date, a grant of 25,000 shares of restricted stock (vesting immediately) under the 2012 Plan; (b) on the Effective Date, options to purchase 75,000 shares of Common Stock under the Plan; and (c) on the date of the Company’s 2017 annual meeting of stockholders, an award of options to purchase 50,000 shares of Common Stock (the “2017 Option Award”) was granted. In addition, at each annual meeting of stockholders of the Company thereafter beginning in 2018 during the Term, Dr. Smith will be entitled to receive a grant of 25,000 shares of restricted stock (vesting immediately) under the Plan and options to purchase 75,000 shares of Common Stock under the Plan. Other than the 2017 Option Award, all options granted under the Agreement will vest 1/3 on the date of grant, 1/3 on the six month anniversary of the date of grant and 1/3 on the twelve month anniversary of the date of grant. The 2017 Option Award will vest on December 1, 2018. Pursuant to the Agreement, all options owned by Dr. Smith will remain exercisable for a period of 10 years from the date of grant, even if Dr. Smith is no longer with the Company.
On April 24, 2018, the Company and Dr. Smith agreed to amend the Chairman Services Agreement, dated as of July 14, 2017 (the “Chairman Amendment”) to provide that Dr. Smith’s annual compensation for the 2018 calendar year would be reduced from $300,000 to $250,000. This change was retroactive to January 1st. Further, pursuant to the Chairman Amendment, Dr. Smith was granted an option on April 16, 2018 to purchase 50,000 shares of common stock under the Company’s 2012 Plan, which will not be terminated if Dr. Smith is no longer affiliated with the Company. The options granted under the Chairman Amendment will vest on the date of the grant.
Agreement with Maxim Group LLC
On April 2, 2018, the Company entered into an Advisory Agreement with Maxim Group LLC (“Maxim”) for general financial advisory and investment banking services. Maxim’s compensation under the agreement was 100,000 shares of the Company’s Common Stock, payable in one payment of 50,000 shares of Common Stock and five monthly payments of 10,000 shares of Common Stock from April through August 2018. The shares of Common Stock will have unlimited piggyback registration rights and the same rights afforded other holders of the Company’s Common Stock. Compensation expense under this agreement was $162,300 and was recorded as general and administrative expenses in the consolidated statement of operations for the year ended September 30, 2018.
F-19
Amendment to Chief Executive Officer’s Agreement
On April 19, 2018, the Company and George C. Carpenter, IV, the Chief Executive Officer of the Company, entered into an amendment to his Employment Agreement, dated as of September 7, 2007 (the “CEO Amendment”), pursuant to which Mr. Carpenter’s annual salary as reduced from $270,000 to $206,250. This change is retroactive to April 13, 2018. Further, pursuant to the CEO Amendment, Mr. Carpenter was granted 34,380 restricted shares of common stock under the 2012 Plan. The shares granted under the CEO Amendment will vest quarterly. If the employee’s relationship with the Company is terminated, the above grant will be prorated. On or before December 31, 2018, the parties will review this modification to determine if the above salary reduction adjustment will be renewed.
As of September 30, 2018, options to purchase 802,492 shares of Common Stock were outstanding under the 2012 Plan with exercise prices ranging from $1.55 to $600, with a weighted average exercise price of $4.39. Additionally, 406,564 restricted shares of Common Stock have been issued under the 2012 Plan, leaving 290,944 shares of Common Stock available to be awarded.
Stock-based compensation expense is generally recognized over the employees’ or service provider’s requisite service period, generally the vesting period of the award. Stock-based compensation expense included in the accompanying statements of operations for the years ended September 30, 2018 and 2017 is as follows:
| September 30, | ||||||||||||||||
| 2018 | 2017 | |||||||||||||||
| Stock-based compensation Expense non- Restricted Shares | Stock-based compensation Expense Restricted Shares | Stock-based compensation Expense non- Restricted Shares | Stock-based compensation Expense Restricted Shares | |||||||||||||
| Research | $ | — | $ | — | $ | 10,900 | $ | — | ||||||||
| Product development | 20,000 | 16,400 | 360,600 | — | ||||||||||||
| Sales and marketing | 3,400 | — | 175,300 | — | ||||||||||||
| General and administrative | 1,034,800 | 513,700 | 647,200 | 892,000 | ||||||||||||
| Total | $ | 1,058,200 | $ | 530,100 | $ | 1,194,000 | $ | 892,000 | ||||||||
Total unrecognized compensation expense was $185,537 as of September 30, 2018. The following table sets forth the Company’s unrecognized stock-based compensation expense, net of estimated forfeitures, by type of award and the weighted-average period over which that expense is expected to be recognized:
| September 30 | ||||||||||||||||
| 2018 | 2017 | |||||||||||||||
| Type of Award: | Unrecognized Expense, | Weighted average Recognition Period (in years) | Unrecognized Expense | Weighted average Recognition Period (in years) | ||||||||||||
| Stock Options | $ | 126,509 | 0.96 | $ | 860,915 | 3.54 | ||||||||||
| Restricted Stock | $ | 59,028 | 0.55 | $ | 205,858 | 1.00 | ||||||||||
| Total | $ | 185,537 | 0.83 | $ | 1,066,773 | 3.05 | ||||||||||
A summary of stock option activity is as follows:
| Number of Shares | Weighted Average Exercise Price | Weighted- Average Remaining Contractual Term (in years) | Intrinsic Value | |||||||||||||
| Outstanding at September 30, 2016 | 223,120 | $ | 50.98 | 6.63 | $ | 819,137 | ||||||||||
| Granted | 334,000 | 4.85 | — | — | ||||||||||||
| Exercised | — | — | — | — | ||||||||||||
| Forfeited | (3,037 | ) | 1,335.06 | — | — | |||||||||||
| Outstanding at September 30, 2017 | 554,083 | $ | 16.14 | 6.63 | $ | 7,425 | ||||||||||
| Granted | 468,000 | 2.01 | — | — | ||||||||||||
| Exercised | (35,000 | ) | 1.55 | — | — | |||||||||||
| Forfeited or expired | (183,146 | ) | 8.19 | — | — | |||||||||||
| Outstanding at September 30, 2018 | 803,937 | $ | 10.13 | 8.75 | $ | 7,500 | ||||||||||
F-20
There are 531,604 shares of options vested and 272,333 unvested as of September 30, 2018; there are 249,284 shares of options vested and 304,799 unvested as of September 30, 2017.
Following is a summary of the status of options outstanding at September 30, 2018:
| Exercise Price ($) | Number of Shares | Expiration Date | Weighted Average Exercise Price ($) | |||||||||
| 2012 Omnibus Incentive Compensation Plan | ||||||||||||
| $ | 1.55 | 250,000 | 4/2028 | 1.55 | ||||||||
| 1.99 | 50,000 | 4/2028 | 1.99 | |||||||||
| 2.35 | 10,000 | 6/2028 | 2.35 | |||||||||
| 2.98 | 10,000 | 5/2028 | 2.98 | |||||||||
| 3.60 | 54,000 | 09/2027 | 3.60 | |||||||||
| 3.74 | 5,000 | 12/2027 | 3.74 | |||||||||
| 3.88 | 20,000 | 11/2027 | 3.88 | |||||||||
| 3.96 | 35,000 | 11/2027 | 3.96 | |||||||||
| 4.10 | 5,000 | 08/2027 | 4.10 | |||||||||
| 4.16 | 50,000 | 08/2027 | 4.16 | |||||||||
| 4.33 | 75,000 | 07/2027 | 4.33 | |||||||||
| 5.10 | 7,750 | 04/2026 | 5.10 | |||||||||
| 5.90 | 18,000 | 03/2027 | 5.90 | |||||||||
| 6.00 | 174,000 | 09/2026 | 6.00 | |||||||||
| 9.44 | 22,307 | 12/2022 – 01/2023 | 9.44 | |||||||||
| 11.00 | 6,250 | 08/2025 | 11.00 | |||||||||
| 50.00 | 9,518 | 03/2023 – 01/2025 | 50.00 | |||||||||
| 52.00 | 625 | 07/2024 | 52.00 | |||||||||
| $ | 600.00 | 42 | 03/2022 | 600.00 | ||||||||
| Sub-Total | 802,492 | Weighted Average | $ | 4.39 | ||||||||
| 2006 Stock Incentive Plan | ||||||||||||
| $ | 2,400.00 | 144 | 03/2019 – 07/2020 | $ | 2,400.00 | |||||||
| 2,820.00 | 51 | 03/2021 | 2,820.00 | |||||||||
| $ | 3,300.00 | 1,250 | 03/2020 | $ | 3,300.00 | |||||||
| Sub-Total | 1,445 | Weighted Average | $ | 3,193.37 | ||||||||
| Total | 803,937 | Weighted Average | $ | 10.13 | ||||||||
Following is a summary of the status of restricted shares outstanding at September 30, 2018:
| Number of Shares | Weighted Average Grant Date Fair Value | Amount | ||||||||||
| Outstanding at September 30, 2016 | 143,750 | $ | 6.13 | $ | 881,250 | |||||||
| Granted | 79,000 | 3.83 | 302,650 | |||||||||
| Forfeited | — | — | — | |||||||||
| Outstanding at September 30, 2017 | 222,750 | $ | 5.31 | $ | 1,183,900 | |||||||
| Granted | 183,814 | 2.62 | 480,862 | |||||||||
| Forfeited | — | — | — | |||||||||
| Outstanding at September 30, 2018 | 406,564 | $ | 4.09 | $ | 1,664,762 | |||||||
F-21
The range of Black-Scholes option-pricing model assumption inputs for all the valuation dates are in the table below:
| September 30, 2017 through | ||||||||
| to September 30, 2018 | ||||||||
| Low | High | |||||||
| Annual dividend yield | — | % | — | % | ||||
| Expected life (years) | 5 | 5 | ||||||
| Risk-free interest rate | 1.14 | % | 2.94 | % | ||||
| Expected volatility | 194.36 | % | 210.39 | % | ||||
| September 30, 2016 through | ||||||||
| to September 30, 2017 | ||||||||
| Low | High | |||||||
| Annual dividend yield | — | % | — | % | ||||
| Expected life (years) | 5 | 5 | ||||||
| Risk-free interest rate | 1.14 | % | 1.93 | % | ||||
| Expected volatility | 196.77 | % | 234.54 | % | ||||
Expected Dividend Yield. The Company has never declared or paid any cash dividends and does not presently plan to pay cash dividends in the foreseeable future.
Expected Life. The Company elected to utilize the “simplified” method for “plain vanilla” options to value stock option grants. Under this approach, the weighted-average expected life is presumed to be the average of the vesting term and the contractual term.
Expected Volatility. The expected volatility rate used to value stock option grants is based on the historical volatilities of the Company’s common stock.
Risk-free Interest Rate. The risk-free interest rate assumption was based on U.S. Treasury Bill instruments that had terms consistent with the expected term of the Company’s stock option grants.
The warrant activity for the years ending September 30, 2018 and 2017, is described as follows:
| Number of Shares | Weighted Average Exercise Price | |||||||
| Outstanding at September 30, 2016 | 7,160 | $ | 50.41 | |||||
| Granted | 4,561,861 | 5.27 | ||||||
| Exercised | — | — | ||||||
| Expired | (1,349 | ) | 185.61 | |||||
| Forfeited | — | — | ||||||
| Outstanding at September 30, 2017 | 4,567,672 | $ | 5.30 | |||||
| Granted | 1,509,458 | 2.24 | ||||||
| Exercised | — | — | ||||||
| Expired/ Forfeited | (1,256 | ) | 48.07 | |||||
| Outstanding at September 30, 2018 | 6,075,874 | $ | 4.53 | |||||
F-22
Following is a summary of the status of warrants outstanding at September 30, 2018:
| Exercise Price | Number of Shares | Expiration Date | Weighted Average Exercise Price | |||||||||
| 2.00 | 459,458 | (1) | 9/21/2028 | 2.00 | ||||||||
| 2.34 | 1,050,000 | (2) | 03/2023 | 2.34 | ||||||||
| 5.25 | 2,539,061 | (3) | 07/2022 | 5.25 | ||||||||
| 5.25 | 1,675,000 | (4) | 07/2022 | 5.25 | ||||||||
| 5.25 | 213,800 | (5) | 07/2022 | 5.25 | ||||||||
| 6.04 | 134,000 | (6) | 07/2022 | 6.04 | ||||||||
| 10.00 | 4,000 | 06/2021 | 10.00 | |||||||||
| 55.00 | 555 | 06/2018 – 03/2019 | 55.00 | |||||||||
| Total | 6,075,874 | $ | 4.53 | |||||||||
| (1) | On September 21, 2018, the Company entered into definitive agreements with George C. Carpenter IV, President and Chief Executive Officer, Robin L. Smith, Chairman, as well as John Pappajohn, and Peter Unanue, each a director of the Company, and entities affiliated with Michal Votruba, a member of the board of directors of MYnd Analytics and Director of Life Sciences for the European-based RSJ-Gradus fund, relating to a private placement of an aggregate of 459,458 units for $1.85 per unit, with each unit consisting of one share of Common Stock and one Common Stock Purchase Warrant to purchase one share of Common Stock for $2.00 per share. The closing price per share of the Common Stock on the NASDAQ Stock Market on September 20, 2018 was $1.72 per share. | |
| (2) | On March 29, 2018, the Company sold an aggregate of 1,050,000 units for $2.00 per Unit each consisting of one share of newly-designated Series A Preferred Stock, and one warrant for $2.34 per share in a private placement to three affiliates of the Company, for gross proceeds of $2.1 million. The private placement closed on March 29, 2018. The closing price per share of the Common Stock on the NASDAQ Stock Market on March 29, 2018 was $1.19 per share. |
|
| (3) | On July 13, 2017, the Company declared a special dividend of warrants to purchase shares of the Company’s common stock to record holders of Common Stock as of such date. Warrants to purchase 2,539,061 shares of Common Stock were distributed pro rata to all holders of common stock on the record date. These warrants will be exercisable (in accordance with their terms) to purchase one share of common stock, at an exercise price of $5.25 per share. The warrants will become exercisable commencing not less than 12 months following their July 27, 2017 distribution date and will expire five years thereafter. | |
| (4) | On July 19, 2017, the Company issued 1,675,000 shares of Common Stock and accompanying Warrants to purchase up to 1,675,000 shares of Common Stock in connection with an underwritten public offering. | |
| (5) | On August 23, 2017, the Company issued 213,800 common stock warrants to underwriters as part of the overallotment attributed to the July 2017 underwritten public offering. | |
| (6) | As part of the underwritten public offering on July 19, 2017, the Company issued 134,000 common stock warrants to the underwriters as part of the services performed by them in connection with the underwritten public offering. |
At September 30, 2018, there were warrants outstanding to purchase 6,075,874 shares of the Company’s Common Stock. The exercise prices of the outstanding warrants range from $2.00 to $55 with a weighted average exercise price of $4.53. The warrants expire at various times starting November 2018 through September 2028.
7. CONVERTIBLE PREFERRED STOCK
On March 29, 2018, the Company sold an aggregate of 1,050,000 units for $2.00 per Unit, each consisting of one share of newly-designated Series A Preferred Stock, par value $0.001 per share and one Warrant to purchase one share of Common Stock, par value $0.001 per share for $2.34 per share in a private placement to three affiliates of the Company, for gross proceeds of $2.1 million (the “Financing”). The closing price per share of the Common Stock on the NASDAQ Stock Market on March 29, 2018 was $1.19 per share.
The Warrants will be exercisable for a period of five years for an exercise price of $2.34. The exercise price is subject to adjustment for stock splits, stock dividends, combinations or similar events. The Warrants may not be exercised on a cashless basis.
John Pappajohn and Peter Unanue, directors of the Company, purchased $1,000,000 and $100,000 of the Units, respectively. Mary Pappajohn, the spouse of John Pappajohn, purchased $1,000,000 of the Units.
On April 30, 2018, the Company entered into the First Amended Subscription Agreement for Shares of Series A Preferred Stock and Common Stock Purchase Warrants (the “Amended Agreement”) with John Pappajohn and Mary Pappajohn (each an “Investor”, and collectively the “Investors”), which provides for the issuance, as of the date of the Original Agreement, of an aggregate of 500,000 Shares of Series A-1 Convertible Preferred Stock, par value $0.001 per share (“Series A-1 Convertible Preferred Stock”), in lieu of the same number of Shares of Series A Convertible Preferred Stock that the Company had originally agreed to issue to the Investors. The Series A-1 Convertible Preferred Stock will have substantially the same rights and preferences as the Shares of Series A Preferred Stock, except that the Shares of Series A-1 Convertible Preferred Stock are non-voting and cannot be converted into Common Stock by an Investor if, as a result of such conversion, such Investor would beneficially own greater than 19.9% of the outstanding shares of Common Stock. Additionally, the Warrants were amended to provide that they would not be exercisable by an Investor if, following any such exercise, such Investor would beneficially own greater than 19.9% of the outstanding shares of Common Stock.
F-23
Dividends.
Shares of the Series A and Series A-1 Preferred Stock will be entitled to receive cash dividends at the rate of five percent (5.00%) of the Original Series A and Series A-1 Issue Price per annum, payable out of funds legally available therefor. Such dividends shall (i) accrue on shares of Series A and Series A-1 Preferred Stock from the date of issuance of such shares, (ii) be cumulative, and (iii) be payable only (A) when, as and if declared by the board of directors, (B) upon the occurrence of a Liquidation Event or a Deemed Liquidation Event (whether or not such dividends have been declared) and (C) “in kind” upon a conversion of the Series A Preferred Stock. The value of Common Stock for purposes of determining shares issuable upon a payment in kind shall not be less than the original issue price of the Series A Preferred Stock.
At September 30, 2018 and 2017, the amount of undeclared cumulative dividends totaled $49,200 and $0, respectively.
Voting Rights.
Each holder of a share of Series A Preferred Stock shall have the right to one vote for each share of Common Stock into which such Series A Preferred Stock could then be converted (with any fractional share determined on an aggregate conversion basis being rounded down to the nearest whole share). The holders shall be entitled to vote as a class on certain significant or corporate actions. Holders of shares of Series A-1 Preferred Stock do not have any voting rights.
Rank.
With respect to distributions upon a Liquidation Event (as defined below), the Series A and Series A-1 Preferred Stock shall rank senior to the Common Stock and to each other class of the Company’s capital stock existing now or hereafter created that are not specifically designated as ranking senior to the Series A Preferred Stock.
Liquidation Preference.
In the event of any voluntary or involuntary liquidation, dissolution or winding-up of the Company or such subsidiaries the assets of which constitute all or substantially all of the assets of the business of the Company and its subsidiaries, taken as a whole (“Liquidation Event”), the holders of shares of Series A and Series A-1 Preferred Stock shall be entitled to receive, prior and in preference to any distribution in such Liquidation Event to the holders of any junior securities, including the Common Stock, by reason of their ownership thereof, an amount per share equal to the Series A and Series A-1 Liquidation Preference for each outstanding share of Series A and Series A-1 Preferred Stock then held by them. After the payment or setting apart of payment of the full preferential amounts required to be paid to the holders of shares of Series A and Series A-1 Preferred Stock, the remaining assets and funds legally available for distribution to the Company’s stockholders shall be distributed among the holders of the shares of Common Stock ratably on a per-share basis.
Consolidation; Merger.
A (i) consolidation or merger of the Company with or into any other entity in which the stockholders of the Company immediately prior to such transaction do not own a majority of the voting capital stock of the surviving entity, (ii) sale, lease, transfer, exclusive license, conveyance or disposition of all or substantially all of the assets of the Company, or (iii) the effectuation by the Company of a transaction or series of related transactions in which more than 50% of the voting power of the Company is disposed of (each of (i), (ii) and (iii), a “Deemed Liquidation Event”), will each be deemed to be a Liquidation Event within the meaning of the Certificate of Designation, unless elected otherwise by vote of the Required Holders. Any securities to be delivered to the stockholders pursuant to a Deemed Liquidation Event will be valued at fair market value.
Conversion.
Each Holder of shares of Series A Preferred Stock shall have the right (the “Conversion Right”), at any time and from time to time, at such holder’s option, to convert all or any portion of such holder’s shares of Series A Preferred Stock into fully paid and non-assessable shares of Common Stock. Upon a holder’s election to exercise its Conversion Right, each share of Series A Preferred Stock for which the Conversion Right is exercised shall be converted into such number of shares of Common Stock as is determined by dividing the Original Purchase Price by the conversion price for the Series A Preferred Stock at the time in effect. Series A-1 Preferred stock cannot be converted into Common Stock by an Investor if, as a result of such conversion, such Investor would beneficially own greater than 19.9% of the outstanding shares of Common Stock. Additionally, the Warrants were amended to provide that they would not be exercisable by an Investor if, following any such exercise, such Investor would beneficially own greater than 19.9% of the outstanding shares of Common Stock.
F-24
In connection with the Financing, the Company also entered into a registration rights agreement (the “Registration Rights Agreement”) with the investors, requiring the Company to register the resale of the shares of Common Stock underlying the preferred stock and the Warrants. Under the Registration Rights Agreement, holders of a majority of the registrable securities then outstanding (the “Majority Holders”) may by a written Demand Notice to the Company (a “Demand Notice”) commencing six (6) months from the closing date, request the Company to effect the registration of all or part of the registrable securities owned by such Majority Holders and their respective affiliates on a Registration Statement on Form S-3. The Company has agreed to use its reasonable best efforts to cause such registration and/or qualification to be complete as soon as practicable, but in no event later than sixty (60) days, after receipt of the Demand Notice.
The shares of Series A and Series A-1 Preferred Stock were offered and sold in reliance upon the exemption from the registration requirements of the Securities Act of 1933, as amended (the “Securities Act”), set forth under Section 4(a)(2) of the Securities Act and Rule 506 of Regulation D promulgated under the Securities Act, relating to sales by an issuer not involving any public offering and in reliance on similar exemptions under applicable state laws. Each purchaser represented that it is an accredited investor and that it acquired the Series A Preferred Stock and Warrants for investment purposes only and not with a view to any resale, distribution or other disposition of such securities in violation of the United States federal securities laws.
8. INCOME TAXES
The following is a reconciliation of the provision (benefit) for income taxes to the amount compiled by applying the statutory federal income tax rate to profit (loss) before income taxes is as follows for the years ended September 30, 2018 and 2017.
| 2018 | 2017 | |||||||
| Federal income tax (benefit) at statutory rates | 24.25 | % | 34.0 | % | ||||
| Stock-based compensation | (0.22 | )% | (3.46 | )% | ||||
| Rate change | (81.08 | )% | — | |||||
| Change in valuation allowance | 58.95 | % | (29.29 | )% | ||||
| True-ups and other adjustments | (0.09 | )% | (1.27 | )% | ||||
| State tax benefit | (1.82 | )% | (0.02 | )% | ||||
| Total | (0.02 | )% | (0.04 | )% | ||||
The provision for income taxes consisted of the following for the years ended September 30, 2018 and 2017:
| 2018 | 2017 | |||||||
| Current: | ||||||||
| Federal: | $ | — | $ | — | ||||
| State: | 1,900 | 2,600 | ||||||
| Deferred: | ||||||||
| Federal: | 129,700 | 2,082,900 | ||||||
| State: | (246,500 | ) | (840,600 | ) | ||||
| Change in valuation allowance | (116,800 | ) | (1,242,300 | ) | ||||
| Total | 1,900 | 2,600 | ||||||
| 2018 | 2017 | |||||||
| Current: | ||||||||
| Federal: | $ | — | $ | — | ||||
| State: | 1,900 | 2,600 | ||||||
| Total current | 1,900 | 2,600 | ||||||
| Deferred: | ||||||||
| Federal: | (5,819,600 | ) | 2,082,900 | |||||
| State: | (246,500 | ) | (840,600 | ) | ||||
| Total deferred | (6,066,100 | ) | 1,242,300 | |||||
| Change in valuation allowance | 6,066,100 | (1,242,300 | ) | |||||
| Total | $ | 1,900 | $ | 2,600 | ||||
In accordance with U.S. GAAP as determined by ASC 740, Income Taxes, the Company is required to record the effects of tax law changes in the period enacted. As the Company has a September 30th fiscal year end, its U.S. federal corporate income tax rate will be blended in fiscal 2018, resulting in a statutory federal rate of approximately 24% (three months at 34% and nine months at 21%), and will be 21% for subsequent fiscal years. The Company remeasured its existing deferred tax assets and liabilities at the rate the Company expects to be in effect when those deferred taxes will be realized (24% if in 2018 or 21% thereafter) and recorded a one-time deferred tax expense of approximately $8.4 million during the year ended September 30, 2018.
F-25
Temporary differences between the financial statement carrying amounts and bases of assets and liabilities that give rise to significant portions of deferred taxes relate to the following at September 30, 2018 and 2017:
| 2018 | 2017 | |||||||
| Deferred income tax assets: | ||||||||
| Net operating loss carryforward | $ | 13,921,773 | $ | 19,024,793 | ||||
| Deferred interest, consulting and compensation liabilities | 2,850,840 | 3,850,567 | ||||||
| Deferred income tax assets – other | 155,517 | 118,793 | ||||||
| 16,928,130 | 22,994,153 | |||||||
| Deferred income tax liabilities—other | — | — | ||||||
| Deferred income tax asset—net before valuation allowance | 16,928,130 | 22,994,153 | ||||||
| Valuation allowance | (16,928,130 | ) | (22,994,153 | ) | ||||
| Deferred income tax asset—net | $ | — | $ | — | ||||
As of September 30, 2018, the Company had gross Federal net operating loss carryforwards of approximately $60.2 million and State gross net operating loss carryforwards of approximately $33.8 million. Both the Federal and State net operating loss carryforwards will begin to expire in 2022 and 2023 respectively. Our ability to utilize net operating loss carryforwards may be limited in the event that a change in ownership, as defined in the Internal Revenue Code, occurs in the future.
The Company has placed a valuation allowance against the deferred tax assets in excess of deferred tax liabilities due to the uncertainty surrounding the realization of such excess tax assets. Management periodically evaluates the recoverability of the deferred tax assets and the level of the valuation allowance. At such time as it is determined that it is more likely than not that the deferred tax assets are realizable, the valuation allowance will be reduced accordingly.
The Company’s estimate of the potential outcome of any uncertain tax position is subject to management’s assessment of relevant risks, facts, and circumstances existing at that time. The Company believes that it has adequately provided for these matters. However, the Company’s future results may include favorable or unfavorable adjustments to its estimates in the period the audits are resolved, which may impact the Company’s effective tax rate. The Company does not believe that it is reasonably possible that the total amount of unrecognized tax benefits will significantly increase or decrease in the next 12 months. As of September 30, 2018, the Company’s tax filings are generally subject to examination in major tax jurisdictions for years ending on or after September 30, 2014. The Company does not accrue for potential interest and penalties attributed to uncertain tax positions as it is not material.
9. RELATED PARTY TRANSACTIONS
DCA Agreement
On September 25, 2013, the Board approved a consulting agreement effective May 1, 2013, for marketing services provided by Decision Calculus Associates (“DCA”), an entity operated by Mr. Carpenter’s spouse, Jill Carpenter. Effective August 2015, DCA was engaged at a fee of $10,000 per month. From August 2015 through February 2017, DCA has been paid $170,000. The DCA contract was renewed at $3,000 a month effective March 1, 2017. The Company incurred fees of $31,000 and $$57,000 for the years ended September 30, 2018 and 2017, respectively. On May 1, 2018, the Company amended the agreement with DCA to reduce the monthly fee to $2,000 a month. The amendment provides for a term of one year with a 30 day termination clause.
Hooper Holmes Agreement
In 2016, we entered into an agreement with Hooper Holmes Inc., for which Dr. Smith, our Chairman of the Board, became an advisory member of its board as of March 16, 2017, and in which Mr. Pappajohn, our director, has participated in equity raises to become the beneficial owner of a greater than 10% interest. Hooper Holmes performs EEGs nationwide to patients who wish to obtain a PEER report. The Company paid $110,100 and $20,300 for these services during the years ended September 30, 2018 and 2017, respectively.
Sale of Preferred Shares
On March 29, 2018, the Company sold an aggregate of 1,050,000 shares for $2.00 per Unit, each consisting of one share of newly-designated Series A Preferred Stock or Series A-1 Preferred Stock, par value $0.001 per share and one Warrant to purchase one share of Common Stock, par value $0.001 per share for $2.34 per share in a private placement to three affiliates of the Company, John And Mary Pappajohn and Peter Unanue, for gross proceeds of $2.1 million. The private placement closed on March 29, 2018.
F-26
Private Placement with Directors and Management
On September 21, 2018, the Company entered into definitive agreements with George C. Carpenter IV, President and Chief Executive Officer, Robin L. Smith, Chairman, as well as John Pappajohn, and Peter Unanue, each a director of the Company, and entities affiliated with Michal Votruba, a member of the board of directors of MYnd Analytics and Director of Life Sciences for the European-based RSJ-Gradus fund, relating to a private placement of an aggregate of 459,458 units for $1.85 per unit, with each unit consisting of one share of common stock and one common stock purchase warrant to purchase one share of Common Stock for $2.00 per share.
10. LOSS PER SHARE
Basic earnings (loss) per share is computed by dividing income (loss) available to common stockholders less the current period preferred stock dividend by the weighted average common shares outstanding during the period. Diluted earnings (loss) per share takes into account the potential dilution that could occur if securities or other contracts to issue Common Stock were exercised and converted into Common Stock.
A summary of the net income (loss) and shares used to compute net income (loss) per share for the fiscal years ended September 30, 2018 and 2017 is as follows:
| 2018 | 2017 | |||||||
| Net Loss for computation of basic and diluted net loss per share: | ||||||||
| Net loss attributable to MYnd Analytics, Inc. | $ | (9,598,700 | ) | $ | (7,112,800 | ) | ||
| Preferred stock dividends | (49,200 | ) | — | |||||
| $ | (9,647,900 | ) | $ | (7,112,800 | ) | |||
| Basic and Diluted net loss per share: | ||||||||
| Basic net loss per share | $ | (1.86 | ) | $ | (2.52 | ) | ||
| Basic and Diluted weighted average shares outstanding | 5,199,566 | 2,817,415 | ||||||
| Anti-dilutive common equivalent shares not included in the computation of dilutive net loss per share: | ||||||||
| Warrants | 6,075,874 | 957,198 | ||||||
| Restricted common stock | 406,564 | 4,500 | ||||||
| Options | 803,937 | 359,704 | ||||||
11. COMMITMENTS AND CONTINGENT LIABILITIES
Litigation
The Company is not currently party to any legal proceedings, the adverse outcome of which, in the Company’s management’s opinion, individually or in the aggregate, would have a material adverse effect on the Company’s results of operations or financial position.
Lease Commitments
The Company is a party to four leases, three are for office space located in Mission Viejo and Laguna Hills, California which house the corporate headquarters and neurometric business. The total lease payments per month are $10,666. The two leases for office space located in Mission Viejo and Laguna Hills have been renewed through February 28, 2020 and the total lease payments per month will be $8,411 beginning February 1, 2019. As of November 30, 2018, the third lease for a small annex office in Laguna Hills has been terminated.
The Company has one three-year lease for office space in Tysons, Virginia. As of June 1, 2018, the Company has sublet the premises under the Tyson, Virginia office space lease. The master lease period expires on September 30, 2020. The rent through September 30, 2018 was prorated at $2,508 per month; for the subsequent 12 months the rent is prorated at $2,576 per month; and for the remaining twelve months the rent will be prorated at $2,647 per month. The subtenant is paying approximately seventy seven percent of the master lease payment for the fourteen months ending on September 30, 2019 and has an option to renew for the final lease year.
F-27
Arcadian Services’ business has office space located in Fort Washington, PA. The lease period expires on February 28, 2020. The rent is currently $3,312 per month and will increase to $3,410 per month on March 1, 2019 for the remainder of the lease.
| Payments due by fiscal year | ||||||||||||
| Contractual Obligations | 2019 | 2020 | Total | |||||||||
| Operating Lease Obligations | $ | 114,000 | $ | 48,800 | $ | 162,800 | ||||||
| Total | $ | 114,000 | $ | 48,800 | $ | 162,800 | ||||||
12. SIGNIFICANT CUSTOMERS
For the fiscal year ended September 30, 2018, four customers accounted for 29% of Neurometric Services revenue and three customers accounted for 35% of accounts receivable at September 30, 2018.
For the fiscal year ended September 30, 2017, four customers accounted for 50% of Neurometric Services revenue and three customers accounted for 72% of accounts receivable at September 30, 2017.
13. SUBSEQUENT EVENTS
Special Meeting of Stockholders
At the Special Meeting of Stockholders of the Company, held on November 26, 2018 (“Special Meeting 2018”) the holders of the Company’s common and preferred stock voted to (i) amend the 2012 Plan to eliminate the annual individual award limits under the 2012 Plan and (ii) amend 2012 Plan to increase: (a) the total number of shares of common stock, par value $0.001 per share (“Common Stock”), available for grant under the 2012 Plan (subject to the overall limits described in clause (b) below) from 1,500,000 shares to an aggregate of 2,250,000 shares and (b) the aggregate limitation on authorized shares available for grant under the 2012 Plan, following any increases pursuant to the evergreen provision (the “Evergreen Provision”), from 2,200,000 shares to 2,950,000 shares.
In addition, to the above, the Company received shareholder approval to remove the exchange cap under the Second Purchase Agreement in compliance with the applicable listing rules of the NASDAQ Stock Market. Pursuant to NASDAQ Listing Rule 5635(d), shareholder approval is required prior to the issuance of securities in connection with a transaction other than a public offering involving the sale, issuance or potential issuance by the Company of common stock (or securities convertible into or exercisable common stock) equal to 20% or more of the common stock outstanding before the issuance for less than the greater of book or market value of the stock. Following receipt of shareholder approval, the Company may issue an additional $8.1 million, up to an aggregate of $10 million, of common stock to Aspire Capital under the Second Purchase Agreement.
Share Grants to Directors
On October 8, 2018, the Compensation Committee and the Board granted to Director Votruba 144,000 restricted shares of common stock under the 2012 Plan for efforts expended as a Board member to explore and identify licensing and other opportunities for the Company in Europe. Mr. Votruba is a representative of RSJ and has agreed to assign to RSJ the benefit of all options and restricted shares granted to him in connection with his service as a member of the board of directors. On October 8, 2018, the Board granted (i) 30,000 restricted shares under the 2012 Plan to each of John Pappajohn and Peter Unanue, Members of the Board and (ii) 45,000 restricted shares under the 2012 Plan to Geoffrey Harris, who serves as the Audit Committee chairperson, these shares will vest quarterly.
Option Grants to the Chairman, Executive Officers and Other Employees
On October 8, 2018, the Board granted an option to Dr. Robin Smith, the Chairman of the Board to purchase 48,000 shares of Common Stock. On the same date, the Board granted options to purchase 48,000 and 30,000 shares to each of George Carpenter, the President and Chief Executive Officer and Donald D’Ambrosio, the Chief Financial Officer, respectively, and options to purchase an aggregate of 100,500 shares to other employees and consultants. All of the above options will vest upon certain milestones being met and were subject to the shareholder approval which was granted on November 26, 2018 at the Special Meeting of Shareholders.
On December 3, 2018, options were granted to purchase 30,000 and 26,500 shares of Company common stock to each of George Carpenter, the President and Chief Executive Officer and Donald D’Ambrosio, the Chief Financial Officer, respectively, and options to purchase an aggregate of 46,758 shares of Company common stock were granted to other employees. One-third of the options granted vested on December 3, 2018 and one-third will vest on each of December 3, 2019 and December 3, 2020.
Leases
In October and November of 2018, the Company renewed the office space leases in Mission Viejo and Laguna Hills, California until February 28, 2020. The total lease payments per month will be $8,411 beginning February 1, 2019. As of November 30, 2018, the third lease for a small annex office in Laguna Hills has been terminated.
F-28
UNAUDITED CONDENSED CONSOLIDATED BALANCE SHEETS
| As of March 31, 2019 (Unaudited) | As of September 30, 2018 | |||||||
| ASSETS | ||||||||
| CURRENT ASSETS: | ||||||||
| Cash and cash equivalents | $ | 1,203,200 | $ | 3,254,700 | ||||
| Accounts receivable, net | 154,400 | 63,300 | ||||||
| Prepaid insurance | 9,700 | 57,900 | ||||||
| Prepaid expenses and other current assets | 181,200 | 134,700 | ||||||
| Total current assets | 1,548,500 | 3,510,600 | ||||||
| Property and equipment, net | 87,700 | 110,800 | ||||||
| Intangible assets, net | 88,400 | 116,500 | ||||||
| Goodwill | 1,386,800 | 1,386,800 | ||||||
| Other assets | 29,600 | 27,100 | ||||||
| TOTAL ASSETS | $ | 3,141,000 | $ | 5,151,800 | ||||
| LIABILITIES AND STOCKHOLDERS’ EQUITY: | ||||||||
| CURRENT LIABILITIES: | ||||||||
| Accounts payable (including $36,400 and $30,350 to related parties as of March 31, 2019 and September 30, 2018, respectively) | $ | 970,700 | $ | 346,900 | ||||
| Accrued liabilities | 204,700 | 268,900 | ||||||
| Accrued compensation | 244,900 | 175,400 | ||||||
| Accrued compensation – related parties | 322,800 | 209,300 | ||||||
| Accrued interest and other liabilities | 3,900 | 3,900 | ||||||
| Deferred revenue | 152,100 | 159,700 | ||||||
| Current portion of leases | 1,400 | 1,300 | ||||||
| Total current liabilities | 1,900,500 | 1,165,400 | ||||||
| LONG-TERM LIABILITIES | ||||||||
| Long-term borrowing, net | 606,500 | 587,700 | ||||||
| Accrued interest on long-term borrowing | 120,500 | 110,100 | ||||||
| Long-term portion of capital lease | 1,400 | 2,100 | ||||||
| Total long-term liabilities | 728,400 | 699,900 | ||||||
| TOTAL LIABILITIES | 2,628,900 | 1,865,300 | ||||||
| STOCKHOLDERS’ EQUITY: | ||||||||
| Preferred stock, $0.001 par value; 15,000,000 authorized; 1,500,000 shares of Series A Preferred Stock and 500,000 shares of Series A-1 authorized; 550,000 shares of Series A Preferred Stock and 500,000 shares of Series A-1 issued and outstanding as of March 31, 2019 and as of September 30, 2018; aggregate liquidation preference of $1,968,750 as of March 31, 2019 and as of September 30, 2018; | 1,100 | 1,100 | ||||||
| Common stock, $0.001 par value; 250,000,000 shares authorized as of March 31, 2019 and September 30, 2018 respectively, 8,936,695 and 7,407,254 shares issued and outstanding as of March 31, 2019 and September 30, 2018, respectively; | 8,900 | 7,400 | ||||||
| Additional paid-in capital | 91,895,900 | 89,257,700 | ||||||
| Accumulated deficit | (89,881,400 | ) | (85,245,300 | ) | ||||
| 2,024,500 | 4,020,900 | |||||||
| Non-controlling interest | (1,512,400 | ) | (734,400 | ) | ||||
| Total stockholders’ equity | 512,100 | 3,286,500 | ||||||
| TOTAL LIABILITIES AND STOCKHOLDERS’ EQUITY | $ | 3,141,000 | $ | 5,151,800 | ||||
See accompanying notes to unaudited condensed consolidated financial statements.
F-29
UNAUDITED CONDENSED CONSOLIDATED STATEMENTS OF OPERATIONS
| Three Months Ended March 31, | Six Months Ended March 31, | |||||||||||||||
| 2019 | 2018 | 2019 | 2018 | |||||||||||||
| REVENUES | ||||||||||||||||
| Neurometric services | $ | 44,800 | $ | 79,800 | $ | 124,000 | $ | 133,100 | ||||||||
| Telepsychiatry services | 415,300 | 380,100 | 723,200 | 448,800 | ||||||||||||
| Total revenues | 460,100 | 459,900 | 847,200 | 581,900 | ||||||||||||
| COST OF REVENUES | ||||||||||||||||
| Neurometric services | 5,100 | 69,700 | 11,500 | 118,800 | ||||||||||||
| Telepsychiatry services | 291,200 | 228,600 | 509,900 | 264,400 | ||||||||||||
| 296,300 | 298,300 | 521,400 | 383,200 | |||||||||||||
| GROSS MARGIN | 163,800 | 161,600 | 325,800 | 198,700 | ||||||||||||
| OPERATING EXPENSES | ||||||||||||||||
| Research | 60,800 | 73,400 | 141,600 | 154,900 | ||||||||||||
| Product development | 237,300 | 342,200 | 474,300 | 611,400 | ||||||||||||
| Sales and marketing | 199,400 | 638,000 | 351,300 | 1,305,200 | ||||||||||||
| General and administrative | 2,350,300 | 1,740,900 | 4,724,100 | 3,515,800 | ||||||||||||
| Total operating expenses | 2,847,800 | 2,794,500 | 5,691,300 | 5,587,300 | ||||||||||||
| OPERATING LOSS | (2,684,000 | ) | (2,632,900 | ) | (5,365,500 | ) | (5,388,600 | ) | ||||||||
| OTHER INCOME (EXPENSE): | ||||||||||||||||
| Interest expense, net | (23,400 | ) | (24,800 | ) | (46,300 | ) | (38,500 | ) | ||||||||
| Total other income (expense) | (23,400 | ) | (24,800 | ) | (46,300 | ) | (38,500 | ) | ||||||||
| LOSS BEFORE PROVISION FOR INCOME TAXES | (2,707,400 | ) | (2,657,700 | ) | (5,411,800 | ) | (5,427,100 | ) | ||||||||
| Income taxes | 2,300 | 1,900 | 2,300 | 1,900 | ||||||||||||
| NET LOSS | $ | (2,709,700 | ) | $ | (2,659,600 | ) | $ | (5,414,100 | ) | $ | (5,429,000 | ) | ||||
| Net loss attributable to non-controlling interest | (451,100 | ) | (72,300 | ) | (778,000 | ) | (72,300 | ) | ||||||||
| Net Loss attributable to MYnd Analytics, Inc. | $ | (2,258,600 | ) | $ | (2,587,300 | ) | $ | (4,636,100 | ) | $ | (5,356,700 | ) | ||||
| BASIC AND DILUTED LOSS PER SHARE: | $ | (0.27 | ) | $ | (0.59 | ) | $ | (0.58 | ) | $ | (1.23 | ) | ||||
| WEIGHTED AVERAGE SHARES OUTSTANDING: | ||||||||||||||||
| Basic and Diluted | 8,399,443 | 4,362,564 | 7,964,021 | 4,347,745 | ||||||||||||
See accompanying notes to unaudited condensed consolidated financial statements.
F-30
UNAUDITED CONDENSED CONSOLIDATED STATEMENTS OF STOCKHOLDERS’ EQUITY
for the three and six months ended March 31, 2019 and 2018
| Common Stock | Preferred Stock | |||||||||||||||||||||||||||||||||||
| Additional Paid-in | Accumulated | Sub-total MYnd Stockholders’ | Non- controlling | |||||||||||||||||||||||||||||||||
| Shares | Amount | Shares | Amount | Capital | Deficit | Equity | Interest | Total | ||||||||||||||||||||||||||||
| Balance at September 30, 2018 | 7,407,254 | $ | 7,400 | 1,050,000 | $ | 1,100 | $ | 89,257,700 | $ | (85,245,300 | ) | $ | 4,020,900 | $ | (734,400 | ) | $ | 3,286,500 | ||||||||||||||||||
| Shares issued to Aspire Capital Purchase Agreement | 144,000 | 200 | 517,100 | — | 517,300 | 517,300 | ||||||||||||||||||||||||||||||
| Common Stock issued to vendors for services | 3,750 | — | — | — | 5,600 | — | 5,600 | — | 5,600 | |||||||||||||||||||||||||||
| Net loss | — | — | — | — | — | (2,377,500 | ) | (2,377,500 | ) | (326,900 | ) | (2,704,400 | ) | |||||||||||||||||||||||
| Balance at December 31, 2018 | 7,555,004 | $ | 7,600 | 1,050,000 | $ | 1,100 | $ | 89,780,400 | $ | (87,622,800 | ) | $ | 2,166,300 | $ | (1,061,300 | ) | $ | 1,105,000 | ||||||||||||||||||
| Stock-based compensation | 30,000 | — | — | — | 258,000 | — | 258,000 | — | 258,000 | |||||||||||||||||||||||||||
| Shares issued to Aspire Capital Purchase Agreement | 1,315,429 | 1,300 | 1,810,500 | — | 1,811,800 | 1,811,800 | ||||||||||||||||||||||||||||||
| Common Stock issued to vendors for services | 36,262 | — | — | — | 47,000 | — | 47,000 | — | 47,000 | |||||||||||||||||||||||||||
| Net loss | — | — | — | — | — | (2,258,600 | ) | (2,258,600 | ) | (451,100 | ) | (2,709,700 | ) | |||||||||||||||||||||||
| Balance at March 31, 2019 | 8,936,695 | $ | 8,900 | 1,050,000 | $ | 1,100 | $ | 91,895,900 | $ | (89,881,400 | ) | $ | 2,024,500 | $ | (1,512,400 | ) | $ | 512,100 | ||||||||||||||||||
| Balance at September 30, 2017 | 4,299,311 | $ | 4,300 | — | $ | — | $ | 80,189,700 | $ | (75,646,600 | ) | $ | 4,547,400 | — | $ | 4,547,400 | ||||||||||||||||||||
| Stock-based compensation | 37,500 | 100 | 336,500 | 336,600 | — | 336,600 | ||||||||||||||||||||||||||||||
| Common Stock issued to vendors for services | 23,750 | — | 14,800 | 14,800 | 14,800 | |||||||||||||||||||||||||||||||
| Net loss | (2,769,300 | ) | (2,769,300 | ) | — | (2,769,300 | ) | |||||||||||||||||||||||||||||
| Balance at December 31, 2017 | 4,360,561 | $ | 4,400 | — | $ | — | $ | 80,541,000 | $ | (78,415,900 | ) | $ | 2,129,500 | $ | — | $ | 2,129,500 | |||||||||||||||||||
| Stock-based compensation | 20,000 | — | 256,400 | — | 256,400 | — | 256,400 | |||||||||||||||||||||||||||||
| Common Stock issued to vendors for services | (16,250 | ) | — | 11,000 | — | 11,000 | — | 11,000 | ||||||||||||||||||||||||||||
| Stock issued for preferred shares | — | — | 1,050,000 | 1,100 | 2,098,900 | — | 2,100,000 | — | 2,100,000 | |||||||||||||||||||||||||||
| Net loss | — | — | (2,659,700 | ) | (2,659,700 | ) | (72,300 | ) | (2,732,000 | ) | ||||||||||||||||||||||||||
| Balance at March 31, 2018 | 4,364,311 | $ | 4,400 | 1,050,000 | $ | 1,100 | $ | 82,907,300 | $ | (81,075,600 | ) | $ | 1,837,200 | $ | (72,300 | ) | $ | 1,764,900 | ||||||||||||||||||
See accompanying Notes to Unaudited Condensed Consolidated Financial Statements.
F-31
UNAUDITED CONDENSED CONSOLIDATED STATEMENTS OF CASH FLOWS
| Six Months Ended March 31, | ||||||||
| 2019 | 2018 | |||||||
| OPERATING ACTIVITIES: | ||||||||
| Net loss | $ | (5,414,100 | ) | $ | (5,429,000 | ) | ||
| Adjustments to reconcile net loss to net cash used in operating activities: | ||||||||
| Depreciation and amortization | 60,300 | 57,500 | ||||||
| Change in provision for doubtful accounts | 6,300 | 1,200 | ||||||
| Stock-based compensation | 775,300 | 593,000 | ||||||
| Common stock issued to vendors for services | 52,600 | 25,800 | ||||||
| Accretion of debt discount | 46,700 | 35,500 | ||||||
| Changes in operating assets and liabilities: | ||||||||
| Accounts receivable | (97,400 | ) | (156,200 | ) | ||||
| Prepaid expenses and other assets | (800 | ) | (97,200 | ) | ||||
| Accounts payable and accrued liabilities | 559,600 | 112,400 | ||||||
| Deferred revenue | (7,600 | ) | 125,000 | |||||
| Deferred compensation | 183,000 | (8,300 | ) | |||||
| Net cash used in operating activities | (3,836,100 | ) | (4,740,300 | ) | ||||
| INVESTING ACTIVITIES: | ||||||||
| Purchase of furniture and equipment | (9,100 | ) | (55,200 | ) | ||||
| Payment for acquisition of business, net of cash acquired | — | (306,600 | ) | |||||
| Net cash used in investing activities | (9,100 | ) | (361,800 | ) | ||||
| FINANCING ACTIVITIES: | ||||||||
| Principal payments on note payable | (17,500 | ) | (34,100 | ) | ||||
| Principal payments on capital lease | (600 | ) | (600 | ) | ||||
| Proceeds from sale of common stock, net of costs | 1,811,800 | 2,100,000 | ||||||
| Net cash provided by financing activities | 1,793,700 | 2,065,300 | ||||||
| NET INCREASE (DECREASE) IN CASH | (2,051,500 | ) | (3,036,800 | ) | ||||
| CASH AND CASH EQUIVALENTS - BEGINNING OF THE PERIOD | 3,254,700 | 5,449,000 | ||||||
| CASH AND CASH EQUIVALENTS - END OF THE PERIOD | $ | 1,203,200 | $ | 2,412,200 | ||||
| SUPPLEMENTAL DISCLOSURE OF CASH FLOW INFORMATION: | ||||||||
| Cash paid during the period for: | ||||||||
| Interest | $ | 2,000 | $ | 4,700 | ||||
| Income taxes | $ | 2,300 | $ | 1,900 | ||||
| SUPPLEMENTAL DISCLOSURES OF NON-CASH INVESTING & FINANCING ACTIVITIES: | ||||||||
| Long-term borrowings assumed in business combination | $ | — | $ | 651,700 | ||||
See accompanying notes to unaudited condensed consolidated financial statements
F-32
NOTES TO UNAUDITED CONDENSED CONSOLIDATED FINANCIAL STATEMENTS
1. ORGANIZATION, NATURE OF OPERATIONS AND GOING CONCERN UNCERTAINTY
MYnd Analytics, Inc. (“MYnd,” “CNS,” “we,” “us,” “our,” or the “Company”), formerly known as CNS Response Inc., is a predictive analytics company that has developed a decision support tool to help physicians reduce trial and error treatment in mental health and provide more personalized care to patients. The Company employs a clinically validated scalable technology platform to support personalized care for mental health patients. The Company utilizes its patented machine learning, artificial intelligence, data analytics platform for the delivery of telebehavioral health services and its PEER predictive analytics product offering. On November 13, 2017, the Company acquired Arcadian Telepsychiatry Services LLC (“Arcadian”), which manages the delivery of telepsychiatry and telebehavioral health services through a nationwide network of licensed and credentialed psychiatrists, psychologists and master’s-level therapists. The Company is commercializing its PEER predictive analytics tool to help physicians reduce trial and error treatment in mental health. MYnd’s patented, clinically validated technology platform (“PEER Online”) utilizes complex algorithms to analyze electroencephalograms (“EEGs”) to generate Psychiatric EEG Evaluation Registry (“PEER”) Reports to predict individual responses to a range of medications prescribed for the treatment of behavioral disorders including depression, anxiety, bipolar disorder, PTSD and other non-psychotic disorders.
Going Concern Uncertainty
The accompanying unaudited condensed consolidated financial statements have been prepared in conformity with U.S. generally accepted accounting principles (“GAAP”), which contemplate continuation of the Company as a going concern. The Company’s operations are subject to certain problems, expenses, difficulties, delays, complications, risks and uncertainties frequently encountered in the operation of a business. These risks include the ability to obtain adequate financing on a timely basis, if at all, the failure to develop or supply technology or services to meet the demands of the marketplace, the failure to attract and retain qualified personnel, competition within the industry, government regulation and the general strength of regional and national economies.
The Company’s recurring net losses and negative cash flows from operations raise substantial doubt about its ability to continue as a going concern. During the six months ended March 31, 2019, the Company incurred a net loss of $5.4 million and used $3.8 million of net cash in operating activities. As of March 31, 2019, the Company’s accumulated deficit was $89.9 million. In connection with these unaudited condensed consolidated financial statements, management evaluated whether there were conditions and events, considered in the aggregate, that raised substantial doubt about the Company’s ability to meet its obligations as they become due for the next twelve months from the date of issuance of these financial statements. Management assessed that there were such conditions and events, including a history of recurring operating losses, and negative cash flows from operating activities.
To date, the Company has financed its cash requirements primarily from equity financings. As of March 31, 2019, the Company’s principal sources of liquidity were its cash balance of $1.2 million and the remaining amount available under the Aspire Equity Line of Credit of $6.3 million. The Company will need to raise funds immediately to continue its operations and increase demand for its services. Until it can generate sufficient revenues to meet its cash requirements, which it may never do, the Company must continue to finance future cash needs primarily through public or private equity offerings, debt financings or strategic collaborations. The Company’s liquidity and capital requirements depend on several factors, including the rate of market acceptance of its services, the future profitability of the Company, the rate of growth of the Company’s business and other factors described elsewhere in this Quarterly Report on Form 10-Q. The Company continues to explore additional sources of capital, but there is substantial doubt as to whether any financing arrangement will be available in amounts and on terms acceptable to the Company to permit it to continue operations. The accompanying unaudited condensed consolidated financial statements do not include any adjustments that might be necessary if the Company is unable to continue as a going concern.
F-33
2. SUMMARY OF SIGNIFICANT ACCOUNTING POLICIES
Basis of Presentation
The accompanying unaudited condensed consolidated financial statements of the Company have been prepared in accordance with GAAP and applicable rules and regulations of the Securities and Exchange Commission (the “SEC”) regarding interim financial reporting. In the opinion of the Company’s management, the accompanying unaudited condensed consolidated financial statements contain all adjustments (consisting of normal recurring accruals and adjustments) necessary to present fairly the financial position, changes in stockholders’ equity, results of operations and cash flows of the Company at the dates and for the periods indicated. The interim results for the quarter ended March 31, 2019 are not necessarily indicative of results for the full 2019 fiscal year or any other future interim periods. As such, the information included in this quarterly report on Form 10-Q should be read in conjunction with the consolidated financial statements and accompanying notes included in the Company’s Form 10- K for the year ended September 30, 2018.
Basis of Consolidation
The unaudited condensed consolidated financial statements include the results of the Company, its wholly owned subsidiary, Arcadian, two professional associations, Arcadian Telepsychiatry PA (“Texas PA”) incorporated in Texas, Arcadian Telepsychiatry Florida P.A. (“Florida PA”) incorporated in Florida, and two professional corporations, Arcadian Telepsychiatry P.C. (“Pennsylvania PC”) incorporated in Pennsylvania and Arcadian Telepsychiatry of California, P.C. incorporated in California (“California PC” and together with the Pennsylvania PC, Florida PA and Texas PA, the “Arcadian Entities.”)
Arcadian is party to Management Services Agreements by and among it and the Arcadian Entities, pursuant to which Arcadian provides management and administrative services to each of the Arcadian Entities. Each entity is established pursuant to the requirements of its respective domestic jurisdiction governing the corporate practice of medicine. All intercompany balances and transactions have been eliminated upon consolidation.
Segments
We view our operations and manage our business as one operating segment.
Variable Interest Entities (VIE)
On November 13, 2017, Arcadian entered into a management and administrative services agreement with Texas PA and with Pennsylvania PC, for an initial fixed term of 20 years. In accordance with relevant accounting guidance, Texas PA and Pennsylvania PC are each determined to be a Variable Interest Entity (“VIE”) as MYnd is the primary beneficiary with the ability to direct the activities (excluding clinical decisions) that most significantly affect Texas PA’s and Pennsylvania PC’s economic performance through its majority representation of the Texas PA and Pennsylvania PC; therefore, Texas PA and Pennsylvania PC are consolidated by MYnd. On January 19, 2018, Arcadian entered into a management and administrative services agreement with California PC, for an initial fixed term of 20 years. In accordance with relevant accounting guidance, California PC is determined to be a VIE and MYnd is the primary beneficiary with the ability to direct the activities (excluding clinical decisions) that most significantly affect California PC’s economic performance through its majority representation of California PC; therefore, California PC is consolidated by MYnd. On March 27, 2018, Arcadian entered into a management and administrative services agreement with Florida PA, for an initial fixed term of 20 years. In accordance with relevant accounting guidance, Florida PA is determined to be a VIE and MYnd is the primary beneficiary with the ability to direct the activities (excluding clinical decisions) that most significantly affect Florida PA’s economic performance through its majority representation of Florida PA; therefore, Florida PA is consolidated by MYnd.
The Company holds a variable interest in the entities which contract with physicians and other health professionals in order to provide telepsychiatry services to Arcadian. The entities are considered variable interest entities since they do not have sufficient equity to finance their activities without additional financial support. An enterprise having a controlling financial interest in a VIE must consolidate the VIE if it has both power and benefits-that is, it has (1) the power to direct the activities of a VIE that most significantly impact the VIE’s economic performance (power) and (2) the obligation to absorb losses of the VIE that potentially could be significant to the VIE or the right to receive benefits from the VIE that potentially could be significant to the VIE (benefits). The Company has the power and rights to control all activities of the entities and funds and absorbs all losses of the VIE.
In accordance with management service agreements entered into between the Company and medical professional corporations and associations in compliance with regulatory requirements within certain states, the Company has the power to direct activities of the VIE’s and may transfer the assets from the individual VIEs. Therefore, the Company considers that there are no assets in any of the consolidated VIEs that may be relied upon to settle obligations of these entities. Furthermore, creditors of the VIEs do not have recourse to the general credit of the Company for any of the liabilities of the VIEs. Finally, none of the professional corporations or associations have purchased equipment nor are they responsible for handling cash or accounts receivable.
There is no either explicit or implicit arrangement that requires the Company to provide financial support to the VIE, including events or circumstances that could expose the Company to a loss. For the six months ended March 31, 2019 and 2018, the Company did not provide, nor does it intend to provide in the future, any financial or other support either explicitly or implicitly during the periods presented to its variable interest entities. In addition, there are no restrictions on the net income earned by the VIEs. The Company allocates all of the net income earned to the primary owner of the VIE. As part of the operating agreement with the VIE, the Company will be reimbursed for all cost incurred related to operating the VIE in addition to a management fee charged for oversight. For the six months ended March 31, 2019 and 2018, no net income was allocated to the VIEs nor have any dividends been paid from the Company to the VIEs from inception to date, respectively.
F-34
In addition, to the extent that the VIE is not a shareholder of the Company, the Company has not paid any dividends to the VIEs from inception to date and there are no dividend obligations within the management services agreement entered into with the medical professional corporations and associations.
Use of Estimates
The preparation of the unaudited condensed consolidated financial statements requires management to make estimates and judgments that affect the reported amounts of assets, liabilities, revenue and expense, and related disclosure of assets and liabilities. On an ongoing basis, the Company evaluates its estimates, including those related to revenue recognition, allowance for doubtful accounts, useful lives of furniture and equipment, intangible assets, valuation allowance on deferred taxes, valuation of equity instruments, and accrued liabilities. The Company bases its estimates on historical experience and on various other assumptions that are believed to be reasonable under the circumstances, the results of which form the basis for making judgments about the carrying values of assets and liabilities that are not readily apparent from other sources. Actual results may differ materially from these estimates.
Cash and Cash Equivalents
The Company considers all liquid instruments purchased with a maturity of three months or less to be cash equivalents. The Company deposits its cash with major financial institutions and may at times exceed the federally insured limit of $250,000. At March 31, 2019 cash exceeds the federally insured limit by $1.1 million. The Company believes that the risk of loss is minimal. To date, the Company has not experienced any losses related to cash deposits with financial institutions.
Debt Instruments
Debt instruments are initially recorded at fair value, with coupon interest and amortization of debt issuance discounts recognized in the statement of operations as interest expense at each period end while such instruments are outstanding.
Fair Value of Financial Instruments
Financial Accounting Standards Board, or FASB, Accounting Standards Codification, or ASC, ASC 825-10 Recognition and Measurement of Financial Assets and Financial Liabilities defines financial instruments and requires disclosure of the fair value of financial instruments held by the Company. The Company considers the carrying amount of cash, accounts receivable, other receivables, accounts payable and accrued liabilities, to approximate their fair values because of the short period of time between the origination of such instruments and their expected realization.
The Company also analyzes all financial instruments with features of both liabilities and equity under ASC 480-10, ASC 815-10 and ASC 815-40.
The FASB has established a framework for measuring fair value using generally accepted accounting principles. That framework provides a fair value hierarchy that prioritizes the inputs to valuation techniques used to measure fair value. The hierarchy gives the highest priority to unadjusted quoted prices in active markets for identical assets or liabilities (level 1 measurements) and the lowest priority to unobservable inputs (level 3 measurements). The three levels of the fair value hierarchy are described as follows:
| ● | Level I inputs to the valuation methodology are unadjusted quoted prices for identical assets or liabilities in active markets; |
| ● | Level II inputs to the valuation methodology include: |
| ○ | Quoted prices for similar assets or liabilities in active markets; |
| ○ | Quoted prices for identical or similar assets or liabilities in inactive markets; Inputs other than quoted prices that are observable for the asset or liability; |
| ○ | Inputs that are derived principally from or corroborated by observable market data by correlation or other means; |
If the asset or liability has a specified (contractual) term, the level 2 input must be observable for substantially the full term of the asset or liability.
| ● | Level III inputs to the valuation methodology are unobservable and significant to the fair value measurement. |
The asset or liability’s fair value measurement level within the fair value hierarchy is based on the lowest level of any input that is significant to the fair value measurement. Valuation techniques used must maximize the use of observable inputs and minimize the use of unobservable inputs.
F-35
Accounts Receivable, net
The Company estimates the collectability of customer receivables on an ongoing basis by reviewing past-due invoices and assessing the current creditworthiness of each customer. Allowances are provided for specific receivables deemed to be at risk for collection which as of March 31, 2019 and September 30, 2018 were $8,100 and $1,800, respectively.
Property and Equipment
Property and equipment, which are recorded at cost, consist of office furniture and equipment which are depreciated, over their estimated useful lives on a straight-line basis. The useful lives of these assets are estimated to be between three and five years. Depreciation expense on furniture and equipment for the three months ended March 31, 2019 and 2018 was $16,100 and $15,600, respectively. Depreciation expense on furniture and equipment for the six months ended March 31, 2019 and 2018 was 32,300 and 28,000, respectively. Accumulated depreciation at March 31, 2019 and September 30, 2018 was $181,500 and 149,200, respectively.
Intangible Assets
Costs for software developed for internal use are accounted for through the capitalization of those costs incurred in connection with developing or obtaining internal-use software. Capitalized costs for internal-use software are included in intangible assets in the unaudited condensed consolidated balance sheets. Capitalized software development costs are amortized over three years. Costs incurred during the preliminary project along with post-implementation stages of internal use computer software development and costs incurred to maintain existing product offerings are expensed as incurred. The capitalization and ongoing assessment of recoverability of development costs require considerable judgment by management with respect to certain external factors, including, but not limited to, technological and economic feasibility and estimated economic life.
On November 13, 2017, the Company acquired customer relationship and tradename intangibles in connection with the Arcadian acquisition which were recorded at fair value and are being amortized over an estimated useful life of four years on a straight-line basis.
Amortization for the three months ended March 31, 2019 and 2018 was $14,000 and $13,800, respectively. Amortization for the six months ended March 31, 2019 and 2018 was 28,000 and 24,700, respectively. Accumulated amortization was $122,300 and $94,200 at March 31, 2019 and September 30, 2018 respectively.
The expected amortization of the intangible assets, as of March 31, 2019, is as follows:
| For the year ended September 30, | Intangible assets | |||
| 2019 (for the remaining six months) | $ | 26,100 | ||
| 2020 | 29,400 | |||
| 2021 | 29,400 | |||
| 2022 | 3,500 | |||
| Total | $ | 88,400 | ||
F-36
Goodwill
Goodwill represents the excess of the aggregate purchase price paid over the fair value of the net assets acquired in our business combinations. Goodwill is not amortized and is tested for impairment at least annually or whenever events or changes in circumstances indicate that the carrying value may not be recoverable. Events or changes in circumstances that could trigger an impairment review include a significant adverse change in business climate, an adverse action or assessment by a regulator, unanticipated competition, a loss of key personnel, significant changes in the manner of our use of the acquired assets or the strategy for our overall business, significant negative industry or economic trends, or significant under performance relative to expected historical or projected future results of operations. The Company has the option to first assess qualitative factors to determine whether the existence of events or circumstances leads to a determination that it is more likely than not that the fair value of a reporting unit is less than its carrying value, including goodwill. If, after assessing the totality of events or circumstances, the Company determines that it is not more likely than not that the fair value of a reporting unit is less than its carrying amount, additional impairment testing is not required. The Company tests for goodwill impairment annually on September 30.
The Company performed a qualitative goodwill assessment at September 30, 2018 and concluded there was no impairment based on consideration of a number of factors, including the improvement in the Company’s key operating metrics over the prior year, improvement in the strength of the general economy and the Company’s continued execution against its overall strategic objectives.
Based on the foregoing, the Company determined that it was not more likely than not that the fair value of its reporting unit is less than its carrying amount and therefore that no further impairment testing was required.
During the six months ended March 31, 2019, the Company did not record any Goodwill impairment.
Accrued Compensation
Accrued compensation consists of accrued vacation pay, accrued compensation granted by the Board but not paid, and accrued pay due to staff members.
Accrued compensation – related parties consists of accrued vacation pay, accrued bonuses granted by the Board but not paid for officers and directors.
Deferred Revenue
Deferred revenue represents cash collected in advance of services being rendered but not earned as of March 31, 2019 and September 30, 2018. This represents a philanthropic grant for the payment of PEER Reports ordered in a clinical trial for a member of the U.S. Military, a veteran or their family members, the cost of which is not covered by other sources. On August 1, 2017, the Company entered into a Research Study Funding Agreement with Horizon Healthcare Services, Inc. dba Horizon Blue Cross Blue Shield of New Jersey and its subsidiaries (collectively “Horizon”) and Cota, Inc. (“Cota”). On February 6, 2018, Horizon prepaid for part of the study in the amount of $125,000 and the Company paid Cota $15,000 out of this payment for its services under the Study.
These deferred revenue grant funds total $152,100 and $159,700 as of March 31, 2019 and September 30, 2018, respectively.
Revenue Recognition
Neurometric services - gross service revenue is recorded in the accounting records at the time the services are provided on an accrual basis at the provider’s established rates, regardless of whether the provider expects to collect that amount. The Company reserves a provision for contractual adjustment and discounts that are deducted from gross service revenue. The Company reports revenues net of any sales, use and value added taxes.
Telepsychiatry services - The Company satisfies its performance obligation to stand ready to provide telepsychiatry services which occurs when the Company’s clients have access to the telepsychiatry service. The Company generally bills for the telepsychiatry services on a monthly basis with payment terms generally being 30 days. There are not significant differences between the timing of revenue recognition and billing. Consequently, the Company has determined that client contracts do not include a financing component. Revenue is recognized in an amount that reflects the consideration that is expected in exchange for the service and this may include a variable transaction price as the number of members may vary from the initial billing. Based on historical experience, the Company estimates this amount which is recorded as a component of revenue.
Accounting Standards Update (“ASU”) No. 2014-09, Revenue from Contracts with Customers (“Topic 606”), became effective for the Company on October 1, 2018. The Company’s revenue recognition disclosure reflects its updated accounting policies that are affected by this new standard. The Company applied the “modified retrospective” transition method for open contracts for the implementation of Topic 606. As sales are and have been primarily from providing healthcare services, and the Company has no significant post-delivery obligations, this new standard did not result in a material recognition of revenue on the Company’s accompanying consolidated financial statements for the cumulative impact of applying this new standard. The Company made no adjustments to its previously-reported total revenues, as those periods continue to be presented in accordance with its historical accounting practices under Topic 605, Revenue Recognition.
F-37
Revenue from providing neurometric and telepsychiatry services are recognized under Topic 606 in a manner that reasonably reflects the delivery of its services to customers in return for expected consideration and includes the following elements:
| ○ | executed contracts with the Company’s customers that it believes are legally enforceable; |
| ○ | identification of performance obligations in the respective contract; |
| ○ | determination of the transaction price for each performance obligation in the respective contract; |
| ○ | allocation the transaction price to each performance obligation; and |
| ○ | recognition of revenue only when the Company satisfies each performance obligation. |
Research and Development Expenses
The Company charges research and development expenses to operations as incurred.
Advertising Expenses
The Company charges all advertising expenses to operations as incurred. For the three months ended March 31, 2019 and 2018 advertising expenses were $4,800 and $97,500, respectively. For the six months ended March 31, 2019 and 2018 advertising expenses were $4,800 and $248,500, respectively
Stock-Based Compensation
The Company accounts for employee stock options in accordance with ASC 718, Compensation-Stock Compensation. For stock options issued to employees and directors we use the Black-Scholes option valuation model for estimating fair value at the date of grant. For stock options issued for services rendered by non-employees, we recognize compensation expense in accordance with the requirements of ASC 505-50, Equity, as amended. Non-employee option grants that do not vest immediately upon grant are recorded as an expense over the vesting period. At the end of each financial reporting period prior to performance, the value of these options, as calculated using the Black-Scholes option valuation model, is determined, and compensation expense recognized or recovered during the period is adjusted accordingly. Since the fair value of options granted to non-employees is subject to change in the future, the amount of the future compensation expense is subject to adjustment until the common stock options or warrants are fully vested.
Warrants
From time to time, the Company has issued warrants to purchase shares of common stock. These warrants have been issued in connection with the Company’s financing transactions. The Company’s warrants are subject to standard anti-dilution provisions applicable to shares of our common stock. The Company estimates the fair value of warrants using the Black-Scholes option valuation model with the following inputs: market prices of the stock, time to maturity, volatility, zero expected dividend rate and risk free rate all at the date of the warrant issuance.
Income Taxes
The Company accounts for income taxes under the asset and liability method. Deferred tax assets and liabilities are recognized for future tax consequences attributable to differences between the financial statement carrying amounts of existing assets and liabilities and their respective tax bases. Deferred tax assets and liabilities are measured using enacted tax rates expected to apply to taxable income in the years in which the temporary differences are expected to be recovered or settled. The effect on deferred tax assets and liabilities of a change in tax rates is recognized in income in the period that includes the enactment date. Valuation allowances are recorded, when necessary, to reduce deferred tax assets to the amount expected to be realized.
On December 22, 2017, new legislation was adopted that significantly revises the Internal Revenue Code of 1986, as amended, or the Code. The newly enacted federal income tax law, among other things, contains significant changes to corporate taxation, including reduction of the corporate tax rate from a top marginal rate of 35 percent to a flat rate of 21 percent, limitation of the tax deduction for interest expense to 30 percent of adjusted earnings (except for certain small businesses), limitation of the deduction for net operating losses to 80 percent of current-year taxable income and elimination of net operating loss carrybacks, one time taxation of offshore earnings at reduced rates regardless of whether they are repatriated, immediate deductions for certain new investments instead of deductions for depreciation expense over time, and modifying or repealing many business deductions and credits.
F-38
As a result of the implementation of certain provisions of FASB ASC 740, Income Taxes, which clarifies the accounting and disclosure for uncertainty in tax positions, the Company has analyzed filing positions in each of the federal and state jurisdictions where required to file income tax returns, as well as all open tax years in these jurisdictions. We have identified U.S. Federal and California as our major tax jurisdictions. Generally, the Company remains subject to Internal Revenue Service examination of our 2014 through 2016 U.S. federal income tax returns, and remain subject to California Franchise Tax Board examination of our 2013 through 2016 California Franchise Tax Returns. The Company has certain tax attribute carryforwards which will remain subject to review and adjustment by the relevant tax authorities until the statute of limitations closes with respect to the year in which such attributes are utilized.
The Company believes that its income tax filing positions and deductions will be sustained on audit and do not anticipate any adjustments that will result in a material change to its financial position. Therefore, no reserves for uncertain income tax positions have been recorded pursuant to ASC 740. Our policy for recording interest and penalties associated with income-based tax audits is to record such items as a component of income taxes.
Deferred taxes have been recorded on a net basis in the accompanying balance sheet. The Act reduces the U.S. statutory tax rate from 35% to 21%, effective January 1, 2018. As of September 30, 2018, the Company had gross Federal net operating loss carryforwards of approximately $60.2 million and State gross net operating loss carryforwards of approximately $33.8 million. Both the Federal and State net operating loss carryforwards will begin to expire in 2022 and 2023 respectively. The Company’s ability to utilize net operating loss carryforwards may be limited in the event that a change in ownership, as defined in the Internal Revenue Code, occurs in the future.
The Company has placed a valuation allowance against the deferred tax assets in excess of deferred tax liabilities due to the uncertainty surrounding the realization of such excess tax assets. Management periodically evaluates the recoverability of the deferred tax assets and the level of the valuation allowance. At such time as it is determined that it is more likely than not that the deferred tax assets are realizable, the valuation allowance will be reduced accordingly.
Non-controlling Interest
The Company consolidates entities in which the Company has a controlling financial interest. The Company consolidates subsidiaries in which the Company holds, directly or indirectly, more than 50% of the voting rights, and VIEs for which the Company is the primary beneficiary. Non-controlling interests represent third-party equity ownership interests in the Company’s consolidated entities. The amount of net loss attributable to non-controlling interests for the three months ended March 31, 2019 and 2018 was $451,100 and $72,300, respectively. The amount of net loss attributable to non-controlling interests for the six months ended March 31, 2019 and 2018 was $778,000 and $72,300, respectively.
Earnings (Loss) per Share
Basic and diluted earnings (loss) per share is presented in conformity with the two-class method. Under the two-class method, basic net loss per share is computed by dividing income (loss) available to common stockholders by the weighted average common shares outstanding during the period. Net loss per share is calculated as the net loss less the current period preferred stock dividends. Diluted earnings (loss) per share takes into account the potential dilution that could occur if securities or other contracts to issue Common Stock were exercised and converted into Common Stock.
Recent Accounting Pronouncements
Apart from the below-mentioned recent accounting pronouncements, there are no new accounting pronouncements that are currently applicable to the Company.
In June 2018, the FASB issued ASU 2018-07, Improvements to Nonemployee Share-Based Payment Accounting (Topic 718). The amendments in this Update expand the scope of Topic 718 to include share based payment transactions for acquiring goods and services from nonemployees. An entity should apply the requirements of Topic 718 to nonemployee awards except for specific guidance on inputs to an option pricing model and the attribution of cost (that is, the period of time over which share-based payment awards vest and the pattern of cost recognition over that period). The amendments specify that Topic 718 applies to all share-based payment transactions in which a grantor acquires goods or services to be used or consumed in a grantor’s own operations by issuing share-based payment awards. The amendments also clarify that Topic 718 does not apply to share-based payments used to effectively provide (1) financing to the issuer or (2) awards granted in conjunction with selling goods or services to customers as part of a contract accounted for under Topic 606, Revenue from Contracts with Customers. The amendments in this Update are effective for public business entities for fiscal years beginning after December 15, 2018, including interim periods within that fiscal year. The Company is currently evaluating the impact of adoption of this standard to its financial statements.
F-39
ASU 2016-15, “Statement of Cash Flows (Topic 230) Classification of Certain Cash Receipts and Payments” was issued by the Financial Accounting Standards Board (FASB) in August 2016. The purpose of this amendment is to address eight specific cash flow issues with the objective of reducing the existing diversity in practice. The amendments in this Update are effective for public business entities for fiscal years, and for interim periods within those fiscal years, beginning after December 15, 2017. Early adoption is permitted. The Company adopted ASU 2016-15 during our first quarter of fiscal year 2019, which had no impact on our consolidated financial statements, and will apply the new guidance in future periods.
ASU 2016-02, “Leases (Topic 842)” was issued by the FASB in February 2016. The guidance requires lessees to recognize the assets and liabilities that arise from leases on the balance sheet. ASU 2016-02 is effective for annual periods beginning after December 15, 2018, including interim periods within those annual periods, and should be applied using a modified retrospective approach. The guidance is effective for the Company on October 1, 2019. The Company will elect the prospective transition method with the effects of adoption recognized as a cumulative effect adjustment to the opening balance of retained earnings in the Company’s fiscal 2020 financial statements, with no restatement of comparative periods. The Company will also elect the package of three practical expedients permitted under the transition guidance within the new standard, which among other things, allows the Company to carryforward the historical lease classification. The Company is currently assessing the impact of adopting this guidance on its consolidated financial statements and related disclosures. The Company expects to record right of use assets and lease liabilities, which may be material, on its consolidated balance sheet upon adoption of this standard and is still assessing the impact to its results of operations and cash flows.
Accounting Standards Update (“ASU”) No. 2014-09, Revenue from Contracts with Customers (“Topic 606”), became effective for the Company on October 1, 2018. The Company’s revenue recognition disclosure reflects its updated accounting policies that are affected by this new standard. The Company applied the “modified retrospective” transition method for open contracts for the implementation of Topic 606. As sales are and have been primarily from providing healthcare services, and the Company has no significant post-delivery obligations, this new standard this new standard did not result in a change to revenue recognition on the Company’s accompanying condensed consolidated financial statements for the cumulative impact of applying this new standard. The Company made no adjustments to its previously-reported total revenues, as those periods continue to be presented in accordance with its historical accounting practices under Topic 605, Revenue Recognition.
| 3. | REVENUE RECOGNITION |
At the adoption of Topic 606, the cumulative effect of initially applying the new revenue standard is required to be presented as an adjustment to the opening balance of retained earnings. The Company determined there was no impact to opening retained earnings based on applying the new revenue standard.
The Company operates as one reportable segment, the healthcare delivery segment. The Company disaggregates revenue from contracts by service type and by payor. This level of detail provides useful information pertaining to how the Company generates revenue by significant revenue stream and by type of direct contracts. The condensed consolidated statements of operations present disaggregated revenue by service type. The following table presents disaggregated revenue for the three and six months ended March 31, 2019 and 2018:
| Three months ended March 31, | Six months ended March 31, | |||||||||||||||
| 2019 | 2018 | 2019 | 2018 | |||||||||||||
| Neurometric services | $ | 44,800 | $ | 79,800 | $ | 124,000 | $ | 133,100 | ||||||||
| Telepsychiatry services | 415,300 | 380,100 | 723,200 | 448,800 | ||||||||||||
| Revenue | 460,100 | 459,900 | 847,200 | 581,900 | ||||||||||||
As of March 31, 2019, accounts receivable, net of allowance for doubtful accounts, was $154,400. The allowance for doubtful accounts reflects our best estimate of probable losses inherent in the accounts receivable balance. The Company determines the allowance based on historical experience, specific account information and other currently available evidence.
The Company receives payments from the following sources for services rendered: (i) commercial insurers; (ii) the federal government under the Medicare program administered by CMS; (iii) state governments under the Medicaid and other programs; (iv) other third party payors (e.g., hospitals); and (v) individual patients and clients. As the period between the time of service and time of payment is typically one year or less, the Company elected the practical expedient under ASC 606-10-32-18 and did not adjust for the effects of a significant financing component.
F-40
The Company derives a significant portion of its revenue from Medicare, Medicaid and other payors that receive discounts from established billing rates. The Medicare and Medicaid regulations and various managed care contracts under which these discounts must be calculated are complex, subject to interpretation and adjustment, and may include multiple reimbursement mechanisms for different types of services provided and cost settlement provisions. Management estimates the transaction price on a payor-specific basis given its interpretation of the applicable regulations or contract terms. The services authorized and provided and related reimbursements are often subject to interpretation that could result in payments that differ from the Company’s estimates. Additionally, updated regulations and contract renegotiations occur frequently, necessitating regular review and assessment of the estimation process by management.
Settlements under cost reimbursement agreements with third-party payors are estimated and recorded in the period in which the related services are rendered and are adjusted in future periods as final settlements are determined. Final determination of amounts earned under the Medicare and Medicaid programs often occurs in subsequent years because of audits by such programs, rights of appeal and the application of numerous technical provisions.
Under the new revenue standard, the Company has elected to apply the following practical expedients and optional exemptions:
| ● | Recognize incremental costs of obtaining a contract with amortization periods of one year or less as expense when incurred. These costs are recorded within general and administrative expenses. | |
| ● | Recognize revenue in the amount of consideration to which the Company has a right to invoice the customer if that amount corresponds directly with the value to the customer of the Company’s services completed to date. | |
| ● | Exemptions from disclosing the value of unsatisfied performance obligations for (i) contracts with an original expected length of one year or less, (ii) contracts for which revenue is recognized in the amount of consideration to which the Company has a right to invoice for services performed, and (iii) contracts for which variable consideration is allocated entirely to a wholly unsatisfied performance obligation or to a wholly unsatisfied promise to transfer a distinct service that forms part of a single performance obligation. | |
| ● | Use a portfolio approach for the fee-for-service (FFS) revenue stream to group contracts with similar characteristics and analyze historical cash collections trends. | |
| ● | No adjustment is made for the effects of a significant financing component as the period between the time of service and time of payment is typically one year or less. |
Contract Assets
Typically, revenues and receivables are recognized once the Company has satisfied its performance obligation. Accordingly, the Company’s contract assets are comprised of accounts receivable. Generally, the Company does not have material amounts of other contract assets.
Contract Liabilities (Deferred Revenue)
Contract liabilities are recorded when cash payments are received in advance of the Company’s performance. The Company’s contract liability balance was $152,100 and $159,700 as of March 31, 2019 and September 30, 2018 and is presented within the “Deferred Revenue” line item of the condensed consolidated balance sheets. $7,600 of the amounts recorded as of September 30, 2018 was recognized as revenue for the six months ended March 31, 2019. The Company has elected the optional exemption to not disclose the remaining performance obligations of its contracts since substantially all of its contracts have a duration of one year or less.
4. ACCOUNTS RECEIVABLE
Accounts receivable, net, is as follows:
| March 31, 2019 | September 30, 2018 | |||||||
| Accounts receivable | $ | 162,500 | $ | 65,100 | ||||
| Allowance for doubtful accounts | (8,100 | ) | (1,800 | ) | ||||
| Accounts receivable, net | $ | 154,400 | $ | 63,300 | ||||
5. LONG - TERM BORROWINGS AND OTHER NOTES PAYABLE
Debt assumed from Arcadian
As a result of the acquisition of Arcadian, the Company guaranteed Arcadian’s then outstanding debt obligations totaling $700,000 owed to Ben Franklin Technology Partners of Southeastern Pennsylvania (“BFTP”). The maturity date for the debt is September 30, 2021 and interest accrues at an 8% annual rate. Unpaid interest was $120,500 as of March 31, 2019. The Company recorded the debt at its fair value and recorded a discount of $93,500 as of March 31, 2019 attributable to the difference between the market interest rate and the stated interest rate on the debt. Interest expense related to the accretion of debt discount for the three months ended March 31, 2019 and 2018 was $9,400 and 9,400, respectively. Interest expense related to the accretion of debt discount for the six months ended March 31, 2019 and 2018 was $18,800 and $14,000, respectively.
F-41
A balloon payment of $700,000 plus interest will be made on the scheduled maturity date of September 30, 2021.
The changes in carrying amounts of the debt acquired through acquisition for the six months ended March 31, 2019 were as follows:
| Beginning balance (September 30, 2018) | $ | 587,700 | ||
| Accretion of debt discount | 18,800 | |||
| Ending balance (March 31, 2019) | $ | 606,500 |
6. ACQUISITION
On November 13, 2017, the Company acquired Arcadian. The Company accounted for the acquisition of Arcadian using the acquisition method of accounting for business combinations under ASC 805, Business Combinations. The total purchase price is allocated to the tangible and identifiable intangible assets acquired and liabilities assumed based on their estimated fair values as of the acquisition date.
Fair value estimates are based on a complex series of judgments about future events and uncertainties and rely heavily on estimates and assumptions. The judgments used to determine the estimated fair value assigned to each class of assets acquired and liabilities assumed, as well as asset lives and the expected future cash flows and related discount rates, can materiality impact our results of operations. Significant inputs used for the model included the amount of cash flows, the expected period of the cash flows and the discount rates.
The purchase price, including the value of the indebtedness and payables of Arcadian, is $1,339,600 based upon a deemed acquisition of all of the assets and liabilities of Arcadian, including the equity interests in Arcadian. The aggregate purchase price consists of (i) initial investment in Arcadian of $195,900 (ii) $317,000 of forgiveness of a note receivable with the primary member of Arcadian (iii) assumption by Arcadian of subordinated debt (“Arcadian Note”) with a fair value of $555,000, plus accrued interest of $96,700 (iv) $175,000 payment for the redemption and cancellation of two warrants to purchase equity interests in Arcadian Services. The Arcadian Note bears interest at an annual rate of 8% and matures on September 30, 2021.
Unaudited Pro Forma Financial Information
The following unaudited pro forma statement of operations data presents the combined results of operations for the six months ended March 31, 2018 as if the acquisition of Arcadian had taken place on October 1, 2017. The unaudited pro forma financial information includes the effects of certain adjustments, including the amortization of acquired intangibles and the associated tax effect and the elimination of the Company’s and the acquiree’s non-recurring acquisition related expenses.
The unaudited pro forma information presented does not purport to be indicative of the results that would have been achieved had the acquisitions been consummated at October 1, 2017 nor of the results which may occur in the future. The pro forma adjustments are based upon available information and certain assumptions that the Company believes are reasonable.
| Pro Forma | Three Months Ended March 31, 2018 | Six Months Ended March 31, 2018 | ||||||
| Revenues | $ | 459,900 | $ | 727,100 | ||||
| Net income (loss) | (2,659,600 | ) | (5,605,300 | ) | ||||
| Basic and diluted loss per share: | $ | (0.61 | ) | $ | (1.29 | ) | ||
| Outstanding at weighted average shares outstanding | 4,362,564 | 4,347,745 | ||||||
7. REVERSE MERGER
Merger Agreement
On January 4, 2019, the Company entered into an Agreement and Plan of Merger (the “Merger Agreement”) by and among the Company, the Company’s wholly owned subsidiary, Athena Merger Subsidiary, Inc., a Delaware corporation (“Merger Sub”), and Emmaus Life Sciences, Inc., a Delaware corporation (“Emmaus”). Under the terms of the Merger Agreement, pending stockholder approval of the transaction, Merger Sub will merge with and into Emmaus with Emmaus surviving the merger and becoming a wholly-owned subsidiary of MYnd (the “Merger”). Subject to the terms of the Merger Agreement, at the effective time of the Merger, Emmaus stockholders will receive a number of newly issued shares of MYnd common stock determined using the exchange ratio described below in exchange for their shares of Emmaus stock. Following the Merger, stockholders of Emmaus will become the majority owners of MYnd.
F-42
The exchange ratio will be determined prior to closing and will cause the MYnd securityholders (including holders of options and warrants) prior to the effective time to collectively own 5.9% of the post-merger company on a fully diluted basis and Emmaus securityholders (including holders of options, warrants and convertible notes) prior to the effective time to collectively own 94.1% of the post-merger company on a fully diluted basis. The exchange ratio will reflect any dilution that may result from securities sold by MYnd or Emmaus prior to the closing of the Merger and any changes to the number of outstanding convertible securities of each company. The Merger Agreement provides that if Emmaus converts certain debt obligations into equity within six months of the completion of the Merger, Emmaus will issue additional shares (equal to 5.9% of the shares issued in connection with the debt conversion to third parties) to an existing subsidiary of MYnd which is expected to be spun-off to stockholders of MYnd prior to the effective time of the merger, as described below.
The post-merger company, led by Emmaus’ management team, is expected to be named “Emmaus Life Sciences, Inc.” Prior to the closing of the Merger, MYnd will seek shareholder approval to conduct a reverse split of its outstanding shares if necessary to satisfy listing requirements of the Nasdaq Capital Market (the “NasdaqCM”). The post-merger company is expected to trade on the NasdaqCM under a new ticker symbol. At the closing, the post-merger company’s board of directors is expected to consist of one member from MYnd and up to six members from Emmaus. The Merger has been unanimously approved by the Board of Directors of each company. The transaction is expected to close no later than July 31, 2019, subject to approvals by the stockholders of MYnd and Emmaus, and other closing conditions, including but not limited to the approval of the continued listing of the post-merger company’s common stock on the NasdaqCM, conversion of MYnd’s preferred stock into common stock, satisfaction of certain cash and debt conversion conditions and consummation of the MYnd spin-off described below.
The parties to the Merger Agreement have made representations and warranties to each other as of specific dates for the purpose of allocating risk and not for the purpose of establishing facts. Accordingly, the representations and warranties should not be relied on as characterizations of the actual state of facts.
The Merger Agreement contains certain termination rights for each of MYnd and Emmaus, and further provides that, upon certain terminations of the Merger Agreement, MYnd may be required to pay Emmaus a termination fee of $750,000 and Emmaus may be required to pay MYnd a termination fee of $750,000; provided that if the termination results from the failure to obtain the approval of the continued listing of the post-merger company’s common stock on the NasdaqCM, this fee payable by Emmaus will be $1,600,000. In connection with the termination of the Merger Agreement upon certain circumstances, either party also may be required to pay the other party’s third party expenses up to $600,000. The termination of the Merger Agreement will not relieve any party thereto from any liability or damages resulting from or arising out of any fraud or willful or intentional breach of any representation, warranty, covenant, obligation or other provision contained in the Merger Agreement.
Spin-Off
Prior to the closing of the Merger, we intend, subject to obtaining any required regulatory approvals and the completion of certain tax analyses, to transfer all of our businesses, assets and liabilities not assumed by Emmaus to our existing wholly-owned subsidiary, Telemynd, Inc., a Delaware corporation (“Telemynd”), pursuant to the terms of the Amended and Restated Separation and Distribution Agreement (the “Separation Agreement”) entered into on March 27, 2019 by us, Telemynd and MYnd Analytics, Inc., a California corporation (“MYnd California”). We intend to distribute all shares of Telemynd held by us to our stockholders of record as a future record date will be determined for such potential distribution.
The Separation Agreement: (i) amended and restated in its entirety that certain Separation and Distribution Agreement dated as of January 4, 2019, by and between MYnd and MYnd California (the “Prior Agreement”) and (ii) caused Telemynd to assume all of the rights and obligations of MYnd California under the Prior Agreement.
Pursuant to the Separation Agreement, the Telemynd Business (as defined in the Separation Agreement) would be separated from the Company upon, and subject to, the closing of the transactions contemplated by the Separation Agreement (provided that such transactions occur at all), and the Company intends to distribute all shares of Telemynd held by it to the Company’s stockholders of record as of a future record date to be determined for such potential distribution. The Separation Agreement includes the terms of the proposed spin-off and the distribution to the Company’s stockholders and includes representations and warranties, covenants and conditions, which would impact the terms of the proposed spin-off and distribution. The proposed spin-off will be subject to conditions and regulatory approvals not entirely under the control of the Company and the terms of the proposed spin-off, if and when completed, are subject to change. The foregoing summary of the Separation Agreement is not complete and qualified in its entirety by reference to the text of the Separation Agreement filed herewith.
Amendment to Merger Agreement
On May 10, 2019, the parties executed amendment no. 1 to the Merger Agreement. By executing amendment no. 1, MYnd, Emmaus and Merger Sub agreed that: (i) the definition “Parent California Subsidiary” should be amended to refer to Telemynd, Inc., the newly formed wholly-owned corporation, (ii) MYnd would not adopt a new equity incentive plan at closing, which had been contemplated previously and determined to be unnecessary at this time, (iii) MYnd would be entitled to receive credit in its Net Liabilities calculation for certain agreed upon prepaid costs, (iv) Telemynd would be entitled to receive shares of MYnd after closing if the exchange ratio applicable to any Emmaus Warrants, Emmaus Convertible Notes or Emmaus Debentures is modified in a manner which causes additional shares of Emmaus to be issued upon exercise, conversation or exchange, during the six (6) month period after the closing of the Merger for any reason, and (v) the outside termination date was extended from May 31, 2019 to July 31, 2019.
F-43
8. STOCKHOLDERS’ EQUITY
The Aspire Capital Equity Credit Lines
On December 6, 2016, the Company, entered into the first common stock purchase agreement (the “First Purchase Agreement”) with Aspire Capital Fund, LLC (“Aspire Capital”) which provided that, upon the terms and subject to the conditions and limitations set forth therein, Aspire Capital was committed to purchase up to an aggregate of $10.0 million of shares of the Company’s Common Stock over the 30-month term of the First Purchase Agreement. Concurrently with entering into the First Purchase Agreement, the Company also entered into a registration rights agreement with Aspire Capital (the “Registration Rights Agreement”), pursuant to which the Company maintained an effective registration statement registering the sale of the shares of Common Stock that were issued to Aspire under the First Purchase Agreement. Under the First Purchase Agreement, on any trading day selected by the Company on which the closing sale price of its Common Stock is equal to or greater than $0.50 per share, the Company had the right, in its sole discretion, to present Aspire Capital with a purchase notice, directing Aspire Capital (as principal) to purchase up to 50,000 shares of Common Stock per business day, up to $10.0 million of the Company’s common stock in the aggregate at a per share purchase price equal to the lesser of:
| a) | the lowest sale price of Common Stock on the purchase date; or | |
| b) | the arithmetic average of the three (3) lowest closing sale prices for Common Stock during the twelve (12) consecutive trading days ending on the trading day immediately preceding the purchase date. |
In addition, on any date on which the Company submitted a purchase notice to Aspire Capital in an amount equal to 50,000 shares, and the closing sale price of its Common Stock is equal to or greater than $0.50 per share, the Company also had the right, in its sole discretion, to present Aspire Capital with a volume-weighted average price purchase notice (each, a “VWAP Purchase Notice”) directing Aspire Capital to purchase an amount of stock equal to up to 30% of the aggregate shares of Common Stock traded on its principal market on the next trading day (the “VWAP Purchase Date”), subject to a maximum number of shares the Company may determine. The purchase price per share pursuant to such VWAP Purchase Notice is generally 95% of the volume-weighted average price for Common Stock traded on its principal market on the VWAP Purchase Date.
The purchase price was subject to adjustment for any reorganization, recapitalization, non-cash dividend, stock split, or other similar transaction occurring during the period(s) used to compute the First Purchase Price. The Company could deliver multiple Purchase Notices and VWAP Purchase Notices to Aspire Capital from time to time during the term of the Purchase Agreement, so long as the most recent purchase has been completed.
The First Purchase Agreement provided that the Company and Aspire Capital would not effect any sales under the First Purchase Agreement on any purchase date where the closing sale price of the Company’s common stock was less than $0.50. There were no trading volume requirements or restrictions under the First Purchase Agreement, and the Company could control the timing and amount of sales of Common Stock to Aspire Capital. Aspire Capital had no right to require any sales by the Company, but was obligated to make purchases from the Company as directed by the Company in accordance with the First Purchase Agreement. There were no limitations on use of proceeds, financial or business covenants, restrictions on future fundings, rights of first refusal, participation rights, penalties or liquidated damages in the First Purchase Agreement. In consideration for entering into the Purchase Agreement, concurrently with the execution of the First Purchase Agreement, the Company issued to Aspire Capital 80,000 shares of Common Stock (the “First Commitment Shares”). The First Purchase Agreement was terminated and replaced by the Second Purchase Agreement defined below on May 15, 2018. Aspire Capital has agreed that neither it nor any of its agents, representatives and affiliates shall engage in any direct or indirect short-selling or hedging of Common Stock during any time prior to the termination of the Purchase Agreement. Any proceeds from the Company receives under the First Purchase Agreement are expected to be used for working capital and general corporate purposes. The Company cannot request Aspire to purchase more than $100,000 per business day.
As of March 31, 2019, the Company has issued purchase notices to Aspire Capital under the First Purchase Agreement to purchase an aggregate of 1,180,000 shares of common stock, at a per share price of $2.00, resulting in gross cash proceeds of approximately $2.4 million. The issuance of shares of common stock that were issued from time to time to Aspire Capital under the First Purchase Agreement were exempt from registration under the Securities Act, pursuant to the exemption for transactions by an issuer not involving any public offering under Section 4(a)(2) of the Securities Act.
F-44
The Second Purchase Agreement with Aspire Capital
On May 15, 2018, the Company terminated the First Purchase Agreement, and entered into a second common stock purchase agreement (the “Second Purchase Agreement”) with Aspire Capital under substantially the same terms, conditions and limitations as the First Purchase Agreement which are: Aspire Capital is committed to purchase up to an aggregate of $10.0 million of shares of the Company’s Common Stock over the 30-month term of the Second Purchase Agreement. Concurrently with entering into the Second Purchase Agreement, the Company also entered into a registration rights agreement with Aspire Capital (the “Registration Rights Agreement”), pursuant to which the Company maintains an effective registration statement registering the sale of the shares of Common Stock that have and may be issued to Aspire under the Second Purchase Agreement. Under the Second Purchase Agreement, on any trading day selected by the Company on which the closing sale price of its Common Stock is equal to or greater than $0.50 per share, the Company has the right, in its sole discretion, to present Aspire Capital with a purchase notice, directing Aspire Capital (as principal) to purchase up to 50,000 shares of Common Stock per business day, up to $10.0 million of the Company’s common stock in the aggregate at a per share purchase price equal to the lesser of:
a) the lowest sale price of Common Stock on the purchase date; or
b) the arithmetic average of the three (3) lowest closing sale prices for Common Stock during the twelve (12) consecutive trading days ending on the trading day immediately preceding the purchase date.
In addition, on any date on which the Company submits a purchase notice to Aspire Capital in an amount equal to 50,000 shares, and the closing sale price of its Common Stock is equal to or greater than $0.50 per share, the Company also has the right, in its sole discretion, to present Aspire Capital with a volume-weighted average price purchase notice (each, a “VWAP Purchase Notice”) directing Aspire Capital to purchase an amount of stock equal to up to 30% of the aggregate shares of Common Stock traded on its principal market on the next trading day (the “VWAP Purchase Date”), subject to a maximum number of shares the Company may determine. The purchase price per share pursuant to such VWAP Purchase Notice is generally 95% of the volume-weighted average price for Common Stock traded on its principal market on the VWAP Purchase Date.
The purchase price will be adjusted for any reorganization, recapitalization, non-cash dividend, stock split, or other similar transaction occurring during the period(s) used to compute the Purchase Price. The Company may deliver multiple Purchase Notices and VWAP Purchase Notices to Aspire Capital from time to time during the term of the Second Purchase Agreement, so long as the most recent purchase has been completed.
The Second Purchase Agreement provides that the Company and Aspire Capital will not effect any sales under the Second Purchase Agreement on any purchase date where the closing sale price of the Company’s common stock is less than $0.50. There are no trading volume requirements or restrictions under the Second Purchase Agreement, and the Company will control the timing and amount of sales of Common Stock to Aspire Capital. Aspire Capital has no right to require any sales by the Company, but is obligated to make purchases from the Company as directed by the Company in accordance with the Second Purchase Agreement. There are no limitations on use of proceeds, financial or business covenants, restrictions on future fundings, rights of first refusal, participation rights, penalties or liquidated damages in the Second Purchase Agreement. In consideration for entering into the Second Purchase Agreement, concurrently with the execution of the Second Purchase Agreement, the Company issued to Aspire Capital 250,000 shares of Common Stock (the “Second Commitment Shares”). The Second Purchase Agreement may be terminated by the Company at any time, at its discretion, without any cost to the Company. Aspire Capital has agreed that neither it nor any of its agents, representatives and affiliates shall engage in any direct or indirect short-selling or hedging of Common Stock during any time prior to the termination of the Second Purchase Agreement. Any proceeds from the Company receives under the Second Purchase Agreement are expected to be used for working capital and general corporate purposes. The Company cannot request Aspire to purchase more than $300,000 per business day.
As of March 31, 2019, the Company has issued purchase notices to Aspire Capital under the Second Purchase Agreement to purchase an aggregate of 2,200,100 shares of common stock, resulting in gross cash proceeds of approximately $3.7 million. The issuance of shares of common stock that were issued from time to time to Aspire Capital under the Second Purchase Agreement were exempt from registration under the Securities Act, pursuant to the exemption for transactions by an issuer not involving any public offering under Section 4(a)(2) of the Securities Act.
F-45
Shareholder Approval for Removal of Exchange Cap
The Second Purchase Agreement previously restricted the amount of shares that may be sold to Aspire Capital thereunder to 1,134,671 shares of Common Stock (the “Exchange Cap”). On November 26, 2018, the Company received shareholder approval to remove the Exchange Cap in compliance with the applicable listing rules of the Nasdaq Stock Market. Pursuant to Nasdaq Listing Rule 5635(d), shareholder approval is required prior to the issuance of securities in connection with a transaction other than a public offering involving the sale, issuance or potential issuance by the Company of common stock (or securities convertible into or exercisable common stock) equal to 20% or more of the common stock outstanding before the issuance for less than the greater of book or market value of the stock. Following receipt of shareholder approval, the Company may issue an additional $8.1 million, up to an aggregate of $10 million, of common stock to Aspire Capital under the Second Purchase Agreement, with remaining availability of $6.3 million at March 31, 2019.
Common and Preferred Stock
As of March 31, 2019, the Company is authorized to issue 265,000,000 shares of stock of which 250,000,000 are common stock, and 15,000,000 shares were preferred shares, with a par value of $0.001 per shares are blank-check preferred stock which the Board is expressly authorized to issue without stockholder approval, for one or more series of preferred stock and, with respect to each such series, to fix the number of shares constituting such series and the designation of such series, the voting powers, if any, of the shares of such series, and the preferences and relative, participating, optional or other special rights, if any, and any qualifications, limitations or restrictions thereof, of the shares of such series. The powers, preferences and relative, participating, optional and other special rights of each series of preferred stock, and the qualifications, limitations or restrictions thereof, if any, may differ from those of any and all other series at any time outstanding.
Private Placement with Directors and Management
On September 21, 2018, the Company entered into definitive agreements with George C. Carpenter IV, President and then Chief Executive Officer, Robin L. Smith, Chairman, as well as John Pappajohn, and Peter Unanue, each a director of the Company, and entities affiliated with Michal Votruba, a member of the Board of Directors of MYnd Analytics and Director of Life Sciences for the European-based RSJ-Gradus fund, relating to a private placement of an aggregate of 459,458 units for $1.85 per unit, with each unit consisting of one share of common stock and one common stock purchase warrant to purchase one share of Common Stock for $2.00 per share.
Stock-Option Plans
2006 Stock Incentive Plan
On August 3, 2006, CNS Response, Inc. adopted the CNS 2006 Stock Incentive Plan (the “2006 Plan”). The 2006 Plan provided for the issuance of awards in the form of restricted shares, stock options (which may constitute incentive stock options (ISO) or non-statutory stock options (NSO), stock appreciation rights and stock unit grants to eligible employees, directors and consultants and is administered by the Board. A total of 3,339 shares of stock were ultimately reserved for issuance under the 2006 Plan. As of March 31, 2019, zero options were exercised and there were 1,435 option shares outstanding under the amended 2006 Plan. The outstanding options have exercise prices to purchase shares of common stock ranging from $2,400 to $3,300 per share.
2012 Omnibus Incentive Compensation Plan
On March 22, 2012, our Board approved the MYnd Analytics, Inc. 2012 Omnibus Incentive Compensation Plan (the “2012 Plan”), reserved 1,667 shares of stock for issuance and on December 10, 2012, the Board approved the amendment of the 2012 Plan to increase the shares authorized for issuance from 1,667 shares to 27,500 shares. On March 26, 2013, the Board further approved the amendment of the 2012 Plan to increase the shares authorized for issuance from 27,500 shares to 75,000 shares. The 2012 Plan, as amended, was approved by our stockholders at the 2013 annual meeting held on May 23, 2013.
On April 5, 2016, the Board approved a further amendment of the 2012 Plan to increase the Common Stock authorized for issuance from 75,000 shares to 200,000 shares.
On September 22, 2016 the Board amended the 2012 Plan to: (i) increase the total number of shares of Common Stock available for grant under the 2012 Plan from 200,000 shares to an aggregate of 500,000 shares, (ii) add an “evergreen” provision which, on January 1st of each year through 2022, automatically increases the number of shares subject to the 2012 Plan by the lesser of: (a) a number equal to 10% of the shares of Common Stock authorized under the 2012 Plan as of the preceding December 31st, or (b) an amount, or no amount, as determined by the Board, but in no event may the number of shares of Common Stock authorized under the 2012 Plan exceed 885,781 and (iii) increase the annual individual award limits under the 2012 Plan to 100,000 shares of Common Stock, subject to adjustment in accordance with the 2012 Plan. Per the above mentioned “evergreen” provision, an additional 50,000 shares were automatically allocated for distribution under the 2012 Plan as of January 1, 2017.
F-46
At the 2017 Annual Meeting of Stockholders of the Company, held on August 21, 2017 (the “2017 Annual Meeting”), the holders of the Company’s common stock voted to amend the Company’s 2012 Plan to increase: (i) the total number of shares of common stock, par value $0.001 per share (“Common Stock”), available for grant under the 2012 Plan (subject to the overall limits described in clause (ii) below) from 550,000 shares to an aggregate of 975,000 shares; (ii) the aggregate limitation on authorized shares available for grant under the 2012 Plan, following any increases pursuant to the evergreen provision, from 885,781 shares to 1,570,248 shares and (iii) the annual individual award limits under the 2012 Plan to 150,000 shares of Common Stock (subject to adjustment in accordance with the 2012 Plan);
At the 2018 Annual Meeting of Stockholders of the Company, held on April 4, 2018 (the “2018 Annual Meeting”), the holders of the Company’s common stock voted to amend the 2012 Plan to increase (i) the total number of shares of Common Stock available for grant under the 2012 Plan (subject to the overall limit described in clause (ii) below) from 1,072,500 shares to an aggregate of 1,500,000 shares and (ii) the aggregate limitation on the authorization shares available for grant under the 2012 Plan, following any increases pursuant to the evergreen provision, from 1,570,248 shares to 2,200,000 shares.
At the Special Meeting of Stockholders of the Company, held on November 26, 2018, the holders of the Company’s common and preferred stock voted to (i) amend the 2012 Plan to eliminate the annual individual award limits under the 2012 Plan and (ii) amend 2012 Plan to increase: (a) the total number of shares of common stock, par value $0.001 per share (“Common Stock”), available for grant under the 2012 Plan (subject to the overall limits described in clause (b) below) from 1,500,000 shares to an aggregate of 2,250,000 shares and (b) the aggregate limitation on authorized shares available for grant under the 2012 Plan, following any increases pursuant to the evergreen provision (the “Evergreen Provision”), from 2,200,000 shares to 2,950,000 shares.
Amendment to Chief Executive Officer’s Agreement
On April 19, 2018, the Company and George C. Carpenter, IV, the former CEO of the Company, entered into an amendment to his Employment Agreement, dated as of September 7, 2007 (the “CEO Amendment”), pursuant to which Mr. Carpenter’s annual salary was reduced from $270,000 to $206,250. This change is retroactive to April 13, 2018. Further, pursuant to the CEO Amendment, Mr. Carpenter was granted 34,380 restricted shares of common stock under the 2012 Plan. The shares granted under the CEO Amendment will vest quarterly. If the employee’s relationship with the Company is terminated, the above grant will be prorated. On or before December 31, 2018, the parties will review this modification to determine if the above salary reduction adjustment will be renewed. As of May 9, 2019, the parties have not amended the modification.
Appointment of Chief Innovation Officer; Amendment to Former CEO Employment Agreement
As of December 12, 2018, George C. Carpenter, IV no longer served in the position of Chief Executive Officer and became, in addition to President, the Chief Innovation Officer of the Company. In connection therewith, on December 12, 2018, the Company and Mr. Carpenter entered into an amendment to his Employment Agreement, dated as of September 7, 2007 (the “Carpenter Amendment”), pursuant to which Mr. Carpenter was given the title of President and Chief Innovation Officer of the Company. Pursuant to the Carpenter Amendment, Mr. Carpenter received an option to purchase 50,000 shares of common stock of the Company, with such option vesting over a twelve-month period.
Appointment of Patrick Herguth as CEO; Herguth Employment Agreement
Effective December 12, 2018, the Company appointed Patrick Herguth to the position of Chief Executive Officer.
In connection with Mr. Herguth’s appointment to the position of Chief Executive Officer, the Company entered into an employment agreement with Mr. Herguth, dated as of December 12, 2018 (the “Herguth Employment Agreement”). Pursuant to the Herguth Employment Agreement, Mr. Herguth will serve as the Company’s Chief Executive Officer and will receive a base annual compensation of $325,000, subject to periodic increases. For fiscal year 2019, Mr. Herguth is eligible to receive a performance bonus in a target amount of $340,000, with payment of such bonuses subject to achievement of certain performance goals set forth in the Herguth Employment Agreement. The employment agreement also provides that Mr. Herguth will receive an option to purchase up to 200,000 shares of the Company’s common stock, subject to the time-based vesting schedule and up to 200,000 shares of the Company’s common stock subject to a performance-based vesting schedule, both as specified in the Herguth Employment Agreement, with options to purchase 50,000 of such shares vesting on the date of the Herguth Employment Agreement. The time-based options will be subject to vesting upon a change of control of the Company.
Election of Patrick Herguth to the Board of Directors
Effective December 12, 2018, the Board increased the number of directors on the Board by one and elected Mr. Herguth to the Board to serve as a director of the Company to fill the vacancy created by such increase. Mr. Herguth has not been appointed to any committee of the Board.
F-47
Stock-based Compensation and Expenses
As of March 31, 2019, options to purchase 1,428,500 shares of Common Stock were outstanding under the 2012 Plan with exercise prices ranging from $1.20 to $600.00 per share, with a weighted average exercise price of $3.05 per share. Additionally, 580,564 restricted shares of Common Stock have been granted under the 2012 Plan, leaving 465,936 shares of Common Stock available to be awarded under the 2012 Plan.
Stock-based compensation expenses are generally recognized over the employees’ or service provider’s requisite service period, generally the vesting period of the award. Stock-based compensation expense included in the accompanying unaudited condensed consolidated statements of operations for the six months ended March 31, 2019 and 2018 is as follows:
| Six months ended March 31, | ||||||||||||||||
| 2019 | 2018 | |||||||||||||||
| Stock-based compensation expense - stock options | Stock-based compensation expense - restricted shares | Stock-based compensation expense - stock options | Stock-based compensation expense restricted shares | |||||||||||||
| Research | $ | — | $ | — | $ | — | $ | — | ||||||||
| Product development | 29,200 | 17,800 | 100 | — | ||||||||||||
| Sales and marketing | 12,000 | — | 100 | — | ||||||||||||
| General and administrative | 404,200 | 312,100 | 302,900 | 289,900 | ||||||||||||
| Total | $ | 445,400 | $ | 329,900 | $ | 303,100 | $ | 289,900 | ||||||||
Total unrecognized stock compensation expense as of March 31, 2019 amounted to $334,900.
The following table sets forth the Company’s unrecognized stock-based compensation expense, net of estimated forfeitures, by type of award and the weighted-average period over which that expense is expected to be recognized:
| March 31, | ||||||||||||||||
| 2019 | 2018 | |||||||||||||||
| Type of Award: | Unrecognized Expense, net of estimated forfeitures | Weighted average Recognition Period (in years) | Unrecognized Expense, net of estimated forfeitures | Weighted average Recognition Period (in years) | ||||||||||||
| Stock Options | $ | 329,600 | 1.40 | $ | 682,900 | 0.53 | ||||||||||
| Restricted Stock | 5,300 | 0.05 | 139,100 | 0.48 | ||||||||||||
| Total | $ | 334,900 | 1.38 | $ | 822,000 | 0.52 | ||||||||||
A summary of all stock option activity is as follows:
| Number of Shares | Weighted Average Exercise Price | Weighted- Average Remaining Contractual Term (in years) | Intrinsic Value | |||||||||||||
| Outstanding at September 30, 2018 | 803,937 | $ | 10.13 | 8.75 | $ | 7,500 | ||||||||||
| Granted | 864,758 | 1.34 | — | |||||||||||||
| Exercised | — | — | — | |||||||||||||
| Forfeited or expired | (38,760 | ) | 2.28 | |||||||||||||
| Outstanding at March 31, 2019 | 1,629,935 | $ | 5.65 | 8.89 | $ | 52,600 | ||||||||||
F-48
There are 825,100 options vested and 804,835 unvested as of March 31, 2019; there are 531,604 options vested and 272,333 options unvested as of September 30, 2018;
Following is a summary of the restricted stock activity for the six months ended March 31, 2019:
| Number of Shares | Weighted Average Grant Date Fair Value | |||||||
| Outstanding at September 30, 2018 | 406,564 | $ | 4.09 | |||||
| Granted | 174,000 | 1.35 | ||||||
| Forfeited | — | — | ||||||
| Outstanding at March 31, 2019 | 580,564 | $ | 3.27 | |||||
There are 567,469 shares of restricted stock vested and 13,095 unvested as of March 31, 2019; there are 351,522 shares of restricted stock vested and 55,042 unvested as of September 30, 2018;
The range of Black-Scholes option-pricing model assumption inputs for all the valuation dates are in the table below:
Six Months Ended March 31, 2019 | ||||||||
| Low | High | |||||||
| Annual dividend yield | — | % | — | % | ||||
| Expected life (years) | 3.0 | 5.0 | ||||||
| Risk-free interest rate | 2.23 | % | 2.90 | % | ||||
| Expected volatility | 172.89 | % | 200.47 | % | ||||
Expected Dividend Yield. The Company has never declared or paid any cash dividends and does not presently plan to pay cash dividends in the foreseeable future.
Expected Life. The Company elected to utilize the “simplified” method for “plain vanilla” options to value stock option grants. Under this approach, the weighted-average expected life is presumed to be the average of the vesting term and the contractual term.
Expected Volatility. The expected volatility rate used to value stock option grants is based on the historical volatilities of the Company’s common stock.
Risk-free Interest Rate. The risk-free interest rate assumption was based on U.S. Treasury bill instruments that had terms consistent with the expected term of the Company’s stock option grants.
The warrant activity for the six months ended March 31, 2019, are described as follows:
| Number of Shares | Weighted Average Exercise Price | |||||||
| Outstanding at September 30, 2018 | 6,075,874 | $ | 4.53 | |||||
| Expired/ Forfeited | (555 | ) | 55.00 | |||||
| Outstanding at March 31, 2019 | 6,075,319 | $ | 4.52 | |||||
F-49
Following is a summary of the status of warrants outstanding at March 31, 2019:
| Exercise Price | Number of Shares | Expiration Date | Weighted Average Exercise Price | |||||||||
| $ | 2.00 | 459,458 | (1) | 09/2023 | $ | 2.00 | ||||||
| 2.34 | 1,050,000 | (2) | 03/2023 | 2.34 | ||||||||
| 5.25 | 2,539,061 | (3) | 07/2022 | 5.25 | ||||||||
| 5.25 | 1,675,000 | (4) | 07/2022 | 5.25 | ||||||||
| 5.25 | 213,800 | (5) | 07/2022 | 5.25 | ||||||||
| 6.04 | 134,000 | (6) | 07/2022 | 6.04 | ||||||||
| 10.00 | 4,000 | 06/2021 | 10.00 | |||||||||
| Total | 6,075,319 | $ | 4.52 | |||||||||
| (1) | On September 21, 2018, the Company entered into definitive agreements with George C. Carpenter IV, President and former Chief Executive Officer, Robin L. Smith, Chairman, as well as John Pappajohn, and Peter Unanue, each a director of the Company, and entities affiliated with Michal Votruba, a member of the Board of Directors of MYnd Analytics and Director of Life Sciences for the European-based RSJ-Gradus fund, relating to a private placement of an aggregate of 459,458 units for $1.85 per unit, with each unit consisting of one share of Common Stock and one Common Stock Purchase Warrant to purchase one share of Common Stock for $2.00 per share. The closing price per share of the Common Stock on the Nasdaq Stock Market on September 20, 2018 was $1.72 per share. |
| (2) | On March 29, 2018, the Company sold an aggregate of 1,050,000 units for $2.00 per Unit each consisting of one share of newly-designated Series A Preferred Stock, and one warrant in a private placement to three affiliates of the Company, for gross proceeds of $2.1 million. The private placement closed on March 29, 2018. The closing price per share of the Common Stock on the Nasdaq Stock Market on March 29, 2018 was $1.19 per share. |
| (3) | On July 13, 2017, the Company declared a special dividend of warrants to purchase shares of the Company’s common stock to record holders of Common Stock as of such date. Warrants to purchase 2,539,061 shares of Common Stock were distributed pro rata to all holders of common stock on the record date. These warrants are exercisable (in accordance with their terms) to purchase one share of common stock, at an exercise price of $5.25 per share. The warrants will become exercisable commencing not less than 12 months following their July 27, 2017 distribution date and will expire five years from the date of issuance. |
| (4) | On July 19, 2017, the Company issued 1,675,000 shares of Common Stock and accompanying Warrants to purchase up to 1,675,000 shares of Common Stock in connection with an underwritten public offering. |
| (5) | On August 23, 2017, the Company issued warrants to purchase 213,800 shares of common stock to underwriters as part of the exercise of the overallotment option attributed to the July 2017 underwritten public offering. |
| (6) | As part of the underwritten public offering on July 19, 2017, the Company issued warrants to purchase 134,000 shares of common stock to the underwriters as part of the services performed by them in connection with the underwritten public offering. |
9. RELATED PARTY TRANSACTIONS
DCA Agreement
On September 25, 2013, the Board approved a consulting agreement effective May 1, 2013, for marketing services provided by Decision Calculus Associates (“DCA”), an entity operated by Mr. Carpenter’s spouse, Jill Carpenter. Effective August 2015, DCA was engaged at a fee of $10,000 per month. From August 2015 through February 2017, DCA has been paid $170,000. The DCA contract was renewed at $3,000 a month effective March 1, 2017. On May 1, 2018, the Company amended the agreement with DCA to reduce the monthly fee to $2,000 a month. The amendment provides for a term of one year with a 30 day termination clause. The Company incurred fees of $6,000 and $9,000 for the three months ended March 31, 2019 and 2018, respectively. The Company incurred fees of $12,000 and $18,000 for the six months ended March 31, 2019 and 2018, respectively. The agreement with DCA was terminated on April 20, 2019.
Hooper Holmes Agreement
In 2016, we entered into an agreement with Hooper Holmes Inc., for which Dr. Smith, our Chairman of the Board, became an advisory member of its board as of March 16, 2017, and in which Mr. Pappajohn, our director, has participated in equity raises to become the beneficial owner of a greater than 10% interest. Hooper Holmes performs EEGs nationwide to patients who wish to obtain a PEER report. The Company paid $0 and $54,300 for these services during the three months ended March 31, 2019 and 2018, respectively. The Company paid $2,600 and $90,700 for these services during the six months ended March 31, 2019 and 2018, respectively. The agreement with Hooper Holmes was deleted on December 31, 2018.
F-50
Private Placement with Directors and Management
On September 21, 2018, the Company entered into definitive agreements with George C. Carpenter IV, President and then Chief Executive Officer, Robin L. Smith, Chairman, as well as John Pappajohn, and Peter Unanue, each a director of the Company, and entities affiliated with Michal Votruba, a member of the Board of Directors of MYnd Analytics and Director of Life Sciences for the European-based RSJ-Gradus fund, relating to a private placement of an aggregate of 459,458 units for $1.85 per unit, with each unit consisting of one share of common stock and one common stock purchase warrant to purchase one share of Common Stock for $2.00 per share.
10. LOSS PER SHARE
Basic earnings (loss) per share is computed by dividing income (loss) available to common stockholders less the current period preferred stock dividend by the weighted average common shares outstanding during the period. Diluted earnings (loss) per share takes into account the potential dilution that could occur if securities or other contracts to issue Common Stock were exercised and converted into Common Stock
A summary of the net income (loss) and shares used to compute net income (loss) per share for the three and six months ended March 31, 2019 and 2018 is as follows:
| Three Months Ended March 31, | Six Months Ended March 31, | |||||||||||||||
| 2019 | 2018 | 2019 | 2018 | |||||||||||||
| Net loss for computation of basic and diluted net loss per share: | ||||||||||||||||
| Net Loss attributable to MYnd Analytics, Inc. | $ | (2,258,600 | ) | $ | (2,587,300 | ) | $ | (4,636,100 | ) | $ | (5,356,700 | ) | ||||
| Preferred stock dividends | (24,600 | ) | — | (49,200 | ) | — | ||||||||||
| $ | (2,283,200 | ) | $ | (2,587,300 | ) | $ | (4,685,300 | ) | $ | (5,356,700 | ) | |||||
| Basic and diluted net loss per share: | ||||||||||||||||
| Basic and diluted net loss per share | $ | (0.27 | ) | $ | (0.59 | ) | $ | (0.59 | ) | $ | (1.23 | ) | ||||
| Basic and diluted weighted average shares outstanding | 8,399,443 | 4,362,564 | 7,964,021 | 4,347,745 | ||||||||||||
| Anti-dilutive common equivalent shares not included in the computation of dilutive net loss per share: | ||||||||||||||||
| Warrants | 6,075,319 | 5,617,481 | 6,075,319 | 5,617,481 | ||||||||||||
| Restricted common stock | 13,095 | 42,416 | 13,095 | 42,416 | ||||||||||||
| Options | 1,629,935 | 554,059 | 1,629,935 | 554,059 | ||||||||||||
| Total | 7,718,349 | 6,213,956 | 7,718,349 | 6,213,956 | ||||||||||||
F-51
11. COMMITMENTS AND CONTINGENT LIABILITIES
Litigation
The Company is not currently party to any legal proceedings, the adverse outcome of which, in the Company’s management’s opinion, individually or in the aggregate, would have a material adverse effect on the Company’s results of operations or financial position.
Lease Commitments
The Company has entered into operating lease agreements for its office locations in California, Virginia and Pennsylvania which expire at various times through September 30, 2020. Minimum future lease payments under these leases are as follows:
| Payments due by period | ||||||||||||
| Contractual Obligations | Total | 2019 | 2020 | |||||||||
| Operating Lease Obligations | $ | 177,300 | $ | 129,800 | $ | 47,500 | ||||||
| Total | $ | 177,300 | $ | 129,800 | $ | 47,500 | ||||||
12. SUBSEQUENT EVENTS
Aspire Line
Subsequent to March 31, 2019, the Company issued purchase notices to Aspire Capital to purchase 463,636 shares of common stock, at a weighted average per share price of $1.10, resulting in gross cash proceeds of $510,000.
Equity Grant to Chairman of the Board
On May 8, 2019, the Board of Directors granted 50,000 restricted shares and 100,000 options to purchase common stock to the Chairman of the Board, Dr. Robin L. Smith, under the Company’s Amended and Restated 2012 Omnibus Incentive Compensation Plan. The restricted shares and options vest immediately and survive the full term. In the event the merger does not close, Dr. Smith will forfeit 25,000 restricted shares and 25,000 shares of common stock to the Company’s plan.
F-52
INDEX TO EMMAUS CONSOLIDATED FINANCIAL STATEMENTS
F-53
Report of Independent Registered Public Accounting Firm
To the Shareholders and the Board of Directors of Emmaus Life Sciences, Inc. and Subsidiaries
Opinion on the Financial Statements
We have audited the accompanying consolidated balance sheets of Emmaus Life Sciences, Inc. and Subsidiaries (collectively, the “Company”) as of December 31, 2018 and 2017, the related consolidated statements of comprehensive loss, stockholders’ equity (deficit) and cash flows for the years then ended, and the related notes to the consolidated financial statements (collectively, the “financial statements”). In our opinion, the financial statements present fairly, in all material respects, the financial position of the Company as of December 31, 2018 and 2017, and the results of its operations and its cash flows for the years then ended, in conformity with accounting principles generally accepted in the United States of America.
Going Concern Matter
The accompanying financial statements have been prepared assuming that the Company will continue as a going concern. As discussed in Note 2 to the financial statements, the Company has suffered recurring losses from operations, has an accumulated deficit and a significant amount of notes payable and other obligations due within twelve months. This raises substantial doubt about the Company’s ability to continue as a going concern. Management’s plans in regard to these matters also are described in Note 2. The financial statements do not include any adjustments that might result from the outcome of this uncertainty.
Basis for Opinion
These financial statements are the responsibility of the Company’s management. Our responsibility is to express an opinion on the Company’s financial statements based on our audits. We are a public accounting firm registered with the Public Company Accounting Oversight Board (United States) (PCAOB) and are required to be independent with respect to the Company in accordance with U.S. federal securities laws and the applicable rules and regulations of the Securities and Exchange Commission and the PCAOB.
We conducted our audits in accordance with the standards of the PCAOB. Those standards require that we plan and perform the audit to obtain reasonable assurance about whether the financial statements are free of material misstatement, whether due to error or fraud. The Company is not required to have, nor were we engaged to perform, an audit of its internal control over financial reporting. As part of our audits we are required to obtain an understanding of internal control over financial reporting but not for the purpose of expressing an opinion on the effectiveness of the Company’s internal control over financial reporting. Accordingly, we express no such opinion.
Our audits included performing procedures to assess the risks of material misstatement of the financial statements, whether due to error or fraud, and performing procedures that respond to those risks. Such procedures included examining, on a test basis, evidence regarding the amounts and disclosures in the financial statements. Our audits also included evaluating the accounting principles used and significant estimates made by management, as well as evaluating the overall presentation of the financial statements. We believe that our audits provide a reasonable basis for our opinion.
/s/ SingerLewak LLP
We have served as the Company’s auditor since 2015.
Los Angeles, California
March 21, 2019
F-54
Emmaus Life Sciences, Inc.
Consolidated Balance Sheets
| As of | ||||||||
| December 31, 2018 | December 31, 2017 | |||||||
| ASSETS | ||||||||
| CURRENT ASSETS | ||||||||
| Cash and cash equivalents ($13,175,071 and $0 attributable to the VIE) | $ | 17,079,734 | $ | 15,836,063 | ||||
| Restricted cash | - | 6,720,000 | ||||||
| Accounts receivable | 1,351,395 | 26,814 | ||||||
| Inventories, net | 4,704,571 | 625,299 | ||||||
| Investment in marketable securities | 49,342,776 | 99,836,397 | ||||||
| Marketable securities, pledged to creditor | 238,304 | 160,925 | ||||||
| Income tax receivable | 9,648 | - | ||||||
| Prepaid expenses and other current assets ($272,670 and $0 attributable to the VIE) | 733,008 | 290,371 | ||||||
| Total current assets | 73,459,436 | 123,495,869 | ||||||
| PROPERTY AND EQUIPMENT, NET | 151,686 | 105,302 | ||||||
| OTHER ASSETS | ||||||||
| Long-term investment at cost | 538,202 | 65,520 | ||||||
| Intangibles, net | 53,760 | 67,200 | ||||||
| Deposits and other assets | 352,103 | 111,581 | ||||||
| Total other assets | 944,065 | 244,301 | ||||||
| Total assets | $ | 74,555,187 | $ | 123,845,472 | ||||
| LIABILITIES AND STOCKHOLDERS’ EQUITY (DEFICIT) | ||||||||
| CURRENT LIABILITIES | ||||||||
| Accounts payable and accrued expenses | $ | 9,123,475 | $ | 5,695,310 | ||||
| Deferred rent | 18,725 | 30,078 | ||||||
| Other current liabilities | 5,180,733 | 10,109 | ||||||
| Warrant derivative liabilities | - | 26,377,000 | ||||||
| Notes payable, net | 6,394,161 | 7,871,143 | ||||||
| Notes payable to related parties, net | 467,806 | 2,036,261 | ||||||
| Convertible notes payable, net | 11,253,348 | 7,025,002 | ||||||
| Convertible notes payable to related parties, net | 5,088,542 | 400,000 | ||||||
| Total current liabilities | 37,526,790 | 49,444,903 | ||||||
| LONG-TERM LIABILITIES | ||||||||
| Deferred rent | 267,694 | 10,821 | ||||||
| Other long-term liabilities | 36,221,500 | 36,852,290 | ||||||
| Warrant derivative liabilities | 1,399,000 | 1,882,000 | ||||||
| Notes payable, net | 1,021,395 | - | ||||||
| Conversion option liabilities | - | 1,289,000 | ||||||
| Convertible notes payable, net | 5,484,551 | 20,075,780 | ||||||
| Convertible notes payable to related parties, net | 8,528,540 | - | ||||||
| Total long-term liabilities | 52,922,680 | 60,109,891 | ||||||
| Total liabilities | 90,449,470 | 109,554,794 | ||||||
| STOCKHOLDERS’ EQUITY (DEFICIT) | ||||||||
| Preferred stock - par value $0.001 per share, 20,000,000 shares authorized, none issued and outstanding | - | - | ||||||
| Common stock - par value $0.001 per share, 100,000,000 shares authorized, 35,558,305 shares and 34,885,506 shares issued and outstanding at December 31, 2018 and December 31, 2017, respectively | 35,559 | 34,886 | ||||||
| Additional paid-in capital | 140,903,946 | 113,111,745 | ||||||
| Accumulated other comprehensive income (loss) | (69,127 | ) | 41,275,785 | |||||
| Accumulated deficit | (156,667,567 | ) | (140,131,738 | ) | ||||
| Total stockholders’ equity (deficit) | (15,797,189 | ) | 14,290,678 | |||||
| Non-controlling interests | (97,094 | ) | - | |||||
| Total liabilities & stockholders’ equity (deficit) | $ | 74,555,187 | $ | 123,845,472 | ||||
The accompanying notes are an integral part of these consolidated financial statements.
F-55
Emmaus Life Sciences, Inc.
Consolidated Statements of Comprehensive Loss
| Year Ended December 31, | ||||||||
| 2018 | 2017 | |||||||
| CONSOLIDATED STATEMENTS OF LOSS | ||||||||
| REVENUES, NET | $ | 15,076,822 | $ | 513,447 | ||||
| COST OF GOODS SOLD | 763,520 | 283,833 | ||||||
| GROSS PROFIT | 14,313,302 | 229,614 | ||||||
| OPERATING EXPENSES | ||||||||
| Research and development | 1,722,897 | 2,815,106 | ||||||
| Selling | 4,813,529 | 1,233,013 | ||||||
| General and administrative | 17,876,527 | 15,071,360 | ||||||
| Total operating expenses | 24,412,953 | 19,119,479 | ||||||
| LOSS FROM OPERATIONS | (10,099,651 | ) | (18,889,865 | ) | ||||
| OTHER INCOME (EXPENSE) | ||||||||
| Other income | 737,971 | - | ||||||
| Loss on debt extinguishment | (3,244,769 | ) | - | |||||
| Change in fair value of warrant derivative liabilities | 20,674,000 | (15,777,000 | ) | |||||
| Change in fair value of embedded conversion option | 466,000 | - | ||||||
| Net losses on equity investment in marketable securities | (43,977,002 | ) | - | |||||
| Interest and other income (loss) | 231,604 | (6,768 | ) | |||||
| Interest expense | (22,825,190 | ) | (11,000,559 | ) | ||||
| Total other income (expenses) | (47,937,386 | ) | (26,784,327 | ) | ||||
| LOSS BEFORE INCOME TAXES | (58,037,037 | ) | (45,674,192 | ) | ||||
| INCOME TAXES (BENEFIT) | 6,222 | (12,303,110 | ) | |||||
| NET LOSS INCLUDING NON-CONTROLLING INTERESTS | (58,043,259 | ) | (33,371,082 | ) | ||||
| Net loss attributable to non-controlling interests | 145,699 | - | ||||||
| NET LOSS ATTRIBUTABLE TO THE COMPANY | (57,897,560 | ) | (33,371,082 | ) | ||||
| COMPONENTS OF OTHER COMPREHENSIVE INCOME (LOSS) | ||||||||
| Unrealized holding gain (loss) on marketable securities | - | 44,752,413 | ||||||
| Foreign currency translation adjustments | 17,129 | (25,882 | ) | |||||
| Other comprehensive income (loss) | 17,129 | 44,726,531 | ||||||
| COMPREHENSIVE INCOME (LOSS) | (58,026,130 | ) | 11,355,449 | |||||
| Amounts attributable to non-controlling interests: | ||||||||
| Net loss attributable to non-controlling interests | 145,699 | - | ||||||
| Foreign currency translation adjustments | 310 | - | ||||||
| Comprehensive loss attributable to non-controlling interest | 146,009 | - | ||||||
| COMPREHENSIVE INCOME (LOSS) ATTRIBUTABLE TO THE COMPANY | $ | (57,880,121 | ) | $ | 11,355,449 | |||
| NET LOSS PER COMMON SHARE | $ | (1.65 | ) | $ | (0.96 | ) | ||
| WEIGHTED AVERAGE COMMON SHARES OUTSTANDING | 35,097,990 | 34,790,498 | ||||||
The accompanying notes are an integral part of these consolidated financial statements.
F-56
Consolidated Statements of stockholders’ equity (deficit)
| Common stock - par value $0.001 per share, 100,000,000 | ||||||||||||||||||||||||||||||||
| shares authorized | ||||||||||||||||||||||||||||||||
| Shares | Common Stock | Additional Paid-In Capital | Accumulated Other Comprehensive Income (Loss) | Accumulated Deficit | Total Emmaus Stockholders’ Equity / (Deficit) | Non-controlling interests | Total Equity / (Deficit) | |||||||||||||||||||||||||
| Balance, December 31, 2017 | 34,885,506 | $ | 34,886 | $ | 113,111,745 | $ | 41,275,785 | $ | (140,131,738 | ) | $ | 14,290,678 | $ | - | $ | 14,290,678 | ||||||||||||||||
| Cumulative effect adjustment on adoption of ASU 2016-01 | - | - | - | (41,361,731 | ) | 41,361,731 | - | - | - | |||||||||||||||||||||||
| Beneficial conversion feature relating to convertible and promissory notes payable | - | - | 17,199,036 | - | - | 17,199,036 | - | 17,199,036 | ||||||||||||||||||||||||
| Warrant issued in conjunction with debt | - | - | 9,687,000 | - | - | 9,687,000 | - | 9,687,000 | ||||||||||||||||||||||||
| Exercise of warrants | 30,500 | 31 | 110,619 | 110,650 | - | 110,650 | ||||||||||||||||||||||||||
| Stock issued for cash | 125,000 | 125 | 1,274,875 | - | - | 1,275,000 | 48,295 | 1,323,295 | ||||||||||||||||||||||||
| Repurchase and cancellation of common stock | (1,195,000 | ) | (1,195 | ) | (5,074,805 | ) | (5,076,000 | ) | - | (5,076,000 | ) | |||||||||||||||||||||
| Share-based compensation | - | - | 4,597,188 | - | - | 4,597,188 | - | 4,597,188 | ||||||||||||||||||||||||
| Exercise of common stock options (cashless) | 84,248 | 84 | (84 | ) | - | - | - | - | - | |||||||||||||||||||||||
| Exercise of warrants (cashless) | 1,628,051 | 1,628 | (1,628 | ) | - | - | - | - | - | |||||||||||||||||||||||
| Foreign currency translation effect | - | - | - | 16,819 | - | 16,819 | 310 | 17,129 | ||||||||||||||||||||||||
| Net loss | - | - | - | - | (57,897,560 | ) | (57,897,560 | ) | (145,699 | ) | (58,043,259 | ) | ||||||||||||||||||||
| Balance, December 31, 2018 | 35,558,305 | $ | 35,559 | $ | 140,903,946 | $ | (69,127 | ) | $ | (156,667,567 | ) | $ | (15,797,189 | ) | $ | (97,094 | ) | $ | (15,894,283 | ) | ||||||||||||
The accompanying notes are an integral part of these consolidated financial statements.
F-57
Emmaus Life Sciences, Inc.
Consolidated Statements of Cash Flows
| Year ended December 31, | ||||||||
| 2018 | 2017 | |||||||
| CASH FLOWS FROM OPERATING ACTIVITIES | ||||||||
| Net loss | $ | (58,043,259 | ) | $ | (33,371,082 | ) | ||
| Adjustments to reconcile net loss to net cash flows from operating activities | ||||||||
| Depreciation and amortization | 60,682 | 32,379 | ||||||
| Cost of scrapped inventory written off | 7,896 | 62,738 | ||||||
| Amortization of discount of convertible notes | 18,263,040 | 8,859,370 | ||||||
| Foreign exchange adjustments on convertible notes and notes payable | 54,442 | 78,969 | ||||||
| Net losses on equity investment in marketable securities | 43,977,002 | - | ||||||
| Tax benefit recognized on unrealized gain on securities | - | (12,306,343 | ) | |||||
| Loss on debt settlement | 3,244,769 | - | ||||||
| Loss on disposal of property and equipment | - | 6,358 | ||||||
| Share-based compensation | 4,597,188 | 5,051,838 | ||||||
| Change in fair value of warrant derivative liabilities | (20,674,000 | ) | 15,777,000 | |||||
| Change in fair value of embedded conversion option | (466,000 | ) | - | |||||
| Net changes in operating assets and liabilities | ||||||||
| Accounts receivable | (1,324,222 | ) | (12,322 | ) | ||||
| Inventories | (4,086,987 | ) | (517,073 | ) | ||||
| Prepaid expenses and other current assets | (429,058 | ) | (141,746 | ) | ||||
| Deposits and other assets | (240,851 | ) | 104,971 | |||||
| Income tax | (9,648 | ) | - | |||||
| Accounts payable and accrued expenses | 4,631,655 | 3,724,412 | ||||||
| Deferred rent | 245,521 | (16,197 | ) | |||||
| Other current liabilities | 5,170,314 | 10,159 | ||||||
| Other long-term liabilities | (630,485 | ) | 36,852,290 | |||||
| Net cash flows provided by (used in) operating activities | (5,652,001 | ) | 24,195,721 | |||||
| CASH FLOWS FROM INVESTING ACTIVITIES | ||||||||
| Payments towards intangible asset | - | (67,200 | ) | |||||
| Sale of marketable securities | 6,439,240 | - | ||||||
| Purchases of property and equipment | (93,545 | ) | (90,059 | ) | ||||
| Purchase of marketable securities and investment at cost | (469,052 | ) | (31,903,450 | ) | ||||
| Net cash flows provided by (used in) investing activities | 5,876,643 | (32,060,709 | ) | |||||
| CASH FLOWS FROM FINANCING ACTIVITIES | ||||||||
| Repurchase of common stock and warrants | (11,262,000 | ) | - | |||||
| Proceeds from notes payable issued, net of issuance cost and discount | 11,560,000 | 4,503,751 | ||||||
| Proceeds from convertible notes payable issued, net of issuance cost and discount | 17,644,700 | 25,069,654 | ||||||
| Payments of notes payable | (5,077,167 | ) | (794,339 | ) | ||||
| Payments of convertible notes | (20,000,000 | ) | (804,105 | ) | ||||
| Proceeds from exercise of warrants | 110,650 | - | ||||||
| Proceeds from issuance of common stock | 1,275,000 | 1,141,600 | ||||||
| Proceeds from non-controlling interest | 48,295 | - | ||||||
| Net cash flows provided by (used in) financing activities | (5,700,522 | ) | 29,116,561 | |||||
| Effect of exchange rate changes on cash | (449 | ) | (12,850 | ) | ||||
| Net increase (decrease) in cash, cash equivalents and restricted cash | (5,476,329 | ) | 21,238,723 | |||||
| Cash, cash equivalents and restricted cash, beginning of period | 22,556,063 | 1,317,340 | ||||||
| Cash, cash equivalents and restricted cash, end of period | $ | 17,079,734 | $ | 22,556,063 | ||||
| SUPPLEMENTAL DISCLOSURES OF CASH FLOW ACTIVITIES | ||||||||
| Interest paid | $ | 2,177,612 | $ | 825,241 | ||||
| Income taxes paid | $ | 3,036 | $ | 3,233 | ||||
| Exercised of warrants and options on cashless basis | $ | 1,712 | $ | - | ||||
| Conversion of notes payable to common stock | $ | - | $ | 200,000 | ||||
| Conversion of accrued interest payable to common stock | $ | - | $ | 10,079 | ||||
The accompanying notes are an integral part of these consolidated financial statements.
F-58
Notes to consolidated financial statements
NOTE 1-DESCRIPTION OF BUSINESS
Organization-Emmaus Life Sciences, Inc. (the “Company” or “Emmaus”), which is a commercial-stage biopharmaceutical company engaged in the discovery, development, marketing and sales of innovative treatments and therapies primarily for rare and orphan diseases, was incorporated in the state of Delaware on September 24, 2007. Pursuant to an Agreement and Plan of Merger, dated April 21, 2011 (the “Merger Agreement”), by and among the Company, AFH Merger Sub, Inc., a wholly-owned subsidiary of the Company (“AFH Merger Sub”), AFH Holding and Advisory, LLC (“AFH Advisory”), and Emmaus Medical, Inc. (“Emmaus Medical”), Emmaus Medical merged with and into AFH Merger Sub with Emmaus Medical continuing as the surviving entity (the “Merger”). Upon the closing of the Merger, the Company changed its name from “AFH Acquisition IV, Inc.” to “Emmaus Holdings, Inc.” and became the parent company of Emmaus Medical. The Company changed its name from “Emmaus Holdings, Inc.” to “Emmaus Life Sciences, Inc.” on September 14, 2011.
Emmaus Medical is a Delaware corporation originally incorporated on September 12, 2003. Emmaus Medical, LLC was organized on December 20, 2000. In October 2003, Emmaus Medical, LLC conducted a reorganization and merged with Emmaus Medical. As a result of the merger, Emmaus Medical acquired the exclusive patent rights for a treatment for sickle cell disease (“SCD”).
In October 2010, the Company established Emmaus Medical Japan, Inc., a Japanese corporation (“EM Japan”) by funding 97% of the initial capital. EM Japan is engaged in the business of trading in nutritional supplements and other medical products and drugs. The results of EM Japan have been included in the consolidated financial statements of the Company since the date of formation. The aggregate formation cost was $52,500. Emmaus Medical acquired the additional 3% of the outstanding shares of EM Japan during the three months ended March 31, 2011 and is now the 100% owner of the outstanding share capital.
In November 2011, the Company formed Emmaus Medical Europe, Ltd. (“EM Europe”), a wholly owned subsidiary of Emmaus Medical. EM Europe’s primary focus is expanding the business of Emmaus Medical in Europe.
In December 2016, the Company formed Emmaus Life Sciences Korea Co. Ltd. (“ELSK”), a wholly owned subsidiary of Emmaus Medical. ELSK’s primary focus is expanding the business of Emmaus Medical in Korea.
Emmaus Life Sciences, Inc., and its direct and direct wholly-owned subsidiaries are collectively referred to herein as the “Company.”
Nature of Business-The Company is a biopharmaceutical company engaged in the discovery, development, marketing and sales of innovative treatments and therapies primarily for rare and orphan diseases and a leader in the treatment of sickle cell disease, or SCD. On July 7, 2017, the U.S. Food and Drug Administration, or FDA, approved our lead product Endari™ (L-glutamine oral powder), to reduce the acute complications of SCD in adult and pediatric patients five years of age and older.
We began marketing and selling Endari in the United States in January 2018. Endari is reimbursable by the Center of Medicare and Medicaid Services, and every state provides coverage for Endari for outpatient prescription to all eligible Medicaid enrollees within their state Medicaid programs. Additionally, Emmaus has distribution agreements in place with the nation’s leading distributors and pharmacy benefit managers, making Endari available at selected pharmacies nationwide. We expect net revenues to continue to increase as we expand our marketing and commercialization efforts in the United States.
In January 2018, we filed the European Medicines Agency, or EMA, an application for marketing authorization on our L-glutamine oral powder in the European Union, or EU, for treating SCD. WE expect the EMA’s decision regarding our application in the third quarter of 2019. If approved, we intend to seek to begin marketing and sale of our product in the EU by the end of 2019.
Endari has received Orphan Drug designation from the FDA and Orphan Medicinal designation from the European Commission, or EC, which designations generally afford marketing exclusivity for Endari for a seven-year period in the United States and for a ten-year period in the EU, respectively, following marketing approval. Endari also will be entitled to an additional two years of marketing exclusivity in the EU based on Emmaus’ accepted pediatric investigation plan.
SCD is a rare, debilitating and lifelong hereditary blood disorder that affects approximately 100,000 patients in the U.S. and up to 25 million patients worldwide, the majority of which are of African descent. Approximately one in every 365 African-American children are born with SCD. FDA approval of Endari was based upon the results of a 48-week randomized, double-blind, placebo-controlled, multi-center Phase 3 clinical trial evaluating the effects of Endari, as compared to placebo in 230 adults and children with SCD. The results demonstrated that Endari reduced the frequency of sickle cell crises by 25% and hospitalizations by 33%. Additional findings included a 41% decrease in cumulative hospital days and greater than 60% fewer incidents of acute chest syndrome in patients treated with Endari.
F-59
The safety of Endari was based upon data from 298 patients, 187 treated with Endari and 111 patients treated with placebo in Phase 2 and Phase 3 studies. Endari’s safety profile was similar to placebo, and Endari was well-tolerated in pediatric and adult patients alike. The most common adverse reactions, occurring in more than 10% of patients treated with Endari, were constipation, nausea, headache, abdominal pain, cough, pain in extremity, back pain, and chest pain (non-cardiac).
On July 4, 2018, the FDA acknowledged receipt of our investigational new drug application, or IND, for the treatment of diverticulosis using the same pharmaceutical-grade L-glutamine oral powder used in Endari. We subsequently received a “Study May Proceed” letter from the FDA, and in April 2019 we intend to commence a Pilot/Phase 1 study of the safety and efficacy of pharmaceutical-grade L-glutamine oral powder in 10 patients at multiple study sites. The study will evaluate the change in the number and size of colonic diverticula and assess safety.
An Emmaus-led team at Los Angeles Biomedical Research Institute, or LA BioMed, an independent non-profit biomedical research organization academically affiliated with the David Geffen School of Medicine at University of California, at Los Angeles that works in partnership with Harbor-UCLA Medical Center, is conducting pre-clinical studies of Cultured Autologous Oral Mucosal Epithelial Cell Sheet, or CAOMECS, technology licensed by us from our strategic partner, CellSeed Inc., a Japanese company, which we refer to as CellSeed. Our lead CAOMECS program is for the treatment of corneal diseases. The development of CAOMECS for treating corneal and other diseases is in the early stages.
NOTE 2-SUMMARY OF SIGNIFICANT ACCOUNTING POLICIES
Basis of presentation-The accompanying consolidated financial statements have been prepared in accordance with accounting principles generally accepted in the United States of America (“GAAP”) codified in the Accounting Standards Codification (“ASC”) and Accounting Standards Updates (“ASU”) of the Financial Accounting Standards Board (“FASB”). Certain prior period amounts have been reclassified to conform to the current period presentation.
Going concern-The accompanying consolidated financial statements have been prepared on the basis that the Company will continue as a going concern. The Company had net losses attribute to the Company of $57.9 million and $33.4 million for the years ended December 31, 2018 and 2017, respectively. In addition, the Company has a significant amount of notes payable and other obligations due within the next twelve months and is projecting that its operating losses and expected capital needs, including the expected costs relating to the commercialization of Endari, will exceed its existing cash balances and cash expected to be generated from operations for the foreseeable future. In order to meet the Company’s expected obligations, management intends to raise additional funds through equity and debt financings and partnership agreements. However, there can be no assurance that the Company will be able to complete any additional equity or debt financings or enter into partnership agreements. Therefore, due to the uncertainty of the Company’s ability to meet its current operating and capital expenses, there is substantial doubt about the Company’s ability to continue as a going concern, as the continuation and expansion of its business is dependent upon obtaining further financing, successful and sufficient market acceptance of its products, and achieving a profitable level of operations. The consolidated financial statements do not include any adjustments that might result from the outcome of these uncertainties.
Principles of consolidation-The consolidated financial statements include the accounts of the Company (and its wholly-owned subsidiary, Emmaus Medical, and Emmaus Medical’s wholly-owned subsidiaries, Newfield Nutrition, EM Japan, ELSK and EM Europe). All significant intercompany transactions have been eliminated.
The Company also consolidates a variable interest entity (VIE) when the Company has one or more variable interest and is the primary beneficiary of the VIE in question. The Company is deemed to be the primary beneficiary of the VIE if it has both (a) the power to direct the activities of the VIE that most significantly affect the VIE’s economic performance and (b) the obligation to absorb losses of the VIE that could potentially be significant to the VIE or the right to receive benefits from the VIE that could potentially be significant to the VIE.
During 2018, the Company and Japan Industrial Partners formed EJ Holdings, Inc. to acquire and operate manufacturing facility in Ube, Japan. As part of the formation, the Company invested JPY3,600,000 (approximately US$ 32,000) in exchange for 40% of voting shares in EJ Holdings, Inc. The Company anticipates that the manufacturing facility to be acquired will be Company’s supplier of pharmaceutical grade L-glutamine. In October, 2018, the Company entered into a loan agreement with EJ Holdings, Inc. under which the Company have made a long-term, unsecured loan to EJ Holdings, Inc. in the amount of 1.5 billion Japanese Yen, or approximately US $13.2 million. The proceeds of the loan are intended for the acquisition of the manufacturing facility in Ube, Japan. The loan matures on September 30, 2028 and bears the annual interest of 1%.
F-60
Emmaus has determined that EJ Holdings, Inc. is a VIE as substantially all of its activities involve Emmaus, the investor with disproportionally few voting rights. Emmaus also determined that it is the primary beneficiary of EJ Holdings, Inc. and therefore, consolidates EJ Holdings, Inc. into its financial statements. Emmaus determinations above and related accounting treatment depend on judgements and assumptions, most significant of which relate to the nature and economics of future business activities of EJ Holdings, Inc. as well as the role and participation of Japan Industrial Partners.
As part of consolidation of EJ Holdings, Inc. all significant intercompany transactions have been eliminated. The Company reports 60% equity interest held by Japan Industrial Partners in EJ Holdings, Inc. as a non-controlling interest, a separate part of consolidated equity.
Estimates-Financial statements prepared in accordance with GAAP require management to make estimates and assumptions that affect the reported amounts of assets and liabilities at the date of the financial statements and the reported amounts of revenues and expenses during the reporting period. Among other things, management has estimated the useful lives of equipment and other assets, valuation of intangible assets, along with the variables used to calculate the valuation of stock options and warrants using the Black-Scholes-Merton option valuation model.
The various warrants issued by the Company in (i) a private placement in September 2013, (ii) in connection with GPB debt transactions in December 2017 and (iii) replacement warrants issued in June 2014 contain non-standard anti-dilution protection and, consequently, are being accounted for as liabilities that are remeasured to fair market value at each reporting period (Note 7). In addition, the remaining initial private placement warrants may now utilize a cashless exercise feature since the shares associated with them were not registered by the one-year anniversary of their issue. These warrants are classified as warrant derivative liabilities and continue to be remeasured at fair value each reporting period. The initial value as well as the fair value of all such warrants were determined using a Binomial Monte-Carlo Cliquet (aka Ratchet) Option Pricing Model. The model is similar to traditional Black-Scholes-type option pricing models except that the exercise price resets at certain dates in the future. Actual results could differ from those estimates.
Cash and cash equivalents-Cash and cash equivalents include short-term securities with original maturities of less than ninety days. The Company maintains its cash and cash equivalents at insured financial institutions, the balances of which may, at times, exceed federally insured limits. Management believes that the risk of loss due to the concentrations is minimal.
Restricted Cash- Restricted cash includes funds that are held in escrow by the lender and restricted as to withdrawal until certain conditions are met. In February 2018, the Company made a full prepayment of the Initial Note. All the restricted cash held in escrow was returned to GPB. See Note 7 under “Purchase Agreement with GPB.”
The following table provides a reconciliation of cash, cash equivalents, and restricted cash reported on our consolidated statements of cash flows as of December 31, 2018 and 2017:
| As of December 31, | ||||||||
| 2018 | 2017 | |||||||
| Cash and cash equivalents | $ | 17,079,734 | $ | 15,836,063 | ||||
| Restricted cash | - | 6,720,000 | ||||||
| Total cash, cash equivalents and restricted cash shown in the consolidated statements of cash flows | $ | 17,079,734 | $ | 22,556,063 | ||||
Inventories-Inventories are valued based on first-in, first-out and at the lesser of cost or net realizable value. Work-in-process inventories consist of L-glutamine for the Company’s Endari and AminoPure products that has not yet been packaged and labeled for sale.
F-61
Substantially all of the raw material purchases during the years ended December 31, 2018 and 2017 were from one vendor. The below table presents inventory by category:
| As of December 31, | ||||||||
| Inventories by category | 2018 | 2017 | ||||||
| Raw materials and components | $ | 170,997 | $ | - | ||||
| Work-in-process | 2,471,147 | 124,801 | ||||||
| Finished goods | 2,062,427 | 500,498 | ||||||
| Total | $ | 4,704,571 | $ | 625,299 | ||||
Prepaid expenses and other current assets- Prepaid expenses and other current assets consisted of the following at December 31, 2018 and 2017:
| As of December 31, | ||||||||
| 2018 | 2017 | |||||||
| Prepaid insurance | $ | 81,797 | $ | 132,387 | ||||
| Other prepaid expenses and current assets | 651,211 | 157,984 | ||||||
| $ | 733,008 | $ | 290,371 | |||||
Deposits-Carrying value of amounts transferred to third parties for security purposes that are expected to be returned or applied towards payment after one year or beyond the operating cycle, if longer, are recorded as deposits. Deposit amounts further consist of retainer payments for professional services and security deposits for its offices.
Revenue recognition- Effective January 1, 2018, the Company adopted ASC 606, Revenue from Contracts with Customers using the modified retrospective transition methods. The adoption of ASC 606 did not have a material impact on the measurement or on the recognition of revenue of contracts for which all revenue had not been recognized as of January 1, 2018, therefore no cumulative adjustment has been made to the opening balance of accumulated deficit at the beginning of 2018. The comparative information has not been restated and continues to be reported under the accounting standards in effect for the periods presented.
Since January 2018, the Company has generated revenues through the sale of Endari as a treatment for SCD. The Company also generates revenues to a much lesser extent from NutreStore L-glutamine powder, as well as AminoPure, a nutritional supplement.
Revenues from Endari product sales are recognized upon transfer to our distributors, which are customers of the Company, when they obtain control of our products. These distributors subsequently resell our products to specialty pharmacy providers, health care providers, hospitals, patients and clinics. In addition to distribution agreements with these distributors, the Company enters into arrangements with specialty pharmacy providers, in-office dispensing providers, group purchasing organizations, and government entities that provide for government-mandated and/or privately-negotiated rebates, chargebacks and discounts with respect to the purchase of our products. These various discounts, rebates, and charge-backs are referred to as “variable consideration.” Revenues from product sales are recorded net of these variable considerations.
Prior to recognizing revenues, the Company’s management forecasts and estimates variable consideration. Amounts of variable consideration are included in the transaction price to the extent that it is probable that a significant reversal in the amount of cumulative revenues recognized will not occur when the uncertainty associated with the variable consideration is subsequently resolved.
Provisions for returns and other adjustments are provided for in the period in which the related revenues are recorded. Actual amounts of consideration ultimately received may differ from the management estimates. If actual results in the future vary from the estimates, the management will adjust these estimates, which would affect net product revenues in the period such variances become known. The following are our significant categories of sales discounts and allowances:
Sales Discounts: The Company provides its customers prompt payment discounts that are explicitly stated in its contracts and are recorded as a reduction of revenues in the period the revenues are recognized.
Product Returns: The Company offers its distributors a right to return product purchased directly from the Company, which is principally based upon (i) overstocks, (ii) inactive product or non-moving product due to market conditions, and (iii) expired products. Product return allowances are estimated and recorded at the time of sale.
F-62
Government Rebates: The Company is subject to discount obligations under state Medicaid programs and the Medicare prescription drug coverage gap program. The Company’s management estimates Medicaid and Medicare prescription drug coverage gap rebates based upon a range of possible outcomes that are probability-weighted for the estimated payor mix. These reserves are recorded in the same period the related revenues are recognized, resulting in a reduction of product revenues and the establishment of a current liability that is included as an accrued liability in our balance sheet. The liability for these rebates consists primarily of estimates of claims expected to be received in future periods related to recognized revenues.
Chargebacks and Discounts: Chargebacks for fees and discounts represent the estimated obligations resulting from contractual commitments to sell products to certain specialty pharmacy providers, in-office dispensing providers, group purchasing organizations, and government entities at prices lower than the list prices charged to distributors. The distributors charge the Company for the difference between what they pay for the products and the Company’s contracted selling price to these specialty pharmacy providers, in-office dispensing providers, group purchasing organizations, and government entities. These reserves are established in the same period that the related revenues are recognized, resulting in a reduction of revenues. Chargeback amounts are generally determined at the time of resale of products by the distributors.
The following table summarizes revenues from each of our customers who individually accounted for 10% or more of the Company’s total revenues (as a percentage to total revenue).
| As of December 31, | ||||||||
| 2018 | 2017 | |||||||
| AmerisourceBergen Specialty Group | 77 | % | - | |||||
| McKesson Plasma and Biologics LLC | 13 | % | - | |||||
| Johnson Chemical Pharm Works Co. Ltd | - | 29.0 | % | |||||
Advertising cost-Advertising costs are expensed as incurred. Advertising costs for the years ended December 31, 2018 and 2017 were $ 97,514 and $ 59,045, respectively.
Property and equipment-Equipment, Furniture and fixtures are recorded at historical cost and amortized on a straight-line basis over their estimated useful lives of 5 to 7 years. Leasehold improvements are recorded at historical cost and amortized on a straight-line basis over the shorter of their estimated useful lives or the lease terms. Maintenance and repairs are expensed as incurred, while major additions and improvements are capitalized. Gains and losses on disposition are included in other income (expenses), if any.
Intangibles-The Company’s intangible assets include website development costs. These intangible assets are amortized over a period of 5 years, the estimated economic life of intangible assets. The intangible assets are assessed by management for potential impairment on an annual basis. No impairment existed as of December 31, 2018 and 2017.
Impairment of long-lived assets-The Company evaluates the carrying value of its long-lived assets for impairment whenever events or changes in circumstances indicate that such carrying values may not be recoverable. The Company uses its best judgment based on the current facts and circumstances relating to its business when determining whether any significant impairment factors exist.
If the Company determines that the carrying values of long-lived assets may not be recoverable based upon the existence of one or more indicators of impairment, the Company performs an undiscounted cash flow analysis to determine if impairment exists. If impairment exists, the Company measures the impairment based on the difference between the asset’s carrying amount and its fair value, and the impairment is charged to the consolidated statement of comprehensive loss in the period in which the long-lived asset impairment is determined to have occurred. No impairment existed as of December 31, 2018 and 2017.
Research and development-Research and development consists of expenditures for the research and development of new products and technologies, which primarily involve contract research, payroll-related expenses, and other related supplies. Research and development costs are expensed as incurred. Intangible assets acquired for research and development purposes are capitalized if they have alternative future use.
F-63
Share-based compensation-The Company recognizes compensation cost for share-based compensation awards over the service term of the recipients of the share-based awards. The fair value of share-based compensation is calculated using the Black-Scholes-Merton pricing model. The Black-Scholes-Merton model requires subjective assumptions regarding future stock price volatility and expected time to exercise, which greatly affect the calculated values. The expected term of awards granted is calculated using the simplified method allowed under the Securities and Exchange Commission (“SEC”) Staff Accounting Bulletin Nos. 107 and 110. The risk-free rate selected to value any particular grant is based on the U.S. Treasury rate on the grant date that corresponds to the expected term of the award. The expected volatility is based on the historical volatility of the common stock of comparable publicly traded companies. These factors could change, affecting the determination of stock-based compensation expense in future periods.
Income taxes-The Company accounts for income taxes under the asset and liability method, wherein deferred tax assets and liabilities are recognized for the future tax consequences attributable to the differences between the financial statement carrying amounts of existing assets and liabilities and their respective tax bases. Deferred tax assets and liabilities are measured using enacted tax rates expected to apply to taxable income in the years in which those temporary differences are expected to be recovered or settled. The effect on deferred tax assets and liabilities of a change in tax rates is recognized in income in the period the enactment occurs. A valuation allowance is provided for certain deferred tax assets if it is more likely than not that the Company will not realize tax assets through the generation of future taxable income for the related jurisdictions.
For balance sheet presentation, current deferred tax assets and liabilities within each tax jurisdiction have been offset and presented as a single amount and non-current deferred tax assets and liabilities within each tax jurisdiction have been offset and presented as a single amount.
When tax returns are filed, it is highly probable that some positions taken would be sustained upon examination by the taxing authorities, while others are subject to uncertainty about the merits of the position taken or the amount of the position that would be ultimately sustained. The benefit of a tax position is recognized in the financial statements in the period during which, based on all available evidence, management believes it is more likely than not that the position will be sustained upon examination, including the resolution of appeals or litigation processes, if any. Tax positions taken are not offset or aggregated with other positions. Tax positions that meet the more- likely-than-not recognition threshold are measured as the largest amount of tax benefit that is more than 50 percent likely of being realized upon settlement with the applicable taxing authority. The portion of the benefits associated with tax positions taken that exceeds the amount measured as described above is reflected as a liability for unrecognized tax benefits along with any associated interest and penalties that would be payable to the taxing authorities upon examination. As of December 31, 2017 and 2018, the Company had no unrecognized tax benefits, and the Company had no positions which, in the opinion of management, would be reversed if challenged by a taxing authority. In the event the Company is assessed interest and/or penalties, such amounts will be classified as income tax expense in the financial statements.
Comprehensive income (loss)-Comprehensive income (loss) includes net loss and other comprehensive income (loss). The items of other comprehensive income (loss) for the Company are unrealized gains and losses on marketable securities and foreign translation adjustments relating to its subsidiaries. When the Company realizes a gain or loss on marketable securities for which an unrealized gain or loss was previously recognized, a corresponding reclassification adjustment is made to remove the unrealized gain or loss from accumulated other comprehensive income and reflect the realized gain or loss in current operations upon adoption of 2016-01.
Marketable securities- The Company’s marketable securities consist of the following securities; (a) 39,250 shares of capital stock of CellSeed, Inc. (“CellSeed”) those that remain of 147,100 shares acquired in January 2009 for ¥100,028,000 Japanese Yen (JPY) (equivalent to $1.1 million USD), at ¥680 JPY per share; (b) 849,744 shares of capital stock of KPM Tech Co., Ltd. (“KPM”) which were acquired in October 2016 for ₩14,318,186,400 South Korean Won (KRW) (equivalent to $13.0 million USD) at ₩16,850 KRW per share; (c) 271,950 shares of capital stock of Hanil Vacuum Co., Ltd. (“Hanil”) which were acquired in October 2016 for ₩1,101,397,500 KRW (equivalent to $1.0 million USD) at ₩4,050 KRW per share; and (d) 6,643,559 shares of capital stock of Telcon, Inc. (“Telcon”) which were acquired in July 2017 for ₩36,001,446,221 KRW (equivalent to $31.8 million USD) at ₩5,419 KRW per share.
As of December 31, 2018 and December 31, 2017, the closing price per CellSeed share on the Tokyo Stock Exchange was ¥668 JPY ($6.07 USD) and ¥462 JPY ($4.10 USD), respectively, the closing price per Telcon share on the Korean Securities Dealers Automated Quotations (“KOSDAQ”) was ₩8,280 KRW ($7.43 USD) and ₩14,900 KRW ($13.95 USD), respectively. As of December 31, 2017, the closing price per KPM share on KOSDAQ the was ₩1,625 KRW ($1.52 USD) after 1-for-5 reverse stock split effective June 28, 2017 and the closing price per Hanil share on KOSDAQ was ₩2,830 KRW ($2.65 USD). The Company sold all of its KPM and Hanil shares during the year ended December 31, 2018.
As of December 31, 2018, 39,250 shares of CellSeed stock are pledged to secure a $300,000 convertible note issued to Mitsubishi UFJ Capital III Limited Partnership that is due on demand and are classified as current assets, as marketable securities, pledged to creditor.
F-64
Loss on debt settlement-The Company records loss on debt settlement when the Company’s common stocks are issued in settlement for non-convertible debt and its accrued interest. During the years ended December 31, 2018 and 2017, the Company recorded a loss on debt settlement of $3,244,769 and $0, respectively.
Foreign Currency Translation-The Company’s reporting currency is the U.S. dollar. The Yen, Korean Won, and the Euro are the functional currencies of its subsidiaries, EM Japan, ELSK and EM Europe, respectively, as they are the primary currencies within the economic environments in which EM Japan, ELSK and EM Europe operate. Assets and liabilities of their operations are translated into U.S. dollars at period-end exchange rates, and revenues and expenses are translated into U.S. dollars at average exchange rates in effect during each reporting period. Adjustments resulting from the translation are reported in other comprehensive income or loss.
Financial Instruments-Financial instruments included in the financial statements are comprised of cash and cash equivalents, restricted cash, investment in marketable securities, marketable securities pledged to creditor, long-term investment at cost, accounts receivable, note receivable, warrant derivative liabilities, accounts payable, certain accrued liabilities, convertible notes payable, notes payable and other contingent liabilities. The carrying amounts of cash and cash equivalents, accounts receivable, accounts payable and accrued liabilities approximate their fair values due to the short-term nature of those instruments.
Other long-term liabilities-Other long-term liabilities consist of the following at December 31, 2018 and 2017:
| As of December 31, | ||||||||
| 2018 | 2017 | |||||||
| Trade discount | $ | 26,221,500 | $ | 31,841,500 | ||||
| Unearned revenue | 10,000,000 | 5,000,000 | ||||||
| Other long-term liabilities | - | 10,790 | ||||||
| Total other long-term liabilities | $ | 36,221,500 | $ | 36,852,290 | ||||
The Company entered into an API Supply Agreement (the “API Agreement”) with Telcon pursuant to which Telcon advanced to the Company approximately ₩36.0 billion KRW (approximately $31.8 million USD) in consideration as an advance trade discount to supply 25% of the Company’s requirements for bulk containers of pharmaceutical grade L-glutamine (“PGLG”) for a term of five years with 10 one-year renewal periods for a maximum of 15 years. The agreement will automatically renew unless terminated by either party in writing. The agreement does not include yearly purchase commitments or margin guarantees. The advance trade discount shall be applied against purchases made by the Company from Telcon over the life of the agreement.
Fair value measurements-The Company defines fair value as the price that would be received to sell an asset or paid to transfer a liability in an orderly transaction between market participants at the measurement date. The Company measures fair value under a framework that provides a fair value hierarchy that prioritizes the inputs to valuation techniques used to measure fair value. The hierarchy gives the highest priority to unadjusted quoted prices in active markets for identical assets or liabilities (Level 1 measurements) and the lowest priority to unobservable inputs (Level 3 measurements). The three levels of the fair value hierarchy are described as follows:
Level 1: Inputs to the valuation methodology are unadjusted quoted prices for identical assets or liabilities in active markets that the Company has the ability to access.
Level 2: Inputs to the valuation methodology include:
| ● | Quoted prices for similar assets or liabilities in active markets; | |
| ● | Quoted prices for identical or similar assets or liabilities in inactive markets; | |
| ● | Inputs other than quoted prices that are observable for the asset or liability; | |
| ● | Inputs that are derived principally from or corroborated by observable market data by correlation or other means. |
If the asset or liability has a specified (contractual) term, the Level 2 inputs must be observable for substantially the full term of the asset or liability.
Level 3: Inputs to the valuation methodology are unobservable and significant to the fair value measurement.
The asset’s or liability’s fair value measurement level within the fair value hierarchy is based on the lowest level of any input that is significant to the fair value measurement. Valuation techniques used need to maximize the use of observable inputs and minimize the use of unobservable inputs. The fair value assigned to marketable securities is determined by obtaining quoted prices on nationally recognized securities exchanges, and are classified as Level 1 investments at December 31, 2018 and 2017. The fair value of the Company’s debt instruments is not materially different from their carrying values as presented. The fair value of the Company’s convertible debt instruments was determined based on Level 2 inputs. The carrying value of the debt was discounted based on allocating proceeds to other financial instruments within the arrangement as discussed in Note 6.
Certain of our outstanding warrants contain nonstandard anti-dilution protections or a cashless exercise feature and, consequently, are accounted for as liabilities that are remeasured at fair value on a recurring basis, whose fair value is determined using Level 3 inputs. The Level 3 inputs in the valuation of warrants include expected term and expected volatility. These warrants are classified as warrant derivative liabilities in the consolidated balance sheet and continue to be remeasured at fair value each reporting period.
The Level 3 inputs in the valuation of warrants include expected term and expected volatility.
F-65
The following tables present the activity for those items measured at fair value on a recurring basis using Level 3 inputs during 2018 and 2017:
| Year ended December 31, | ||||||||
| Warrant Derivative Liabilities-Stock Purchase Warrants | 2018 | 2017 | ||||||
| Balance, beginning of period | $ | 26,377,000 | $ | 10,600,000 | ||||
| Repurchased | (6,186,000 | ) | - | |||||
| Change in fair value included in the statement of comprehensive income (loss) | (20,191,000 | ) | 15,777,000 | |||||
| Balance, end of period | $ | - | $ | 26,377,000 | ||||
As of September 11, 2018, all of the Private Placement warrants, replacement warrants and Broker Warrants had been exercised primarily on a cashless basis, or had expired.
The following table presents warrants issued in conjunction with Purchase Agreement with GPB (see Note 7) measured at fair value as of December 31, 2018 and 2017:
Year ended December 31, 2018 | Year ended December 31, 2017 | |||||||||||||||
| Liability Instrument-GPB | Warrants | Embedded Conversion Option | Warrants | Embedded Conversion Option | ||||||||||||
| Balance, beginning of period | $ | 1,882,000 | $ | 1,289,000 | $ | - | $ | - | ||||||||
| Fair value at issuance date | - | - | 1,882,000 | 1,289,000 | ||||||||||||
| Change in fair value included in the statement of comprehensive income (loss) | (483,000 | ) | (466,000 | ) | - | - | ||||||||||
| Extinguished upon debt repayment | - | (823,000 | ) | - | - | |||||||||||
| Balance, end of period | $ | 1,399,000 | $ | - | $ | 1,882,000 | $ | 1,289,000 | ||||||||
The Company evaluated the warrant and embedded conversion option as well as the embedded put options in the debt agreement and warrant under ASC 815-40 and ASC 815-15-25-1, respectively, and concluded that the warrant and embedded conversion and contingently exercisable put options are required to be separately recognized at fair value as a liability and derivative liability, respectively as of December 31, 2018 and 2017. Moreover, any changes in the fair value of the warrant liability and the derivative bifurcated option liability shall be recognized in earnings. During 2018, the Company has paid all GPB debt early, resulting the Company to release embedded conversion option liabilities.
The value of warrant derivative liabilities and the change in fair value of the warrant derivative are determined using a Binominal Monte-Carlo Cliquet (aka “Ratchet”) Option Pricing Model. The model is similar to traditional Black-Scholes-type option pricing models, except that the exercise price resets at certain dates in the future.
The value as of the dates set for the in the table below, was based on upon following assumptions:
| GPB | Stock Purchase Warrants | |||||||||||
| December 31, 2018 | December 31, 2017 | December 31, 2017 | ||||||||||
| Stock price | $ | 9.10 | $ | 11.40 | $ | 11.40 | ||||||
| Risk-free interest rate | 2.48 | % | 2.20 | % | 1.62 | % | ||||||
| Expected volatility (peer group) | 70.00 | % | 70.00 | % | 55.80 | % | ||||||
| Expected life (in years) | 4.00 | 5.00 | 0.70 | |||||||||
| Expected dividend yield | - | - | - | |||||||||
| Number outstanding | 240,764 | 240,764 | 3,320,501 | |||||||||
| Balance, end of period: | ||||||||||||
| Warrant derivative liabilities (long-term) | $ | 1,399,000 | $ | 1,882,000 | $ | 26,377,000 | ||||||
F-66
Debt and Related Party Debt-The Company accounts for the proceeds from the issuance of convertible notes payable with detachable stock purchase warrants and embedded conversion features in accordance with ASC 470- 20, Debt with Conversion and Other Options. Under ASC 470-20, the proceeds from the issuance of a debt instrument with detachable stock purchase warrants shall be allocated to the two elements based on the relative fair values of the debt instrument without the warrants and of the warrants themselves at the time of issuance. The portion of the proceeds allocated to the warrants is accounted for as additional paid-in capital and the remaining proceeds are allocated to the debt instrument, which results in a discount to debt that is amortized and charged as interest expense over the term of the note agreement. Additionally, pursuant to ASC 470-20, the intrinsic value of the embedded conversion feature of the convertible notes payable is included in the discount to debt and amortized and charged to interest expense over the term of the note agreement. The following table presents the effective interest rates on the original loan principal amount for loans originated in the respective periods that either had a beneficial conversion interest or an attached warrant:
| Type of Loan | Term of Loan | Stated Annual Interest | Original Loan Principal Amount | Conversion Rate | Beneficial Conversion Discount Amount | Warrants Issued with Notes | Exercise Price | Warrant FMV Discount Amount | Effective Interest Rate Including Discounts | |||||||||||||||||||
| 2016 convertible notes payable | Due on demand | 10% | 61,535 | $4.50 | 6,837 | - | $ | - | - | 21.10% | ||||||||||||||||||
| 2017 convertible notes payable | Due on demand - 2 years | 10% | 7,819,835 | $3.50 - $10.00 | 3,346,449 | - | $ | - | - | 25% - 110% | ||||||||||||||||||
| 2018 convertible notes payable | Due on demand - 2 years | 6% - 10% | 28,955,566 | $3.50 - $10.00 | 12,476,566 | - | $ | - | - | 10% - 110% | ||||||||||||||||||
| $ | 36,836,936 | $ | 15,829,852 | $ | - | $ | - | |||||||||||||||||||||
Related party notes are disclosed as separate line items in the Company’s balance sheet presentation.
Net loss per share-In accordance with ASC 260, “Earnings per Share,” the basic loss per common share is computed by dividing net loss available to common stockholders by the weighted average number of common shares outstanding. Dilutive loss per share is computed in a manner similar to the basic loss per common share except that the denominator is increased to include the number of additional common shares that would have been outstanding if the potential common shares had been issued and if the additional common shares were dilutive. As of December 31, 2018 and 2017, there were 16,578,239 and 18,228,246 shares of potentially dilutive securities outstanding, respectively. As the Company reported a net loss, none of the potentially dilutive securities were included in the calculation of diluted loss per share since their effect would be anti-dilutive for all periods presented.
Segment Reporting-The Company operates one reportable segment and one additional segment which is immaterial to its financial statements. Accordingly, no segment disclosures have been presented.
F-67
Recent accounting pronouncements- In January 2016, the FASB issued ASU No. 2016-01, Recognition and Measurement of Financial Assets and Financial Liabilities (“ASU 2016-01”). The amendments applicable to the Company in this Update (1) supersede the guidance to classify equity securities, except equity method securities, with readily determinable fair values into trading or available-for-sale categories and require equity securities to be measured at fair value with changes in the fair value recognized through net income, (2) allow equity investments that do not have readily determinable fair values to be remeasured at fair value either upon the occurrence of an observable price change or upon identification of an impairment, (3) require assessment for impairment of equity investments without readily determinable fair values qualitatively at each reporting period, (4) eliminate the requirement to disclose the methods and significant assumptions used in calculating the fair value of financial instruments required to be disclosed for financial instruments measured at amortized cost on the balance sheet, (5) require public business entities to use the exit price notion when measuring the fair value of financial instruments for disclosure purposes, (6) require separate presentation of financial assets and financial liabilities by measurement category and form of financial asset (that is, securities or loans and receivables) on the balance sheet or the accompanying notes to the financial statements, (7) clarify that an entity should evaluate the need for a valuation allowance on a deferred tax asset related to marketable securities in combination with the entity’s other deferred tax assets. This Update was effective beginning January 1, 2018 and the Company is now recognizing any changes in the fair value of certain equity investments in net income as prescribed by the new standard rather than in other comprehensive income. The Company recognized a cumulative effect adjustment to increase the opening balance of retained earnings as of January 1, 2018 by $41.4 million, net of 12.3 million income tax benefit. Refer to Note 4 for additional disclosures required by this ASU.
In February 2016, the FASB issued ASU No. 2016-02, Leases. The amendments in this Update require a lessee to recognize in the statement of financial position a liability to make lease payments (the lease liability) and a right-of-use asset representing its right to use the underlying asset for the lease term for all leases with terms greater than twelve months. For leases less than twelve months, an entity is permitted to make an accounting policy election by class of underlying asset not to recognize lease assets and lease liabilities. If a lessee makes this election, it should recognize lease expense for such leases generally on a straight-line basis over the lease term. The amendments in this Update are effective for the Company for fiscal years beginning after December 15, 2018, including interim periods within those years, with early adoption permitted. The Company is currently in the process of evaluating the impact of adoption of the amendments in this Update on the Company’s consolidated financial position and results of operations; however, adoption of the amendments in this Update are expected to be material for most entities who have a material lease with a term of greater than twelve months.
In April 2016, the FASB issued ASU 2016-10, Revenue from Contracts with Customers (Topic 606): Identifying Performance Obligations and Licensing (“ASU 2016-10”). The amendments in ASU 2016-10 clarify identification of performance obligations and licensing implementation. The amendments do not change the core principle of the guidance in Topic 606. The effective date and transition requirements for the amendments are the same as the effective date and transition requirements in Topic 606: For public companies, this Update is effective for annual periods, including interim periods within those annual periods, beginning after December 15, 2017. The adoption of ASC 606 did not have a material impact on its consolidated financial statements; however, adoption did result in significant changes to the Company’s financial statements disclosures.
In January 2017, the FASB issued ASU No. 2017-01, Business Combinations (Topic 805): Clarifying the Definition of a Business (“ASU 2017-01”). ASU 2017-01 clarifies the definition of a business with the objective of adding guidance to assist companies and other reporting organizations with evaluating whether transactions should be accounted for as acquisitions (or disposals) of assets or businesses. For public companies, the ASU is effective for annual periods beginning after December 15, 2017, including interim periods within those annual periods. Early adoption is permitted. The adoption of ASU 2017-01 does not have a material impact on Company’s consolidated financial statements.
In May 2017, the FASB issued ASU No. 2017-09, Compensation - Stock Compensation (Topic 718): Scope of Modification Accounting (“ASU 2017-09”). ASU 2017-09 provides clarity and reduce both (1) diversity in practice and (2) cost and complexity when applying the guidance in Topic 718, Compensation - Stock Compensation, to a change to the terms or conditions of a share-based payment award. The amendments in this Update are effective for all entities for annual periods, and interim periods within those annual periods, beginning after December 15, 2017, with early adoption permitted. The adoption of this ASU does not have material impact on its consolidated financial statements.
F-68
In July 2017, the FASB issued ASU No. 2017-11, Earnings Per Share (Topic 260) Distinguishing Liabilities from Equity (Topic 480) Derivatives and Hedging (Topic 815): I. Accounting for Certain Financial Instruments with Down Round Features, II. Replacement of the Indefinite Deferral for Mandatorily Redeemable Financial Instruments of Certain Nonpublic Entities and Certain Mandatorily Redeemable Non-controlling Interests with a Scope Exception. The amendments in this guidance intended to reduce the complexity associated with the issuer’s accounting for certain financial instruments with characteristics of liabilities and equity. Specifically, the Board determined that a down round feature (as defined) would no longer cause a freestanding equity-linked financial instrument (or an embedded conversion option) to be accounted for as a derivative liability at fair value with changes in fair value recognized in current earnings. In addition, the Board re-characterized the indefinite deferral of certain provisions of Topic 480 to a scope exception. The re-characterization has no accounting effect. Down round features will no longer cause freestanding equity-linked financial instruments and embedded conversion options to be considered “not indexed to an entity’s own stock.” ASU 2017-11 is effective for public business entities for fiscal year beginning after December 15, 2018. All others have an additional year. Early adoption is permitted for all entities, including in an interim period. Entities may use the retrospective or modified retrospective transition method. The Company has early adopted this ASU and it does not have a material impact on previously recorded balances on its consolidated financial statements.
In February 2018, the FASB issued ASU No. 2018-02, Income Statement - Reporting Comprehensive Income (Topic 220): Reclassification of Certain Tax Effects from Accumulated Other Comprehensive Income (“ASU 2018-02”). ASU 2018-02 allows a reclassification from accumulated other comprehensive income to retained earnings for stranded tax effects resulting from the Tax Cuts and Jobs Act. Consequently, the amendments eliminate the stranded tax effects resulting from the Tax Cuts and Jobs Act and will improve the usefulness of information reported to financial statement users. However, because the amendments only relate to the reclassification of the income tax effects of the Tax Cuts and Jobs Act, the underlying guidance that requires that the effect of a change in tax laws or rates be included in income from continuing operations is not affected. The ASU also requires certain disclosures about stranded tax effects. ASU 2018-02 is effective for all entities for fiscal years beginning after December 15, 2018, and interim periods within those fiscal years, with early adoption permitted. ASU 2018-02 should be applied either in the period of adoption or retrospectively to each period (or periods) in which the effect of the change in the U.S. federal corporate income tax rate in the Tax Cuts and Jobs Act is recognized. The Company is currently assessing the impact the adoption of ASU 2018-02 will have on its consolidated financial statements.
In February 2018, the FASB issued ASU No. 2018-03, Technical Corrections and Improvements to Financial Instruments-Overall (Subtopic 825-10): Recognition and Measurement of Financial Assets and Financial Liabilities (“ASU 2018-03”). The amendments in this Update (1) clarify that an entity measuring an equity security using the measurement alternative may change its measurement approach to a fair value method in accordance with Topic 820, Fair Value Measurement, through an irrevocable election that would apply to that security and all identical or similar investments of the same issuer, (2) clarify that the adjustments made under the measurement alternative are intended to reflect the fair value of the security as of the date that the observable transaction for a similar security took place, (3) clarify that remeasuring the entire value of forward contracts and purchased options is required when observable transactions occur on the underlying equity securities, (4) clarify that when the fair value option is elected for a financial liability, the guidance in paragraph 825-10- 45-5 should be applied, regardless of whether the fair value option was elected under either Subtopic 815-15, Derivatives and Hedging- Embedded Derivatives, or 825- 10, Financial Instruments- Overall, (5) clarify that for financial liabilities for which the fair value option is elected, the amount of change in fair value that relates to the instrument specific credit risk should first be measured in the currency of denomination when presented separately from the total change in fair value of the financial liability, and then both components of the change in the fair value of the liability should be remeasured into the functional currency of the reporting entity using end-of-period spot rates, (6) clarify that the prospective transition approach for equity securities without a readily determinable fair value in the amendments in ASU 2016-01 is meant only for instances in which the measurement alternative is applied. For public business entities, ASU 2018-03 is effective for fiscal years beginning after December 15, 2017, and interim periods within those fiscal years beginning after June 15, 2018. Public business entities with fiscal years beginning between December 15, 2017, and June 15, 2018, are not required to adopt these amendments until the interim period beginning after June 15, 2018, and public business entities with fiscal years beginning between June 15, 2018, and December 15, 2018, are not required to adopt these amendments before adopting the amendments in ASU 2016-01. The impact of the adoption of the amendments in this Update depends on the amount of equity securities and financial instruments subject to the amendments in this Update held by the Company at the time of adoption. The adoption of this ASU did not have a material impact on Company’s consolidated financial statements.
In June 2018, the FASB issued ASU No. 2018-07, Compensation - Stock Compensation (Topic 718): Improvements to Nonemployee Share-Based Payment Accounting (“ASU 2018-07”), which supersedes ASC 505-05 and expands the scope of ASC 718 to include all share-based payment arrangements related to the acquisition of goods and services from both nonemployees and employee. As a result, most of the guidance in ASC 718 associated with employee share-based payments, including most of its requirements related to classification and measurement, applies to nonemployee share-based payment arrangements. ASC 2018-07 is effective for all entities for fiscal year beginning after December 15, 2018, and interim periods within this fiscal year, with early adoption permitting but no earlier than the date on which an entity adopts ASC 606. The adoption of this ASU did not have a material impact on Company’s consolidated financial statements.
F-69
In August 2018, the FASB issued ASU No. 2018-13, Fair Value Measurement (Topic 820): Disclosure Framework - Changes to the Disclosure Requirements for Fair Value Measurement (“ASU 2018-13”), which changes the fair value measurement disclosure requirements of ASC 820. The amendments in this Update removes some disclosures, modifies others, and add some new disclosure requirements. The amendments in this ASU are effective for all entities for fiscal years, and interim period within those fiscal years, beginning after December 15, 2019 with early adoption permitted. The Company is currently assessing the impact the adoption of ASU 2018-13 will have on its consolidated financial statements and accompanying footnote disclosures.
In August 2018, the FASB issued ASU 2018-15, Intangibles - Goodwill and Other - Internal-Use Software (Subtopic 350-40) Customer’s Accounting for Implementation Costs Incurred in a Cloud Computing Arrangement That is a Service Contract (“ASU 2018-15”), which provide guidance on implementation costs incurred in a cloud computing arrangement (CCA) that is a service contract. The ASU aligns the accounting for such costs with the guidance on capitalizing costs associated with developing or obtaining internal-use software. Specifically, the ASU amends ASC 350 to include in its scope implementation costs of a CCA that is a service contract and clarifies that a customer should apply ASC 350-40 to determine which implementation costs should be capitalized in such CCA. The amendments in this ASU are effective for all entities for fiscal years beginning after December 15, 2019, and interim period within those fiscal years with early adoption permitted. The Company is currently assessing the impact the adoption of ASU 2018-15 will have on its consolidated financial statements.
In October 2018, the FASB issued ASU 2018-17, Consolidation (Topic 810) Targeted Improvements to Related Party guidance for Variable Interest Entities, which amends two aspects of the related-party guidance in ASC 810. Specifically, the ASU (1) add an elective private-company scope exception to the variable interest entity guidance for entities under common control and (2) removes a sentence in ASC 810-10-55-37D regarding the evaluation of fee paid to decision makers to conform with the amendments in ASU 2016-17, Interest Held Through Related Parties That Are Under Common Control. The amendments in this ASU are effective for fiscal years beginning after December 15, 2019, and interim periods within those fiscal years. The Company is not expecting a material impact on its consolidated financial statements.
NOTE 3-PROPERTY AND EQUIPMENT
Property and equipment consisted of the following
| As of December 31, | ||||||||
| 2018 | 2017 | |||||||
| Equipment | $ | 305,250 | $ | 225,615 | ||||
| Leasehold improvements | 70,249 | 61,054 | ||||||
| Furniture and fixtures | 79,001 | 74,090 | ||||||
| Total property and equipment | 454,500 | 360,759 | ||||||
| Less: accumulated depreciation | (302,814 | ) | (255,457 | ) | ||||
| Property and Equipment, net | $ | 151,686 | $ | 105,302 | ||||
During the years ended December 31, 2018 and 2017, depreciation expense was $47,242 and $32,379, respectively.
NOTE 4-INVESTMENTS
Equity Securities-Effective January 1, 2018, the Company adopted ASU 2016-01 which requires the Company to measure all equity investments that do not result in consolidation and are not accounted for under the equity method at fair value and recognize any changes in earnings. The Company uses quoted market prices to determine the fair value of equity securities with readily determinable fair values. For equity securities without readily determinable fair values, the Company has elected the measurement alternative under which the Company measures these investments at cost minus impairment, if any, plus or minus changes resulting from observable price changes in orderly transactions for the identical or a similar investment of the same issuer. Management assesses each of these investments on an individual basis. Additionally, on a quarterly basis, management is required to make a qualitative assessment of whether the investment is impaired; however, the Company is not required to determine the fair value of these investments unless impairment indicators existed. When impairment indicators exist, the Company generally uses discounted cash flow analyses to determine the fair value. For the year ended December 31, 2018, the Company did not recognize any fair value adjustments for equity securities without readily determinable fair values. The Company recognized a cumulative effect adjustment of $41.4 million, net of $12.3 million income tax benefit, to increase the opening balance of accumulated deficit with an offset to accumulated other comprehensive income as of January 1, 2018, in connection with the adoption of ASU 2016-01.
For fiscal periods beginning prior to January 1, 2018, marketable equity securities not accounted for under the equity method were classified as available-for-sale. There were no marketable equity securities classified as trading. For equity securities classified as available-for-sale, realized gains and losses were included in net loss. Unrealized gains and losses on equity securities classified as available-for-sale were recognized in accumulated other comprehensive income (loss), net of deferred taxes. In addition, the Company had equity securities without readily determinable fair values that were recorded at cost. For these cost method investments, the Company recorded dividend income, if any, when applicable dividends were declared. Cost method investments were reported as investment in marketable securities, marketable securities, pledged to creditor and long-term investment at cost in our consolidated balance sheets. Dividend income from cost method investments was reported in other income (expenses) in our consolidated statements of comprehensive loss. The Company estimated that the fair values of its cost method investments approximated their carrying values as of December 31, 2018 and 2017.
F-70
The fair values of our equity securities were included in the following line items in our consolidated balance sheets:
| As of December 31, 2018 | As of December 31, 2017 | |||||||||||||||
| Fair Value with Changes Recognized in Income | Measurement Alternative - No Readily Determinable Fair Value | Fair Value with Changes Recognized in Income | Measurement Alternative - No Readily Determinable Fair Value | |||||||||||||
| Marketable securities | $ | 49,581,080 | $ | - | $ | 99,997,322 | $ | - | ||||||||
| Long-term investment at cost | - | 538,202 | 65,520 | |||||||||||||
| Total equity securities | $ | 49,581,080 | $ | 538,202 | $ | 99,997,322 | $ | 65,520 | ||||||||
Proceeds from the sales of marketable securities classified as available-for-sales and sold were $6.4 million and none in the year ended December 31, 2018 and 2017, respectively. Net unrealized losses on available-for-sales on marketable securities still held at the year ended December 31, 2018 was $43.2 million.
As of December 31, 2017, equity securities consisted of the following:
| Gross Unrealized | Estimated | |||||||||||||||
| Cost | Gains | Losses | Fair Value | |||||||||||||
| Trading securities | $ | - | $ | - | $ | - | $ | - | ||||||||
| Available-for-sale securities | 46,209,017 | 60,812,231 | (6,958,406 | ) | 100,062,842 | |||||||||||
| Total equity securities | $ | 46,209,017 | $ | 60,812,231 | $ | (6,958,406 | ) | $ | 100,062,842 | |||||||
As of December 31, 2017, the Company had investments classified as available-for-sale in which our cost basis exceeded the fair value of our investment. Management assessed each of the investment in marketable securities that were in a gross unrealized loss position to determine if the decline in fair value was other than temporary. Management’s assessment as to the nature of a decline in fair value is based on, among other things, the length of time and the extent to which the market value has been less than our cost basis; the financial condition and near-term prospects of the issuer, and the Company’s intent to retain the investment for a period of time sufficient to allow for any anticipated recovery in market value. As a result of these assessments, management determined that the decline in fair value of these investments and did not record any impairment charges.
F-71
NOTE 5-ACCOUNTS PAYABLE AND ACCRUED EXPENSES
Accounts payable and accrued expenses consisted of the following at:
| December 31, 2018 | December 31, 2017 | |||||||
| Accounts payable: | ||||||||
| Regulatory fees | $ | - | $ | 715,999 | ||||
| Clinical and regulatory expenses | 83,025 | 116,736 | ||||||
| Commercialization consulting fees | 3,938 | 40,000 | ||||||
| Legal expenses | 43,858 | 87,701 | ||||||
| Consulting fees | 2,036,380 | 143,038 | ||||||
| Accounting fees | 73,290 | 67,293 | ||||||
| Selling expenses | 381,572 | 35,383 | ||||||
| Investor relations and public relations expenses | 44,484 | 55,526 | ||||||
| Other vendors | 937,190 | 337,960 | ||||||
| Total amounts payable | 3,603,737 | 1,599,636 | ||||||
| Accrued interest payable, related parties | 842,389 | 318,120 | ||||||
| Accrued interest payable | 2,138,133 | 1,449,154 | ||||||
| Accrued expenses: | ||||||||
| Wages and payroll taxes payable | 156,612 | 1,711,541 | ||||||
| Deferred salary | 291,667 | 291,667 | ||||||
| Paid vacation payable | 263,975 | 186,978 | ||||||
| Accrued rebates | 1,743,847 | - | ||||||
| Other accrued expenses | 83,115 | 138,214 | ||||||
| Total accrued expenses | 2,539,216 | 2,328,400 | ||||||
| Total accounts payable and accrued expenses | $ | 9,123,475 | $ | 5,695,310 | ||||
F-72
NOTE 6-NOTES PAYABLE
Notes payable consisted of the following at December 31, 2018 and 2017:
Year Issued | Interest Rate Range | Term of Notes | Conversion Price | Principal Outstanding December 31, 2018 | Discount Amount December 31, 2018 | Carrying Amount December 31, 2018 | Shares Underlying Notes December 31, 2018 | Principal Outstanding December 31, 2017 | Discount Amount December 31, 2017 | Carrying Amount December 31, 2017 | Shares Underlying Notes December 31, 2017 | |||||||||||||||||||||||||||||
| Notes payable | ||||||||||||||||||||||||||||||||||||||||
| 2013 | 10% | Due on demand | - | $ | 908,900 | $ | - | $ | 908,900 | - | $ | 887,600 | $ | - | $ | 887,600 | - | |||||||||||||||||||||||
| 2015 | 10% | Due on demand | - | $ | 10,000 | - | 10,000 | - | - | - | - | - | ||||||||||||||||||||||||||||
| 2016 | 10% - 11% | Due on demand | - | 843,335 | - | 843,335 | - | 833,335 | - | 833,335 | - | |||||||||||||||||||||||||||||
| 2017 | 5% - 11% | Due on demand | - | 2,575,410 | - | 2,575,410 | - | 6,150,208 | - | 6,150,208 | - | |||||||||||||||||||||||||||||
| 2018 | 10% - 11% | Due on demand- 18 months | - | 12,311,000 | 9,233,089 | 3,077,911 | - | - | - | - | - | |||||||||||||||||||||||||||||
| $ | 16,648,645 | $ | 9,233,089 | $ | 7,415,556 | - | $ | 7,871,143 | $ | - | $ | 7,871,143 | - | |||||||||||||||||||||||||||
| Current | $ | 12,448,645 | $ | 6,054,484 | 6,394,161 | - | $ | 7,871,143 | $ | - | $ | 7,871,143 | - | |||||||||||||||||||||||||||
| Non-current | $ | 4,200,000 | $ | 3,178,605 | 1,021,395 | - | $ | - | $ | - | $ | - | - | |||||||||||||||||||||||||||
| Notes payable - related party | ||||||||||||||||||||||||||||||||||||||||
| 2015 | 11% | Due on demand | - | $ | - | - | $ | - | - | $ | 310,000 | - | $ | 310,000 | - | |||||||||||||||||||||||||
| 2016 | 10% - 11% | Due on demand | - | 270,000 | - | 270,000 | - | 810,510 | - | 810,510 | - | |||||||||||||||||||||||||||||
| 2017 | 10% | Due on demand | - | 38,583 | - | 38,583 | - | 915,751 | - | 915,751 | - | |||||||||||||||||||||||||||||
| 2018 | 11% | Due on demand | 159,223 | - | 159,223 | - | - | - | - | - | ||||||||||||||||||||||||||||||
| $ | 467,806 | $ | - | $ | 467,806 | - | $ | 2,036,261 | $ | - | $ | 2,036,261 | - | |||||||||||||||||||||||||||
| Current | $ | 467,806 | $ | - | $ | 467,806 | - | $ | 2,036,261 | $ | - | $ | 2,036,261 | - | ||||||||||||||||||||||||||
| Non-current | $ | - | $ | - | $ | - | - | $ | - | $ | - | $ | - | - | ||||||||||||||||||||||||||
| Convertible notes payable | ||||||||||||||||||||||||||||||||||||||||
| 2011 | 10% | 5 years | $ | 3.05 | $ | 300,000 | $ | - | $ | 300,000 | 98,285 | $ | 300,000 | $ | - | $ | 300,000 | 98,285 | ||||||||||||||||||||||
| 2014 | 10% | Due on demand - 2 years | $3.05 - $3.60 | 518,846 | - | 518,846 | 183,648 | 486,878 | - | 486,878 | 168,766 | |||||||||||||||||||||||||||||
| 2016 | 10% | Due on demand - 2 years | $3.60 - $4.50 | 61,535 | - | 61,535 | 16,753 | 1,516,329 | 83,298 | 1,433,031 | 441,048 | |||||||||||||||||||||||||||||
| 2017 | 10% - 13.5% | Due on demand - 3 years | $3.50 - $10.31 | 2,819,835 | 348,944 | 2,470,891 | 899,613 | 36,113,296 | 11,232,423 | 24,880,873 | 5,357,488 | |||||||||||||||||||||||||||||
| 2018 | 6% - 10% | Due on demand - 2 years | $3.50 - $10.00 | 19,555,566 | 6,168,939 | 13,386,627 | 3,664,143 | - | - | - | - | |||||||||||||||||||||||||||||
| $ | 23,255,782 | $ | 6,517,883 | $ | 16,737,899 | 4,862,442 | $ | 38,416,503 | $ | 11,315,721 | $ | 27,100,782 | 6,065,587 | |||||||||||||||||||||||||||
| Current | $ | 16,604,029 | $ | 5,350,681 | $ | 11,253,348 | 3,981,232 | $ | 12,860,912 | $ | 5,835,910 | $ | 7,025,002 | 3,449,984 | ||||||||||||||||||||||||||
| Non-current | $ | 6,651,753 | $ | 1,167,202 | $ | 5,484,551 | 881,210 | $ | 25,555,591 | $ | 5,479,811 | $ | 20,075,780 | 2,615,603 | ||||||||||||||||||||||||||
| Convertible notes payable - related party | ||||||||||||||||||||||||||||||||||||||||
| 2012 | 10% | Due on demand | $ | 3.30 | $ | 200,000 | $ | - | $ | 200,000 | 74,182 | $ | 200,000 | $ | - | $ | 200,000 | 68,122 | ||||||||||||||||||||||
| 2015 | 10% | 2 years | $ | 4.50 | 200,000 | - | 200,000 | 58,350 | 200,000 | - | 200,000 | 53,905 | ||||||||||||||||||||||||||||
| 2017 | 10% | 2 years | $ | 10.00 | 5,000,000 | 311,458 | 4,688,542 | 532,671 | - | - | - | - | ||||||||||||||||||||||||||||
| 2018 | 10% | 2 years | $ | 10.00 | 9,400,000 | 871,460 | 8,528,540 | 971,963 | - | - | - | - | ||||||||||||||||||||||||||||
| $ | 14,800,000 | $ | 1,182,918 | 13,617,082 | 1,637,166 | $ | 400,000 | $ | - | $ | 400,000 | 122,027 | ||||||||||||||||||||||||||||
| Current | $ | 5,400,000 | $ | 311,458 | $ | 5,088,542 | 665,203 | $ | 400,000 | $ | - | $ | 400,000 | 122,027 | ||||||||||||||||||||||||||
| Non-current | $ | 9,400,000 | $ | 871,460 | $ | 8,528,540 | 971,963 | $ | - | $ | - | $ | - | - | ||||||||||||||||||||||||||
| Grand Total | $ | 55,172,233 | $ | 16,933,890 | $ | 38,238,343 | 6,499,608 | $ | 48,723,907 | $ | 11,315,721 | 37,408,186 | 6,187,614 | |||||||||||||||||||||||||||
Note: Notes payables and convertible note payables for certain individuals have been reclassified from unrelated party to related party and vice versa from fiscal year ended December 31, 2017 and 2018 as the relationships with these individuals have changed.
F-73
The average stated interest rate of notes payable was 10% and 11% for years ended December 31, 2018 and 2017, respectively. The average effective interest rate of notes payable for the years ended December 31, 2018 and 2017 was 35% and 24% respectively, after giving effect to discounts relating to beneficial conversion features and the fair value of warrants issued in connection with these notes. The notes payable and convertible notes payable do not have restrictive financial covenants or acceleration clauses associated with a material adverse change event. The holders of the convertible notes have the option to convert their notes into the Company’s common stock at the stated conversion price during the term of their convertible notes. Conversion prices on these convertible notes payable range from $3.05 to $10.31 per share. Certain notes with a $4.50 and a $10.00 stated conversion price in the second year of their two-year term are subject to automatic conversion into shares of the Company’s common stock at a conversion price equal to 80% of the initial public offering price at the time of a qualified public offering. All due on demand notes are treated as current liabilities.
Contractual principal payments due on notes payable are as follows:
| Year Ending | December 31, 2018 | |||
| 2019 | $ | 34,920,480 | ||
| 2020 | 20,251,753 | |||
| Total | $ | 55,172,233 | ||
The Company estimated the total fair value of any beneficial conversion feature and accompanying warrants in allocating the debt proceeds. The proceeds allocated to the beneficial conversion feature were determined by taking the estimated fair value of shares issuable under the convertible notes less the fair value of the number of shares that would be issued if the conversion rate equaled the fair value of the Company’s common stock as of the date of issuance (see Note 2).
The fair value of the warrants issued in conjunction with notes was determined using the Binominal Monte-Carlo Cliquet option pricing model with the following inputs for the years ended:
| 2018 | 2017 | |||||||
| Stock price | $ | 11.10 | $ | 11.40 | ||||
| Exercise price | $ | 11.30 | $ | 10.80 | ||||
| Term | 5 years | 5 years | ||||||
| Risk-free interest rate | 3.05 | % | 2.20 | % | ||||
| Expected dividend yield | - | - | ||||||
| Expected volatility | 70.0 | % | 70.00 | % | ||||
In situations where the debt included both a beneficial conversion feature and a warrant, the proceeds were allocated to the warrants and beneficial conversion feature based on the pro-rata fair value.
NOTE 7-STOCKHOLDERS’ DEFICIT
Private Placement-On September 11, 2013, the Company issued an aggregate of 3,020,501 units at a price of $2.50 per unit (the “Private Placement”). Each unit consisted of one share of common stock and one common stock warrant for the purchase of an additional share of common stock. The aggregate purchase price for the units was $7,551,253. In addition, 300,000 warrants for the purchase of a share of common stock were issued to a broker under the same terms as the Private Placement transaction (the “Broker Warrants”).
The warrants issued in the Private Placement and the Broker Warrants entitle the holders thereof to purchase, at any time on or prior to September 11, 2018, shares of common stock of the Company at an exercise price of $3.50 per share. The warrants contain non-standard anti-dilution protection and, consequently, are being accounted for as liabilities, were originally recorded at fair value, and are adjusted to fair market value each reporting period. Because the shares of common stock underlying the Private Placement warrants and Broker Warrants were not effectively registered for resale by September 11, 2014, the warrant holders have an option to exercise the warrants using a cashless exercise feature. The shares have not been registered for resale as of December 31, 2017. The availability to warrant holders of the cashless exercise feature as of September 11, 2014 caused the then-outstanding 2,225,036 Private Placement warrants and Broker Warrants with fair value of $7,068,000 to be reclassified from liability classified warrants to warrant derivative liabilities and to continue to be remeasured at fair value each reporting period
F-74
On June 10, 2014, certain warrant holders exercised 1,095,465 warrants issued in the Private Placement for the exercise price of $3.50 per share, resulting in the Company receiving aggregate exercise proceeds of $3.8 million and issuing 1,095,465 shares of common stock. Prior to exercise, these Private Placement warrants were accounted for at fair value as liability classified warrants. As of June 10, 2014, immediately prior to exercise, the carrying value of these Private Placement warrants was reduced to their fair value immediately prior to exercise of $1.8 million, representing their intrinsic value, with this adjusted carrying value of $1.8 million being transferred to additional paid-in capital. Also on June 10, 2014, based on an offer made to holders of Private Placement warrants in connection with such exercises, the Company issued an aggregate of 1,095,465 replacement warrants to holders exercising Private Placement warrants, which replacement warrants have terms that are generally the same as the exercised warrants, including an expiration date of September 11, 2018 and an exercise price of $3.50 per share. The replacement warrants are treated for accounting purposes as liability classified warrants, and their issuance gave rise to a $3.5 million warrant exercise inducement expense based on their fair value as of issuance as determined using a Binomial Monte-Carlo Cliquet (aka Ratchet) Option Pricing Model. Because the shares of common stock underlying the replacement warrants were not effectively registered for resale by June 10, 2015, the warrant holders have an option to exercise the warrants using a cashless exercise feature. The shares have not been registered for resale as of December 31, 2016. The availability to warrant holders of the cashless exercise feature as of June 10, 2015 caused the then-outstanding 1,095,465 replacement warrants with fair value of $2,545,000 to be reclassified from liability classified warrants to warrant derivative liabilities and to continue to be remeasured at fair value each reporting period.
As of December 31, 2017, the aggregate fair value of the Private Placement warrants, replacement warrants, and the Broker Warrants was $26,377,000 (see Note 2). For further details regarding registration rights associated with the Private Placement warrants, replacement warrants, and Broker Warrants, see the Registration Rights section below in this footnote.
In September 2018, all of the Private Placement warrants, replacement warrants and Broker Warrants had been exercised primarily on a cashless basis, or had expired.
Purchase Agreement with GPB-On December 29, 2017, the Company entered into the Purchase Agreement with GPB, pursuant to which the Company issued to GPB a $13,000,000 principal amount senior secured convertible promissory note (the “Initial Note”) for an aggregate purchase price of $12,480,000. The Initial Note was issued with a 4.0% original issue discount. Capitalized terms not defined herein have the definitions given to them in the Purchase Agreement.
The Initial Note, which matures on December 29, 2020 (the “Maturity Date”), initially provides for monthly payments of interest, which accrues at the rate of 12.5% per annum. In addition, the Initial Note also provides for an annual payment of paid in kind interest at the rate of 1.0% per annum. Beginning on the 30th month after the issuance of the Initial Note, the Company is required to make monthly principal payments in an amount equal to 5% of the original principal amount.
The Initial Note (including accrued and unpaid interest) may be prepaid, in whole or in part, at any time prior to the Maturity Date, upon twenty (20) days’ prior written notice; provided, however, that during such notice period, GPB may exercise its conversion rights described below in whole or in part. Upon a prepayment, in whole or in part, the Company shall pay GPB an additional success fee equal to (a) 2% of any such payment if such payment is paid prior to the 24th-month anniversary of the Original Issue Date or (b) 3% of any such payment if such amount is paid on or after the 24th-month anniversary of the Original Issue Date, inclusive of the Maturity Date.
The Initial Note is convertible at any time, in whole or in part, at GPB’s option, into shares of the Company’s Common Stock (“Company Shares”) at a conversion price of $10.31 per Company Share, with customary adjustments for stock splits, stock dividends and other recapitalization events and anti-dilution provisions set forth in the Initial Note. If the Company effects a public listing of Common Stock for trading on any market, whether through a direct listing application or merger transaction, at price per share of Common Stock which is below the conversion price, the conversion price shall be subject to a one-time adjustment to a 10% premium to such public listing price. The Initial Note (a) provides for customary affirmative and negative covenants, including restrictions on the Company incurring subsequent debt, and (b) contains customary event of default provisions with a default interest rate of the lesser of 17.5% for the cash interest or the maximum rate permitted by law. Upon the occurrence of an event of default, GPB may require the Company to redeem the Initial Note at 120% of the then outstanding principal balance plus any accrued and unpaid interest thereon. Subject to certain limited exceptions, the Initial Note is secured by a lien on all of the assets of the Company and its subsidiaries, including the intellectual property of the Company and its subsidiaries, pursuant to a security agreement entered into among the Company and its subsidiaries and GPB (the “Security Agreement”) and an intellectual property security agreement entered into among the Company and its subsidiaries and GPB (“IP Security Agreement”). Subsidiaries of the Company also entered into a guaranty agreement (the “Guaranty Agreement”) pursuant to which the subsidiaries have guaranteed all obligations of the Company to GPB.
Pursuant to the Purchase Agreement, in connection with the Initial Note, the Company issued to GPB a warrant (the “Initial Warrant”) that allows GPB to purchase Company Shares with a value of approximately 20% of the face amount of the Initial Note at an exercise price of $10.80 per Company Share, with customary adjustments for stock splits, stock dividends and other recapitalization events and anti-dilution provisions set forth in the Initial Warrant. If the Company effects a public listing of Common Stock for trading on any securities market or exchange, whether through a direct listing application or merger transaction, at a price per share less than the exercise price, the exercise price will be adjusted on a one-time basis to a 10% premium to the dilutive issuance price and the number of shares issuable under the Initial Warrant will be increased on a full ratchet basis. The Initial Warrant is exercisable six months after issuance and has a term of five years after the initial exercise date.
F-75
The Purchase Agreement provides for the issuance of up to three additional notes by the Company: (i) the Escrow Note, with a principal amount of $7,000,000 with a purchase price of $6,720,000 (4% original issue discount), (ii) the Second Note, with a principal amount of $5,000,000 with a purchase price of $4,800,000 (4% original issue discount) and the Third Note, with a principal amount of $5,000,000 with a purchase price of $4,800,000 (4% original issue discount) (collectively with the Initial Note, the “Notes”). These additional Notes are issuable upon the satisfaction of certain conditions by the Company related to perfection of GPB’s security interest in foreign subsidiary assets and meeting revenue goals. The interest rate, payment terms, conversion rights, events of default and other terms and conditions of the Escrow Note, Second Note and Third Note will be substantially the same as those of the Initial Note. Pursuant to the Purchase Agreement, upon issuance of each additional Note after the Initial Note, the Company is required to issue additional warrants with terms substantially similar to the terms of the Initial Warrant (collectively with the Initial Warrant, the “Warrants”).
GPB also has a right of participation for any Company offering, financing or debt issuance for 36 months after December 29, 2017. The Company is required to maintain a 6-month interest reserve. In addition, subject to limited exceptions, GPB will not have the right to convert any portion of the Notes or exercise the Warrants if GPB, together with its affiliates, would beneficially own in excess of 4.99% of the number of shares of the Company’s Common Stock outstanding immediately after giving effect to its conversion (the “Beneficial Ownership Limitation”). The Beneficial Ownership Limitation may be adjusted upon not less than 61 days’ prior notice to the Company, provided that such Beneficial Ownership Limitation in no event shall exceed 9.99%.
In connection with the Purchase Agreement, the Company entered into a Registration Rights Agreement (the “Registration Rights Agreement”) pursuant to which the Company has agreed to file a registration statement with SEC relating to the offer and sale by GPB of the Company Shares underlying the Notes and Warrants. The Company is required to file a registration statement within one hundred eighty (180) days of closing of a public listing of the Company’s Common Stock for trading on any national securities exchange (excluding any over-the-counter market), whether through a direct listing application or merger transaction. The Company is required to have the registration statement become effective on the earlier of (A) the date that is two-hundred and forty (240) days following the later to occur of (i) the date of closing of the public listing or (ii) or in the event the registration statement receives a “full review” by the Commission, the date that is 300 days following the date of closing of the public listing, or (B) the date which is within three (3) business days after the date on which the Commission informs the Company (i) that the Commission will not review the registration statement or (ii) that the Company may request the acceleration of the effectiveness of the registration statement. If the Company does not effect such registration within that period of time, it will be required to pay GPB certain late payments specified in the Registration Rights Agreement.
In February 2018, the Company made a full prepayment of the Initial Note. Upon such prepayment, the Purchase Agreement and the Company’s obligations under the Transaction Documents entered into pursuant to the Purchase Agreement were terminated except for a warrant for 240,764 shares of common stock of the Company at an exercise price of $10.80 per share (the “Initial Warrant”) and a Registration Rights Agreement.
In October 2018, the Company sold and issued $12.2 million principal amount of debentures and warrants to purchase an aggregate of up to 1,220,000 share of the Company common stock. The net proceeds of the sale of the debentures and warrants were used to fund the loan to EJ Holdings, Inc.
The debentures bear interest at the rate of 10% per annum, payable monthly commencing November 1, 2018, and will mature on April 21, 2020. The Company will be obliged to redeem $1,000,000 principal amount debentures monthly, commencing in May 2019, and to redeem the debentures in full upon a “subsequent financing” of at least $20 million, subject to certain exceptions, or in the “event of default” (as defined). The Company’s obligations under the debentures are secured by a security interest in substantially all of our assets, except for certain pledged marketable securities and are guaranteed by the U.S. subsidiaries, Emmaus Medical, Inc. and Newfield Nutrition Corporation.
The common stock purchase warrants are exercisable for five years beginning April 22, 2019 at an initial exercise price of $11.30 per share, which will be subject to reduction if we become a listed company or our common stock becomes quoted on a trading market based upon the public offering price or “VWAP” of the Company common stock. The exercise price also will be subject to adjustment in certain other customary circumstances.
T.R. Winston & Company, LLC acted as placement agent in connection with the sales of the debentures and warrants pursuant to an amended and restated fee agreement with us dated October 1, 2018. In accordance with the fee agreement, the Company paid T.R. Winston a cash fee equal to 5% of the gross proceeds received from the purchasers granted T.R. Winston warrants to purchase up to 120,000 shares of the Company common stock on the same terms as the common stock purchase warrants sold to the purchasers and reimbursed T.R. Winston for certain legal fees and expenses.
F-76
A summary of outstanding warrants as of December 31, 2018 and 2017 is presented below.
| Year ended | Year ended | |||||||
| December 31, 2018 | December 31, 2017 | |||||||
| Warrants outstanding, beginning of period | 5,265,432 | 5,024,668 | ||||||
| Granted | 1,542,000 | 240,764 | ||||||
| Exercised | (2,385,317 | ) | - | |||||
| Cancelled, forfeited and expired | (985,684 | ) | - | |||||
| Warrants outstanding, end of period | 3,436,431 | 5,265,432 | ||||||
A summary of outstanding warrants by year issued and exercise price as of December 31, 2018 is presented below.
| Outstanding | Exercisable | |||||||||||||||||||||||
| Year issued and Exercise Price | Number of Warrants Issued | Weighted Average Remaining Contractual Life (Years) | Weighted Average Exercise Price | Total | Weighted Average Exercise Price | |||||||||||||||||||
| At December 31, 2014 | ||||||||||||||||||||||||
| $ | 3.50 | 50,000 | 0.33 | $ | 3.50 | 50,000 | $ | 3.50 | ||||||||||||||||
| 2014 Total | 50,000 | 50,000 | ||||||||||||||||||||||
| At December 31, 2015 | ||||||||||||||||||||||||
| $ | 4.90 | 110,417 | 1.18 | $ | 4.90 | 110,417 | $ | 4.90 | ||||||||||||||||
| 2015 Total | 110,417 | 110,417 | ||||||||||||||||||||||
| At December 31, 2016 | ||||||||||||||||||||||||
| $ | 4.50 | 118,750 | 2.50 | $ | 4.50 | 118,750 | $ | 4.50 | ||||||||||||||||
| $ | 4.70 | 75,000 | 2.33 | $ | 4.70 | 75,000 | $ | 4.70 | ||||||||||||||||
| $ | 5.00 | 1,300,000 | 2.36 | $ | 5.00 | 1,300,000 | $ | 5.00 | ||||||||||||||||
| 2016 Total | 1,493,750 | 1,493,750 | ||||||||||||||||||||||
| At December 31, 2017 | ||||||||||||||||||||||||
| $ | 10.80 | 240,764 | 4.50 | $ | 10.80 | 240,764 | $ | 10.80 | ||||||||||||||||
| 2017 Total | 240,764 | 240,764 | ||||||||||||||||||||||
| At December 31, 2018 | ||||||||||||||||||||||||
| $ | 11.30 | 1,541,500 | 4.78 | $ | 11.30 | 1,541,500 | $ | 11.30 | ||||||||||||||||
| Grand Total | 3,436,431 | 3,436,431 | ||||||||||||||||||||||
Stock options-The 2011 Stock Incentive Plan, which is shareholder-approved, permits grants of incentive stock options to employees, including executive officers, and other share-based awards such as stock appreciation rights, restricted stock, stock units, stock bonus and unrestricted stock awards to employees, directors, and consultants for up to 9,000,000 shares of common stock. On February 28, 2013, the number of shares of common stock authorized for issuance under the 2011 Stock Incentive Plan was increased from 3,000,000 shares to 6,000,000 shares. On July 14, 2014, the number of shares of common stock authorized for issuance under the 2011 Stock Incentive Plan was increased from 6,000,000 shares to 9,000,000 shares. Options granted under the 2011 Stock Incentive Plan expire 10 years after grant. Options granted to directors vest in quarterly installments, and all other option grants vest over a minimum period of three years, all based on continuous service with the Company.
Management has valued stock options at their date of grant utilizing the Black-Scholes-Merton Option pricing model. The fair value of the underlying shares was determined by the market value of stock of similar companies and recent arm’s length transactions involving the sale of the Company’s common stock. The expected volatility was calculated using the historical volatility of a similar public entity in the industry through August 2013 and a group of similar public entities thereafter. The following table presents the assumptions used on recent dates on which options were granted by the Board of Directors.
F-77
| 9/27/2018 | 8/8/2018 | 2/27/2018 | 12/31/2017 | |||||||||||||
| Stock Price | $ | 11.10 | $ | 11.30 | $ | 11.40 | $ | 11.40 | ||||||||
| Exercise Price | $ | 11.10 | $ | 11.30 | $ | 11.40 | $ | 11.40 | ||||||||
| Term | 10 years | 10 years | 10 years | 10 years | ||||||||||||
| Risk-Free Rate | 2.99 | % | 2.88 | % | 2.75 | % | 2.27 | % | ||||||||
| Dividend Yield | - | - | - | - | ||||||||||||
| Volatility | 69.14 | % | 66.09 | % | 68.18 | % | 68.18 | % | ||||||||
In making the determination of fair value and finding similar companies, the Company considered the industry, stage of life cycle, size and financial leverage of such other entities. While the Company was initially able to identify only one similar public company using these criteria, based on the more advanced stage of development of the Company additional similar companies with enough historical data that met the industry criterion have now been identified. Accordingly, the Company has based its expected volatility on the historical stock prices of a group peer of companies since September 2013.
The risk-free interest rate is based on the implied yield available on U.S. Treasury issues with an equivalent term approximating the expected life of the options depending on the date of the grant and expected life of the options.
During the year ended December 31, 2018, the Company’s Board of Directors granted 357,000 options to its officers, directors and employees. The option will vest as follows: one-third (1/3) will vest on the first anniversary of the grant date, and the remaining two-thirds (2/3) will vest in twenty-four approximately equal monthly installments over a period of two years thereafter. During the year ended December 31, 2017, 50,000 options were granted by the Company’s Board of Directors to a consultant. These options vested immediately, have an exercise price of $11.40 per share and are exercisable through 2027. As of December 31, 2018 and 2017, there were 6,642,200 and 6,775,200 options outstanding, respectively, under the 2011 Stock Incentive Plan.
A summary of the Company’s stock option activity for the years ended December 31, 2018 and 2017 is presented below:
| December 31, 2018 | December 31, 2017 | |||||||||||||||
Number of Options | Weighted- Average Exercise Price | Number of Options | Weighted- Average Exercise Price | |||||||||||||
| Options outstanding, beginning of period | 6,775,200 | $ | 4.12 | 6,955,200 | $ | 4.10 | ||||||||||
| Granted or deemed issued | 357,000 | $ | 11.28 | 50,000 | $ | 11.40 | ||||||||||
| Exercised | (170,000 | ) | $ | 4.59 | (11,895 | ) | $ | 4.19 | ||||||||
| Cancelled, forfeited and expired | (320,000 | ) | $ | 6.06 | (218,105 | ) | $ | 4.98 | ||||||||
| Options outstanding, end of period | 6,642,200 | $ | 4.40 | 6,775,200 | $ | 4.12 | ||||||||||
| Options exercisable at end of year | 5,958,783 | $ | 3.87 | 5,604,439 | $ | 3.95 | ||||||||||
| Options available for future grant | 2,357,800 | 2,224,800 | ||||||||||||||
During the years ended December 31, 2018 and 2017, the Company recognized $4.6 million and $5.1 million, respectively, of share-based compensation cost arising from stock option grants. As of December 31, 2018, there was $3.3 million of total unrecognized compensation cost related to unvested share-based compensation arrangements granted under the 2011 Stock Incentive Plan. That cost is expected to be recognized over the weighted average remaining period of 1.9 years.
Registration rights-Pursuant to the Purchase Warrant relating to the GPB Debt Holdings II, LLC issued by the Company on December 29, 2017, the Company entered into a Registration Rights Agreement (the “Registration Rights Agreement”) pursuant to which the Company has agreed to file a registration statement with the Securities and Exchange Commission (the “Commission”) relating to the offer and sale by GPB of the Company Shares underlying the Warrants. The Company is required to file a registration statement within one hundred eighty (180) days of closing of a public listing of the Company’s Common Stock for trading on any national securities exchange (excluding any over-the-counter market), whether through a direct listing application or merger transaction. The Company is required to have the registration statement become effective on the earlier of (A) the date that is two-hundred and forty (240) days following the later to occur of (i) the date of closing of the public listing or (ii) or in the event the registration statement receives a “full review” by the Commission, the date that is 300 days following the date of closing of the public listing, or (B) the date which is within three (3) business days after the date on which the Commission informs the Company (i) that the Commission will not review the registration statement or (ii) that the Company may request the acceleration of the effectiveness of the registration statement. If the Company does not effect such registration within that period of time, it will be required to pay GPB for liquidated damages an amount of cash equal to 2% of the product of (i) the number of Registrable Securities and (ii) the Closing Sale Price or Closing Bid Price as of the trading day immediately prior to the Event Date, such payments to be made on the Event Date and every thirty (30) day anniversary thereafter with a maximum penalty of 12% until the applicable Event is cured; provided, however, that in the event the Commission does not permit all of the Registrable Securities to be included in the Registration Statement because of its application of Rule 415, liquidated damages shall only be payable by the Company based on the portion of the Holder’s initial investment in the Securities that corresponds to the number of such Holder’s Registrable Securities permitted to be registered by the Commission in such Registration Statement pursuant to Rule 415.
F-78
Pursuant to the Subscription Agreements relating to the Private Placement and certain warrants, as well as pursuant to the replacement of certain warrants by the Company on June 10, 2014, the Company agreed to use its commercially reasonable best efforts to have on file with the SEC, by September 11, 2014 and at the Company’s sole expense, a registration statement to permit the public resale of 4,115,966 shares of Company common stock and 3,320,501 shares of common stock underlying warrants (collectively, the “Registrable Securities”). In the event such registration statement includes securities to be offered and sold by the Company in a fully underwritten primary public offering pursuant to an effective registration under the Securities Act of 1933, as amended (the “Securities Act”), and the Company is advised in good faith by any managing underwriter of securities being offered pursuant to such registration statement that the number of Registrable Securities proposed to be sold in such offering is greater than the number of such securities which can be included in such offering without materially adversely affecting such offering, the Company will include in such registration the following securities in the following order of priority: (i) any securities the Company proposes to sell, and (ii) the Registrable Securities, with any reductions in the number of Registrable Securities actually included in such registration to be allocated on a pro rata basis among the holders thereof. The registration rights described above apply until all Registrable Securities have been sold pursuant to Rule 144 under the Securities Act or may be sold without registration in reliance on Rule 144 under the Securities Act without limitation as to volume and without the requirement of any notice filing.
If the shares of common stock underlying these warrants to purchase 3,320,501 shares are not registered for resale at the time of exercise, and the registration rights described above then apply with respect to the holder of such warrants, such holder may exercise such warrants on a cashless basis. In such a cashless exercise of all the shares covered by the warrant, the warrant holder would receive a number of shares equal to the quotient of (i) the difference between the fair market value of the common stock, as defined, and the $3.50 exercise price, as adjusted, multiplied by the number of shares exercisable under the warrant, divided by (ii) the fair market value of the common stock, as defined.
The Company has not yet filed a registration statement with respect to the resale of the Registrable Securities. The Company believes that it has used commercially reasonable efforts to file a registration statement with respect to the resale of Registrable Securities.
Korean Private Placement-On September 12, 2016, the Company entered into Letter of Agreement with KPM and Hanil, both Korean-based public companies whose shares are listed on KOSDAQ, a trading board of Korea Exchange in South Korea. In the Letter of Agreement, the parties agreed that KPM and Hanil would purchase by September 30, 2016 $17 million and $3 million, respectively, of shares of our common stock at a price of $4.50 per share. In exchange, the Company agreed to invest $13 million and $1 million in future capital increases by KPM and Hanil, respectively, at prices based upon the trading prices of KPM and Hanil shares on KOSDAQ. The Letter of Agreement contemplates that KPM and Hanil may purchase additional shares of our common stock in a second transaction to be mutually agreed upon by the parties.
In connection with the Letter of Agreement, KPM and Hanil entered into our standard form subscription agreement with respect to their purchase of shares which contains customary representations and warranties of the parties.
On September 29, 2016, KPM and Hanil purchased and acquired from the Company 3,777,778 shares and 666,667 shares, respectively, of common stock at a price of $4.50 a share for $17 million and $3 million, respectively, for a gross total of $20 million. The Company recognized $720,000 as a reduction to its additional paid-in-capital for fees and commissions payable by the Company in connection with the transaction.
Pursuant to the terms of the Letter of Agreement dated September 12, 2016, the Company invested $13 million and $1 million in capital increases by KPM and Hanil, respectively, at $15.32 and $3.68, respectively, per capita share.
F-79
NOTE 8-INCOME TAXES
The provision (benefit) for income taxes consists of the following for the years ended December 31, 2018 and 2017:
| 2018 | 2017 | |||||||
| Current U.S. | $ | 5,586 | $ | 2,400 | ||||
| International | 636 | 833 | ||||||
| Deferred U.S. | - | (12,306,343 | ) | |||||
| International | - | - | ||||||
| $ | 6,222 | $ | (12,303,110 | ) | ||||
A valuation allowance for the net deferred tax assets has been recorded as it is more likely than not that these benefits will not be realized through future operations.
Deferred tax assets consist of the following as of December 31, 2018 and 2017:
| 2018 | 2017 | |||||||
| Net operating loss carryforward | $ | 19,900,927 | $ | 15,086,163 | ||||
| General business tax credit | 9,342,425 | 8,911,700 | ||||||
| Stock options | 6,011,522 | 3,583,299 | ||||||
| Charitable contribution | 139,124 | 38,128 | ||||||
| Accrued expenses | 364,306 | 229,105 | ||||||
| Unearned revenue | 1,395,870 | - | ||||||
| Allowance for bad AR | 172,939 | - | ||||||
| Other | 317,845 | 29,855 | ||||||
| Total gross deferred tax assets | 37,644,958 | 27,878,250 | ||||||
| Less valuation allowance | (34,599,232 | ) | (13,381,045 | ) | ||||
| Net deferred tax assets | $ | 3,045,726 | $ | 14,497,205 | ||||
Deferred tax liabilities consist of the following as of December 31, 2018 and 2017:
| 2018 | 2017 | |||||||
| Unrealized gain on LT investment | $ | 2,964,943 | $ | - | ||||
| Unrealized gain on foreign exchange translation and others | (78,281 | ) | (32,752 | ) | ||||
| Unrealized gain on marketable securities | - | (14,464,453 | ) | |||||
| Other | (2,502 | ) | - | |||||
| Total deferred tax liability | $ | 2,884,160 | $ | (14,497,205 | ) | |||
During 2018, the valuation allowance increased by $21.2 million and during 2017, the valuation allowance decreased by $23.4 million, respectively.
As of December 31, 2018 and 2017, the Company had net operating loss carryforwards for federal reporting purposes of approximately $64.8 million and $64.6 million, which are available to offset future federal taxable income, if any. Net operation loss generated in 2017 and prior expire in various years through 2037. In addition, the Company had net operating loss carryforwards for state income tax purposes of approximately $55.7 million and $57.9 million respectively, which expire in various years through 2038. The utilization of our net operating losses could be subject to an annual limitation as a result of certain past and future events, such as acquisition or other significant equity events, which may be deemed as a “change in ownership” under the provisions of the Internal Revenue Code of 1986, as amended, and similar state provisions. The annual limitations could result in the expiration of net operating losses and tax credits before utilization. As of December 31, 2018 and 2017, the Company has general business tax credits of $9.3 million and $8.9 million, respectively, for federal tax purposes. The tax credits are available to offset future tax liabilities, if any, through 2038.
The income tax provision differs from that computed using the statutory federal tax rate of 21%, due to the following:
| 2018 | 2017 | |||||||
| Tax benefit at statutory federal rate | $ | (12,169,762 | ) | $ | (15,496,876 | ) | ||
| State taxes, net of federal tax benefit | (3,786,890 | ) | (398,315 | ) | ||||
| Increase in valuation allowance | 6,753,526 | (8,943,404 | ) | |||||
| Permanent items | 750,485 | 9,521,184 | ||||||
| General business tax credit | (430,724 | ) | (1,407,553 | ) | ||||
| Impact from tax rate change (34% to 21%) | - | 10,210,183 | ||||||
| OCI, tax benefit | - | (12,306,343 | ) | |||||
| Other | 8,889,587 | 6,518,014 | ||||||
| $ | 6,222 | $ | (12,303,110 | ) | ||||
F-80
As of December 31, 2018 and 2017, the Company had no unrecognized tax benefits, and the Company had no position which, in the opinion of management, would be reversed if challenged by a taxing authority. In the event the Company is assessed interest and/or penalties, such amounts will be classified as income tax expense in the financial statements. As of December 31, 2018, all federal tax returns since 2015 and state tax returns since 2014 are still subject to adjustment upon audit. No tax returns are currently being examined by taxing authorities.
Tax Reform-On December 22, 2017, the Tax Cuts and Jobs Act of 2017 (the “Act”) was signed into law making significant changes to the Internal Revenue Code. Changes include, but are not limited to, a corporate tax rate decrease from 34% to 21% effective for tax years beginning after December 31, 2017, the transition of U.S. international taxation from a worldwide tax system to a territorial system, and a one-time transition tax on the mandatory deemed repatriation of cumulative foreign earnings as of December 31, 2017 to be accounted for in this period of enactment in accordance with its understanding of the Act and guidance available as of the date of this filing.
NOTE 9-COMMITMENTS AND CONTINGENCIES
Operating leases-The Company leases its office space under operating leases with unrelated entities. The rent expense during the years ended December 31, 2018 and 2017 amounted to $668,620 and $563,382, respectively.
Future minimum lease payments under the agreements are as follows:
| Year | Amount | |||
| 2019 | $ | 729,825 | ||
| 2020 | 974,008 | |||
| 2021 | 973,428 | |||
| 2022 | 1,003,437 | |||
| Thereafter | 3,665,179 | |||
| Total | $ | 7,345,877 | ||
Management Control Acquisition Agreement - On June 12, 2017, the Company entered into a Management Control Acquisition Agreement (the “MCAA”) with Telcon Holdings, Inc. (“Telcon Holdings”), a Korean corporation, and Telcon Inc. (“Telcon”), a Korean-based public company whose shares are listed on KOSDAQ, a trading board of Korea Exchange in South Korea. In accordance with the MCAA, the Company invested ₩36.0 billion KRW (approximately $31.8 million USD) to purchase 6,643,559 shares of Telcon’s common stock shares at a purchase price of ₩5,419 KRW (approximately $4.79 USD) per share. Upon consummation of the MCAA, the Company became Telcon’s largest shareholder owning approximately 10.3% of Telcon’s outstanding common stock shares and received representation on its board of directors.
The MCAA was amended in certain respect and supplemented by an Agreement, dated as of September 29, 2017, among the parties. Pursuant to the September 2017 Agreement, among other things, Telcon purchased 4,444,445 Emmaus shares from KPM and Hanil at a price of $6.60 per share.
On July 2, 2018, we entered into an Additional Agreement with Evercore Investment Holdings Co., Ltd. (formerly Telcon Holdings Co., Ltd.), (“Evercore”), and Telcon RF Pharmaceutical Inc. (formerly Telcon Inc.), (“Telcon”). In the Additional Agreement, we agreed to use the proceeds from the sales of our KPM shares to repurchase Emmaus shares from Telcon at a price of $7.60 a share, subject to certain exceptions, and Telcon granted us the right to purchase from Telcon all or a portion of its Emmaus shares at a price of $7.60 a share until October 31, 2018 and at a price to be agreed upon after October 31, 2018. We repurchased 495,000 shares from Telcon at a price of $7.60 a share in 2018. Then, the date was extended to May 31, 2019. Telcon also granted us under the Additional Agreement a right of first refusal until June 30, 2019 to purchase any Emmaus shares that Telcon may wish to sell.
In connection with the MCAA, on June 15, 2017, Emmaus and Telcon entered into exclusive distribution agreements for the distribution of L-glutamine powder for diverticulosis treatment for the South Korea, Japan and China Territories, with the intention to add the Australia territory. In the Additional Agreement, the parties agreed to dispense with a distribution agreement for Australia, and that the parties have no liabilities or obligations with respect to the intended Australia distribution, including any related liabilities and obligations under the September 2017 Agreement.
The Additional Agreement provides for specified damages in the event of a breach of the Additional Agreement by any party.
API Supply Agreement - On June 12, 2017, the Company entered into an API Supply Agreement (the “API Agreement”) with Telcon pursuant to which Telcon paid the Company approximately ₩36.0 billion KRW (approximately $31.8 million USD) in consideration of the right to supply 25% of the Company’s requirements for bulk containers of PGLG for a fifteen-year term. Due to unforeseen circumstances, the Company and Telcon held new discussions to re-negotiate certain terms of the API Agreement. The Company and Telcon made significant changes to critical terms of the API Agreement, which resulted in the Company and Telcon signing a Raw Material Supply Agreement (“Revised API Agreement”) on July 12, 2017. The Revised API Agreement is effective for a term of five years with 10 one-year renewal periods for a maximum of 15 years and the agreement will automatically renew unless terminated by either party in writing. The Revised API Agreement does not include yearly purchase commitments or margin guarantees, but revises the API Agreement such that a unit price is established for 940,000 kilograms of PGLG at $50 USD per kilogram for a total of $47.0 million over the 15 years. The Revised API Supply Agreement is silent on yearly purchase commitments and margin guarantees on purchases of $5.0 million and $2.5 million, respectively. The raw materials purchased from Telcon are measured at net realizable value while the excess is recorded against the deferred Trade Discount.
F-81
NOTE 10-RELATED PARTY TRANSACTIONS
The following table sets forth information relating to our loans from related persons outstanding as of the date hereof or at any time during the year ended December 31, 2018.
| Class | Lender | Interest Rate | Date of Loan | Term of Loan | Principal Amount Outstanding at December 31, 2018 | Highest Principal Outstanding | Amount of Principal Repaid or Converted into Stock | Amount of Interest Paid | Conversion Rate | Shares Underlying Notes December 31, 2018 | ||||||||||||||||||||||||||
| Current, Promissory note payable to related parties: | ||||||||||||||||||||||||||||||||||||
| Masaharu & Emiko Osato (3) | 11 | % | 12/29/2015 | Due on Demand | $ | - | $ | 300,000 | $ | 300,000 | $ | 76,036 | $ | - | $ | - | ||||||||||||||||||||
| Lan T. Tran (2) | 11 | % | 2/10/2016 | Due on Demand | - | 130,510 | 130,510 | 28,712 | - | - | ||||||||||||||||||||||||||
| Masaharu & Emiko Osato (3) | 11 | % | 2/25/2016 | Due on Demand | - | 400,000 | 400,000 | 94,389 | - | - | ||||||||||||||||||||||||||
| Lan T. Tran (2) | 10 | % | 4/29/2016 | Due on Demand | 20,000 | 20,000 | - | - | - | - | ||||||||||||||||||||||||||
| Hope Hospice (1) | 10 | % | 6/3/2016 | Due on Demand | 250,000 | 250,000 | - | - | - | - | ||||||||||||||||||||||||||
| Lan T. Tran (2) | 10 | % | 2/9/2017 | Due on Demand | 12,000 | 12,000 | - | - | - | - | ||||||||||||||||||||||||||
| Yutaka Niihara (2)(3) | 10 | % | 9/14/2017 | Due on Demand | 26,583 | 903,751 | 877,167 | 94,584 | - | - | ||||||||||||||||||||||||||
| Lan T. Tran (2) | 11 | % | 2/10/2018 | Due on Demand | 159,223 | 159,223 | - | - | - | |||||||||||||||||||||||||||
| Subtotal | $ | 467,806 | $ | 2,175,484 | $ | 1,707,678 | $ | 293,721 | $ | - | ||||||||||||||||||||||||||
| Current, Convertible notes payable to related parties: | ||||||||||||||||||||||||||||||||||||
| Yasushi Nagasaki (2) | 10 | % | 6/29/2012 | Due on Demand | $ | 200,000 | $ | 200,000 | $ | - | $ | - | $ | 3.30 | $ | 74,182 | ||||||||||||||||||||
| Yutaka & Soomi Niihara (2)(3) | 10 | % | 11/16/2015 | 2 years | 200,000 | 200,000 | - | - | $ | 4.50 | $ | 58,350 | ||||||||||||||||||||||||
| Wei Peu Zen (3) | 10 | % | 11/6/2017 | 2 years | 5,000,000 | 5,000,000 | - | 250,000 | $ | 10.00 | $ | 532,671 | ||||||||||||||||||||||||
| Subtotal | $ | 5,400,000 | $ | 5,400,000 | $ | - | $ | 250,000 | $ | 665,203 | ||||||||||||||||||||||||||
| Non Current, Convertible notes payable to related parties: | ||||||||||||||||||||||||||||||||||||
| Profit Preview International Group, Ltd. (4) | 10 | % | 2/1/2018 | 2 years | 4,037,000 | 4,037,000 | - | 201,850 | $ | 10.00 | $ | 420,456 | ||||||||||||||||||||||||
| Profit Preview International Group, Ltd. (4) | 10 | % | 3/21/2018 | 2 years | 5,363,000 | 5,363,000 | - | 268,150 | $ | 10.00 | $ | 551,507 | ||||||||||||||||||||||||
| Subtotal | $ | 9,400,000 | $ | 9,400,000 | $ | - | $ | 470,000 | $ | 971,963 | ||||||||||||||||||||||||||
| Total | $ | 15,267,806 | $ | 16,975,484 | $ | 1,707,678 | $ | 1,013,721 | $ | 1,637,166 | ||||||||||||||||||||||||||
F-82
The following table sets forth information relating to our loans from related persons outstanding as of the date hereof or at any time during the year ended December 31, 2017.
| Class | Lender | Interest rate | Date of loan | Term of Loan | Principal Amount Outstanding at December 31, 2017 | Highest Principal Outstanding | Amount of Principal Repaid | Amount of Interest Paid | Conversion Rate | Shares Underlying Notes at December 31, 2017 | ||||||||||||||||||||||||||
| Current, Promissory note payable to related parties: | ||||||||||||||||||||||||||||||||||||
| Hope Hospice (1) | 8 | % | 1/17/2012 | Due on Demand | $ | - | $ | 200,000 | $ | 200,000 | $ | 7,331 | - | - | ||||||||||||||||||||||
| Hope Hospice (1) | 8 | % | 6/14/2012 | Due on Demand | - | 200,000 | 200,000 | 14,762 | - | - | ||||||||||||||||||||||||||
| Hope Hospice (1) | 8 | % | 6/21/2012 | Due on Demand | - | 100,000 | 100,000 | 7,249 | - | - | ||||||||||||||||||||||||||
| Hope Hospice (1) | 8 | % | 2/11/2013 | Due on Demand | - | 50,000 | 50,000 | 1,559 | - | - | ||||||||||||||||||||||||||
| Hope Hospice (1) | 10 | % | 1/7/2015 | Due on Demand | - | 100,000 | 100,000 | 28,630 | - | - | ||||||||||||||||||||||||||
| IRA Service Trust Co. FBO Peter B. Ludlum (2) | 10 | % | 2/20/2015 | Due on Demand | 10,000 | 10,000 | - | - | - | - | ||||||||||||||||||||||||||
| Masaharu & Emiko Osato (3) | 11 | % | 12/29/2015 | Due on Demand | 300,000 | 300,000 | - | - | - | - | ||||||||||||||||||||||||||
| Yutaka Niihara (2)(3) | 10 | % | 5/21/2015 | Due on Demand | 0 | 826,105 | 94,339 | 61,829 | - | - | ||||||||||||||||||||||||||
| Lan T. Tran (2) | 11 | % | 2/10/2016 | Due on Demand | 130,510 | 130,510 | - | - | - | - | ||||||||||||||||||||||||||
| Masaharu & Emiko Osato (3) | 11 | % | 2/25/2016 | Due on Demand | 400,000 | 400,000 | - | - | - | - | ||||||||||||||||||||||||||
| Hope Hospice (1) | 10 | % | 4/4/2016 | Due on Demand | - | 50,000 | 50,000 | 8,110 | - | - | ||||||||||||||||||||||||||
| Lan T. Tran (2) | 10 | % | 4/29/2016 | Due on Demand | 20,000 | 20,000 | - | - | - | - | ||||||||||||||||||||||||||
| IRA Service Trust Co. FBO Peter B. Ludlum (2) | 10 | % | 5/5/2016 | Due on Demand | 10,000 | 10,000 | - | - | - | - | ||||||||||||||||||||||||||
| Hope Hospice (1) | 10 | % | 6/3/2016 | Due on Demand | 250,000 | 250,000 | - | - | - | - | ||||||||||||||||||||||||||
| Lan T. Tran (2) | 10 | % | 2/9/2017 | Due on Demand | 12,000 | 12,000 | - | - | - | - | ||||||||||||||||||||||||||
| Yutaka Niihara (2)(3) | 10 | % | 9/14/2017 | Due on Demand | 903,751 | 903,751 | - | - | - | - | ||||||||||||||||||||||||||
| Subtotal | $ | 2,036,261 | $ | 3,562,366 | $ | 794,339 | $ | 129,470 | - | |||||||||||||||||||||||||||
| Current, Convertible notes payable to related parties: | ||||||||||||||||||||||||||||||||||||
| Yasushi Nagasaki (2) | 10 | % | 6/29/2012 | Due on Demand | $ | 200,000 | $ | 388,800 | $ | 188,800 | $ | 57,886 | $ | 3.30 | 68,122 | |||||||||||||||||||||
| Charles & Kimxa Stark (2) | 10 | % | 10/1/2015 | 2 years | - | 20,000 | 20,000 | 4,405 | $ | 4.50 | - | |||||||||||||||||||||||||
| Yutaka & Soomi Niihara (2)(3) | 10 | % | 11/16/2015 | 2 years | 200,000 | 200,000 | - | - | $ | 4.50 | 53,905 | |||||||||||||||||||||||||
| Subtotal | $ | 400,000 | $ | 608,800 | $ | 208,800 | $ | 62,291 | 122,027 | |||||||||||||||||||||||||||
| Total | $ | 2,436,261 | $ | 4,171,166 | $ | 1,003,139 | $ | 191,761 | 122,027 | |||||||||||||||||||||||||||
| (1) | Dr. Niihara, our director and Chief Executive Officer, is also the Chief Executive Officer of Hope Hospice. |
| (2) | Officer |
| (3) | Director |
| (4) | Mr. Zen, a Director, is the sole owner of Profit Preview International Group, Ltd. |
F-83
NOTE 11-SUBSEQUENT EVENTS
Subsequent to the year ended December 31, 2018, the Company issued the following:
| Common Shares Issued after December 31, 2018 | Amounts | Number of Shares Issued | ||||||
| Common shares | $ | 1,885,000 | 227,500 | |||||
On January 7, 2019, we announced our entry into an Agreement and Plan of Merger and Reorganization, dated as of January 4, 2019 (as it may be amended, the “Merger Agreement”), among Emmaus, MYnd Analytics, Inc. (“Parent”) and Athena Merger Subsidiary, Inc. (“Merger Sub”), pursuant to which Merger Sub will merger with and into Emmaus, with Emmaus surviving as a subsidiary of Parent.
On March 5, 2019, we entered into a securities amendment agreement with the holders of our 10% senior secured debentures and related common stock purchase warrants issued in October 2018. The amendment provides that the securities purchase agreement among the company and the holders of the debentures entered into on September 8, 2018, as previously amended, is to be further amended in certain respects, and the debentures and warrants are to be amended in certain respects and restated in their entirety, concurrent with and subject to the completion of our proposed merger transaction with MYnd Analytics, Inc. described in our Current Report on Form 8-K filed with the Securities and Exchange Commission (the “ SEC”) on January 7, 2019.
F-84
CONSOLIDATED BALANCE SHEET
(In thousands, except share and per share amounts)
| As of | ||||||||
| March 31, 2019 | December 31,
2018 | |||||||
| (unaudited) | ||||||||
| ASSETS | ||||||||
| CURRENT ASSETS | ||||||||
| Cash and cash equivalents ($13,071 and $13,175 attributable to the VIE) | $ | 15,310 | $ | 17,080 | ||||
| Accounts receivable, net | 1,760 | 1,351 | ||||||
| Inventories, net | 5,795 | 4,705 | ||||||
| Investment in marketable securities | 42,873 | 49,343 | ||||||
| Marketable securities, pledged to creditor | 251 | 238 | ||||||
| Prepaid expenses and other current assets ($271 and $273 attributable to the VIE) | 818 | 743 | ||||||
| Total current assets | 66,807 | 73,460 | ||||||
| PROPERTY AND EQUIPMENT, NET | 153 | 152 | ||||||
| OTHER ASSETS | ||||||||
| Long-term investment at cost | 527 | 538 | ||||||
| Intangibles, net | 50 | 54 | ||||||
| Right of use assets | 2,838 | — | ||||||
| Deposits and other assets | 360 | 352 | ||||||
| Total other assets | 3,775 | 944 | ||||||
| Total assets | $ | 70,735 | $ | 74,556 | ||||
| LIABILITIES AND STOCKHOLDERS’ DEFICIT | ||||||||
| CURRENT LIABILITIES | ||||||||
| Accounts payable and accrued expenses | $ | 11,068 | $ | 9,122 | ||||
| Deferred rent | — | 19 | ||||||
| Operating lease liabilities | 682 | — | ||||||
| Other current liabilities | 5,217 | 5,181 | ||||||
| Notes payable, net | 7,000 | 6,394 | ||||||
| Notes payable to related parties, net | 470 | 468 | ||||||
| Convertible notes payable, net | 15,157 | 11,253 | ||||||
| Convertible notes payable to related parties, net | 13,896 | 5,089 | ||||||
| Total current liabilities | 53,490 | 37,526 | ||||||
| LONG-TERM LIABILITIES | ||||||||
| Deferred rent | — | 268 | ||||||
| Operating lease liabilities | 2,478 | — | ||||||
| Other long-term liabilities | 35,637 | 36,222 | ||||||
| Warrant derivative liabilities | 1,447 | 1,399 | ||||||
| Notes payable, net | 1,922 | 1,021 | ||||||
| Convertible notes payable, net | 389 | 5,485 | ||||||
| Convertible notes payable to related parties, net | — | 8,529 | ||||||
| Total long-term liabilities | 41,873 | 52,924 | ||||||
| Total liabilities | 95,363 | 90,450 | ||||||
| STOCKHOLDERS’ DEFICIT | ||||||||
| Preferred stock — par value $0.001 per share, 20,000,000 shares authorized, none issued and outstanding | — | — | ||||||
| Common stock — par value $0.001 per share, 100,000,000 shares authorized, 35,947,804 shares and 35,558,305 shares issued and outstanding at March 31, 2019 and December 31, 2018, respectively | 36 | 36 | ||||||
| Additional paid-in capital | 146,344 | 140,904 | ||||||
| Accumulated other comprehensive income (loss) | (62 | ) | (69 | ) | ||||
| Accumulated deficit | (170,864 | ) | (156,668 | ) | ||||
| Total stockholders’ deficit | (24,546 | ) | (15,797 | ) | ||||
| Noncontrolling interests | (82 | ) | (97 | ) | ||||
| Total liabilities & stockholders’ deficit | $ | 70,735 | $ | 74,556 | ||||
The accompanying notes are an integral part of these consolidated financial statements.
F-85
CONSOLIDATED STATEMENTS OF COMPREHENSIVE INCOME (LOSS)
(In thousands, except share and per share amounts) (Unaudited)
| Three
months ended March 31, | ||||||||
| 2019 | 2018 | |||||||
| CONSOLIDATED STATEMENTS OF INCOME (LOSS) | ||||||||
| REVENUES, NET | $ | 5,307 | $ | 781 | ||||
| COST OF GOODS SOLD | 200 | 134 | ||||||
| GROSS PROFIT | 5,107 | 647 | ||||||
| OPERATING EXPENSES | ||||||||
| Research and development | 513 | 411 | ||||||
| Selling | 1,485 | 870 | ||||||
| General and administrative | 3,681 | 3,807 | ||||||
| Total operating expenses | 5,679 | 5,088 | ||||||
| LOSS FROM OPERATIONS | (572 | ) | (4,441 | ) | ||||
| OTHER INCOME (EXPENSE) | ||||||||
| Loss on debt extinguishment | — | (3,245 | ) | |||||
| Change in fair value of warrant derivative liabilities | (48 | ) | 840 | |||||
| Change in fair value of embedded conversion option | — | 466 | ||||||
| Net gains (losses) on equity investment in marketable securities | (6,457 | ) | 5,535 | |||||
| Interest and other income (loss) | (111 | ) | 46 | |||||
| Interest expense | (6,965 | ) | (5,298 | ) | ||||
| Total other income (expenses) | (13,581 | ) | (1,656 | ) | ||||
| LOSS BEFORE INCOME TAXES | (14,153 | ) | (6,097 | ) | ||||
| INCOME TAXES | — | — | ||||||
| NET LOSS INCLUDING NONCONTROLLING INTERESTS | (14,153 | ) | (6,097 | ) | ||||
| Net (income) loss attributable to noncontrolling interests | (14 | ) | — | |||||
| NET LOSS ATTRIBUTABLE TO THE COMPANY | (14,167 | ) | (6,097 | ) | ||||
| COMPONENTS OF OTHER COMPREHENSIVE INCOME (LOSS) | ||||||||
| Foreign currency translation adjustments | 8 | 14 | ||||||
| Other comprehensive income (loss) | 8 | 14 | ||||||
| COMPREHENSIVE INCOME (LOSS) | (14,145 | ) | (6,083 | ) | ||||
| Amounts attributable to noncontrolling interests: | ||||||||
| Net (income) loss attributable to noncontrolling interest | (14 | ) | — | |||||
| Foreign currency translation adjustments | (1 | ) | — | |||||
| Comprehensive (income) loss attributable to noncontrolling interest | (15 | ) | — | |||||
| COMPREHENSIVE INCOME (LOSS) ATTRIBUTABLE TO THE COMPANY | $ | (14,160 | ) | $ | (6,083 | ) | ||
| NET LOSS PER COMMON SHARE | $ | (0.40 | ) | $ | (0.17 | ) | ||
| WEIGHTED AVERAGE COMMON SHARES OUTSTANDING | 35,684,038 | 34,891,450 | ||||||
The accompanying notes are an integral part of these consolidated financial statements.
F-86
CONSOLIDATED STATEMENT OF CHANGES IN STOCKHOLDERS’ EQUITY
FOR THE THREE MONTHS ENDED MARCH 31, 2019 and 2018
(In thousands, except share and per share amounts) (Unaudited)
| Common stock – par value $0.001 per share, 100,000,000 | ||||||||||||||||||||||||||||||||||||
| shares authorized | ||||||||||||||||||||||||||||||||||||
| Shares | Common Stock | Additional Paid-In Capital | Accumulated Other Comprehensive Income (Loss) | Treasury Stock, at cost | Accumulated Deficit | Total
Emmaus Stockholders’ Equity / (Deficit) | Non-controlling Interests | Total Equity / (Deficit) | ||||||||||||||||||||||||||||
| Balance at January 1, 2018 | 34,885,506 | $ | 35 | $ | 113,112 | $ | 41,276 | $ | — | $ | (140,132 | ) | $ | 14,291 | $ | — | $ | 14,291 | ||||||||||||||||||
| Cumulative effect adjustment on adoption of ASU 2016-01 | — | — | — | (41,362 | ) | — | 41,362 | — | — | — | ||||||||||||||||||||||||||
| Beneficial conversion feature relating to convertible and promissory notes payable | — | — | 3,638 | — | — | — | 3,638 | — | 3,638 | |||||||||||||||||||||||||||
| Stock issued for cash | 25,000 | — | 275 | — | — | — | 275 | 275 | ||||||||||||||||||||||||||||
| Repurchase of common stock | — | — | — | — | (1,314 | ) | — | (1,314 | ) | (1,314 | ) | |||||||||||||||||||||||||
| Share-based compensation | — | — | 710 | — | — | — | 710 | — | 710 | |||||||||||||||||||||||||||
| Foreign currency translation effect | — | — | — | 14 | — | — | 14 | — | 14 | |||||||||||||||||||||||||||
| Net income (loss) | — | — | — | — | — | (6,097 | ) | (6,097 | ) | — | (6,097 | ) | ||||||||||||||||||||||||
| Balance at March 31, 2018 | 34,910,506 | $ | 35 | $ | 117,735 | $ | (72 | ) | $ | (1,314 | ) | $ | (104,867 | ) | $ | 11,517 | $ | — | $ | 11,517 | ||||||||||||||||
| Balance at January 1, 2019 | 35,558,305 | $ | 36 | $ | 140,904 | $ | (69 | ) | $ | — | $ | (156,668 | ) | $ | (15,797 | ) | $ | (97 | ) | $ | (15,894 | ) | ||||||||||||||
| Cumulative effect adjustment on adoption of ASC 842 | — | — | — | — | — | (29 | ) | (29 | ) | — | (29 | ) | ||||||||||||||||||||||||
| Beneficial conversion feature relating to convertible and promissory notes payable | — | — | 2,039 | — | — | — | 2,039 | — | 2,039 | |||||||||||||||||||||||||||
| Exercise of warrants | 500 | — | 5 | — | — | — | 5 | — | 5 | |||||||||||||||||||||||||||
| Stock issued for cash | 307,500 | — | 2,530 | — | — | — | 2,530 | 2,530 | ||||||||||||||||||||||||||||
| Conversion of notes payable to common stock | 81,332 | — | 329 | — | — | — | 329 | — | 329 | |||||||||||||||||||||||||||
| Share-based compensation | — | — | 536 | — | — | — | 536 | — | 536 | |||||||||||||||||||||||||||
| Exercise of common stock options | 167 | — | 1 | — | — | — | 1 | — | 1 | |||||||||||||||||||||||||||
| Foreign currency translation effect | — | — | — | 7 | — | — | 7 | 1 | 8 | |||||||||||||||||||||||||||
| Net income (loss) | — | — | — | — | — | (14,167 | ) | (14,167 | ) | 14 | (14,153 | ) | ||||||||||||||||||||||||
| Balance, March 31, 2019 | 35,947,804 | $ | 36 | $ | 146,344 | $ | (62 | ) | $ | — | $ | (170,864 | ) | $ | (24,546 | ) | $ | (82 | ) | $ | (24,628 | ) | ||||||||||||||
The accompanying notes are an integral part of these consolidated financial statements.
F-87
CONSOLIDATED STATEMENTS OF CASH FLOWS
(In thousands) (Unaudited)
| Three
months ended March 31, | ||||||||
| 2019 | 2018 | |||||||
| CASH FLOWS FROM OPERATING ACTIVITIES | ||||||||
| Net loss | $ | (14,153 | ) | $ | (6,097 | ) | ||
| Adjustments to reconcile net loss to net cash flows from operating activities | ||||||||
| Depreciation and amortization | 17 | 13 | ||||||
| Cost of scrapped inventory written off | — | 8 | ||||||
| Amortization of discount of convertible notes | 5,641 | 4,192 | ||||||
| Foreign exchange adjustments on convertible notes and notes payable | (19 | ) | 135 | |||||
| Net losses (gains) on equity investment in marketable securities | 6,457 | (5,535 | ) | |||||
| Loss on debt settlement | — | 3,245 | ||||||
| Share-based compensation | 536 | 710 | ||||||
| Change in fair value of warrant derivative liabilities | 48 | (840 | ) | |||||
| Change in fair value of embedded conversion option | — | (466 | ) | |||||
| Net changes in operating assets and liabilities | ||||||||
| Accounts receivable | (409 | ) | (658 | ) | ||||
| Inventories | (1,091 | ) | (388 | ) | ||||
| Prepaid expenses and other current assets | (83 | ) | 94 | |||||
| Other non-current assets | (2,813 | ) | (84 | ) | ||||
| Accounts payable and accrued expenses | 2,339 | (539 | ) | |||||
| Deferred revenue | 500 | 596 | ||||||
| Deferred rent | (287 | ) | (41 | ) | ||||
| Other current liabilities | 36 | 40 | ||||||
| Other long-term liabilities | 1,997 | 5,000 | ||||||
| Net cash flows used in operating activities | (1,284 | ) | (615 | ) | ||||
| CASH FLOWS FROM INVESTING ACTIVITIES | ||||||||
| Purchases of property and equipment | (16 | ) | (15 | ) | ||||
| Purchase of marketable securities and investment at cost | — | (469 | ) | |||||
| Net cash flows used in investing activities | (16 | ) | (484 | ) | ||||
| CASH FLOWS FROM FINANCING ACTIVITIES | ||||||||
| Repurchase of common stock and warrants | — | (7,500 | ) | |||||
| Proceeds from convertible notes payable issued, net of issuance cost and discount | — | 14,395 | ||||||
| Payments of notes payable | — | (3,500 | ) | |||||
| Payments of convertible notes | (3,048 | ) | (20,000 | ) | ||||
| Proceeds from exercise of warrants | 5 | — | ||||||
| Proceeds from issuance of common stock | 2,530 | 275 | ||||||
| Proceeds from conversion of notes payable to common stock | 21 | — | ||||||
| Net cash flows used in financing activities | (492 | ) | (16,330 | ) | ||||
| Effect of exchange rate changes on cash | 22 | (14 | ) | |||||
| Net decrease in cash, cash equivalents and restricted cash | (1,770 | ) | (17,443 | ) | ||||
| Cash and cash equivalents, beginning of period | 17,080 | 22,556 | ||||||
| Cash and cash equivalents, end of period | $ | 15,310 | $ | 5,113 | ||||
| SUPPLEMENTAL DISCLOSURES OF CASH FLOW ACTIVITIES | ||||||||
| Interest paid | $ | 385 | $ | 371 | ||||
| Conversion of notes payable to common stock | $ | 308 | $ | — | ||||
The accompanying notes are an integral part of these consolidated financial statements.
F-88
NOTES TO CONSOLIDATED FINANCIAL STATEMENTS
March 31, 2019
(Unaudited)
NOTE 1 — BASIS OF PRESENTATION
The accompanying unaudited consolidated interim financial statements of Emmaus Life Sciences, Inc. and subsidiaries (collectively, the “Company” or “Emmaus”) have been prepared in accordance with accounting principles generally accepted in the United States of America (“GAAP”) on the basis that the Company will continue as a going concern. The consolidated financial statements include the accounts of the Company and its consolidated subsidiaries. All significant intercompany transactions have been eliminated. The Company’s unaudited consolidated interim financial statements contain adjustments, including normal recurring accruals necessary to present fairly the Company’s consolidated financial position, results of operations, and cash flows. Due to the uncertainty of the Company’s ability to meet its current operating and capital expenses, there is substantial doubt about the Company’s ability to continue as a going concern, as the continuation and expansion of its business is dependent upon obtaining further financing, market acceptance of Endari™, and achieving a profitable level of revenues. The consolidated interim financial statements do not include any adjustments that might result from the outcome of these uncertainties. The consolidated interim financial statements should be read in conjunction with the Company’s Annual Report on Form 10-K for the year ended December 31, 2018, filed with the Securities and Exchange Commission (“SEC”) on March 21, 2019 (the “Annual Report”). Interim results for the periods presented herein are not necessarily indicative of the results that may be expected for the fiscal year ending December 31, 2019.
The preparation of the consolidated financial statements requires the use of management estimates. Actual results could differ materially from those estimates.
NOTE 2 — SUMMARY OF SIGNIFICANT ACCOUNTING POLICIES
Refer to the Annual Report for a summary of significant accounting policies. There have been no material changes to the Company’s significant accounting policies during the three months ended March 31, 2019 except for leases, which are discussed below. Below are disclosures of certain interim balances, transactions, and significant assumptions used in computing fair value as of and for the three months ended March 31, 2019 and comparative amounts from the prior fiscal periods:
Revenues – Effective January 1, 2018, the Company adopted Accounting Standard codification (“ASC”) Topic 606, Revenue from Contracts with Customers using the modified retrospective transition methods. The adoption of ASC 606 did not have a material impact on the measurement or on the recognition of revenue of contracts for which all revenue had not been recognized as of January 1, 2018, therefore no cumulative adjustment has been made to the opening balance of accumulated deficit at the beginning of 2018. The comparative information has not been restated and continues to be reported under the accounting standards in effect for the periods presented.
Since January 2018, the Company has generated revenues through the sale of Endari as a treatment for sickle cell disease (“SCD”). The Company also generates revenues to a much lesser extent from the sale of AminoPure®, a nutritional supplement.
Revenues from Endari product sales are recognized upon delivery and transfer of control of products to the Company’s distributors and specialty pharmacy customers. Distributors resell the products to other specialty pharmacy providers, health care providers, hospitals, patients and clinics. In addition to distribution agreements with distributors, the Company enters into contractual arrangements with specialty pharmacy providers, in-office dispensing providers, group purchasing organizations, and government entities that provide for government-mandated or privately-negotiated rebates, chargebacks and discounts with respect to the purchase of our products. These various discounts, rebates, and charge-backs are referred to as “variable consideration.” Revenues from product sales are recorded net of variable consideration.
Prior to recognizing revenues, the Company’s management forecasts and estimates variable consideration. Amounts of variable consideration are included in the transaction price to the extent that it is probable that a significant reversal in the amount of cumulative revenues recognized will not occur when the uncertainty associated with the variable consideration is subsequently resolved.
F-89
Provisions for returns and other variable consideration adjustments are provided for in the period in which the related revenues are recorded. Actual amounts of consideration ultimately received may differ from our estimates. If actual results in the future vary from our estimates, we will adjust these estimates, which would affect net product revenue and earnings in the period such variances become known. The following are our significant categories of sales discounts and allowances:
Sales Discounts: The Company provides its customers contractual prompt payment discounts and from time to time offers additional one-time discounts that are recorded as a reduction of revenues in the period the revenues are recognized.
Product Returns: The Company offers its distributors a right to return product purchased directly from the Company based principally upon (i) overstocks, (ii) inactive product or non-moving product due to market conditions, and (iii) expired products. Product return allowances are estimated and recorded at the time of sale.
Government Rebates: The Company is subject to discount obligations under state Medicaid programs and the Medicare prescription drug coverage gap program. The Company’s management estimates Medicaid and Medicare prescription drug coverage gap rebates based upon a range of possible outcomes that are probability-weighted for the estimated payor mix. These reserves are recorded in the same period the related revenues are recognized, resulting in a reduction of product revenues and the establishment of a current liability that is included as accounts payable and accrued expenses in our balance sheet. The liability for these rebates consists primarily of estimates of claims expected to be received in future periods related to the recognized revenues.
Chargebacks and Discounts: Chargebacks for fees and discounts represent the estimated obligations resulting from contractual commitments to sell products to certain specialty pharmacy providers, in-office dispensing providers, group purchasing organizations, and government entities at prices lower than the list prices charged to distributors. The distributors charge the Company for the difference between what they pay for the products and the Company’s contracted selling price to these specialty pharmacy providers, in-office dispensing providers, group purchasing organizations, and government entities. These reserves are established in the same period that the related revenues are recognized, resulting in a reduction of revenues. Chargeback amounts are generally determined at the time of resale of products by the distributors.
Leases — As described below under “Recent accounting pronouncements,” we adopted ASU 2016-02 – Leases (Topic 842) (“ASU 2016-02”) as of January 1, 2019. Pursuant to ASU 2016-02, all of our leases outstanding on January 1, 2019 continued to be classified as operating leases. With the adoption of ASU 2016-02, we recorded an operating lease right-of-use asset and an operating lease liability on our balance sheet. Right-of-use lease assets represent our right to use the underlying asset during the lease term and the lease obligation represents our commitment to make lease payments arising from the lease. Right-of-use lease assets and obligations were recognized based on the present value of remaining lease payments over the lease term. As the Company’s leases do not provide an implicit rate, we have used an estimated incremental borrowing rate based on the information available at our adoption date in determining the present value of lease payments. Operating lease expense is recognized on a straight-line basis over the lease term. Variable lease costs such as common area costs and other operating costs are expensed as incurred. For all lease agreements we combine lease and non-lease components. No right-of-use asset and related lease liability are recorded for leases with an initial term of 12 months or less.
Prior to our adoption of ASU 2016-02, when our lease agreements contained tenant improvement allowances and rent escalation clauses, we recorded a deferred rent asset or liability equal to the difference between the rent expense and the future minimum lease payments due. The lease expense related to operating leases was recognized on a straight-line basis in the statements of operations over the term of each lease. In cases where the lessor granted us leasehold improvement allowances, we capitalized the improvements as incurred and recognized it over the shorter of the lease term or the expected useful life of the improvements.
Inventories — Substantially all of the raw material purchased during the three months ended March 31, 2019 and for the year ended December 31, 2018 were from one vendor. The below table presents inventory by category (in thousands):
| Inventories by category | March 31, 2019 | December 31, 2018 | ||||||
| Raw materials and components | $ | 647 | $ | 171 | ||||
| Work-in-process | 1,584 | 2,471 | ||||||
| Finished goods | 3,564 | 2,063 | ||||||
| Total | $ | 5,795 | $ | 4,705 | ||||
Marketable securities— The Company’s marketable securities consist of the following securities; (a) 39,250 shares of capital stock of CellSeed, Inc. (“CellSeed”) acquired in January 2009 at ¥680 JPY per share ($7.69 USD); (b) 6,643,559 shares of capital stock of Telcon, Inc. (“Telcon”) which were acquired in July 2017 for ₩36,001,446,221 KRW (equivalent to $31.8 million USD) at ₩5,419 KRW per share.
F-90
As of March 31, 2019 and December 31, 2018, the closing prices per CellSeed share on the Tokyo Stock Exchange were ¥710 ($6.40 USD) and ¥668 JPY ($6.07 USD), respectively, and the closing prices per Telcon share on the Korean Securities Dealers Automated Quotations (“KOSDAQ”) were ₩7,350 ($6.45 USD) and ₩8,280 KRW ($7.43 USD), respectively.
As of March 31, 2019, and December 31, 2018, 39,250 shares of CellSeed common stock were pledged to secure a $300,000 convertible note of the Company issued to Mitsubishi UFJ Capital III Limited Partnership that is due on demand and were classified as marketable securities, pledged to creditor in our balance sheet.
Prepaid expenses and other current assets — Prepaid expenses and other current assets consisted of the following at March 31, 2019 and December 31, 2018 (in thousands):
| March 31,
2019 | December 31,
2018 | |||||||
| Prepaid insurance | $ | 80 | $ | 82 | ||||
| Other prepaid expenses and current assets | 738 | 661 | ||||||
| $ | 818 | $ | 743 | |||||
Other long-term liabilities—Other long-term liabilities consisted of the following at March 31, 2019 and December 31, 2018 (in thousands):
| March 31, 2019 | December 31,
2018 | |||||||
| Trade discount | $ | 25,137 | $ | 26,222 | ||||
| Unearned revenue | 10,500 | 10,000 | ||||||
| Other long-term liabilities | — | — | ||||||
| Total other long-term liabilities | $ | 35,637 | $ | 36,222 | ||||
The Company entered into an API Supply Agreement (the “API Agreement”) with Telcon pursuant to which Telcon advanced to the Company approximately ₩36.0 billion KRW (approximately $31.8 million USD), accounted for as a trade discount, in consideration for the right to supply 25% of the Company’s requirements for bulk containers of pharmaceutical grade L-glutamine (“PGLG”). Refer Note 10 for additional details.
Fair value measurements — The following table presents the change in fair value of warrant derivative liabilities on a recurring basis using Level 3 inputs during the year ended December 31, 2018 (in thousands):
| Year Ended | ||||
| Warrant Derivative Liabilities—Stock Purchase Warrants | December 31,
2018 | |||
| Balance, beginning of period | $ | 26,377 | ||
| Repurchased | (6,186 | ) | ||
| Change in fair value included in the statement of comprehensive income (loss) | (20,191 | ) | ||
| Balance, end of period | $ | — | ||
The following table presents the change in fair value of warrants issued to GPB Debt Holdings II, LLC as described in Note 8 as of March 31, 2019 and December 31, 2018 (in thousands):
| For the Three Months Ended | Year Ended | |||||||||||||||
| March 31,
2019 | December 31,
2018 | |||||||||||||||
| Warrant Derivative Liabilities—GPB | Warrants | Embedded Conversion Option | Warrants | Embedded Conversion Option | ||||||||||||
| Balance, beginning of period | $ | 1,399 | $ | — | $ | 1,882 | $ | 1,289 | ||||||||
| Fair value at issuance date | — | — | — | — | ||||||||||||
| Change in fair value included in the statement of comprehensive income (loss) | 48 | — | (483 | ) | (466 | ) | ||||||||||
| Extinguished upon debt repayment | — | — | — | (823 | ) | |||||||||||
| Balance, end of period | $ | 1,447 | $ | — | $ | 1,399 | $ | — | ||||||||
F-91
The value of warrant derivative liabilities and the change in fair value of the warrant derivative liabilities were determined using a Binomial Monte-Carlo Cliquet (aka “Ratchet”) Option Pricing Model. The model is similar to traditional Black-Scholes-type option pricing models, except that the exercise price resets at certain dates in the future.
The value as of the dates set forth in the table above, was based on upon following assumptions:
| March 31, 2019 | December 31, 2018 | |||||||
| Stock price | $ | 10.30 | $ | 9.10 | ||||
| Risk-free interest rate | 2.22 | % | 2.48 | % | ||||
| Expected volatility (peer group) | 70.00 | % | 70.00 | % | ||||
| Expected life (in years) | 3.75 | 4.00 | ||||||
| Expected dividend yield | — | — | ||||||
| Number outstanding | 240,764 | 240,764 | ||||||
| Balance, end of period: | ||||||||
| Warrant derivative liabilities (long-term) (in thousands) | $ | 1,447 | $ | 1,399 | ||||
Debt and related party debt — The following table presents the effective interest rates on loans originated and refinanced in the respective periods that either had a beneficial conversion feature or an attached warrant:
| Type of Loan | Term of Loan | Stated Annual Interest | Original Loan Principal Amount | Conversion Rate | Beneficial Conversion Discount Amount | Warrants Issued with Notes | Exercise Price | Warrant FMV Discount Amount | Effective Interest Rate Including Discounts | |||||||||||||||||||||||||
| 2017 convertible notes payable | Due on demand - 2 years | 10 | % | $ | 5,795 | $3.50-$10.00 | $ | 1,545 | $ | — | N/A | N/A | 25% - 110% | |||||||||||||||||||||
| 2018 convertible notes payable | Due on demand - 2 years | 10 | % | 24,135 | $3.50-$10.00 | 10,266 | — | — | — | 10%-110% | ||||||||||||||||||||||||
| 2019 convertible notes payable | Due on demand - 1 year | 10 | % | 2,039 | $3.50-$4.50 | 2,039 | — | — | — | 110 | % | |||||||||||||||||||||||
| 2018 notes payable | 18 months | 10 | % | 12,200 | N/A | — | 1,220,000 | $ | 11.30 | 9,687 | 89 | % | ||||||||||||||||||||||
| $ | 44,169 | $ | 13,850 | $ | 1,220,000 | $ | 9,687 | |||||||||||||||||||||||||||
Related party notes are reflected as a separate line items in the Company’s consolidated balance sheets.
Net loss per share — As of March 31, 2019 and 2018, respectively, the Company had outstanding potentially dilutive securities exercisable for or convertible into 16,317,940 and 17,122,176 shares of Company common stock. No potentially dilutive securities were included in the calculation of diluted net loss per share since their effect would be anti-dilutive for all periods presented.
Recent accounting pronouncements—In January 2016, the Financial Accounting Standards Board (“FASB”) issued Accounting Standards Update (“ASU”) No. 2016-01, Recognition and Measurement of Financial Assets and Financial Liabilities. The ASU amendments applicable to the Company (1) supersede the guidance to classify equity securities, except equity method securities, with readily determinable fair values into trading or available-for-sale categories and require equity securities to be measured at fair value with changes in the fair value recognized through net income, (2) allow equity investments that do not have readily determinable fair values to be remeasured at fair value either upon the occurrence of an observable price change or upon identification of an impairment, (3) require assessment for impairment of equity investments without readily determinable fair values qualitatively at each reporting period, (4) eliminate the requirement to disclose the methods and significant assumptions used in calculating the fair value of financial instruments required to be disclosed for financial instruments measured at amortized cost on the balance sheet, (5) require public business entities to use the exit price notion when measuring the fair value of financial instruments for disclosure purposes, (6) require separate presentation of financial assets and financial liabilities by measurement category and form of financial asset (that is, securities or loans and receivables) on the balance sheet or the accompanying notes to the financial statements, (7) clarify that an entity should evaluate the need for a valuation allowance on a deferred tax asset related to available-for-sale securities in combination with the entity’s other deferred tax assets. This ASU was effective beginning January 1, 2018. Since then, the Company has recognized any changes in the fair value of certain equity investments in net income as prescribed by the new standard rather than in other comprehensive income. The Company recognized a cumulative effect adjustment to increase the opening balance of retained earnings as of January 1, 2018 by $41.4 million, net of $12.3 million income tax benefit. Refer to Note 5 for additional disclosures required by this ASU.
F-92
In February 2016, the FASB issued ASU No. 2016-02, Leases. The amendments in this Update require a lessee to recognize in the statement of financial position a liability to make lease payments (the lease liability) and a right-of-use asset representing its right to use the underlying asset for the lease term for all leases with terms greater than twelve months. For leases less than twelve months, an entity is permitted to make an accounting policy election by class of underlying asset not to recognize lease assets and lease liabilities. If a lessee makes this election, it should recognize lease expense for such leases generally on a straight-line basis over the lease term. The amendments in this Update are effective for the Company for fiscal years beginning after December 15, 2018, including interim periods within those years, with early adoption permitted. Additionally, in July 2018, the FASB issued ASU No. 2018-11, Leases (Topic 842): Targeted Improvements and ASU No. 2018-10 Codification Improvements to Topic 842, Leases with certain targeted changes and improvements to previously issued lease accounting standard. The Company recognized operating lease liabilities of approximately $3.2 million and a right-of-use asset of approximately $2.9 million, derecognized deferred rent of approximately $286,000 and recognized the cumulative effect adjustment to increase the opening balance of accumulated deficit as of January 1, 2019 by approximately $29,000. We did not restate any financial information prior to January 1, 2019. Refer to Note 9 for additional disclosures required by this ASU.
In April 2016, the FASB issued ASU 2016-10, Revenue from Contracts with Customers (Topic 606): Identifying Performance Obligations and Licensing (“ASU 2016-10”). The amendments in ASU 2016-10 clarify identification of performance obligations and licensing implementation. The amendments do not change the core principle of the guidance in Topic 606. The effective date and transition requirements for the amendments are the same as the effective date and transition requirements in Topic 606: For public companies, this Update is effective for annual periods, including interim periods within those annual periods, beginning after December 15, 2017. The Company adopted the new revenue standard as of January 1, 2018 using the modified retrospective transition method. The adoption of ASU 2016-10 did not have a material impact on the Company’s consolidated financial statements; however, adoption did result in significant changes to the Company’s financial statement notes.
In July 2017, the FASB issued ASU No. 2017-11, Earnings Per Share (Topic 260) Distinguishing Liabilities from Equity (Topic 480) Derivatives and Hedging (Topic 815): I. Accounting for Certain Financial Instruments with Down Round Features, II. Replacement of the Indefinite Deferral for Mandatorily Redeemable Financial Instruments of Certain Nonpublic Entities and Certain Mandatorily Redeemable Noncontrolling Interests with a Scope Exception (“ASU 2017-11”). The amendments in this guidance intended to reduce the complexity associated with the issuer’s accounting for certain financial instruments with characteristics of liabilities and equity. Specifically, the Board determined that a down round feature (as defined) would no longer cause a freestanding equity-linked financial instrument (or an embedded conversion option) to be accounted for as a derivative liability at fair value with changes in fair value recognized in current earnings. In addition, the Board re-characterized the indefinite deferral of certain provisions of Topic 480 to a scope exception. The re-characterization has no accounting effect. Down round features will no longer cause freestanding equity-linked financial instruments and embedded conversion options to be considered “not indexed to an entity’s own stock.” ASU 2017-11 is effective for public business entities for fiscal year beginning after December 15, 2018. All others have an additional year. Early adoption is permitted for all entities, including in an interim period. Entities may use the retrospective or modified retrospective transition method. The Company early adopted this ASU without a material impact on previously recorded balances on its consolidated financial statements.
In February 2018, the FASB issued ASU No. 2018-02, Income Statement – Reporting Comprehensive Income (Topic 220): Reclassification of Certain Tax Effects from Accumulated Other Comprehensive Income (“ASU 2018-02”). ASU 2018-02 allows a reclassification from accumulated other comprehensive income to retained earnings for stranded tax effects resulting from the Tax Cuts and Jobs Act. Consequently, the amendments eliminate the stranded tax effects resulting from the Tax Cuts and Jobs Act and will improve the usefulness of information reported to financial statement users. However, because the amendments only relate to the reclassification of the income tax effects of the Tax Cuts and Jobs Act, the underlying guidance that requires that the effect of a change in tax laws or rates be included in income from continuing operations is not affected. ASU 2018-02 also requires certain disclosures about stranded tax effects. ASU 2018-02 is effective for all entities for fiscal years beginning after December 15, 2018, and interim periods within those fiscal years, with early adoption permitted. ASU 2018-02 should be applied either in the period of adoption or retrospectively to each period (or periods) in which the effect of the change in the U.S. federal corporate income tax rate in the Tax Cuts and Jobs Act is recognized. The adoption of ASU 2018-02 does not have a material impact on the Company’s consolidated financial statements.
F-93
In February 2018, the FASB issued ASU No. 2018-03, Technical Corrections and Improvements to Financial Instruments—Overall (Subtopic 825-10): Recognition and Measurement of Financial Assets and Financial Liabilities (“ASU 2018-03”). The amendments in ASU 2018-03 (1) clarify that an entity measuring an equity security using the measurement alternative may change its measurement approach to a fair value method in accordance with Topic 820, Fair Value Measurement, through an irrevocable election that would apply to that security and all identical or similar investments of the same issuer, (2) clarify that the adjustments made under the measurement alternative are intended to reflect the fair value of the security as of the date that the observable transaction for a similar security took place, (3) clarify that remeasuring the entire value of forward contracts and purchased options is required when observable transactions occur on the underlying equity securities, (4) clarify that when the fair value option is elected for a financial liability, the guidance in paragraph 825-10- 45-5 should be applied, regardless of whether the fair value option was elected under either Subtopic 815-15, Derivatives and Hedging— Embedded Derivatives, or 825- 10, Financial Instruments— Overall, (5) clarify that for financial liabilities for which the fair value option is elected, the amount of change in fair value that relates to the instrument specific credit risk should first be measured in the currency of denomination when presented separately from the total change in fair value of the financial liability, and then both components of the change in the fair value of the liability should be remeasured into the functional currency of the reporting entity using end-of-period spot rates, (6) clarify that the prospective transition approach for equity securities without a readily determinable fair value in the amendments in ASU 2016-01 is meant only for instances in which the measurement alternative is applied. For public business entities, ASU 2018-03 is effective for fiscal years beginning after December 15, 2017, and interim periods within those fiscal years beginning after June 15, 2018. Public business entities with fiscal years beginning between December 15, 2017, and June 15, 2018, are not required to adopt these amendments until the interim period beginning after June 15, 2018, and public business entities with fiscal years beginning between June 15, 2018, and December 15, 2018, are not required to adopt these amendments before adopting the amendments in ASU 2016-01. The impact of the adoption of the amendments in ASU 2018-03 depends on the amount of equity securities and financial instruments subject to the amendments in this Update held by the Company at the time of adoption. The adoption of ASU 2018-03 did not have a material impact on the Company’s consolidated financial statements.
In June 2018, the FASB issued ASU No. 2018-07, Compensation – Stock Compensation (Topic 718): Improvements to Nonemployee Share-Based Payment Accounting (“ASU 2018-07”), which supersedes ASC 505-05 and expands the scope of ASC 718 to include all share-based payment arranges related to the acquisition of goods and services from both nonemployees and employee. As a result, most of the guidance in ASC 718 associated with employee share-based payments, including most of its requirements related to classification and measurement, applies to nonemployee share-based payment arrangements. ASC 2018-07 is effective for all entities for fiscal year beginning after December 15, 2018, and interim periods within those fiscal year, with early adoption permitting but no earlier than the date on which an entity adopts ASC 606. The adoption of ASU 20218-07 did not have a material impact on the Company’s consolidated financial statements.
In August 2018, the FASB issued ASU No. 2018-13, Fair Value Measurement (Topic 820): Disclosure Framework – Changes to the Disclosure Requirements for Fair Value Measurement (“ASU 2018-13”), which changes the fair value measurement disclosure requirements of ASC 820. The amendments in ASU 22018-13 remove some disclosures, modify others, and add some new disclosure requirements. The amendments in this ASU are effective for all entities for fiscal years, and interim period within those fiscal years, beginning after December 15, 2019 with early adoption permitted. The Company is currently assessing the impact the adoption of ASU 2018-13 will have on its consolidated financial statements and accompanying footnote disclosures.
In October 2018, the FASB issued ASU 2018-17, Consolidation (Topic 810) Targeted Improvements to Related Party guidance for Variable Interest Entities (“ASU 2018-17”), which amends two aspects of the related-party guidance in ASC 810. Specifically, ASU2018-17 (1) adds an elective private-company scope exception to the variable interest entity guidance for entities under common control and (2) removes a sentence in ASC 810-10-55-37D regarding the evaluation of fees paid to decision makers to conform with the amendments in ASU 2016-17, Interest Held Through Related Parties That Are Under Common Control. The amendments in ASU 2018-17 are effective for fiscal years beginning after December 15, 2019, and interim periods within those fiscal years. The Company does not expect the adoption of ASU 2018-17 to have a material impact on its consolidated financial statements.
F-94
NOTE 3 — REVENUES
Revenues disaggregated by category were as follows (in thousands):
| Three months ended | ||||||||
| March 31,
2019 | March 31,
2018 | |||||||
| Endari | $ | 5,787 | $ | 720 | ||||
| Other | 105 | 102 | ||||||
| Gross sales | 5,892 | 822 | ||||||
| Less: discounts and allowances | ||||||||
| Endari | (585 | ) | (30 | ) | ||||
| Other | — | (11 | ) | |||||
| Total | $ | 5,307 | $ | 781 | ||||
The following table summarizes the revenue allowance and accrual activities for the three months ended March 31, 2019 (in thousands):
| Trade Discounts, Allowances and Chargebacks | Government Rebates and Other Incentives | Returns | Total | |||||||||||||
| Balance as of December 31, 2018 | $ | 303 | $ | 1,880 | $ | 181 | $ | 2,363 | ||||||||
| Provision related to sales in the current year | 293 | 729 | 54 | 1,076 | ||||||||||||
| Adjustments related prior period sales | — | (600 | ) | — | (600 | ) | ||||||||||
| Credit and payments made | (316 | ) | (568 | ) | — | (884 | ) | |||||||||
| Balance as of March 31, 2019 | $ | 279 | $ | 1,441 | $ | 235 | $ | 1,955 | ||||||||
The following table summarizes revenues attributable to each of our customers who accounted for 10% or more of our total revenues (as a percentage of total revenues):
| Three months ended | ||||||||
| March 31,
2019 | March 31,
2018 | |||||||
| AmerisourceBergen Specialty Group | 60 | % | 88 | % | ||||
| McKesson Plasma and Biologics LLC | 17 | % | — | |||||
NOTE 4 — PROPERTY AND EQUIPMENT
Property and equipment consisted of the following (in thousands):
| March 31, 2019 | December 31, 2018 | |||||||
| Equipment | $ | 306 | $ | 306 | ||||
| Leasehold improvements | 71 | 70 | ||||||
| Furniture and fixtures | 79 | 79 | ||||||
| Total property and equipment | 456 | 455 | ||||||
| Less: accumulated depreciation | (317 | ) | (303 | ) | ||||
| Total depreciable assets | 139 | 152 | ||||||
| Construction-in-progress | 14 | — | ||||||
| Property and equipment, net | $ | 153 | $ | 152 | ||||
During the three months ended March 31, 2019 and 2018, depreciation expense was approximately $14,000 and $13,000, respectively.
F-95
NOTE 5 — INVESTMENTS
Equity Securities—Effective January 1, 2018, the Company adopted ASU 2016-01 which requires the Company to measure all equity investments that do not result in consolidation and are not accounted for under the equity method at fair value and recognize in earnings any changes in such fair value. The Company uses quoted market prices to determine the fair value of equity securities with readily determinable fair values. For equity securities without readily determinable fair values, the Company has elected the measurement alternative under which the Company measures these investments at cost minus impairment, if any, plus or minus changes resulting from observable price changes in orderly transactions for the identical or a similar investment of the same issuer. Management assesses each of these investments on an individual basis. Additionally, on a quarterly basis, management is required to make a qualitative assessment of whether the investment is impaired; however, the Company is not required to determine the fair value of these investments unless impairment indicators existed. When impairment indicators exist, the Company generally uses discounted cash flow analyses to determine the fair value. For the three months ended March 31, 2019 and the year ended December 31, 2018, the Company did not recognize any fair value adjustments for equity securities without readily determinable fair values. The Company recognized a cumulative effect adjustment of $41.4 million, net of $12.3 million income tax benefit, to increase the opening balance of retained earnings with an offset to accumulated other comprehensive income as of January 1, 2018, in connection with the adoption of ASU 2016-01.
At March 31, 2019 and December 31, 2018, the carrying values of equity securities were included in the following line items in our consolidated balance sheets (in thousands):
| March 31, 2019 | December 31, 2018 | |||||||||||||||
| Fair Value with Changes Recognized in Income | Measurement Alternative - No Readily Determinable Fair Value | Fair Value with Changes Recognized in Income | Measurement Alternative - No Readily Determinable Fair Value | |||||||||||||
| Marketable securities | $ | 43,124 | $ | — | $ | 49,581 | $ | — | ||||||||
| Long-term investment at cost | — | 527 | — | 538 | ||||||||||||
| Total equity securities | $ | 43,124 | $ | 527 | $ | 49,581 | $ | 538 | ||||||||
Net realized losses on available-for-sales on marketable securities still held at March 31, 2019 was approximately $ 6.5 million and net realized gain on available-for sales on marketable securities still held at March 31, 2018 was approximately $ 5.5 million.
NOTE 6 — ACCOUNTS PAYABLE AND ACCRUED EXPENSES
At March 31, 2019 and December 31, 2018, accounts payable and accrued expenses consisted of the following (in thousands):
| March
31, 2019 | December 31,
2018 | |||||||
| Accounts payable: | ||||||||
| Clinical and regulatory expenses | $ | 356 | $ | 83 | ||||
| Professional fee | 1,961 | 2,157 | ||||||
| Selling expenses | 421 | 382 | ||||||
| Manufacturing costs | 1,756 | — | ||||||
| Other vendors | 692 | 980 | ||||||
| Total accounts payable | 5,186 | 3,602 | ||||||
| Accrued interest payable, related parties | 1,217 | 842 | ||||||
| Accrued interest payable | 2,306 | 2,138 | ||||||
| Accrued expenses: | ||||||||
| Payroll expenses | 796 | 713 | ||||||
| Accrued rebates | 1,441 | 1,744 | ||||||
| Other accrued expenses | 122 | 83 | ||||||
| Total accrued expenses | 2,359 | 2,540 | ||||||
| Total accounts payable and accrued expenses | $ | 11,068 | $ | 9,122 | ||||
F-96
NOTE 7 — NOTES PAYABLE
Notes payable consisted of the following at March 31, 2019 and December 31, 2018 (in thousands):
Year Issued | Interest Rate Range | Term of Notes | Conversion Price | Principal
Outstanding March 31, 2019 | Discount
Amount March 31, 2019 | Carrying
Amount March 31, 2019 | Shares
Underlying Notes March 31, 2019 | Principal
Outstanding December 31, 2018 | Discount
Amount December 31, 2018 | Carrying
Amount December 31, 2018 | Shares
Underlying Notes December 31, 2018 | |||||||||||||||||||||||||||||||||
| Notes payable | ||||||||||||||||||||||||||||||||||||||||||||
| 2013 | 10% | Due on demand | — | $ | 902 | $ | — | $ | 902 | — | $ | 909 | $ | — | $ | 909 | — | |||||||||||||||||||||||||||
| 2015 | 10% | Due on demand | — | 10 | — | 10 | — | 10 | — | 10 | — | |||||||||||||||||||||||||||||||||
| 2016 | 10% - 11% | Due on demand | — | 843 | — | 843 | — | 843 | — | 843 | — | |||||||||||||||||||||||||||||||||
| 2017 | 5% - 11% | Due on demand | — | 1,951 | — | 1,951 | — | 2,575 | — | 2,575 | — | |||||||||||||||||||||||||||||||||
| 2018 | 10% - 11% | Due on demand- 18 months | — | 12,311 | 7,847 | 4,464 | — | 12,311 | 9,233 | 3,078 | — | |||||||||||||||||||||||||||||||||
| 2019 | 11% | Due on demand | — | 752 | — | 752 | — | — | — | — | — | |||||||||||||||||||||||||||||||||
| $ | 16,769 | $ | 7,847 | $ | 8,922 | — | $ | 16,648 | $ | 9,233 | $ | 7,415 | — | |||||||||||||||||||||||||||||||
| Current | $ | 14,569 | $ | 7,569 | $ | 7,000 | — | $ | 12,449 | $ | 6,054 | $ | 6,394 | — | ||||||||||||||||||||||||||||||
| Non-current | $ | 2,200 | $ | 278 | $ | 1,922 | — | $ | 4,200 | $ | 3,179 | $ | 1,021 | — | ||||||||||||||||||||||||||||||
| Notes payable - related party | ||||||||||||||||||||||||||||||||||||||||||||
| 2016 | 10% | Due on demand | — | 270 | — | 270 | — | 270 | — | 270 | — | |||||||||||||||||||||||||||||||||
| 2017 | 10% | Due on demand | — | 27 | — | 27 | — | 39 | — | 39 | — | |||||||||||||||||||||||||||||||||
| 2018 | 11% | Due on demand | — | 159 | — | 159 | — | 159 | — | 159 | — | |||||||||||||||||||||||||||||||||
| 2019 | 10% | Due on demand | — | 14 | — | 14 | — | — | — | — | — | |||||||||||||||||||||||||||||||||
| $ | 470 | $ | — | $ | 470 | — | $ | 468 | $ | — | $ | 468 | — | |||||||||||||||||||||||||||||||
| Current | $ | 470 | $ | — | $ | 470 | — | $ | 468 | $ | — | $ | 468 | — | ||||||||||||||||||||||||||||||
| Non-current | $ | — | $ | — | $ | — | — | $ | — | $ | — | $ | — | — | ||||||||||||||||||||||||||||||
| Convertible notes payable | ||||||||||||||||||||||||||||||||||||||||||||
| 2011 | 10% | 5 years | $ | 3.05 | $ | 300 | $ | — | $ | 300 | 98 | $ | 300 | $ | — | $ | 300 | 98 | ||||||||||||||||||||||||||
| 2014 | 10% | Due on demand - 2 years | $3.05 - $3.60 | 522 | — | 522 | 186 | 519 | — | 519 | 184 | |||||||||||||||||||||||||||||||||
| 2016 | 10% | Due on demand - 2 years | $3.60 - $4.50 | 62 | — | 62 | 17 | 61 | — | 61 | 17 | |||||||||||||||||||||||||||||||||
| 2017 | 10% - 13.5% | Due on demand - 3 years | $3.50 - $10.31 | 1,895 | 108 | 1,787 | 618 | 2,820 | 349 | 2,471 | 899 | |||||||||||||||||||||||||||||||||
| 2018 | 6% - 10% | Due on demand - 2 years | $3.50 - $10.00 | 15,311 | 2,671 | 12,640 | 3,076 | 19,556 | 6,169 | 13,387 | 3,664 | |||||||||||||||||||||||||||||||||
| 2019 | 10% | Due on demand - 1 year | $3.50 - $4.50 | 2,039 | 1,804 | 235 | 570 | — | — | — | — | |||||||||||||||||||||||||||||||||
| $ | 20,129 | $ | 4,583 | $ | 15,546 | 4,565 | $ | 23,256 | $ | 6,518 | $ | 16,738 | 4,862 | |||||||||||||||||||||||||||||||
| Current | $ | 19,421 | $ | 4,264 | $ | 15,157 | 4,402 | $ | 16,604 | $ | 5,351 | $ | 11,253 | 3,981 | ||||||||||||||||||||||||||||||
| Non-current | $ | 708 | $ | 319 | $ | 389 | 163 | $ | 6,652 | $ | 1,167 | $ | 5,485 | 881 | ||||||||||||||||||||||||||||||
| Convertible notes payable - related party | ||||||||||||||||||||||||||||||||||||||||||||
| 2012 | 10% | Due on demand | $ | 3.30 | $ | 200 | $ | — | $ | 200 | 76 | $ | 200 | $ | — | $ | 200 | 74 | ||||||||||||||||||||||||||
| 2015 | 10% | 2 years | $ | 4.50 | 200 | — | 200 | 59 | 200 | — | 200 | 58 | ||||||||||||||||||||||||||||||||
| 2017 | 10% | 2 years | $ | 10.00 | 5,000 | 218 | 4,782 | 545 | 5,000 | 311 | 4,689 | 533 | ||||||||||||||||||||||||||||||||
| 2018 | 10% | 2 years | $ | 10.00 | 9,400 | 686 | 8,714 | 995 | 9,400 | 871 | 8,529 | 972 | ||||||||||||||||||||||||||||||||
| $ | 14,800 | $ | 904 | $ | 13,896 | 1,675 | $ | 14,800 | $ | 1,182 | $ | 13,618 | 1,637 | |||||||||||||||||||||||||||||||
| Current | $ | 14,800 | $ | 904 | $ | 13,896 | 1,675 | $ | 5,400 | $ | 311 | $ | 5,089 | 665 | ||||||||||||||||||||||||||||||
| Non-current | $ | — | $ | — | $ | — | — | $ | 9,400 | $ | 871 | $ | 8,529 | 972 | ||||||||||||||||||||||||||||||
| Total | $ | 52,168 | $ | 13,334 | $ | 38,834 | 6,240 | $ | 55,172 | $ | 16,933 | $ | 38,239 | 6,499 | ||||||||||||||||||||||||||||||
F-97
The weighted-average stated interest rates of notes payable were 10% as of each of March 31, 2019 and December 31, 2018. weighted average effective interest rates of notes payable as of March 31, 2019 and December 31, 2018 were 48% and 35% respectively, after giving effect to discounts relating to beneficial conversion features and the fair value of warrants issued in connection with these notes. The notes payable and convertible notes payable contain no restrictive financial covenants or acceleration clauses associated with a material adverse change event. The holders of the convertible notes have the option to convert their notes into Company common stock at conversion prices ranging $3.05 to $10.00 per share during the terms of the notes. Certain notes with a $4.50 or a $10.00 stated conversion price in the second year of their two-year term are subject to automatic conversion into shares of Company common stock at a conversion price equal to 80% of the initial public offering price at the time of a qualified public offering. All notes due on demand are treated as current liabilities.
During the three months ended March 31, 2019, the Company proposed to the holders of its outstanding convertible promissory notes to amend the terms thereof to provide for an automatic conversion into shares of Company common stock at their respective conversion prices immediately prior to the effective time of the proposed merger transaction with MYnd Analytics, Inc. As such, the conversion shares would be deemed outstanding immediately prior to the merger and would be converted into shares of MYnd Analytics, Inc. common stock as a result of the merger in the same manner as other outstanding shares of Company common stock based the merger “exchange ratio.” As of March 31, 2019, the holders of an aggregate of $4.8 million, or 14%, in principal amount of the outstanding convertible notes, had agreed to the amendment. See Note 12 for information regarding the amendment of additional convertible notes subsequent to March 31, 2019.
Contractual principal payments due on notes payable are as follows:
| Year Ending | ||||
| 2019 (nine months) | $ | 31,703 | ||
| 2020 | 20,465 | |||
| Total | $ | 52,168 | ||
The Company estimated the total fair value of any beneficial conversion feature and accompanying warrants in allocating the note proceeds. The proceeds allocated to the beneficial conversion feature were determined by taking the estimated fair value of shares issuable under the convertible notes less the fair value of the number of shares that would be issued if the conversion rate equaled the fair value of Company common stock as of the date of issuance (see Note 2). The fair value of the warrants issued in conjunction with notes was determined using the Binominal Monte-Carlo Cliquet Option Pricing Model with the following inputs for the year ended December 31, 2018.
| Year
ended December 31, 2018 | ||||
| Stock price | $ | 11.10 | ||
| Exercise price | $ | 11.30 | ||
| Term | 5 years | |||
| Risk-free interest rate | 3.05 | % | ||
| Expected dividend yield | — | |||
| Expected volatility | 70.0 | % | ||
With respect to the notes that included both a beneficial conversion feature and a warrant, the proceeds were allocated to the beneficial conversion feature and the warrant based on their respective pro rata fair values.
The Company did not issue any notes with warrants notes in the three months ended March 31, 2019.
F-98
NOTE 8 — STOCKHOLDERS’ DEFICIT
Private placement — On September 11, 2013, the Company issued an aggregate of 3,020,501 units at a price of $2.50 per unit (the “Private Placement”). Each unit consisted of one share of common stock and one common stock warrant for the purchase of an additional share of common stock. The aggregate purchase price for the units was approximately $7.6 million. In addition, 300,000 warrants for the purchase of a share of common stock were issued to a broker under the same terms as the Private Placement transaction (the “Broker Warrants”).
The warrants issued in the Private Placement and the Broker Warrants entitle the holders thereof to purchase, at any time on or prior to September 11, 2018, shares of common stock of the Company at an exercise price of $3.50 per share. The warrants contain non-standard anti-dilution protection and, consequently, are being accounted for as liabilities, were originally recorded at fair value, and are adjusted to fair market value each reporting period. Because the shares of common stock underlying the Private Placement warrants and Broker Warrants were not effectively registered for resale by September 11, 2014, the warrant holders have an option to exercise the warrants using a cashless exercise feature. The shares have not been registered for resale as of September 30, 2018. The availability to warrant holders of the cashless exercise feature as of September 11, 2014 caused the then-outstanding 2,225,036 Private Placement warrants and Broker Warrants with fair value of approximately $7.1 million to be reclassified from liability classified warrants to warrant derivative liabilities and to continue to be remeasured at fair value each reporting period. On June 10, 2014, certain warrant holders exercised 1,095,465 warrants issued in the Private Placement for the exercise price of $3.50 per share, resulting in the Company receiving aggregate exercise proceeds of $3.8 million and issuing 1,095,465 shares of common stock. Prior to exercise, these Private Placement warrants were accounted for at fair value as liability classified warrants. As of June 10, 2014, immediately prior to exercise, the carrying value of these Private Placement warrants was reduced to their fair value of $1.8 million, representing their intrinsic value, with this adjusted carrying value of $1.8 million being transferred to additional paid-in capital. Also on June 10, 2014, based on an offer made to holders of Private Placement warrants in connection with such exercises, the Company issued an aggregate of 1,095,465 replacement warrants to holders exercising Private Placement warrants, which replacement warrants have terms that are generally the same as the exercised warrants, including an expiration date of September 11, 2018 and an exercise price of $3.50 per share.
The replacement warrants are treated for accounting purposes as liability classified warrants, and their issuance gave rise to a $3.5 million warrant exercise inducement expense based on their fair value as of issuance as determined using a Binomial Monte-Carlo Cliquet (aka Ratchet) Option Pricing Model. Because the shares of common stock underlying the replacement warrants were not effectively registered for resale by June 10, 2015, the warrant holders have an option to exercise the warrants using a cashless exercise feature. The availability to warrant holders of the cashless exercise feature as of June 10, 2015 caused the then-outstanding 1,095,465 replacement warrants with fair value of approximately $2.5 million to be reclassified from liability classified warrants to warrant derivative liabilities and to continue to be remeasured at fair value each reporting period.
As of September 11, 2018, all of the Private Placement warrants, replacement warrants and Broker Warrants had been exercised primarily on a cashless basis or had expired.
Purchase Agreement with GPB—On December 29, 2017, the Company entered into the Purchase Agreement with GPB Debt Holdings II, LLC (“GPB”), pursuant to which the Company issued to GPB a $13 million principal amount senior secured convertible promissory note (the “GPB Note”) for an aggregate purchase price of approximately $12.5 million, which reflected a 4.0% original issue discount.
In connection with the issuance of the GPB Note, the Company also issued to GPB a warrant (the “GPB Warrant to purchase up to 240,674 of Company common stock at an exercise price of $10.80 per company share, with customary adjustments for stock splits, stock dividends and other recapitalization events and anti-dilution provisions set forth in the GPB Warrant. If the Company effects a public listing of common stock for trading on any securities market or exchange, whether through a direct listing application or merger transaction, at a price per share less than the exercise price, the exercise price will be adjusted on a one-time basis to a 10% premium to the dilutive issuance price and the number of shares issuable under the GPB Warrant will be increased on a full ratchet basis. The GPB Warrant became exercisable six months after issuance and has a term of five years after the initial exercise date.
In connection with the Purchase Agreement, the Company entered into a Registration Rights Agreement (the “Registration Rights Agreement”) pursuant to which the Company has agreed to file a registration statement with SEC relating to the offer and sale by GPB of the common stock underlying the GPB Warrant within one hundred eighty (180) days of closing of a public listing of the Company’s Common Stock for trading on any national securities exchange (excluding any over-the-counter market), whether through a direct listing application or merger transaction. The Company is required to have the registration statement become effective on the earlier of (A) the date that is two-hundred and forty (240) days following the later to occur of (i) the date of closing of the public listing or (ii) or in the event the registration statement receives a “full review” by the Commission, the date that is 300 days following the date of closing of the public listing, or (B) the date which is within three (3) business days after the date on which the Commission informs the Company (i) that the Commission will not review the registration statement or (ii) that the Company may request the acceleration of the effectiveness of the registration statement. If the Company does not timely effect such registration, it will be required to pay GPB certain late payments specified in the Registration Rights Agreement.
F-99
In February 2018, the Company prepaid the GPB Note in full. Upon such prepayment, the Purchase Agreement and the Company’s obligations under the transaction documents entered into pursuant to the Purchase Agreement terminated except for the GPB Warrant and the Registration Rights Agreement.
In October 2018, the Company sold and issued $12.2 million principal amount of debentures and warrants to purchase an aggregate of up to 1,220,000 share of the Company common stock pursuant to a securities purchase agreement dated as of September 18, 2018 among the Company and limited number of accredited investors. The net proceeds of the sale of the debentures and warrants were used to fund the Company’s loan to EJ Holdings, Inc., a variable interest entity (“VIE”) reflected in the Company’s consolidated financial statements.
The debentures bear interest at the rate of 10% per annum, payable monthly commencing November 1, 2018, and will mature on April 21, 2020. The Company will be obliged to redeem $1 million principal amount debentures monthly, commencing in May 2019, which was amended to commence in June 2019 pursuant to securities amendment agreement dated as of March 5, 2019, and to redeem the debentures in full upon a “subsequent financing” of at least $20 million, subject to certain exceptions, or in the “event of default” (as defined). The Company’s obligations under the debentures are secured by a security interest in substantially all of our assets, except for certain pledged marketable securities and are guaranteed by the U.S. subsidiaries, Emmaus Medical, Inc. and Newfield Nutrition Corporation.
The common stock purchase warrants are exercisable for five years beginning April 22, 2019 at an initial exercise price of $11.30 per share, which will be subject to reduction if we become a listed company or our common stock becomes listed or quoted on a trading market based upon the public offering price or “VWAP” of the Company common stock. The exercise price also will be subject to adjustment in certain other customary circumstances.
T.R. Winston & Company, LLC acted as placement agent in connection with the sales of the debentures and warrants pursuant to an amended and restated fee agreement with us dated October 1, 2018. In accordance with the fee agreement, the Company paid T.R. Winston a cash fee equal to 5% of the gross proceeds received from the purchasers granted T.R. Winston warrants to purchase up to 120,000 shares of the Company common stock on the same terms as the common stock purchase warrants sold to the purchasers and reimbursed T.R. Winston for certain legal fees and expenses.
Effective as of March 5, 2019, the Company entered into a securities amendment agreement with the debenture holders related warrants which provides that the securities purchase agreement among the Company and the holders of the debentures and warrants is to be amended in certain respects, and the debentures and warrants are to be amended in certain respects and restated in their entirety, immediately prior to and subject to the completion of our proposed merger transaction with MYnd Analytics, Inc. described in our Current Report on Form 8-K filed with the Securities and Exchange Commission on January 7, 2019.
Pursuant to the terms of the securities amendment agreement, (i) the debenture holders waived their right to the monthly redemption of $1,000,000 principal amount of the debentures that was due May 1, 2019 and their right to accelerate the repayment of the debentures in connection with the proposed merger transaction and (iii) the provision of the debentures requiring their mandatory redemption in connection with any “subsequent financing” was eliminated. If the merger does not occur, the securities amendment agreement will have no effect, except as described in this paragraph.
If issued in conjunction with the proposed merger transaction, the amended and restated debentures will provide that the monthly redemption of $1,000,000 principal amount thereof will commence in November 2019 and that they will mature on October 21, 2020, six months later than the current maturity date of the debentures. Unlike the debentures, the amended and restated debentures will be convertible at the option of each holder into shares of Company common stock at a conversion price of $10 a share, subject to adjustment for stock splits and other customary events. The amended and restated warrants will be exercisable for up to an aggregate of up to 1,460,000 shares of our common stock, or 240,000 more shares than are currently purchasable under the warrants, at an initial exercise price of $10.00 per share, or $1.30 less than the current exercise price of the warrants. The exercise price of the Warrants will be subject to reduction in connection with a “going public event,” which we expect to occur in conjunction with the proposed merger, based upon the public offering price if the Company completes a bona fide public offering or the “VWAP” (i.e., volume-weighted average trading price) of MYnd Analytics, Inc. (which will change its name to Emmaus Life Sciences, Inc. in conjunction with the merger) common stock at the time of the merger. The exercise price of the amended and restated warrants also will be subject to reduction pursuant to a “full-ratchet” exercise-price anti-dilution adjustment in the event of a sale or issuance of common stock or common stock equivalents within 60 days following the merger at an effective price per share below the exercise price of the amended and restated warrants. The exercise price also will be subject to adjustment for stock splits and other customary events. The amended and restated debentures and amended and restated warrants will be assumed by the ongoing company following the proposed merger and become convertible and exercisable for the number of shares of common stock of the ongoing company and at a conversion price and exercise price based upon the “exchange ratio” in the merger.
F-100
The original securities purchase agreement entitles the holders of the warrants to registration rights with respect to the shares issuable upon exercise of the warrants. The securities amendment agreement extends the same rights to the shares issuable upon conversion of the amended and restated debentures, as well.
A summary of outstanding warrants as of March 31, 2019 and December 31, 2018 is presented below:
| Three Months Ended | Year Ended | |||||||
| March
31, 2019 | December 31,
2018 | |||||||
| Warrants outstanding, beginning of period | 3,436,431 | 5,265,432 | ||||||
| Granted | — | 1,542,000 | ||||||
| Exercised | (500 | ) | (2,385,317 | ) | ||||
| Cancelled, forfeited and expired | — | (985,684 | ) | |||||
| Warrants outstanding, end of period | 3,435,931 | 3,436,431 | ||||||
A summary of outstanding warrants by year issued and exercise price as of March 31, 2019 is presented below:
| Outstanding | Exercisable | |||||||||||||||||||||||
| Year issued and Exercise Price | Number of Warrants Issued | Weighted Average Remaining Contractual Life (Years) | Weighted Average Exercise Price | Total | Weighted Average Exercise Price | |||||||||||||||||||
| At December 31, 2014 | ||||||||||||||||||||||||
| $ | 3.50 | 50,000 | 0.08 | $ | 3.50 | 50,000 | $ | 3.50 | ||||||||||||||||
| 2014 Total | 50,000 | 50,000 | ||||||||||||||||||||||
| At December 31, 2015 | ||||||||||||||||||||||||
| $ | 4.90 | 110,417 | 0.93 | $ | 4.90 | 110,417 | $ | 4.90 | ||||||||||||||||
| 2015 Total | 110,417 | 110,417 | ||||||||||||||||||||||
| At December 31, 2016 | ||||||||||||||||||||||||
| $ | 4.50 | 118,750 | 2.25 | $ | 4.50 | 118,750 | $ | 4.50 | ||||||||||||||||
| $ | 4.70 | 75,000 | 2.09 | $ | 4.70 | 75,000 | $ | 4.70 | ||||||||||||||||
| $ | 5.00 | 1,300,000 | 2.11 | $ | 5.00 | 1,300,000 | $ | 5.00 | ||||||||||||||||
| 2016 Total | 1,493,750 | 1,493,750 | ||||||||||||||||||||||
| At December 31, 2017 | ||||||||||||||||||||||||
| $ | 10.80 | 240,764 | 4.25 | $ | 10.80 | 240,764 | $ | 10.80 | ||||||||||||||||
| 2017 Total | 240,764 | 240,764 | ||||||||||||||||||||||
| At December 31, 2018 | ||||||||||||||||||||||||
| $ | 11.30 | 1,541,000 | 4.54 | $ | 11.30 | 1,541,000 | $ | 11.30 | ||||||||||||||||
| 2018 Total | 1,541,000 | 1,541,000 | ||||||||||||||||||||||
| At March 31, 2019 | Total | 3,435,931 | 3,435,931 | |||||||||||||||||||||
F-101
Stock options—During the year ended December 31, 2018, the Company’s Board of Directors granted its officers, directors and employees stock options to purchase up to 357,000 shares of Company’s common stock. The options will vest and become exercisable with respect to the underlying shares as follows: as to one-third (1/3) of the share on the first anniversary of the grant date, and as to the remaining two-thirds (2/3) of the shares in twenty-four (24) approximately equal monthly installments over a period of two years thereafter.
Summaries of outstanding stock options as of March 31, 2019 and December 31, 2018 are presented below.
| March
31, 2019 | December 31,
2018 | |||||||||||||||
Number of Options | Weighted- Average Exercise Price | Number of Options | Weighted- Average Exercise Price | |||||||||||||
| Options outstanding, beginning of period | 6,642,200 | $ | 4.40 | 6,775,200 | $ | 4.12 | ||||||||||
| Granted or deemed issued | — | $ | — | 357,000 | $ | 11.28 | ||||||||||
| Exercised | (200 | ) | $ | 5.00 | (170,000 | ) | $ | 4.59 | ||||||||
| Cancelled, forfeited and expired | — | $ | — | (320,000 | ) | $ | 6.06 | |||||||||
| Options outstanding, end of period | 6,642,000 | $ | 4.40 | 6,642,200 | $ | 4.40 | ||||||||||
| Options exercisable, end of period | 6,153,778 | $ | 4.01 | 5,958,783 | $ | 3.87 | ||||||||||
| Options available for future grant | 2,358,000 | 2,357,800 | ||||||||||||||
During the three months ended March 31, 2019 and 2018, the Company recognized approximately $0.5 million and $0.7 million, respectively, of share-based compensation expense arising from stock options. As of March 31, 2019, there was approximately $2.1 million of total unrecognized compensation expense related to unvested share-based compensation arrangements granted under the Company’s 2011 Stock Incentive Plan. That expense is expected to be recognized over the weighted-average remaining period of 2.2 years.
Registration rights— See Note 8 regarding registration rights relating to shares of Company common stock underlying warrant issued to GPB on December 29, 2017.
Korean Private Placement — On September 12, 2016, the Company entered into Letter of Agreement with KPM and Hanil, both Korean-based public companies whose shares are listed on KOSDAQ, a trading board of Korea Exchange in South Korea. In the Letter of Agreement, the parties agreed that KPM and Hanil would purchase $17.0 million and $3.0 million, respectively, of shares of the Company’s common stock at a price of $4.50 per share. In exchange, the Company agreed to invest $13.0 million and $1.0 million in future capital increases by KPM and Hanil, respectively, at prices based upon the trading prices of KPM and Hanil shares on KOSDAQ. In connection with the Letter of Agreement, KPM and Hanil entered into the Company’s standard form subscription agreement with respect to their purchase of shares which contains customary representations and warranties of the parties.
On September 29, 2016, KPM and Hanil purchased from the Company 3,777,778 shares and 666,667 shares, respectively, of common stock at a price of $4.50 a share for $17 million and $3 million, respectively, or a total of $20.0 million. The Company recognized $720,000 as a reduction to its additional paid-in-capital for fees and commissions paid by the Company in connection with the transaction.
The Company invested $13.0 million and $1.0 million in capital increases by KPM and Hanil, respectively, at $15.32 and $3.68, respectively, per capital share.
NOTE 9 — LEASES
Operating leases — The Company leases its office space under operating leases with unrelated entities.
We lease 13,734 square feet of office space for our headquarters in Torrance, California, at a base rental of $48,087 per month. In December 2018, we have entered into an amended lease to expand our headquarter by an additional 7,559 square feet commencing June 1, 2019. The base monthly rent for this additional space of $27,590 will be payable commencing January 1, 2020. The amended lease will expire on May 31, 2026. We also lease an additional 1,600 square feet office space in Torrance, California, at a base rent of $2,240 per month and 2,986 square feet office space in New York, New York, at a base rent of $5,500, which leases will expire on January 31, 2020 and December 30, 2019, respectively.
F-102
In addition, we lease 1,322 square feet of office space in Tokyo, Japan, which the lease will expire on September 30, 2020.
Rent expense during the three months ended March 31, 2019 and 2018 amounted to approximately $201,000 and $124,000, respectively.
Future minimum lease payments under the agreements were as follows as of March 31, 2019 (in thousands):
| Amount | ||||
| 2019 (nine months) | 547 | |||
| 2020 | 980 | |||
| 2021 | 975 | |||
| 2022 | 1,003 | |||
| 2023 and thereafter | 3,665 | |||
| Total lease payments | 7,170 | |||
| Less: Interest | 4,010 | |||
| Present value of lease liabilities | 3,160 | |||
The weighted average remaining lease term is 6.9 years and the weighted average discount rate is 13.8%.
NOTE 10 — COMMITMENTS AND CONTINGENCIES
Management Control Acquisition Agreement — On June 12, 2017, the Company entered into a Management Control Acquisition Agreement (the “MCAA”) with Telcon Holdings, Inc., a Korean corporation, and Telcon Inc., a Korean-based public company whose shares are listed on KOSDAQ, a trading board of Korea Exchange in South Korea. In accordance with the MCAA, the Company invested the ₩36.0 billion KRW (approximately $31.8 million USD) proceeds from the advance payment by Telcon Inc. under the API Supply Agreement discussed below to purchase 6,643,559 shares of Telcon Inc.’s common shares at a purchase price of ₩5,419 KRW (approximately $4.79 USD) per share.
The MCAA was amended in certain respect and supplemented by an Agreement, dated as of September 29, 2017 (the “September 2017 Agreement”), among the parties. Pursuant to the Agreement, among other things, Telcon Inc. purchased 4,444,445 shares of Company common stock from KPM and Hanil at a price of $6.60 per share.
On July 2, 2018, the Company entered into an Additional Agreement with Evercore Investment Holdings Co., Ltd. (formerly Telcon Holdings Co., Ltd.) (“Evercore”) and Telcon RF Pharmaceutical Inc. (formerly Telcon Inc.). In the Additional Agreement, the Company agreed to use the proceeds from any sales of the Company’s KPM shares to repurchase shares of Company common stock from Telcon RF Pharmaceutical, Inc. at a price of $7.60 a share, subject to certain exceptions, and Telcon RF Pharmaceutical Inc. granted the Company the right to repurchase all or a portion of Telcon RF Pharmaceutical Inc.’s shares of Company common stock at a price of $7.60 a share until October 31, 2018 and at a price to be agreed upon after October 31, 2018. In the Additional Agreement, Telcon RF Pharmaceutical Inc. also granted the Company a right of first refusal until June 30, 2019 to purchase any of the Company shares that Telcon RF Pharmaceutical Inc. may wish to sell.
Raw Material Supply Agreement — On June 12, 2017, the Company entered into an API Supply Agreement with Telcon RF Pharmaceutical Inc. pursuant to which it advanced to the Company approximately ₩36.0 billion KRW (approximately $31.8 million USD) in consideration of the right to supply 25% of the Company’s requirements for bulk containers of PGLG for a term to fifteen (15) years. The amount advanced to the Company was recorded as a deferred Trade Discount. On July 12, 2017, the parties entered into a Raw Material Supply Agreement which superseded the API Supply Agreement. The Raw Material Supply Agreement is effective for a term of five (5) years with ten (10) one-year renewal periods. The Raw Material Supply Agreement will automatically renew unless terminated by either party in writing. The Raw Material Supply Agreement provides that the Company will purchase from Telcon RF Pharmaceutical Inc. 940,000 kilograms of PGLG at $50 USD per kilogram, or a total of $47.0 million. The PGLG purchased from Telcon is included in inventory at net realizable value (i.e., approximately $189 per kilogram as of March 31, 2019) with the excess purchase price being recorded as a charge against the deferred Trade Discount.
F-103
NOTE 11 — RELATED PARTY TRANSACTIONS
The following table sets forth information relating to our loans from related persons outstanding or at any time during the three months ended March 31, 2019 (in thousands):
| Class | Lender | Interest Rate | Date of Loan | Term of Loan | Principal Amount Outstanding at March 31, 2019 | Highest Principal Outstanding | Amount of Principal Repaid or Converted into Stock | Amount of Interest Paid | Conversion Rate | Shares Underlying Notes March 31, 2019 | ||||||||||||||||||||||||||
| Current, Promissory note payable to related parties: | ||||||||||||||||||||||||||||||||||||
| Lan T. Tran (2) | 10 | % | 4/29/2016 | Due on Demand | 20 | 20 | — | — | — | — | ||||||||||||||||||||||||||
| Hope Hospice (1) | 10 | % | 6/3/2016 | Due on Demand | 250 | 250 | — | — | — | — | ||||||||||||||||||||||||||
| Lan T. Tran (2) | 10 | % | 2/9/2017 | Due on Demand | — | 12 | — | — | — | — | ||||||||||||||||||||||||||
| Yutaka Niihara (2)(3) | 10 | % | 9/14/2017 | Due on Demand | 27 | 904 | — | — | — | — | ||||||||||||||||||||||||||
| Lan T. Tran (2) | 10 | % | 2/10/2018 | Due on Demand | 159 | 159 | — | — | — | — | ||||||||||||||||||||||||||
| Lan T. Tran (2) | 10 | % | 2/9/2019 | Due on Demand | 14 | 14 | — | — | — | — | ||||||||||||||||||||||||||
| Subtotal | $ | 470 | $ | 1,359 | $ | — | $ | — | — | |||||||||||||||||||||||||||
| Current, Convertible notes payable to related parties: | ||||||||||||||||||||||||||||||||||||
| Yasushi Nagasaki (2) | 10 | % | 6/29/2012 | Due on Demand | $ | 200 | $ | 200 | $ | — | $ | — | $ | 3.30 | 76 | |||||||||||||||||||||
| Yutaka & Soomi Niihara (2)(3) | 10 | % | 11/16/2015 | 2 years | 200 | 200 | — | — | $ | 4.50 | 59 | |||||||||||||||||||||||||
| Wei Peu Zen (3) | 10 | % | 11/6/2017 | 2 years | 5,000 | 5,000 | — | 250 | $ | 10.00 | 545 | |||||||||||||||||||||||||
| Profit Preview International Group, Ltd. (4) | 10 | % | 2/1/2018 | 2 years | 4,037 | 4,037 | — | 202 | $ | 10.00 | 430 | |||||||||||||||||||||||||
| Profit Preview International Group, Ltd. (4) | 10 | % | 3/21/2018 | 2 years | 5,363 | 5,363 | — | 268 | $ | 10.00 | 565 | |||||||||||||||||||||||||
| Subtotal | $ | 14,800 | $ | 14,800 | $ | — | $ | — | 1,675 | |||||||||||||||||||||||||||
| Total | $ | 15,270 | $ | 16,159 | $ | — | $ | — | 1,675 | |||||||||||||||||||||||||||
| (1) | Dr. Niihara, a Director and Chief Executive Officer of the Company, is also the Chief Executive Officer of Hope Hospice. |
| (2) | Officer. |
| (3) | Director. |
| (4) | Mr. Zen, a Director of the Company, is the sole owner of Profit Preview International Group, Ltd. |
F-104
The following table sets forth information relating to our loans from related persons outstanding at any time during the year ended December 31, 2018:
| Class | Lender | Interest Rate | Date of Loan | Term of Loan | Principal Amount Outstanding at December 31, 2018 | Highest Principal Outstanding | Amount of Principal Repaid or Converted into Stock | Amount of Interest Paid | Conversion Rate | Shares Underlying Notes December 31, 2018 | ||||||||||||||||||||||||||
| Current, Promissory note payable to related parties: | ||||||||||||||||||||||||||||||||||||
| Masaharu & Emiko Osato (3) | 11 | % | 12/29/2015 | Due on Demand | $ | — | $ | 300 | $ | 300 | $ | 76 | — | — | ||||||||||||||||||||||
| Lan T. Tran (2) | 11 | % | 2/10/2016 | Due on Demand | — | 131 | 131 | 29 | — | — | ||||||||||||||||||||||||||
| Masaharu & Emiko Osato (3) | 11 | % | 2/25/2016 | Due on Demand | — | 400 | 400 | 94 | — | — | ||||||||||||||||||||||||||
| Lan T. Tran (2) | 10 | % | 4/29/2016 | Due on Demand | 20 | 20 | — | — | — | — | ||||||||||||||||||||||||||
| Hope Hospice (1) | 10 | % | 6/3/2016 | Due on Demand | 250 | 250 | — | — | — | — | ||||||||||||||||||||||||||
| Lan T. Tran (2) | 10 | % | 2/9/2017 | Due on Demand | 12 | 12 | — | — | — | — | ||||||||||||||||||||||||||
| Yutaka Niihara (2)(3) | 10 | % | 9/14/2017 | Due on Demand | 27 | 904 | 877 | 95 | — | — | ||||||||||||||||||||||||||
| Lan T. Tran (2) | 11 | % | 2/10/2018 | Due on Demand | 159 | 159 | — | — | — | — | ||||||||||||||||||||||||||
| Subtotal | $ | 468 | $ | 2,176 | $ | 1,708 | $ | 294 | — | |||||||||||||||||||||||||||
| Current, Convertible notes payable to related parties: | ||||||||||||||||||||||||||||||||||||
| Yasushi Nagasaki (2) | 10 | % | 6/29/2012 | Due on Demand | 200 | 200 | — | — | $ | 3.30 | 74 | |||||||||||||||||||||||||
| Yutaka & Soomi Niihara (2)(3) | 10 | % | 11/16/2015 | 2 years | 200 | 200 | — | — | $ | 4.50 | 58 | |||||||||||||||||||||||||
| Wei Peu Zen (3) | 10 | % | 11/6/2017 | 2 years | 5,000 | 5,000 | — | 250 | $ | 10.00 | 533 | |||||||||||||||||||||||||
| Subtotal | $ | 5,400 | $ | 5,400 | $ | — | $ | 250 | 665 | |||||||||||||||||||||||||||
| Non Current, Convertible notes payable to related parties: | ||||||||||||||||||||||||||||||||||||
| Profit Preview International Group, Ltd. (4) | 10 | % | 2/1/2018 | 2 years | 4,037 | 4,037 | — | 202 | $ | 10.00 | 420 | |||||||||||||||||||||||||
| Profit Preview International Group, Ltd. (4) | 10 | % | 3/21/2018 | 2 years | 5,363 | 5,363 | — | 268 | $ | 10.00 | 552 | |||||||||||||||||||||||||
| Subtotal | $ | 9,400 | $ | 9,400 | $ | — | $ | 470 | 972 | |||||||||||||||||||||||||||
| Total | $ | 15,268 | $ | 16,976 | $ | 1,708 | $ | 1,014 | 1,637 | |||||||||||||||||||||||||||
| (1) | Dr. Niihara, a Director and Chief Executive Officer of the Company, is also the Chief Executive Officer of Hope Hospice. |
| (2) | Officer |
| (3) | Director |
| (4) | Mr. Zen, a Director of the Company, is the sole owner of Profit Preview International Group, Ltd. |
F-105
NOTE 12 — SUBSEQUENT EVENTS
As discussed in Note 7, as of March 31, 2019 the Company had entered into amendments with the holders of an aggregate of $4.8 million, or 14%, in principal amount of the Company’s outstanding convertible notes which provide that the notes will be converted automatically into shares of Company common stock at their respective conversion prices immediately prior to the effective time of the proposed merger transaction with MYnd Analytics, Inc. As such, the conversion shares would be deemed outstanding immediately prior to the merger and would be converted into shares of MYnd Analytics, Inc. common stock as a result of the merger in the same manner as other outstanding shares of Company common stock based the merger “exchange ratio.” As of May 14, 2019, the holders of a total of an additional $4.2 million, or 12%, in principal amount of the outstanding convertible notes had also agreed to the amendment. The Company intends to continue discussions regarding the same or similar amendments with the holders of the remaining outstanding convertible notes. There is no assurance that the Company will be able to do so on the same terms, or at all.
Subsequent to March 31, 2019, the Company issued the following:
| Amounts | Number of Shares Issued | |||||||
| Common shares | $ | 711,550 | 103,590 | |||||
F-106
INDEX TO UNAUDITED PRO FORMA CONDENSED FINANCIAL STATEMENTS
F-107
UNAUDITED PRO FORMA CONDENSED COMBINED FINANCIAL STATEMENTS
The following unaudited pro forma condensed combined financial statements present the pro forma financial position and results of operations of (1) MYnd based on the historical consolidated financial statements of MYnd after giving effect to the Spin-Off and (2) the combined company based on the historical consolidated financial statements of MYnd and Emmaus after giving effect to the Spin-Off and the Merger. The following information does not give effect to the proposed Reverse Stock Split described in the section “Reverse Split,” beginning on Page [●] of this joint proxy statement/prospectus.
MYnd has preliminarily concluded that the Merger will be accounted for as a reverse recapitalization transaction with Emmaus being deemed the acquiring company for accounting purposes. MYnd’s determination that Emmaus will be the accounting acquirer is based on an analysis of the criteria outlined in ASC 805 and the facts and circumstances of the Merger, including: (1) equity holders of Emmaus will own 94.1% of the common stock of the combined company on a fully-diluted basis immediately following the closing of the Merger; (2) all but one of the directors of the combined company will be designated by Emmaus under the terms of the Merger Agreement; (3) Emmaus’ management will be the management of the combined company; (4) the intention is for the conversion of 90% of the convertible debt of Emmaus concurrent with the Merger; and (5) the intention is for the Spin-Off to take place immediately before the Merger.
Because Emmaus will be the accounting acquirer in the Merger, but not the legal acquirer, the Merger is deemed a reverse recapitalization transaction under the guidance of ASC 805. As a result, upon consummation of the Merger, the historical financial statements of Emmaus will become the historical financial statements of the combined company.
The following unaudited pro forma combined condensed statements of operations for the year ended September 30, 2018 combine the historical statement of operations of MYnd for the fiscal year ended September 30, 2018 with the historical combined statement of operations of Emmaus for the twelve months ended December 31, 2018, in each case after giving effect to the Merger as if it had been consummated as of the beginning of the respective 12 month periods, October 1, 2017 and January 1, 2018. The following unaudited pro forma combined condensed statements of operations for the six months ended March 31, 2019 combine the historical statement of operations of MYnd for the six months year ended March 31, 2019 with the historical combined statement of operations of Emmaus for the six months ended March 31, 2019, in each case after giving effect to the Merger as if it had been consummated as of October 1, 2018. Other than as disclosed in the notes thereto, the unaudited pro forma combined financial statements do not reflect any additional liabilities, off-balance sheet commitments or other obligations that may become payable after the date of such financial statements.
The unaudited pro forma combined financial statements were prepared based on assumptions and adjustments that are described in the accompanying notes. The application of the acquisition method of accounting is dependent upon certain valuations and other studies that have yet to be completed. Accordingly, the pro forma adjustments reflected in the unaudited pro forma combined financial statements are preliminary and subject to revision as additional information becomes available and additional analyses are performed. Differences between the preliminary adjustments reflected in the unaudited pro forma combined financial statements and the final application of the acquisition method of accounting, which is expected to be completed as soon as practicable after the closing of the Merger, may arise and those differences could have a material impact on the actual accounting for the merger. In addition, differences between the preliminary and final adjustments will likely occur as a result of the amount of cash used in Emmaus’ operations, changes in fair value of Emmaus common stock and changes in Emmaus’ other assets or liabilities between September 30, 2018 and the closing of the Merger.
The unaudited pro forma combined financial statements do not give effect to the potential impact of current financial conditions, regulatory matters or expenses that may be associated with the integration of the two companies. The unaudited pro forma combined financial statements have been prepared for illustrative purposes only and is not necessarily indicative of the financial position or results of operations in future periods or the results that actually would have been realized had MYnd and Emmaus been a combined company during the specified period.
The unaudited pro forma combined financial statements, including
the notes thereto, should be read in conjunction with the separate historical financial statements of MYnd and Emmaus included
in this joint proxy statement/prospectus and the sections of this joint proxy statement/prospectus entitled “MYnd Management’s
Discussion and Analysis of Financial Condition and Results of Operations” and “Emmaus Management’s Discussion
and Analysis of Financial Condition and Results of Operations.”
F-108
UNAUDITED
PRO FORMA COMBINED BALANCE SHEET OF EMMAUS LIFE SCIENCES, INC.
AS OF MARCH 31, 2019
| Historical | ||||||||||||||||||
| Emmaus
Life Sciences, Inc. | MYnd Analytics, Inc. | Pro Forma Adjustments | Notes | Emmaus Combined | ||||||||||||||
| ASSETS | ||||||||||||||||||
| CURRENT ASSETS | ||||||||||||||||||
| Cash and cash equivalents | $ | 15,310,300 | $ | 1,203,200 | (1,203,200 | ) | (e) | $ | 15,310,300 | |||||||||
| Accounts receivable, net | 1,760,200 | 154,400 | (154,400 | ) | (e) | 1,760,200 | ||||||||||||
| Inventories, net | 5,794,900 | — | — | 5,794,900 | ||||||||||||||
| Investment in marketable securities | 42,872,900 | — | — | 42,872,900 | ||||||||||||||
| Marketable securities, pledged to creditor | 251,300 | — | — | 251,300 | ||||||||||||||
| Prepaid expenses and other current assets | 817,800 | 190,900 | (190,900 | ) | (e) | 817,800 | ||||||||||||
| Total current assets | 66,807,400 | 1,548,500 | (1,548,500 | ) | 66,807,400 | |||||||||||||
| Property and equipment, net | 153,400 | 87,700 | (87,700 | ) | (e) | 153,400 | ||||||||||||
| Intangible assets, net | 50,400 | 88,400 | (88,400 | ) | (e) | 50,400 | ||||||||||||
| Goodwill | — | 1,386,800 | (1,386,800 | ) | (e) | — | ||||||||||||
| Other noncurrent assets | 3,724,500 | 29,600 | (29,600 | ) | (e) | 886,500 | ||||||||||||
| (2,838,000 | ) | (f) | ||||||||||||||||
| Total assets | $ | 70,735,700 | $ | 3,141,000 | $ | (5,979,000 | ) | $ | 67,897,700 | |||||||||
| LIABILITIES AND STOCKHOLDERS’ EQUITY | ||||||||||||||||||
| CURRENT LIABILITIES | ||||||||||||||||||
| Accounts payable and accrued expenses | $ | 11,068,500 | $ | 1,747,000 | (1,747,000 | ) | (e) | $ | 9,658,800 | |||||||||
| 750,000 | (h) | |||||||||||||||||
| (2,159,700 | ) | (c) | ||||||||||||||||
| Trade discount | 5,000,000 | — | — | 5,000,000 | ||||||||||||||
| Deferred revenue | — | 152,100 | (152,100 | ) | (e) | — | ||||||||||||
| Notes payable, net | 7,000,400 | — | — | 7,000,400 | ||||||||||||||
| Notes payable to related parties, net | 470,200 | — | — | 470,200 | ||||||||||||||
| Convertible notes payable, net | 15,157,100 | — | (13,035,000 | ) | (c) | 2,122,100 | ||||||||||||
| Convertible notes payable to related parties, net | 13,896,300 | — | (11,950,600 | ) | (c) | 1,945,700 | ||||||||||||
| Other current liabilities | 898,300 | 1,400 | (1,400 | ) | (e) | 285,300 | ||||||||||||
| (613,000 | ) | (f) | ||||||||||||||||
| Total current liabilities | 53,490,800 | 1,900,500 | (28,908,800 | ) | 26,482,500 | |||||||||||||
| LONG-TERM LIABILITIES | ||||||||||||||||||
| Trade discount | 25,136,500 | — | — | 25,136,500 | ||||||||||||||
| Deferred revenue | 10,500,000 | — | — | 10,500,000 | ||||||||||||||
| Warrant derivative liabilities | 1,447,000 | — | — | 1,447,000 | ||||||||||||||
| Notes payable, net | 1,922,200 | 606,500 | (606,500 | ) | (e) | 1,922,200 | ||||||||||||
| Convertible notes payable, net | 388,700 | — | (334,500 | ) | (c) | 54,200 | ||||||||||||
| Other long-term liabilities | 2,478,400 | 121,900 | (121,900 | ) | (e) | 253,400 | ||||||||||||
| — | (2,225,000 | ) | (f) | |||||||||||||||
| Total Liabilities | 95,363,600 | 2,628,900 | (32,196,700 | ) | 65,795,800 | |||||||||||||
| STOCKHOLDERS’ EQUITY | ||||||||||||||||||
| Preferred stock—par value $0.001 per share, 15,000,000 shares authorized, 1,100,000 issued and outstanding at March 31. 2019 and none issued and outstanding on a pro forma basis | — | 1,100 | (1,100 | ) | (a) | — | ||||||||||||
| Common stock—par value $0.001 per share, 250,000,000 shares authorized, 8,936,695 shares issued and outstanding at March 31, 2019 and 218,586,975 shares outstanding on a pro forma basis | 36,000 | 8,900 | 1,100 | (a) | 42,500 | |||||||||||||
| (8,900 | ) | (e) | ||||||||||||||||
| 5,400 | (b) | |||||||||||||||||
| Additional paid-in capital | 146,344,600 | 91,895,900 | (91,895,900 | ) | (e) | 178,537,300 | ||||||||||||
| 32,192,700 | (c) | |||||||||||||||||
| Accumulated other comprehensive income (loss) | (62,200 | ) | — | — | (62,200 | ) | ||||||||||||
| Accumulated deficit | (170,863,800 | ) | (89,881,400 | ) | 89,880,300 | (e) | (176,333,200 | ) | ||||||||||
| (750,000 | ) | (h) | ||||||||||||||||
| (4,718,300 | ) | (c) | ||||||||||||||||
| Non-controlling interest | (82,500 | ) | (1,512,400 | ) | 1,512,400 | (e) | (82,500 | ) | ||||||||||
| Total stockholders’ equity (deficit) | (24,627,900 | ) | 512,100 | 26,217,700 | 2,101,900 | |||||||||||||
| Total liabilities & stockholders’ equity | $ | 70,735,700 | $ | 3,141,000 | $ | (5,979,000 | ) | $ | 67,897,700 | |||||||||
The accompanying notes are an integral part of these unaudited pro forma financial statements.
F-109
UNAUDITED
PRO FORMA COMBINED STATEMENT OF INCOME (LOSS) OF EMMAUS LIFE SCIENCES, INC.
FOR THE TWELVE MONTHS SEPTEMBER 30, 2018 FOR MYND AND TWELVE MONTHS DECEMBER 31, 2018 FOR EMMAUS
| Historical | ||||||||||||||||||
| Emmaus
Life Sciences, Inc. | MYnd Analytics, Inc. | Pro
Forma Adjustments | Notes | Emmaus Combined | ||||||||||||||
| NET SALES | 15,076,800 | $ | 1,315,500 | (1,315,500 | ) | (e) | $ | 15,076,800 | ||||||||||
| COST OF SALES | 763,500 | 827,400 | (827,400 | ) | (e) | 763,500 | ||||||||||||
| GROSS PROFIT | 14,313,300 | 488,100 | (488,100 | ) | 14,313,300 | |||||||||||||
| OPERATING EXPENSES | ||||||||||||||||||
| Research and development | 1,722,900 | 1,377,500 | (1,377,500 | ) | (e) | 1,722,900 | ||||||||||||
| Selling and marketing | 4,813,500 | 1,617,900 | (1,617,900 | ) | (e) | 4,813,500 | ||||||||||||
| General and administrative | 17,876,600 | 7,737,600 | (7,737,600 | ) | (e) | 17,876,600 | ||||||||||||
| Total operating expenses | 24,413,000 | 10,733,000 | (10,733,000 | ) | 24,413,000 | |||||||||||||
| OPERATING INCOME (LOSS) | (10,099,700 | ) | (10,244,900 | ) | 10,244,900 | (10,099,700 | ) | |||||||||||
| Other income (expense) | 738,000 | — | — | 738,000 | ||||||||||||||
| Loss on Debt extinguishment | (3,244,800 | ) | — | — | (3,244,800 | ) | ||||||||||||
| Change in fair value of warrant derivative liabilities | 20,674,000 | — | (20,674,000 | ) | (g) | — | ||||||||||||
| Change in fair value of embedded conversion option | 466,000 | — | — | 466,000 | ||||||||||||||
| Loss on investment in marketable securities | (43,977,000 | ) | — | — | (43,977,000 | ) | ||||||||||||
| Interest income (expense) | (22,593,600 | ) | (86,300 | ) | 86,300 | (e) | (5,269,800 | ) | ||||||||||
| — | — | 17,323,800 | (c) | |||||||||||||||
| Total other income (expense) | (47,937,400 | ) | (86,300 | ) | (3,263,900 | ) | (51,287,600 | ) | ||||||||||
| INCOME (LOSS) BEFORE INCOME TAXES | (58,037,100 | ) | (10,331,200 | ) | 6,981,000 | (61,387,300 | ) | |||||||||||
| INCOME TAXES | 6,200 | 1,900 | (1,900 | ) | (e) | 6,200 | ||||||||||||
| NET INCOME (LOSS) | $ | (58,043,300 | ) | $ | (10,333,100 | ) | $ | 6,982,900 | $ | (61,393,500 | ) | |||||||
| NET LOSS ATTRIBUTED TO NONCONTROLLING INTEREST | (145,700 | ) | (734,400 | ) | 734,400 | (e) | (145,700 | ) | ||||||||||
| NET LOSS ATTRIBUTED TO EMMAUS LIFE SCIENCES | (57,897,600 | ) | (9,598,700 | ) | 6,248,500 | (61,247,800 | ) | |||||||||||
| BASIC LOSS PER SHARE | $ | (1.65 | ) | $ | (1.86 | ) | (g) | $ | (0.25 | ) | ||||||||
| WEIGHTED AVERAGE SHARES OUTSTANDING - BASIC | 35,097,990 | 5,199,566 | (40,297,556 | ) | (d) | 244,886,241 | ||||||||||||
| 5,321,348 | (c) | |||||||||||||||||
| (5,321,348 | ) | (b) | ||||||||||||||||
| 239,686,675 | (d) | |||||||||||||||||
| DILUTED LOSS PER SHARE | (g) | $ | (0.24 | ) | ||||||||||||||
| WEIGHTED AVERAGE SHARES OUTSTANDING - DILUTED | 253,983,054 | |||||||||||||||||
The accompanying notes are an integral part of these unaudited pro forma financial statements.
F-110
UNAUDITED
PRO FORMA COMBINED STATEMENT OF INCOME (LOSS) OF EMMAUS LIFE SCIENCES, INC.
FOR THE SIX MONTHS ENDED MARCH 31, 2019
| Historical | ||||||||||||||||||
| Emmaus
Life Sciences, Inc. | MYnd Analytics, Inc. | Pro
Forma Adjustments | Notes | Emmaus Combined | ||||||||||||||
| NET SALES | $ | 12,149,200 | $ | 847,200 | (847,200 | ) | (e) | $ | 12,149,200 | |||||||||
| COST OF SALES | 467,000 | 521,400 | (521,400 | ) | (e) | 467,000 | ||||||||||||
| GROSS PROFIT | 11,682,200 | 325,800 | (325,800 | ) | 11,682,200 | |||||||||||||
| OPERATING EXPENSES | ||||||||||||||||||
| Research and development | 962,600 | 615,900 | (615,900 | ) | (e) | 962,600 | ||||||||||||
| Selling and marketing | 2,635,300 | 351,300 | (351,300 | ) | (e) | 2,635,300 | ||||||||||||
| General and administrative | 9,427,300 | 4,724,100 | (4,724,100 | ) | (e) | 9,427,300 | ||||||||||||
| Total operating expenses | 13,025,200 | 5,691,300 | (5,691,300 | ) | 13,025,200 | |||||||||||||
| OPERATING INCOME (LOSS) | (1,343,000 | ) | (5,365,500 | ) | 5,365,500 | (1,343,000 | ) | |||||||||||
| Other income (expense) | — | — | — | — | ||||||||||||||
| Loss on Debt extinguishment | — | — | — | — | ||||||||||||||
| Change in fair value of warrant derivative liabilities | 275,000 | — | (275,000 | ) | (g) | — | ||||||||||||
| Unrealized gain on investment in marketable securities | 24,066,000 | — | — | 24,066,000 | ||||||||||||||
| Net losses on equity investment in marketable securities | (50,434,000 | ) | — | — | (50,434,000 | ) | ||||||||||||
| Loss on investment in marketable securities | 7,560,800 | — | — | 7,560,800 | ||||||||||||||
| Interest income (expense) | (13,443,600 | ) | (46,300 | ) | 46,300 | (e) | (4,823,000 | ) | ||||||||||
| — | — | 8,620,600 | (c) | |||||||||||||||
| Total other income (expense) | (31,975,800 | ) | (46,300 | ) | 8,391,900 | (23,630,200 | ) | |||||||||||
| INCOME (LOSS) BEFORE INCOME TAXES | (33,318,800 | ) | (5,411,800 | ) | 13,757,400 | (24,973,200 | ) | |||||||||||
| INCOME TAXES | 3,800 | 2,300 | (2,300 | ) | (e) | 3,800 | ||||||||||||
| NET INCOME (LOSS) | $ | (33,322,600 | ) | $ | (5,414,100 | ) | $ | 13,759,700 | $ | (24,977,000 | ) | |||||||
| NET LOSS ATTRIBUTED TO NONCONTROLLING INTEREST | (131,700 | ) | (778,000 | ) | 778,000 | (131,700 | ) | |||||||||||
| NET LOSS ATTRIBUTED TO EMMAUS LIFE SCIENCES | (33,190,900 | ) | (4,636,100 | ) | 12,981,700 | (24,845,300 | ) | |||||||||||
| BASIC LOSS PER SHARE | $ | (0.93 | ) | $ | (0.58 | ) | — | (g) | $ | (0.08 | ) | |||||||
| WEIGHTED AVERAGE SHARES OUTSTANDING - BASIC | 35,692,920 | 7,964,021 | (35,692,920 | ) | (d) | 303,596,144 | ||||||||||||
| 5,471,778 | (c) | |||||||||||||||||
| (5,471,778 | ) | (b) | ||||||||||||||||
| 295,632,123 | (c) | |||||||||||||||||
| DILUTED LOSS PER SHARE | (g) | $ | (0.08 | ) | ||||||||||||||
| WEIGHTED AVERAGE SHARES OUTSTANDING - DILUTED | 304,956,773 | |||||||||||||||||
The accompanying notes are an integral part of these unaudited pro forma financial statement
F-111
Notes to the Unaudited Pro Forma Condensed Combined Financial Statements
1) Basis of Presentation
The unaudited pro forma condensed combined financial statements were prepared in accordance with U.S. GAAP and pursuant to the rules and regulations of SEC Regulation S-X, and present the pro forma financial position and results of operations based upon the historical Financial Statements of MYnd Analytics, Inc. and Emmaus Life Sciences, Inc.
2) The Merger
Under the terms of the Merger Agreement, upon completion of the Merger, Athena Merger Subsidiary, Inc., a wholly owned subsidiary of MYnd, or Merger Sub, will merge with and into Emmaus, with Emmaus surviving as a subsidiary of MYnd. The Merger Agreement also provides that if the transactions contemplated by the Merger Agreement are completed, all of the business, assets and liabilities of MYnd are expected to be transferred to an existing wholly-owned subsidiary of MYnd, which is referred to as MYnd California prior to the Merger. Emmaus stockholders will receive a number of newly issued shares of MYnd common stock, determined using an Exchange Ratio defined in the Merger Agreement, in exchange for their shares of Emmaus stock. Following the Merger, stockholders of Emmaus will become the majority owners of MYnd. MYnd has preliminarily concluded that the transaction represents a reverse recapitalization transaction pursuant to Financial Accounting Standards Board Accounting Standards Codification Topic 805, Business Combinations, based on the structure of the proposed Merger and the resulting relative share ownership, composition of the board of directors and senior management of the combined entity, in favor of Emmaus. Accordingly, under ASC 805, Emmaus is the accounting acquirer.
3) Pro Forma Adjustments
Pro forma adjustments are necessary to reflect the merger consideration, to adjust amounts related to the tangible assets and liabilities of MYnd to reflect the preliminary estimate of their fair values, and to reflect the impact of the Merger on the statements of operations as if the companies had been combined during the period presented. The unaudited pro forma condensed combined financial statements include pro forma adjustments that are (i) directly attributable to the transaction, (ii) factually supportable, and (iii) with respect to the unaudited pro forma condensed combined statements of operations, expected to have a continuing impact on the results of operations of the combined company. Such adjustments do not contemplate the consumption of cash resources to fund continuing operating costs of MYnd or Emmaus for the period subsequent to March 31, 2019, which are expected to be material. The pro forma adjustments included in the unaudited pro forma condensed combined financial statements are as follows:
| (a) | To record the conversion of MYnd preferred stock into common stock concurrent with the Merger; | |
| (b) | To reverse the par value of Emmaus shares outstanding as of March 31, 2019 and the converted shares and issue the number of MYnd shares to be issued to Emmaus shareholders as per the exchange ratio; the Exchange Ratio will be approximately 7.18 shares of MYnd common stock for each share of Emmaus common stock for pro forma purposes; | |
| (c) | To record the conversion of 86% of the convertible debt of Emmaus concurrent with the Merger, which amount has been proposed by Emmaus, but is not assured and is subject to change; | |
| (d) | To reverse the Emmaus average shares outstanding as of March 31, 2019 and the converted shares and calculate the number of MYnd average shares for Emmaus shares as per the exchange ratio; the Exchange Ratio will be approximately 7.18 shares of MYnd common stock for each share of Emmaus common stock for pro forma purposes; | |
| (e) | To eliminate the operating accounts of MYnd concurrent with the Spin-Off; | |
| (f) | To account for the reversal of the impact of Accounting Standards Update (ASU) 2016-02, Leases (Topic 842) for the balance sheet as of March 31, 2019; | |
| (g) | EPS is shown without the gain on change in the fair value of warrant derivative liabilities and assuming derivative warrants were exercised on a cashless basis at the beginning of the fiscal period. | |
| (h) | To account for the liabilities assumed by Emmaus in accordance with the terms of the merger agreement. |
F-112
MERGER AGREEMENT
EXECUTION COPY
AGREEMENT AND PLAN OF MERGER AND REORGANIZATION
by and among
MYND ANALYTICS, INC.,
ATHENA MERGER SUBSIDIARY INC.,
AND
EMMAUS LIFE SCIENCES, INC.,
Dated as of January 4, 2019
|
TABLE OF CONTENTS
| ARTICLE 1 THE MERGER AND CERTAIN GOVERNANCE MATTERS | 6 | ||
| Section 1.1 | Structure of the Merger | 6 | |
| Section 1.2 | Effects of the Merger | 6 | |
| Section 1.3 | Closing; Effective Time | 6 | |
| Section 1.4 | Certificate of Incorporation and Bylaws; Directors and Officers; Name Change | 6 | |
| Section 1.5 | Conversion of Shares and Notes | 6 | |
| Section 1.6 | Company Stock Options and Company Warrants | 8 | |
| Section 1.7 | Closing of the Company’s Transfer Books | 10 | |
| Section 1.8 | Surrender of Certificates | 10 | |
| Section 1.9 | Appraisal Rights | 11 | |
| Section 1.10 | Further Action | 11 | |
| ARTICLE 2 REPRESENTATIONS AND WARRANTIES OF THE COMPANY | 12 | ||
| Section 2.1 | Organization | 12 | |
| Section 2.2 | Capitalization | 13 | |
| Section 2.3 | Authority | 14 | |
| Section 2.4 | Non-Contravention; Consents | 14 | |
| Section 2.5 | SEC Filings; Financial Statements | 15 | |
| Section 2.6 | Absence of Changes | 16 | |
| Section 2.7 | Title to Assets | 17 | |
| Section 2.8 | Properties | 17 | |
| Section 2.9 | Intellectual Property | 18 | |
| Section 2.10 | Material Contracts | 19 | |
| Section 2.11 | Absence of Undisclosed Liabilities | 20 | |
| Section 2.12 | Compliance with Laws; Regulatory Compliance | 20 | |
| Section 2.13 | Taxes and Tax Returns | 22 | |
| Section 2.14 | Employee Benefit Programs | 24 | |
| Section 2.15 | Labor and Employment Matters | 24 | |
| Section 2.16 | Environmental Matters | 25 | |
| Section 2.17 | Insurance | 25 | |
| Section 2.18 | Books and Records | 26 | |
| Section 2.19 | Transactions with Affiliates | 26 | |
| Section 2.20 | Legal Proceedings; Orders | 26 | |
| Section 2.21 | Illegal Payments | 26 | |
| Section 2.22 | Inapplicability of Anti-takeover Statutes | 26 | |
| Section 2.23 | Vote Required | 26 | |
| Section 2.24 | No Financial Advisor | 26 | |
| Section 2.25 | Investment Company Act | 27 | |
| Section 2.26 | Disclosure; Company Information | 27 | |
| Section 2.27 | No Other Representations or Warranties | 27 | |
| ARTICLE 3 REPRESENTATIONS AND WARRANTIES OF PARENT | 27 | ||
| Section 3.1 | Organization | 27 | |
| Section 3.2 | Capitalization | 28 | |
| Section 3.3 | Authority | 29 | |
Annex A - 2
| Section 3.4 | Non-Contravention; Consents | 30 | |
| Section 3.5 | SEC Filings; Financial Statements | 30 | |
| Section 3.6 | Absence of Changes | 32 | |
| Section 3.7 | Title to Assets | 32 | |
| Section 3.8 | Properties | 32 | |
| Section 3.9 | Intellectual Property | 33 | |
| Section 3.10 | Material Contracts | 34 | |
| Section 3.11 | Absence of Undisclosed Liabilities | 35 | |
| Section 3.12 | Compliance with Laws | 35 | |
| Section 3.13 | Taxes and Tax Returns | 36 | |
| Section 3.14 | Employee Benefit Programs | 37 | |
| Section 3.15 | Labor and Employment Matters | 38 | |
| Section 3.16 | Environmental Matters | 39 | |
| Section 3.17 | Insurance | 39 | |
| Section 3.18 | Books and Records | 39 | |
| Section 3.19 | Transactions with Affiliates | 39 | |
| Section 3.20 | Legal Proceedings; Orders | 39 | |
| Section 3.21 | Illegal Payments | 40 | |
| Section 3.22 | Inapplicability of Anti-takeover Statutes | 40 | |
| Section 3.23 | Vote Required | 40 | |
| Section 3.24 | No Financial Advisor | 40 | |
| Section 3.25 | Disclosure; Parent Information | 40 | |
| Section 3.26 | No Other Representations or Warranties | 40 | |
| ARTICLE 4 CERTAIN COVENANTS OF THE PARTIES | 41 | ||
| Section 4.1 | Access and Investigation | 41 | |
| Section 4.2 | Operation of Parent’s Business | 41 | |
| Section 4.3 | Operation of the Company’s Business | 42 | |
| Section 4.4 | Negative Obligations | 42 | |
| Section 4.5 | Mutual Non-Solicitation | 45 | |
| ARTICLE 5 ADDITIONAL AGREEMENTS OF THE PARTIES | 50 | ||
| Section 5.1 | Filings; Other Actions | 50 | |
| Section 5.2 | Stockholder Approval | 51 | |
| Section 5.3 | Regulatory Approvals | 52 | |
| Section 5.4 | Schedules | 52 | |
| Section 5.5 | Spinoff; Asset Sale; Reorganization; Stock Issuance | 52 | |
| Section 5.6 | Indemnification of Officers and Directors | 53 | |
| Section 5.7 | Additional Agreements | 54 | |
| Section 5.8 | Disclosure | 54 | |
| Section 5.9 | Stock Exchange Listing | 54 | |
| Section 5.10 | Section 16 Matters | 55 | |
| Section 5.11 | Tax Matters | 55 | |
| Section 5.12 | Cooperation | 55 | |
| Section 5.13 | Directors and Officers of Parent | 55 | |
| Section 5.14 | Stockholder Litigation | 56 | |
| Section 5.15 | Allocation Certificate and Capitalization Certificate | 56 | |
| Section 5.16 | Reverse Split | 56 | |
| Section 5.17 | Termination of Certain Agreements and Rights | 56 | |
Annex A - 3
| ARTICLE 6 CONDITIONS PRECEDENT | 57 | ||
| Section 6.1 | Conditions to Each Party’s Obligation to Effect the Merger | 57 | |
| Section 6.2 | Additional Conditions Precedent to Obligation of Parent | 57 | |
| Section 6.3 | Additional Conditions Precedent to Obligation of the Company | 58 | |
| ARTICLE 7 TERMINATION | 59 | ||
| Section 7.1 | Termination | 59 | |
| Section 7.2 | Effect of Termination | 60 | |
| Section 7.3 | Expenses; Termination Fees | 61 | |
| ARTICLE 8 MISCELLANEOUS PROVISIONS | 62 | ||
| Section 8.1 | Non-Survival of Representations and Warranties | 62 | |
| Section 8.2 | Amendment | 62 | |
| Section 8.3 | Waiver | 62 | |
| Section 8.4 | Entire Agreement | 62 | |
| Section 8.5 | Counterparts; Exchanges Electronic Transmission | 62 | |
| Section 8.6 | Applicable Law; Jurisdiction | 63 | |
| Section 8.7 | Attorneys’ Fees | 63 | |
| Section 8.8 | Assignability | 63 | |
| Section 8.9 | Notices | 63 | |
| Section 8.10 | Cooperation | 63 | |
| Section 8.11 | Severability | 64 | |
| Section 8.12 | Other Remedies; Specific Performance | 64 | |
| Section 8.13 | Construction. | 64 | |
| Section 8.14 | Definitions | 65 | |
Annex A - 4
AGREEMENT AND PLAN OF MERGER AND REORGANIZATION
THIS AGREEMENT AND PLAN OF MERGER AND REORGANIZATION (this “Agreement”) is made and entered into as of January 4, 2019, by and among MYND ANALYTICS, INC., a Delaware corporation (“Parent”), ATHENA MERGER SUBSIDIARY INC., a Delaware corporation and a direct wholly owned subsidiary of Parent (“Merger Sub”), and EMMAUS LIFE SCIENCES, INC., a Delaware corporation (the “Company”). Certain capitalized terms used in this Agreement are defined in Section 8.14.
RECITALS
WHEREAS, Parent and the Company intend to merge Merger Sub with and into the Company, with the Company as the surviving corporation in the merger (the “Merger”), in accordance with this Agreement and the DGCL;
WHEREAS, pursuant to the terms and conditions of this Agreement, the holders of the outstanding equity of the Company immediately prior to the Effective Time will own 94.1% of the outstanding equity of Parent immediately following the Effective Time and the holders of the outstanding equity of Parent immediately prior to the Effective Time will own 5.9% of the outstanding equity of Parent immediately following the Effective Time;
WHEREAS, the Board of Directors of Parent has unanimously (a) determined that the Merger and this Agreement are advisable and in the best interests of Parent and its stockholders, (b) approved this Agreement, the Merger, the issuance of shares of Parent Common Stock to the Company Stockholders pursuant to the terms of this Agreement, and the other actions contemplated by this Agreement, and (c) determined to recommend that the stockholders of Parent vote to approve the issuance of shares of Parent Common Stock to the Company Stockholders pursuant to the terms of this Agreement and such other actions as contemplated by this Agreement including the Parent Stockholder Proposals;
WHEREAS, the Board of Directors of Merger Sub has unanimously (a) determined that the Merger and this Agreement are advisable and in the best interests of Merger Sub and its sole stockholder, (b) approved this Agreement, the Merger, and the other actions contemplated by this Agreement, and (c) determined to recommend that Parent, as the sole stockholder of Merger Sub, vote to approve this Agreement, the Merger and such other actions as contemplated by this Agreement and Parent has so approved this Agreement and the Merger;
WHEREAS, the Board of Directors of the Company has unanimously (a) determined that the Merger and this Agreement are advisable and in the best interests of the Company and its stockholders, (b) approved this Agreement, the Merger and the other actions contemplated by this Agreement, and (c) determined to recommend that the Company Stockholders vote to approve this Agreement, the Merger and such other actions as contemplated by this Agreement;
WHEREAS, in order to induce the Company to enter into this Agreement and to cause the Merger to be consummated, the stockholders of Parent listed on Schedule I hereto, are executing voting agreements in favor of the Company concurrently with the execution and delivery of this Agreement in the form substantially attached hereto as Exhibit A-1 (the “Parent Voting Agreements”);
WHEREAS, in order to induce the Company to enter into this Agreement and to cause the Merger to be consummated, certain of Parent’s officers, directors and Parent Stockholders are executing lock-up agreements in favor of the Company concurrently with the execution and delivery of this Agreement in the form substantially attached hereto as Exhibit A-2 (the “Parent Lock-up Agreements”);
WHEREAS, in order to induce Parent and Merger Sub to enter into this Agreement and to cause the Merger to be consummated, the stockholders of the Company listed on Schedule II hereto, are executing voting agreements in favor of the Company concurrently with the execution and delivery of this Agreement in the form substantially attached hereto as Exhibit B-1 (the “Company Voting Agreements”);
WHEREAS, in order to induce Parent and Merger Sub to enter into this Agreement and to cause the Merger to be consummated, certain of the Company’s officers, directors and Company Stockholders are executing lock-up agreements in favor of Parent concurrently with the execution and delivery of this Agreement in the form substantially attached hereto as Exhibit B-2 (the “Company Lock-up Agreements”); and
WHEREAS, for U.S. federal income tax purposes, Parent, Merger Sub, and the Company intend that the Merger, together with the issuance of shares of Parent Common Stock to the Company Stockholders, will qualify as a “reorganization” within the meaning of Section 368(a) of the Code, that this Agreement will constitute a “plan of reorganization” with the meaning of Treasury Regulations Sections 1.368-1(c), 1.368-2(g) and 1.368-3(a), and that Parent and the Company will each be a “party to the reorganization” within the meaning of Section 368(b) of the Code.
NOW, THEREFORE, in consideration of the representations, warranties, covenants and agreements set forth herein, the parties agree as follows:
Annex A - 5
Article
1
THE MERGER AND CERTAIN GOVERNANCE MATTERS
Section 1.1 Structure of the Merger. Upon the terms and subject to the conditions set forth in this Agreement, at the Effective Time, Merger Sub shall be merged with and into the Company, the separate existence of Merger Sub shall cease, and the Company will continue as the surviving corporation following the Merger (the “Surviving Corporation”).
Section 1.2 Effects of the Merger. The Merger shall have the effects set forth in this Agreement and in the applicable provisions of the DGCL.
Section 1.3 Closing; Effective Time. Unless this Agreement is earlier terminated pursuant to the provisions of Section 7.1 of this Agreement, and subject to the satisfaction or waiver of the conditions set forth in Article 6 of this Agreement, the consummation of the Merger (the “Closing”) shall take place at the offices of Dentons US LLP, 1221 Avenue of the Americas, New York, NY 10020-1089, no later than three (3) Business Days following the satisfaction (or waiver by the party entitled to the benefit thereof) of the conditions to the Closing set forth in Article 6 (other than the conditions that by their nature are to be satisfied at Closing, but subject to the satisfaction or waiver of each of such conditions), or at such other time, date and place as Parent and the Company may mutually agree in writing. The date on which the Closing actually takes place is referred to as the “Closing Date.” At the Closing, the Parties shall cause the Merger to be consummated by executing and filing, with the Secretary of State of the State of Delaware, a Certificate of Merger (the “Certificate of Merger”) with respect to the Merger, satisfying the applicable requirements of the DGCL and in a form reasonably acceptable to Parent and the Company. The Merger shall become effective at the time of the filing of the Certificate of Merger with the Secretary of State of the State of Delaware, or at such later time as may be specified in the Certificate of Merger with the consent of Parent and the Company (the time upon which the Merger becomes effective being referred to as the “Effective Time”).
Section 1.4 Certificate of Incorporation and Bylaws; Directors and Officers; Name Change. At the Effective Time:
(a) the Certificate of Incorporation of Parent shall be amended to cause the name of Parent to be changed to “Emmaus Life Sciences, Inc.,” and, as so amended, shall be the Certificate of Incorporation of Parent, until thereafter amended as provided by the DGCL and such Certificate of Incorporation.
(b) the Bylaws of Parent shall be the Bylaws of Parent, until thereafter amended as provided by the DGCL and the Certificate of Incorporation of Parent.
(c) the directors and officers of Parent shall be as provided for in Section 5.13.
(d) the directors and officers of the Company immediately prior to the Effective Time will be the directors and officers of the Surviving Corporation immediately following the Effective Time until such time as their respective successors are duly elected or appointed.
Section 1.5 Conversion of Shares and Notes.
(a) At the Effective Time, by virtue of the Merger and without any further action on the part of Parent, Merger Sub, the Company or any stockholder of any of the foregoing:
(i) any shares of Company Common Stock owned as treasury stock of the Company or owned by Parent or by any direct or indirect wholly owned Subsidiary of Parent immediately prior to the Effective Time shall be automatically canceled and retired and shall cease to exist, and no consideration shall be delivered in exchange therefor;
(ii) subject to Section 1.5(b), each share of Company Common Stock (including all accrued but unpaid dividends thereon) outstanding immediately prior to the Effective Time (excluding shares to be canceled pursuant to Section 1.5(a)(i) and Dissenting Shares), including shares of Company Common Stock issuable upon conversion of Company Convertible Notes pursuant to Section 1.5(a)(iii) shall be automatically converted solely into the right to receive a number of shares of Parent Common Stock equal to the Exchange Ratio;
Annex A - 6
(iii) to the extent provided for therein, each Company Convertible Note outstanding immediately prior to the Effective Time shall be automatically converted into shares of Company Common Stock issuable upon conversion thereof; and
(iv) except as provided in clause (iii), above, each Company Convertible Note outstanding immediately prior to the Effective Time shall remain outstanding after the Effective Time and convertible into shares of Company Common Stock in accordance with its terms.
(b) If any shares of Company Common Stock outstanding immediately prior to the Effective Time are unvested or are subject to a repurchase option or the risk of forfeiture or under any applicable restricted stock purchase agreement or other agreement with the Company (other than those shares (if any) which, as a result of the Merger, shall, by the terms of the agreements applicable thereto, vest or for which any such repurchase options or other such restrictions or risks of forfeiture shall lapse), then the shares of Parent Common Stock issued in exchange for such shares of Company Common Stock will to the same extent be unvested and subject to the same repurchase option or risk of forfeiture, and the certificates representing such shares of Parent Common Stock shall accordingly be marked with appropriate legends. The Company shall take all action that may be necessary to ensure that, from and after the Effective Time, Parent is entitled to exercise any such repurchase option or other right set forth in any such restricted stock purchase agreement or other agreement in accordance with its terms.
(c) No fractional shares of Parent Common Stock shall be issued in connection with the Merger, and no certificates or scrip for any such fractional shares shall be issued. Any holder of Company Common Stock who would otherwise be entitled to receive a fraction of a share of Parent Common Stock (after aggregating all fractional shares of Parent Common Stock issuable to such holder) shall, in lieu of such fraction of a share, and upon surrender by such holder of a letter of transmittal in accordance with Section 1.8 and accompanying documents as required therein, be paid in cash the dollar amount (rounded to the nearest whole cent), without interest, determined by multiplying such fraction by the average closing price of a share of Parent Common Stock on NASDAQ for the ten (10) consecutive trading days ending with the second (2nd) to last trading day immediately prior to the Effective Time.
(d) Each share of common stock, $0.0001 par value per share, of Merger Sub issued and outstanding immediately prior to the Effective Time shall be automatically converted into and exchanged for one validly issued, fully paid and nonassessable share of common stock, $0.0001 par value per share, of the Surviving Corporation. Each stock certificate of Merger Sub evidencing ownership of any such shares shall, as of the Effective Time, evidence ownership of such shares of common stock of the Surviving Corporation.
(e) If, between the date of this Agreement and the Effective Time, the outstanding shares of Company Capital Stock or Parent Capital Stock shall have been changed into, or exchanged for, a different number of shares or a different class, by reason of any Permitted Parent Reorganization, any Permitted Company Reorganization, any Permitted Parent Issuance, stock dividend, subdivision, reorganization, reclassification, recapitalization, split, reverse split (excluding the Reverse Stock Split which shall be effective immediately prior to the Effective Time), combination or exchange of shares or other like change (including any dividend or distribution of securities convertible into shares of Company Capital Stock or Parent Capital Stock), the Exchange Ratio, to the extent necessary, shall be correspondingly adjusted to provide the holders of Company Common Stock, Company Stock Options, Company Warrants and Company Convertible Notes the same economic effect as contemplated by this Agreement prior to such event.
(f) Parent shall take all corporate action necessary to reserve for issuance a sufficient number of shares of Parent Common Stock for delivery upon exercise of the Company Warrants and Company Convertible Notes converted in accordance with this Section 1.6.
Annex A - 7
Section 1.6 Company Stock Options and Company Warrants.
(a) At the Effective Time, each Company Stock Option that is outstanding and unexercised immediately prior to the Effective Time, whether vested or unvested, will be converted into and become an option to purchase Parent Common Stock, and the Company Stock Option Plan shall be assumed by Parent. All rights with respect to the Company Common Stock under each Company Stock Option assumed by Parent shall thereupon be converted into rights with respect to Parent Common Stock. Accordingly, from and after the Effective Time: (i) each Company Stock Option assumed by Parent may be exercised solely for shares of Parent Common Stock, (ii) the number of shares of Parent Common Stock subject to each Company Stock Option assumed by Parent shall be determined by multiplying (x) the number of shares of Company Common Stock that were subject to such Company Stock Option, as in effect immediately prior to the Effective Time, by (y) the Exchange Ratio, with the resulting number rounded down to the nearest whole number of shares of Parent Common Stock, (iii) the exercise price per share for the Parent Common Stock issuable upon exercise of each assumed Company Stock Option will equal the quotient obtained from dividing (x) the exercise price per share for the Company Common Stock purchasable pursuant to the assumed Company Stock Option immediately prior to the Effective Time by (y) the Exchange Ratio, with the resulting exercise price rounded up to the nearest whole cent, and (iv) any restriction on the exercise of any assumed Company Stock Option shall continue in full force and effect and the term, exercisability, vesting schedule, status as an “incentive stock option” under Section 422 of the Code, if applicable, and other provisions of such Company Stock Option will otherwise remain unchanged; provided, however, that: (1) to the extent provided under the terms of a Company Stock Option, such Company Stock Option assumed by Parent in accordance with this Section 1.6(a) will, in accordance with its terms, be subject to further adjustment as appropriate to reflect any stock split, division or subdivision of shares, stock dividend, reverse stock split, consolidation of shares, reclassification, recapitalization or other similar transaction with respect to Parent Common Stock subsequent to the Effective Time, (2) Parent’s Board of Directors or an authorized committee thereof will succeed to the authority and responsibility of the Company’s Board of Directors or any authorized committee thereof with respect to each Company Stock Option assumed by Parent, and (3) all references in the Company Stock Option Plan and applicable award agreements to the Company shall be deemed to mean Parent. Notwithstanding anything to the contrary in this Section 1.6(a), the conversion of each Company Stock Option (regardless of whether such option qualifies as an “incentive stock option” within the meaning of Section 422 of the Code) into an option to purchase shares of Parent Common Stock will be made in a manner consistent with Treasury Regulation Section 1.424-1, such that the conversion of a Company Stock Option will not constitute a “modification” of such Company Stock Option for purposes of Section 409A or Section 424 of the Code. It is the intention of the parties that each Company Stock Option so assumed by Parent shall qualify following the Effective Time as an incentive stock option as defined in Section 422 of the Code to the extent permitted under Section 422 of the Code and to the extent such Company Stock Option qualified as an incentive stock option prior to the Effective Time.
Annex A - 8
(b) At the Effective Time, each Company Warrant that is outstanding and unexercised immediately prior to the Effective Time, whether vested or unvested, will be converted into and become a warrant to purchase Parent Common Stock, and the Company Warrant shall be assumed by Parent. All rights with respect to the Company Common Stock under each Company Warrant assumed by Parent shall thereupon be converted into rights with respect to Parent Common Stock. Accordingly, from and after the Effective Time: (i) each Company Warrant assumed by Parent may be exercised solely for shares of Parent Common Stock, (ii) the number of shares of Parent Common Stock subject to each Company Warrant assumed by Parent shall be determined by multiplying (x) the number of shares of Company Common Stock that were subject to such Company Warrant, as in effect immediately prior to the Effective Time, by (y) the Exchange Ratio, with the resulting number rounded down to the nearest whole number of shares of Parent Common Stock, (iii) the exercise price per share for the Parent Common Stock issuable upon exercise of each assumed Company Warrant will equal the quotient obtained from dividing (x) the exercise price per share for the Company Common Stock purchasable pursuant to the assumed Company Warrant immediately prior to the Effective Time by (y) the Exchange Ratio, with the resulting exercise price rounded up to the nearest whole cent, and (iv) any restriction on the exercise of any assumed Company Warrant shall continue in full force and effect and the term, exercisability, and other provisions of such Company Warrant will otherwise remain unchanged; provided, however, that, to the extent provided under the terms of a Company Warrant, such Company Warrant assumed by Parent in accordance with this Section 1.6(b) will, in accordance with its terms, be subject to further adjustment as appropriate to reflect any stock split, division or subdivision of shares, stock dividend, reverse stock split, consolidation of shares, reclassification, recapitalization or other similar transaction with respect to Parent Common Stock subsequent to the Effective Time. Except as provided above in this Section 1.6(b), each Company Warrant outstanding immediately prior to the Effective Time shall remain outstanding after the Effective Time and exercisable for shares of Company Common Stock in accordance with its terms.
(c) As soon as practicable after the Effective Time, subject to Section 1.6(a), Parent shall deliver to the former holders of the Company Stock Options and Company Warrants an appropriate notice evidencing the foregoing assumption setting forth the specific adjustments made to the assumed Company Stock Options and Company Warrants, as provided in this Section 1.6.
Annex A - 9
(d) Parent shall take all corporate action necessary to reserve for issuance a sufficient number of shares of Parent Common Stock for delivery upon exercise of the Company Stock Options and Company Warrants assumed in accordance with this Section 1.6. As soon as practicable (but in no event more than ten (10) business days after the Effective Time), Parent shall file a registration statement on Form S-8 (or any successor form) with respect to the shares of Parent Common Stock subject to such assumed Company Stock Options, and thereafter shall use commercially reasonable efforts to maintain the effectiveness of that registration statement for as long as any such assumed Company Stock Options remain outstanding.
Section 1.7 Closing of the Company’s Transfer Books. At the Effective Time, the stock transfer books of the Company shall be closed with respect to all shares of Company Common Stock outstanding immediately prior to the Effective Time. No further transfer of any such shares of Company Common Stock shall be made on such stock transfer books after the Effective Time. If, after the Effective Time, a valid certificate previously representing any shares of Company Common Stock outstanding immediately prior to the Effective Time (a “Company Stock Certificate”) is presented to Parent, the Surviving Corporation or the Exchange Agent, such Company Stock Certificate shall be canceled and shall be exchanged as provided in Section 1.5 and Section 1.8.
Section 1.8 Surrender of Certificates.
(a) Exchange Agent. At the Effective Time, Parent shall deposit with the Exchange Agent, for the benefit of the holders of certificates formerly representing the Company Common Stock (“Certificates”), certificates or book-entry shares representing shares of Parent Common Stock and holders of Company Convertible Notes described in Section 1.5(a)(iii) (“Converted Notes”) in the aggregate amount equal to the Merger Shares. In addition, Parent shall deposit with the Exchange Agent, as necessary from time to time after the Effective Time, any dividends or other distributions payable pursuant to Section 1.8(c). All shares of Parent Common Stock, cash, dividends and distributions deposited with the Exchange Agent pursuant to this Section 1.8(a) shall hereinafter be referred to as the “Exchange Fund.” The Exchange Fund shall not be used for any other purpose.
(b) Exchange Procedures. As soon as reasonably practicable after the Effective Time (and in any event within five Business Days), Parent shall cause the Exchange Agent to mail to each holder of record of a Certificate or Converted Note (i) a form of letter of transmittal (which shall specify that delivery shall be effected, and risk of loss and title to the Certificate or Converted Note shall pass, only upon proper delivery of the Certificate or Converted Note to the Exchange Agent and which shall be in customary form and contain customary provisions), and (ii) instructions for use in effecting the surrender of the Certificate or Converted Note in exchange for the Merger Shares, any dividends or other distributions payable pursuant to Section 1.8(c). Each holder of record of one or more Certificates or Converted Notes shall, upon surrender to the Exchange Agent of such Certificate or Converted Note, together with such letter of transmittal, duly executed, and such other documents as may reasonably be required by the Exchange Agent, be entitled to receive promptly in exchange therefor (i) a certificate or certificates or book-entry shares representing that number of whole shares of Parent Common Stock (after taking into account all Certificates and Converted Notes surrendered by such holder) to which such holder is entitled pursuant to Section 1.8(a), and (ii) any dividends or distributions payable pursuant to Section 1.8(c), and the Certificate or Converted Note so surrendered shall forthwith be canceled. In the event of a transfer of ownership of the Company Common Stock or Converted Note that is not registered in the transfer records of the Company, payment of the Merger Shares in accordance with Section 1.8(a) may be made to a person other than the person in whose name the Certificate or Converted Note so surrendered is registered if such Certificate or Converted Note shall be properly endorsed or otherwise be in proper form for transfer and the person requesting such payment shall pay any transfer or other similar Taxes required by reason of the transfer or establish to the reasonable satisfaction of Parent that such Taxes have been paid or are not applicable. Until surrendered as contemplated by this Section 1.8(b), each Certificate and Converted Note shall be deemed at any time after the Effective Time to represent only the right to receive upon such surrender the Merger Shares and any dividends or other distributions payable pursuant to Section 1.8(c). No interest shall be paid or will accrue on any payment to holders of Certificates or Converted Notes pursuant to the provisions of this Article 1.
(c) Distributions with Respect to Unexchanged Shares. No dividends or other distributions with respect to Parent Common Stock with a record date on or after the Effective Time shall be paid to the holder of any unsurrendered Certificate or Converted Note with respect to the shares of Parent Common Stock that the holder thereof has the right to receive upon the surrender thereof, until the holder of such Certificate or Converted Note shall have surrendered such Certificate or Converted Note in accordance with this Article 1. Following the surrender of any Certificate or Converted Note, there shall be paid to the record holder of the certificate representing whole shares of Parent Common Stock issued in exchange therefor, without interest, (i) at the time of such surrender, the amount of dividends or other distributions with a record date on or after the Effective Time theretofore paid with respect to such whole shares of Parent Common Stock, and (ii) at the appropriate payment date, the amount of dividends or other distributions with a record date on or after the Effective Time but prior to such surrender and a payment date subsequent to such surrender payable with respect to such whole shares of Parent Common Stock.
Annex A - 10
(d) No Further Ownership Rights in the Company Common Stock. The Merger Shares and any dividends or other distributions as are payable pursuant to Section 1.8(c) upon the surrender of Certificates and Converted Notes in accordance with the terms of this Article 1 shall be deemed to have been in full satisfaction of all rights pertaining to the Company Common Stock formerly represented by such Certificates, subject, however, to the Surviving Corporation’s obligation to pay any dividends or make any other distributions with a record date prior to the Effective Time which may have been declared or made by the Company on the Company Common Stock in accordance with the terms of this Agreement prior to the Effective Time.
(e) Termination of the Exchange Fund. Any portion of the Exchange Fund that remains undistributed to the holders of the Certificates or Converted Notes one year after the Effective Time shall be delivered to Parent, upon demand, and any holders of the Certificates or Converted Notes who have not theretofore complied with this Article 1 shall thereafter look only to Parent for, and Parent shall remain liable for, payment of their claim for the Merger Shares and any dividends or other distributions payable pursuant to Section 1.8(c) in accordance with this Article 1.
(f) No Liability. None of Parent, Merger Sub, the Company, the Surviving Corporation or the Exchange Agent shall be liable to any person in respect of any shares of Parent Common Stock, cash, dividends or other distributions from the Exchange Fund properly delivered to a public official pursuant to any applicable abandoned property, escheat or similar Law.
(g) Lost Certificates. If any Certificate or Converted Note shall have been lost, stolen or destroyed, upon the making of an affidavit of that fact by the person claiming such Certificate or Converted Note to be lost, stolen or destroyed (and without the requirement to post or deliver any bond), the Exchange Agent shall deliver in exchange for such lost, stolen or destroyed Certificate or Converted Note the Merger Shares, any dividends or other distributions payable pursuant to Section 1.8(c) pursuant to this Article 1.
(h) Withholding Rights. Parent, the Surviving Corporation or the Exchange Agent shall be entitled to deduct and withhold from the consideration otherwise payable pursuant to this Agreement such amounts as Parent, the Surviving Corporation or the Exchange Agent are required to deduct and withhold with respect to the making of such payment under the Code or any provision of state, local or non-U.S. Tax Law and shall be entitled to request any reasonably appropriate Tax forms, including an IRS Form W-9 (or the appropriate IRS Form W-8, as applicable), from any recipient of payments hereunder; provided that the Parties shall cooperate and undertake commercially reasonable efforts to minimize or avoid withholding, and the applicable withholding agent shall use best efforts to provide written notice (to the applicable Party) of any intention to withhold (or determination that the Exchange Agent may withhold) (other than any such withholding that is imposed on consideration that is properly treated as compensation for applicable income, employment and/or payroll Tax purposes) at least five (5) Business Days before the making of such payment. To the extent that amounts are so withheld by Parent, the Surviving Corporation or the Exchange Agent, such withheld amounts (i) subject to (ii), shall be treated for all purposes of this Agreement as having been paid to the holder of Certificates in respect of which such deduction and withholding was made by Parent, the Surviving Corporation or the Exchange Agent, and (ii) shall be remitted by Parent, the Surviving Corporation or the Exchange Agent, as the case may be, to the applicable Governmental Authority. Any amounts payable hereunder that require employment Tax withholding shall be paid through the Company’s payroll.
Section 1.9 Appraisal Rights.
(a) Notwithstanding any provision of this Agreement to the contrary, shares of Company Capital Stock that are issued and outstanding immediately prior to the Effective Time and which are owned by stockholders who have validly exercised appraisal rights or dissenters’ rights for such shares of Company Capital Stock in accordance with the DGCL (collectively, the “Dissenting Shares”) shall not be converted into or represent the right to receive the per share amount of the Merger Shares described in Section 1.5 attributable to such Dissenting Shares. Such stockholders shall be entitled to receive payment of the appraised value of such shares of Company Capital Stock owned by them in accordance with the DGCL, unless and until such stockholders fail to perfect or effectively withdraw or otherwise lose their appraisal rights under the DGCL. All Dissenting Shares owned by stockholders who shall have failed to perfect or who effectively shall have withdrawn or lost their right to appraisal of such shares of Company Capital Stock under the DGCL shall thereupon be deemed to be converted into and to have become exchangeable for, as of the Effective Time, the right to receive the per share amount of the Merger Shares attributable to such Dissenting Shares, upon their surrender in the manner provided in Section 1.8.
Annex A - 11
(b) The Company shall give Parent prompt written notice of any demands by dissenting stockholders received by the Company, withdrawals of such demands and any other instruments served on the Company and any material correspondence received by the Company in connection with such demands and Parent shall have the right to participate in all negotiations and proceedings with respect to such demands. Except with the prior written consent of Parent, or to the extent required by applicable law, the Company shall not make any payment with respect to, or offer to settle or settle, any such demands.
Section 1.10 Further Action. If, at any time after the Effective Time, any further action is determined by the Surviving Corporation to be necessary or desirable to carry out the purposes of this Agreement or to vest the Surviving Corporation with full right, title and possession of and to all rights and property of the Company, then the officers and directors of the Surviving Corporation shall be fully authorized, and shall use their commercially reasonable efforts (in the name of the Company, in the name of Merger Sub, and otherwise) to take such action.
Article
2
REPRESENTATIONS AND WARRANTIES OF THE COMPANY
The Company represents and warrants to Parent and Merger Sub as follows, except as set forth in (x) the Company SEC Reports filed after January 1, 2015 and prior to the date hereof (other than any disclosures contained or referenced therein under the captions “Risk Factors,” “Forward-Looking Statements,” “Quantitative and Qualitative Disclosures About Market Risk” and any other disclosures contained or referenced therein of information, factors or risks that are cautionary, predictive or forward-looking in nature), or (y) the written disclosure schedule delivered by the Company to Parent (the “Company Disclosure Schedule”). The Company Disclosure Schedule shall be arranged in parts and subparts corresponding to the numbered and lettered Sections and subsections contained in this Article 2. The disclosures in any part or subpart of the Company Disclosure Schedule shall qualify other Sections and subsections in this Article 2 to the extent it is reasonably apparent from the face of the disclosure that such disclosure is applicable to such other Sections and subsections.
Section 2.1 Organization.
(a) The Company is a corporation validly existing and in good corporate standing under the Laws of the State of Delaware. The Company has all requisite corporate power and authority to own, lease and operate its properties and assets and to carry on its business as it is now being conducted. The Company is duly licensed or qualified to do business and is in corporate good standing in each jurisdiction in which the nature of the business conducted by it or the character or location of the properties and assets owned, leased, or operated by it makes such licensing or qualification necessary, except where the failure to be so licensed or qualified and in corporate good standing would not, either individually or in the aggregate, reasonably be expected to have a Company Material Adverse Effect. The Company Charter and the Company Bylaws, copies of which have previously been made available to Parent, are true, correct and complete copies of such documents as currently in effect and the Company is not in violation of any provision thereof. Other than the Company Charter and the Company Bylaws, the Company is not a party to or bound by or subject to any stockholder agreement or other similar agreement governing the voting or transfer of the Company Capital Stock and is not subject to a stockholder rights plan.
(b) Each Subsidiary of the Company is a corporation or legal entity, validly existing and, if applicable, in good standing under the Laws of the jurisdiction of its organization. Each Subsidiary of the Company has all requisite corporate power or other power and authority to own, lease and operate all of its properties and assets and to carry on its business as it is now being conducted. Each Subsidiary of the Company is duly licensed or qualified to do business in each jurisdiction in which the nature of the business conducted by it or the character or location of the properties and assets owned, leased, or operated by it makes such licensing or qualification necessary, except where the failure to be so licensed or qualified and in good standing would not, either individually or in the aggregate, reasonably be expected to have a the Company Material Adverse Effect. The certificate of incorporation and bylaws or equivalent organizational documents of each of the Company’s Subsidiaries, copies of which have previously been made available to the Company, are true, correct and complete copies of such documents as currently in effect and such Subsidiaries of the Company are not in violation of any provision thereof.
Annex A - 12
Section 2.2 Capitalization.
(a) The authorized capital stock of the Company consists of 100,000,000 shares of Company Common Stock and 20,000,000 shares Company Preferred Stock. As of December 31, 2018, there were 35,558,305 shares of Company Common Stock issued and outstanding and there are no shares of Company Preferred Stock issued and outstanding. As of the date hereof, there are no shares of Company Common Stock and no shares of Company Preferred Stock held in the treasury of the Company. The Company has no shares of Company Common Stock or Company Preferred Stock reserved for issuance other than as described herein or in the Company SEC Reports or the Company Disclosure Schedule. The outstanding shares of Company Common Stock have been duly authorized and are validly issued, fully paid and nonassessable, and were not issued in violation of the material terms of any agreement binding upon the Company at the time at which they were issued and were issued in compliance with the Company Charter and Company Bylaws and all applicable securities Laws.
(b) Except for the Company Stock Option Plan, the Company Stock Options, the Company Warrants, the Company Convertible Notes, or as set forth in Section 2.2(b) of the Company Disclosure Schedule, the Company does not have and is not bound by any outstanding subscriptions, options, warrants, calls, commitments, rights agreements, or agreements of any character calling for the Company to issue, deliver, or sell, or cause to be issued, delivered, or sold any shares of Company Common Stock or any other equity security of the Company or any Subsidiary of the Company or any securities convertible into, exchangeable for, or representing the right to subscribe for, purchase, or otherwise receive any shares of Company Common Stock or any other equity security of the Company or any Subsidiary of the Company or obligating the Company or any Subsidiary of the Company to grant, extend, or enter into any such subscriptions, options, warrants, calls, commitments, rights agreements, or any other similar agreements. Except as set forth in Section 2.2(b) of the Company Disclosure Schedule, there are no registration rights, repurchase or redemption rights, anti-dilutive rights, voting agreements, voting trusts, preemptive rights or restrictions on transfer relating to any capital stock of the Company.
(c) As of the December 31, 2018, there were 6,642,200 shares of Company Common Stock issuable upon exercise of all outstanding Company Stock Options, subject to adjustment on the terms set forth in the Company Stock Option Plan. Section 2.2(c) of the Company Disclosure Schedule sets forth a true, correct and complete list, as of the date hereof, of (i) the name of the holder of each Company Stock Option, (ii) the date each Company Stock Option was granted, (iii) the number, issuer and type of securities subject to each such Company Stock Option, (iv) the expiration date of each such Company Stock Option, (v) the vesting schedule of each such Company Stock Option, (vi) the price at which each such Company Stock Option (or each component thereof, if applicable) may be exercised, (vii) the number of shares of Company Common Stock issuable upon the exercise of such, or upon the conversion of all securities issuable upon the exercise of such, Company Stock Options, and (viii) whether and to what extent the exercisability of each Company Stock Option will be accelerated upon consummation of the Contemplated Transactions or any termination of employment thereafter.
(d) As of December 31, 2018, there were 3,436,431 shares of Company Common Stock issuable upon exercise of all outstanding Company Warrants, subject to adjustment on the terms set forth in the Company Warrants. Section 2.2(d) of the Company Disclosure Schedule sets forth a true, correct and complete list, as of the date hereof, of (i) the name of the holder of each Company Warrant, (ii) the date each Company Warrant was issued, (iii) the number, issuer and type of securities subject to each such Company Warrant, (iv) the expiration date of each such Company Warrant, (v) the price at which each such Company Warrant (or each component thereof, if applicable) may be exercised, and (vi) the number of shares of Company Common Stock issuable upon the exercise of such, or upon the conversion of all securities issuable upon the exercise of such, Company Warrants.
(e) As of December 31, 2018, there were 6,500,061 shares of Company Common Stock issuable upon conversion of all outstanding Company Convertible Notes, subject to adjustment on the terms set forth in the Company Convertible Notes. Section 2.2(e) of the Company Disclosure Schedule sets forth a true, correct and complete list, as of the date hereof, of (i) the name of the holder of each Company Convertible Note, (ii) the date each Company Convertible Note was issued, (iii) the number, issuer and type of securities subject to each such Company Convertible Note, (iv) the expiration date of each such Company Convertible Note, (v) the price at which each such Company Convertible Note (or each component thereof, if applicable) may be converted, and (vi) the number of shares of Company Common Stock issuable upon the exercise of such, or upon the conversion of all securities issuable upon the exercise of such, Company Convertible Notes.
Annex A - 13
(f) Section 2.2(f) of the Company Disclosure Schedule lists each Subsidiary of the Company as of the date hereof and indicates for each such Subsidiary as of such date (i) the percentage and type of equity securities owned or controlled, directly or indirectly, by the Company, and (ii) the jurisdiction of incorporation or organization. No Subsidiary of the Company has or is bound by any outstanding subscriptions, options, warrants, calls, commitments, rights agreements, or agreements of any character calling for it to issue, deliver, or sell, or cause to be issued, delivered, or sold any of its equity securities or any securities convertible into, exchangeable for, or representing the right to subscribe for, purchase or otherwise receive any such equity security or obligating such Subsidiary to grant, extend or enter into any such subscriptions, options, warrants, calls, commitments, rights agreements, or other similar agreements. There are no outstanding contractual obligations of any Subsidiary of the Company to repurchase, redeem, or otherwise acquire any of its capital stock or other equity interests. All of the shares of capital stock of each of the Subsidiaries of the Company (A) have been duly authorized and are validly issued, fully paid (to the extent required under the applicable governing documents) and nonassessable, and (B) are owned by the Company free and clear of any Encumbrance (other than Permitted Encumbrances), or agreement with respect thereto.
Section 2.3 Authority. The Company has all requisite corporate power and authority to execute and deliver this Agreement and to consummate the Contemplated Transactions and perform its respective obligations hereunder, subject only to obtaining the Company Stockholder Approval. The adoption, execution, delivery and performance of this Agreement and the approval of the consummation of the Contemplated Transactions have been duly and validly adopted and approved by the Board of Directors of the Company by unanimous vote of the directors participating in such votes. No other approval or consent of, or action by, the holders of the outstanding securities of the Company, other than the Company Stockholder Approval, is required in order for the Company to execute and deliver this Agreement and to consummate the Contemplated Transactions and perform its obligations hereunder. The Board of Directors of the Company has declared this Agreement advisable, has directed that this Agreement be submitted to the Company Stockholders for adoption and approval and has recommended that the Company Stockholders adopt and approve this Agreement. Except for the Company Stockholder Approval and the filing of the Certificate of Merger with the Secretary of State of the State of Delaware, no other corporate proceeding on the part of the Company is necessary to authorize the adoption, execution, delivery and performance of this Agreement or to consummate the Merger and the other Contemplated Transactions. This Agreement has been duly and validly executed and delivered by the Company, and (assuming due authorization, execution and delivery by the other parties hereto), constitutes the legal, valid and binding obligations of the Company, enforceable against the Company in accordance with its terms, subject to applicable bankruptcy, insolvency, reorganization, moratorium, or other similar Laws relating to creditors’ rights and general principles of equity.
Section 2.4 Non-Contravention; Consents.
(a) Except as set forth in Section 2.4(a) of the Company Disclosure Schedule, the execution and delivery of this Agreement by the Company does not, and the consummation by the Company of the Contemplated Transactions will not, (i) conflict with, or result in any violation or breach of, any provision of the Company Charter or the Company Bylaws or of the charter, bylaws, or other organizational document of any Subsidiary of the Company, (ii) conflict with, or result in any violation or breach of, or constitute (with or without notice or lapse of time, or both) a default (or give rise to a right of termination, cancellation or acceleration of any obligation or loss of any material benefit) under, require a consent or waiver under, constitute a change in control under, require the payment of a penalty under or result in the imposition of any Encumbrance on the Company’s or any of its Subsidiaries’ assets under, any of the terms, conditions or provisions of any Company Material Contract, or (iii) subject to obtaining the Company Stockholder Approval and subject to the consents, approvals and authorizations specified in clauses (i) through (v) of Section 2.4(b) having been obtained prior to the Effective Time and all filings and notifications described in Section 2.4(b) having been made, conflict with or violate any Law applicable to the Company or any of its Subsidiaries or any of its or their properties or assets, except in the case of clauses (ii), and (iii) of this Section 2.4(a) for any such conflicts or violations, breaches, rights of termination, Encumbrances, penalties, defaults, terminations, cancellations, accelerations, losses, changes of control, or payments, that have not had, and would not reasonably be expected to result in, a Company Material Adverse Effect.
(b) No consent, approval, license, permit, order or authorization of, or registration, declaration, notice or filing with, any Governmental Authority is required by or with respect to the Company or any of its Subsidiaries in connection with the execution and delivery of this Agreement by the Company or the consummation by the Company of the Contemplated Transactions, except for (i) obtaining the Company Stockholder Approval, (ii) the filing of the Certificate of Merger with the Delaware Secretary of State and appropriate corresponding documents with the appropriate authorities of other states in which the Company is qualified as a foreign corporation to transact business, (iii) any filings required to be made with the SEC in connection with this Agreement and the Contemplated Transactions (including (A) the filing of the Form S-4 Registration Statement and the Joint Proxy Statement/Prospectus with the SEC in accordance with the Securities Act and the Exchange Act, respectively, and (B) the filing of a Form D Notice of Exempt Offering of Securities or other filings under the Securities Act, the Exchange Act or applicable state securities Laws in connection with the Contemplated Transactions), (iv) such consents, approvals, orders, authorizations, registrations, declarations, notices and filings as may be required under applicable state securities Laws, and (v) such other consents, licenses, permits, orders, authorizations, filings, approvals and registrations which, if not obtained or made, have not had, and would not reasonably be expected to result in, a Company Material Adverse Effect.
Annex A - 14
(c) This Section 2.4 does not relate to (i) Tax Laws, which are governed exclusively by Section 2.13 and Section 2.14, (ii) ERISA or other Laws regarding employee benefit matters, which are governed exclusively by Section 2.14, (iii) Labor Laws, which are governed exclusively by Section 2.15, (iv) Environmental Laws, which are governed exclusively by Section 2.16, or (v) Anticorruption Laws, which are governed exclusively by Section 2.21.
Section 2.5 SEC Filings; Financial Statements.
(a) The Company has filed or furnished, as applicable, on a timely basis all forms, statements, certifications, reports and documents required to be filed or furnished by it with the SEC under the Exchange Act or the Securities Act since January 1, 2015 (the forms, statements, reports and documents filed or furnished since January 1, 2015 and those filed or furnished subsequent to the date hereof, including any amendments thereto, the “Company SEC Reports”). Each of the Company SEC Reports, at the time of its filing or being furnished complied in all material respects with the applicable requirements of the Securities Act, the Exchange Act and the Sarbanes-Oxley Act, and any rules and regulations promulgated thereunder applicable to the Company SEC Reports, or, if not yet filed or furnished, will to the Knowledge of the Company comply in all material respects with the applicable requirements of the Securities Act, the Exchange Act and the Sarbanes-Oxley Act, and any rules and regulations promulgated thereunder applicable to the Company SEC Reports. As of their respective dates (or, if amended prior to the date hereof, as of the date of such amendment), the Company SEC Reports did not contain any untrue statement of a material fact or omit to state a material fact required to be stated therein or necessary to make the statements made therein, in light of the circumstances in which they were made, not misleading, and any the Company SEC Reports filed or furnished with the SEC subsequent to the date hereof will not to the Company’s knowledge, contain any untrue statement of a material fact or omit to state a material fact required to be stated therein or necessary to make the statements made therein, in light of the circumstances in which they were made, not misleading.
(b) As of the date of this Agreement, the Company has timely responded to all comment letters of the staff of the SEC relating to the Company SEC Reports, and the SEC has not advised the Company that any final responses are inadequate, insufficient or otherwise non-responsive. The Company has made available to Parent true, correct and complete copies of all comment letters, written inquiries and enforcement correspondence between the SEC, on the one hand, and the Company and any of its Subsidiaries, on the other hand, occurring since January 1, 2016 and will, reasonably promptly following the receipt thereof, make available to Parent any such correspondence sent or received after the date hereof. To the Knowledge of the Company, as of the date of this Agreement, none of the Company SEC Reports is the subject of ongoing SEC review or outstanding SEC comment.
(c) (i) Each of the consolidated financial statements (including, in each case, any notes or schedules thereto) included in or incorporated by reference into the Company SEC Reports fairly present, in all material respects, the consolidated financial position of the Company and its consolidated Subsidiaries as of its date, or, in the case of the Company SEC Reports filed after the date hereof, will fairly present, in all material respects, the consolidated financial position of the Company and its consolidated Subsidiaries as of its date and each of the consolidated statements of income, changes in stockholders’ equity (deficit) and cash flows included in or incorporated by reference into the Company SEC Reports (including any related notes and schedules) fairly presents in all material respects, the results of operations, retained earnings (loss) and changes in financial position, as the case may be, of such companies for the periods set forth therein (except as indicated in the notes thereto, and in the case of unaudited statements, as may be permitted by the rules of the SEC, and subject to normal year-end audit adjustments that will not be material in amount or effect), in each case in accordance with GAAP consistently applied during the periods involved, except as may be noted therein, or in the case of the Company SEC Reports filed after the date hereof, will fairly present, in all material respects, the results of operations, retained earnings (loss) and changes in financial position, as the case may be, of such companies for the periods set forth therein (except as indicated in the notes thereto, and in the case of unaudited statements, as may be permitted by the rules of the SEC, and subject to normal year-end audit adjustments that will not be material in amount or effect), in each case in accordance with GAAP consistently applied during the periods involved, except as may be noted therein (the “Company Financial Statements”).
Annex A - 15
(d) the Company has designed and maintains a system of internal control over financial reporting (as defined in Rules 13a-15(f) and 15d-15(f) of the Exchange Act) sufficient to provide reasonable assurance regarding the reliability of financial reporting, and, to the Knowledge of the Company, such system is effective in providing such assurance. The Company (i) maintains disclosure controls and procedures (as defined in Rules 13a-15(e) and 15d-15(e) of the Exchange Act) designed to ensure that information required to be disclosed by the Company in the reports that it files or submits under the Exchange Act is recorded, processed, summarized and reported within the time periods specified by the SEC’s rules and forms and, to the Knowledge of the Company, such disclosure controls and procedures are effective (ii) has disclosed, based on the most recent evaluation of its chief executive officer and its chief financial officer prior to the date hereof, to the Company’s auditors and the Audit Committee of the Board of Directors of the Company (and made summaries of such disclosures available to Parent) (A) (i) any significant deficiencies in the design or operation of internal control over financial reporting that would adversely affect in any material respect the Company’s ability to record, process, summarize and report financial information, and (ii) any material weakness in internal control over financial reporting, and (B) any fraud, whether or not material, that involves management or other employees who have a significant role in the Company’s internal controls over financial reporting. Each of the Company and its Subsidiaries have materially complied with or substantially addressed such deficiencies, material weaknesses or fraud. The Company is in compliance in all material respects with all effective provisions of the Sarbanes-Oxley Act.
(e) Each of the principal executive officer of the Company and the principal financial officer of the Company (or each former principal executive officer of the Company and each former principal financial officer of the Company, as applicable) has made all certifications required by Rule 13a-14 or 15d-14 under the Exchange Act or Sections 302 and 906 of the Sarbanes-Oxley Act and the rules and regulations of the SEC promulgated thereunder with respect to the Company SEC Reports, and the statements contained in such certifications were true and correct on the date such certifications were made. For purposes of this Section 3.5(e), “principal executive officer” and “principal financial officer” has the meanings given to such terms in the Sarbanes-Oxley Act. None of the Company or any of its Subsidiaries has outstanding, or has arranged any outstanding, “extensions of credit” to directors or executive officers in violation of Section 402 of the Sarbanes-Oxley Act.
(f) Neither the Company or any of its Subsidiaries nor, to the Knowledge of the Company, any director, officer, employee, or internal or external auditor of the Company or any of its Subsidiaries has received or otherwise had or obtained actual knowledge of any substantive material complaint, allegation, assertion or claim, whether written or oral, that the Company or any of its Subsidiaries has engaged in questionable accounting or auditing practices.
Section 2.6 Absence of Changes. Since December 31, 2017, the Company and each of its Subsidiaries have conducted their respective businesses in all material respects in the Ordinary Course of Business. Except as set forth (x) in the Company SEC Reports, and (y) on Section 2.6 of the Company Disclosure Schedule, after December 31, 2017 and on or before the date hereof:
(a) there has not been any change, event, circumstance or condition to the Knowledge of the Company that, individually or in the aggregate, has had, or would reasonably be expected to have, a Company Material Adverse Effect;
(b) except as required as a result of a change in applicable Laws or GAAP or as disclosed in the notes to the Company Financial Statements, there has not been any material change in any method of accounting or accounting practice by the Company or any of its Subsidiaries;
(c) there has not been any other action, event or occurrence that would have required the consent of Parent pursuant to Section 4.4(b) of this Agreement had such action, event or occurrence taken place after the execution and delivery of this Agreement;
(d) there has not been any: (i) grant of or increase in any severance or termination pay to any employee or director of the Company or its Subsidiaries, (ii) entry into any employment, consulting, deferred or equity compensation, retention, change in control, transaction bonus, severance or other similar plan or agreement (or any amendment to any such existing agreement) with any new or current employee, director or other service provider of the Company or any of its Subsidiaries except in the Ordinary Course of Business, (iii) change in the compensation, bonus or other benefits payable or to become payable to its directors, officers, employees or consultants, except in the Ordinary Course of Business, or as required by any pre-existing plan or arrangement set forth in Section 2.6(d) of the Company Disclosure Schedule, (iv) action to accelerate the vesting or payment of any compensation or benefit to any employee or other service provider of the Company or its Subsidiaries, (v) adoption, modification or termination of any Company Employee Program other than as required by applicable Law, or (vi) termination of any of the officers or key employees of the Company or any of its Subsidiaries;
Annex A - 16
(e) the Company has not acquired or sold, pledged, leased, encumbered or otherwise disposed of any material property or assets or agreed to do any of the foregoing;
(f) other than the grant of non-exclusive licenses in the Ordinary Course of Business, there has been no transfer (by way of a license or otherwise) of, or agreement to transfer to, any Person’s rights to any of the Company Intellectual Property;
(g) there has been no notice delivered to the Company of any claim of ownership by a third party of any of the Company Intellectual Property, or of infringement by the Company of any Third Party Intellectual Property; and
(h) there has not been any binding agreement to do any of the foregoing.
Section 2.7 Title to Assets. Each of the Company and its Subsidiaries owns, and has good and valid title to, or, in the case of leased properties and assets, valid leasehold interests in, all tangible properties or assets and equipment used or held for use in its business or operations or purported to be owned or leased by it. All of said assets are owned or leased by the Company or a Subsidiary of the Company free and clear of any Encumbrances, except for: (i) any lien for current Taxes not yet due and payable or for Taxes that are being contested in good faith and for which adequate reserves have been made on the Company’s audited consolidated balance sheet at December 31, 2017, (ii) minor liens that have arisen in the Ordinary Course of Business and that do not (in any case or in the aggregate) materially detract from the value of the assets subject thereto or materially impair the operations of the Company and its Subsidiaries, taken as a whole, and (iii) Encumbrances described in Section 2.7 of the Company Disclosure Schedule.
Section 2.8 Properties.
(a) Section 2.8(a) of the Company Disclosure Schedule contains a complete and correct list, as of the date hereof, of the Company Leased Real Property, including with respect to each such Company Lease the date of such Company Lease and any material amendments thereto. With respect to each Company Lease, except as would not, individually or in the aggregate, have a Company Material Adverse Effect:
(i) the Company Leases and the Company Ancillary Lease Documents are valid and in full force and effect except to the extent they have previously expired or terminated in accordance with their terms. The Company has delivered to Parent full, complete and accurate copies of each of the Company Leases and all Company Ancillary Lease Documents described in Section 2.8(a)(i) of the Company Disclosure Schedule;
(ii) none of the Company Leases is subject to any Encumbrance other than a Permitted Encumbrance;
(iii) none of the Company or its Subsidiaries, nor, to the Knowledge of the Company, any other party to any Company Leases or Company Ancillary Lease Documents, is in breach or default, and, to the Knowledge of the Company, no event has occurred which, with notice or lapse of time, would constitute such a breach or default, under the Company Leases or any Company Ancillary Lease Documents;
(iv) none of Parent or its Subsidiaries has assigned, transferred, conveyed, mortgaged, deeded in trust or encumbered any of its rights and interest in the leasehold or subleasehold under any of the Company Leases or any Company Ancillary Lease Documents in a manner that is material to the Company and that relates to the use or occupancy of all or any portion of the Company Leased Real Property.
(b) Except as would not reasonably be expected to have, individually or in the aggregate, a Company Material Adverse Effect, (i) the Company owns good title, free and clear of all Encumbrances, to all personal property and other non-real estate assets, in all cases excluding the Company Intellectual Property, necessary to conduct the Company’s business, except for Permitted Encumbrances, and (ii) the Company, as lessee, has the right under valid and subsisting leases to use, possess and control all personal property leased by the Company as now used, possessed and controlled by the Company.
(c) None of the Company or its Subsidiaries has any Company Owned Real Property.
Annex A - 17
Section 2.9 Intellectual Property.
(a) Section 2.9(a) of the Company Disclosure Schedule contains a complete and accurate list of all (i) Patents owned by the Company or any of its Subsidiaries or used or exclusively licensed to the Company or any of its Subsidiaries (“Company Patents”), registered and material unregistered Marks owned by the Company or any of its Subsidiaries (“Company Marks”) and registered Copyrights owned by the Company or any of its Subsidiaries (“Company Copyrights”), (ii) licenses, sublicenses or other agreements under which the Company or any of its Subsidiaries is granted rights by others in the Company Intellectual Property (“Company In-Licenses”) (other than commercial off the shelf software or materials transfer agreements), and (iii) licenses, sublicenses or other agreements under which the Company has granted rights to others in the Company Intellectual Property (“Company Out-Licenses”).
(b) With respect to the Company Intellectual Property (i) owned or purported to be owned by the Company or any of its Subsidiaries, the Company or one of its Subsidiaries exclusively owns such Company Intellectual Property, and (ii) licensed to the Company or any of its Subsidiaries by a third party (other than commercial off the shelf software or materials transfer agreements), such Company Intellectual Property are the subject of a written license or other agreement; in the case of the foregoing clauses (i), and (ii) above, free and clear of all Encumbrances, other than Encumbrances resulting from the express terms of a Company In-License or Company Out-License or Permitted Encumbrances granted by the Company or one of its Subsidiaries.
(c) To the Knowledge of the Company, all Company Patents, Company Marks and Company Copyrights are valid and enforceable.
(d) To the Knowledge of the Company, each Company Patent that has been issued by, or registered with, or is the subject of an application filed with, as applicable, the U.S. Patent and Trademark Office or any similar office or agency anywhere in the world was issued, registered, or filed, as applicable, with the correct inventorship and there has been no known misjoinder or nonjoinder of inventors.
(e) No Company Patent is now involved in any interference, reissue, re-examination or opposition proceeding.
(f) There are no claims pending or, to the Knowledge of the Company, threatened in writing since January 1, 2016 against the Company or any of its Subsidiaries or any of their employees alleging that the operation of the Company’s business or any activity by the Company or any of its Subsidiaries, or the manufacture, sale, offer for sale, importation, and/or use of any Company product candidates infringes or violates (or in the past infringed or violated) the rights of others in or to any Intellectual Property (“Third Party Intellectual Property”) or constitutes a misappropriation of (or in the past constituted a misappropriation of) any subject matter of any Intellectual Property of any person or entity or that any Company Intellectual Property is invalid or unenforceable.
(g) To the Knowledge of the Company, the operation of the Company’s business does not infringe or violate (or in the past infringed or violated) any Third Party Intellectual Property or constitutes a misappropriation of (or in the past constituted a misappropriation of) any subject matter of any Third Party Intellectual Property.
(h) Except with respect to fees payable to third party licensors pursuant to the Company In-Licenses, none of the Company or any of its Subsidiaries has any obligation to compensate any person for the use of any Intellectual Property. Except as set forth in Section 2.9(h) of the Company Disclosure Schedule, neither Parent nor any of its Subsidiaries has entered into any agreement to indemnify any other person against any claim of infringement or misappropriation of any Intellectual Property. There are no settlements, covenants not to sue, consents, judgments, or orders or similar obligations that: (i) restrict the rights of the Company or any of its Subsidiaries to use any Company Intellectual Property, (ii) restrict the Company or any of its Subsidiaries business, in order to accommodate a third party’s Intellectual Property, or (iii) permit third parties to use any Company Intellectual Property (excluding any rights granted to any third parties pursuant to any of the Company Out-Licenses).
(i) All former and current employees, consultants and contractors of the Company and its Subsidiaries who have been involved in the creation and/or development of any Company Intellectual Property have executed written instruments with the Company or one or more of its Subsidiaries that assign to the Company, all rights, title and interest in and to any and all Intellectual Property created and/or developed by such employee, consultant or contractor in the course of their employment or engagement with the Company or the applicable Subsidiary.
Annex A - 18
(j) To the Knowledge of the Company, (i) there is no, nor has there been any, infringement or violation by any person or entity of any Company Intellectual Property owned by, or exclusively licensed to, the Company or any of its Subsidiaries, or the rights of the Company therein or thereto and (ii) there is no, nor has there been any, misappropriation by any person or entity of any Company Intellectual Property owned by, or exclusively licensed to, the Company or any of its Subsidiaries, or the subject matter thereof.
(k) The Company and each of its Subsidiaries has taken reasonable security measures to protect the secrecy, confidentiality and value of all Trade Secrets owned by the Company or used or held for use by the Company in the Company’s business (the “Company Trade Secrets”).
(l) Following the Effective Time, the Surviving Corporation will have substantially similar rights and privileges in the Company Intellectual Property as the Company had in the Company Intellectual Property immediately prior to the Effective Time.
Section 2.10 Material Contracts. Section 2.10 of the Company Disclosure Schedule is a correct and complete list of the following currently effective Company Contracts (each, a “Company Material Contract” and, collectively, “Company Material Contracts”):
(a) each Company Contract that constitutes the Company Leases and the Company Ancillary Lease Documents;
(b) each Company Contract for the purchase of materials, supplies, goods, services, equipment or other assets for annual payments by the Company or any of its Subsidiaries of, or pursuant to which in the last year the Company or any of its Subsidiaries paid, in the aggregate, $500,000 or more;
(c) each Company Contract for the sale of materials, supplies, goods, services, equipment or other assets for annual payments to the Company of, or pursuant to which in the last year the Company or any of its Subsidiaries received, in the aggregate, $500,000 or more;
(d) each Company Contract that relates to any partnership, joint venture, strategic alliance or other similar Contract;
(e) each Company Contract relating to Indebtedness for borrowed money or the deferred purchase price of property (whether incurred, assumed, guaranteed or secured by any asset), except for Contracts relating to Indebtedness in an amount not exceeding $500,000 in the aggregate;
(f) each Company Contract that provides for any employment, severance, retention, transaction bonus, change in control, consulting or other similar agreement between: (i) the Company or any of its Subsidiaries, on the one hand, and (ii) any employee, director or other individual service provider of the Company or its Subsidiaries, on the other hand, other than any such Contract that is terminable “at will” or without any obligation in excess of $100,000 on the part of the Company or any of its Subsidiaries to make any severance, bonus, termination, change in control or similar payment or to provide any other benefit with a value in excess of $100,000 (other than benefits required to be provided by applicable Law);
(g) each Company Contract which by its terms limits in any respect (i) the localities in which all or any significant portion of the business and operations of the Company or any Affiliate of the Company (which will include Parent after the Effective Time), or (ii) the right of the Company or any Affiliate of the Company (which will include Parent after the Effective Time) to compete with any Person;
(h) each Company Contract in respect of any Company Intellectual Property that provides for annual payments of, or pursuant to which in the last year the Company or any of its Subsidiaries paid or received, in the aggregate, $500,000 or more;
(i) each Company Contract containing any royalty, dividend or similar arrangement based on the revenues or profits of the Company or any of its Subsidiaries;
(j) each Company Contract with any Governmental Authority;
(k) each Company Contract with (a) an executive officer or director of the Company or any of its Subsidiaries or any of such executive officer’s or director’s immediate family members, (b) an owner of more than five percent (5%) of the voting power of the outstanding capital stock of the Company, or (c) to the Knowledge of the Company, any “related person” (within the meaning of Item 404 of Regulation S-K under the Securities Act) of any such officer, director or owner (other than the Company or any of its Subsidiaries);
Annex A - 19
(l) each Company Contract that gives rise to any material payment or benefit as a result of the performance of this Agreement or any of the other Contemplated Transactions;
(m) each Company Contract relating to the acquisition or disposition of any material interest in, or any material amount of, property or assets of the Company or any of its Subsidiaries or for the grant to any Person of any preferential rights to purchase any of its assets, other than in the Ordinary Course of Business; or
(n) any other each Company Contract (or group of related agreements) the performance of which requires aggregate payments to or from the Company or any of its Subsidiaries in excess of $500,000.
The Company has delivered or made available to Parent accurate and complete (except for applicable redactions thereto) copies of all Company Material Contracts, including all amendments thereto. There are no Company Material Contracts that are not in written form. Except as set forth on Section 2.10 of the Company Disclosure Schedule, neither the Company nor any Subsidiary of Parent has, nor, to the Knowledge of the Company, any other party to a Company Material Contract, has breached, violated or defaulted under, or received notice that it has breached, violated or defaulted under, any of the material terms or conditions of any Company Material Contract in such manner as would permit any other party to cancel or terminate any such Company Material Contract, which has had or would reasonably be expected to have a Company Material Adverse Effect. As to the Company and its Subsidiaries, as of the date of this Agreement, each Company Material Contract is valid, binding, enforceable and in full force and effect, subject to: (i) Laws of general application relating to bankruptcy, insolvency and the relief of debtors; and (ii) rules of Law governing specific performance, injunctive relief and other equitable remedies. The consummation of the Contemplated Transactions will not (either alone or upon the occurrence of additional acts or events) result in any material payment or payments becoming due from the Company or the Surviving Corporation to any Person under any Company Material Contract or give any Person the right to terminate or materially alter the provisions of any Company Material Contract.
Section 2.11 Absence of Undisclosed Liabilities. As of the date hereof, neither the Company nor any Subsidiary of the Company has any Liability, Indebtedness, obligation, expense, claim, deficiency, guaranty or endorsement of any kind, whether accrued, absolute, contingent, matured or unmatured (whether or not required to be reflected in the financial statements in accordance with GAAP) (each a “Liability”), individually or in the aggregate, except for: (a) Liabilities reflected or reserved against in the most recent unaudited consolidated balance sheet of the Company (or the notes thereto) made available to Parent, (b) normal and recurring current Liabilities that have been incurred by the Company or any Subsidiary of the Company since the date of the Company’s unaudited consolidated balance sheet at September 30, 2018 in the Ordinary Course of Business, (d) Liabilities for the performance of the Company or its Subsidiaries under Company Contracts, Company Stock Option Plans or Company Employee Programs, (e) Liabilities described in Section 2.11 of the Company Disclosure Schedule or (f) Liabilities incurred in connection with the Contemplated Transactions.
Section 2.12 Compliance with Laws; Regulatory Compliance.
(a) Each of the Company and each of its Subsidiaries is in compliance with all Laws or Orders, except where any such failure to be in compliance has not had, or would not reasonably be expected to have, individually or in the aggregate, a Company Material Adverse Effect or would not reasonably be expected to prevent or materially impair the consummation of the Contemplated Transactions. No investigation, inquiry, proceeding or similar action by any Governmental Authority with respect to the Company or any of its Subsidiaries is pending or, to the Knowledge of the Company, threatened in writing, nor, to the Knowledge of the Company, has any Governmental Authority indicated in writing an intention to conduct the same which, in each case, would reasonably be expected to have a Company Material Adverse Effect.
(b) Each of the Company and its Subsidiaries holds all material Permits from the U.S. Food and Drug Administration (the “FDA”) and any other Governmental Authority that is concerned with the quality, identity, strength, purity, safety, efficacy, or manufacturing of Company product candidates (any such Governmental Authority, a “Company Regulatory Agency”), necessary for the operating of the Company’s business in material compliance with applicable Laws (the “Company Permits”), including all Company Permits required under the Federal Food, Drug and Cosmetic Act of 1938, as amended, and the regulations of the FDA promulgated thereunder (the “FDCA”), the Public Health Service Act of 1944, as amended, and the regulations of the FDA promulgated thereunder (the “PHSA”), and any comparable Laws of other applicable jurisdictions. Except as has not had, and would not reasonably be expected to have, individually or in the aggregate, a Company Material Adverse Effect, all such Company Permits are valid, and in full force and effect. There has not occurred any violation of, default (with or without notice or lapse of time or both) under, or event giving to others any right of termination, amendment or cancellation of, with or without notice or lapse of time or both, any Company Permit except as has not had, and would not reasonably be expected to have, individually or in the aggregate, a Company Material Adverse Effect. Each of the Company and its Subsidiaries is in compliance in all material respects with the terms of all Company Permits, and no event has occurred that, to the Knowledge of the Company, would reasonably be expected to result in the revocation, cancellation, non-renewal or adverse modification of any Company Permit, except as has not had, and would not reasonably be expected to have, individually or in the aggregate, a Company Material Adverse Effect.
Annex A - 20
(c) None of the Company or its Subsidiaries nor, to the Knowledge of the Company, any employee or agent thereof, has made any untrue statement of material fact or a fraudulent statement to the FDA or any other Company Regulatory Agency, or failed to disclose a material fact required to be disclosed to the FDA or other such Company Regulatory Agency, or committed an act, made a statement, or failed to make a statement, in each such case related to the Company products candidates, that, at the time such disclosure was made, would reasonably be expected to provide a basis for the FDA to invoke its policy with respect to “Fraud, Untrue Statements of Material Facts, Bribery, and Illegal Gratuities,” as set forth in 56 Fed. Reg. 46191 (Sept. 10, 1991) and any amendments thereto. None of the Company nor, to the Knowledge of the Company, any director, officer, employee or agent thereof, has engaged in any activity prohibited under U.S. federal or state criminal or civil health care Laws, including the U.S. federal Anti-Kickback Statute (42 U.S.C. § 1320a-7b(b)), the Anti-Inducement Law (42 U.S.C. § 1320a-7a(a)(5)), the False Claims Act (31 U.S.C. §§ 3729 et seq.), the Health Insurance Portability and Accountability Act (42 U.S.C. § 1320d et seq.), as amended by the Health Information, Technology for Economic and Clinical Health Act of 2009, the civil monetary penalty laws (42 U.S.C. § 1320a-7a), the FDCA, the PHSA, the regulations promulgated pursuant to such Laws, and any equivalent applicable Laws of other jurisdictions (each, a “Health Care Law”). There is no civil, criminal, administrative or other proceeding, notice or demand pending, received, or, to the Knowledge of the Company, threatened in writing against the Company that asserts an alleged violation, in any material respect, of any Health Care Law. None of the Company or its Subsidiaries or their employees or agents, has, under any Health Care Law, been debarred, excluded, suspended, or otherwise determined to be ineligible to participate in any health care programs of any Governmental Authority, convicted of any crime, or to the Knowledge of the Company, engaged in any conduct that has resulted in any such debarment, exclusion, suspension, ineligibility, or conviction, including any debarment mandated by 21 U.S.C. § 335a(a) or any similar Law or authorized by 21 U.S.C. § 335a(b) or any similar Law. The Company and its Subsidiaries are not party to any consent decrees (including plea agreements) or similar actions to which the Company or, to the Knowledge of the Company, any director, officer, employee or agent thereof, are bound or which relate to Company product candidates.
(d) Each of the Company and its Subsidiaries is in compliance in all material respects with all applicable Laws enforced by, and Orders of, the FDA and any other Company Regulatory Agency with respect to the labeling, storing, testing, development, manufacture, packaging and distribution of the Company product candidates. All required pre-clinical toxicology studies conducted by or on behalf of the Company, and all clinical trials sponsored by the Company or any of its Subsidiaries are being conducted in compliance in all material respects with applicable Company Permits and applicable Laws, including the applicable requirements of the FDCA and the regulations of the FDA promulgated thereunder, including any applicable requirements of 21 C.F.R. Parts 50, 54, 56, 58, 210, 211, and 312. The material results of any such studies, tests and trials, and all other material information related to such studies, tests and trials, have been made available to Parent. Each clinical trial conducted by or, to the Knowledge of the Company, on behalf of the Company or any of its Subsidiaries with respect to Company product candidates has been conducted in compliance in all material respects with all applicable Laws, including FDCA and the regulations of the FDA promulgated thereunder, including any applicable requirements of 21 C.F.R. Parts 50, 54, 56, 58, 210, 211 and 312. The Company has filed with applicable Company Regulatory Agencies all material notices required to be filed (and made available to Parent copies thereof) of adverse drug experiences, injuries or deaths relating to clinical trials conducted by or on behalf of the Company or any of its Subsidiaries with respect to the Company product candidates.
(e) The Company and its Subsidiaries have not received any written notice that the FDA or any other Company Regulatory Agency has initiated, or threatened in writing to initiate, any action to suspend any clinical trial, suspend or terminate any Investigational New Drug Application or similar Health Care Permit sponsored by the Company or any of its Subsidiaries, or otherwise materially restrict the pre-clinical research or clinical study of any Company product candidate or any drug product being developed by or on behalf of the Company or any of its Subsidiaries, or to recall, suspend or otherwise materially restrict the development or manufacture of any Company product candidate, except as has not had, and would not reasonably be expected to have, individually or in the aggregate, a Company Material Adverse Effect. To the Knowledge of the Company, there is no act, omission, event or circumstance that would reasonably be expected to give rise to any such action or event.
Annex A - 21
(f) With respect to the Company’s business, the Company has made available to Parent for review copies of any and all material regulatory applications and submissions (and any supplements or amendments thereto) under applicable Health Care Laws; Company Permits; written notices of inspectional observations and establishment inspection reports of Company Regulatory Agencies; notifications, communications, correspondence, registrations, master files, and/or other filings made to, received from or otherwise conducted with a Company Regulatory Agency, reports or other documents of the Company or any of its Subsidiaries that assert or address lack of material compliance with any Health Care Laws, or the likelihood or timing of marketing approval of any Company product candidates; records and other materials maintained to comply with applicable Health Care Laws (e.g., regarding good laboratory practice, good clinical practice, and good manufacturing practice); and records that are necessary or advisable in order to obtain Company Permits or other approvals from Company Regulatory Agencies. Such books and records are complete and correct in all material respects and have been maintained in accordance with sound business practices, including the maintenance of an adequate system of internal controls.
Section 2.13 Taxes and Tax Returns.
(a) Each material Tax Return required to be filed by, or on behalf of, the Company or any of its Subsidiaries, and each material Tax Return in which the Company or any of its Subsidiaries was required to be included, has been filed. Each such Tax Return is true, correct and complete in all material respects.
(b) The Company and each of its Subsidiaries (i) has paid (or has had paid on its behalf) all material Taxes due and owing, whether or not shown as due on any Tax Return, and (ii) has withheld and remitted to the appropriate Taxing Authority, or properly set aside, all material Taxes required to be withheld and paid in connection with any amounts paid or owing to or collected from any employee, independent contractor, supplier, creditor, stockholder, partner, member or other third party, and all Forms W-2 and 1099 required with respect thereto have been filed.
(c) The unpaid Taxes of the Company and its Subsidiaries (A) did not, as of September 30, 2018, exceed the reserve for Tax liability (rather than any reserve for deferred Taxes established to reflect timing differences between book and Tax income) set forth on the face of the Company Financial Statements (rather than in any notes thereto), and (B) will not exceed that reserve as adjusted for operations and transactions through the Closing Date in accordance with the past custom and practice of the Company and its Subsidiaries in filing their Tax Returns.
(d) There are no material liens for Taxes (other than Taxes not yet due and payable or that are being contested in good faith pursuant to appropriate proceedings) upon any of the assets of the Company or any of its Subsidiaries.
(e) None of the Company or any of its Subsidiaries has waived any statute of limitations with respect to any material Taxes or agreed to any extension of the period for assessment or collection of any Taxes to a date after the Closing Date.
(f) No audit or other examination of any Tax Return of the Company or any of its Subsidiaries by any Taxing Authority has occurred within the past three (3) years and there is no material Tax claim, audit, suit, or administrative or judicial Tax proceeding now pending or presently in progress or threatened in writing by a taxing authority with respect to a material Tax Return of the Company or any of its Subsidiaries.
(g) None of the Company or any of its Subsidiaries has distributed stock of a corporation, or has had its stock distributed, in a transaction purported or intended to be governed in whole or in part by Sections 355 or 361 of the Code within the five (5) year period ending on the date of this Agreement.
(h) None of the Company or any of its Subsidiaries (A) is or has ever been a member of a group of corporations that files or has filed (or has been required to file) consolidated, combined, or unitary Tax Returns, other than a group the common parent of which is or was the Company, or (B) has any liability for the Taxes of any person (other than the Company or any of its Subsidiaries) under Treasury Regulations Section 1.1502-6 (or any similar provision of state, local or non-U.S. Law), as a transferee or successor pursuant to any written agreement, a principal purpose of which is the sharing of, or indemnification for, Taxes (a “Tax Sharing Agreement”). None of the Company or any of its Subsidiaries is party to or has any obligation under any Tax Sharing Agreement.
Annex A - 22
(i) None of the Company or any of its Subsidiaries has been a United States real property holding corporation within the meaning of Section 897(c)(2) of the Code at any time during the applicable period specified in Section 897(c)(1)(A)(ii) of the Code.
(j) None of the Company or any of its Subsidiaries has participated in a “listed transaction” within the meaning of Treasury Regulations Section 1.6011-4(b)(2) (or any predecessor provision).
(k) None of the Company or any of its Subsidiaries will be required to include any material item of income in, or exclude any material item of deduction from, taxable income for any taxable period (or portion thereof) ending after the Closing Date as a result of any:
(i) change in method of accounting made prior to the Closing Date, or use of an improper method of accounting for a taxable period ending on or prior to the Closing Date;
(ii) “closing agreement” as described in Section 7121 of the Code (or any corresponding or similar provision of state, local or non-U.S. income Tax Law) executed prior to the Closing;
(iii) installment sale or open transaction disposition made prior to the Closing;
(iv) intercompany transaction or excess loss account described in Treasury Regulations under Section 1502 of Code (or any corresponding or similar provision of state, local, or non-U.S. income Tax Law);
(v) transactions effected or investments made prior to the Closing that result in taxable income pursuant to Section 951(a) or 951A of the Code;
(vi) prepaid amount received (or deferred revenue accrued) prior to the Closing;
(vii) election with respect to income from the discharge of indebtedness under Section 108(i) of the Code made prior to the Closing; or
(viii) an election under Section 965 of the Code made prior to the Closing.
(l) No written claim has been made by any Taxing Authority in a jurisdiction where it does not file Tax Returns that the Company or any of its Subsidiaries is or may be subject to Tax or required to file a Tax Return in the jurisdiction.
(m) None of the Company or any Subsidiary (i) has, or has ever had, a permanent establishment in any country other than the country in which it is organized and resident, (ii) has engaged in a trade or business in any country other than the country in which it is organized and resident that subjected it to Tax in such country, and (iii) is, or has ever been, subject to Tax in a jurisdiction outside the country in which it is organized and resident.
(n) No Subsidiary of the Company that is incorporated in a non-US jurisdiction has an investment in “United States Property” within the meaning of Section 956(c) of the Code.
(o) All transactions between the Company and each of its Subsidiaries are at arm’s-length, in compliance in all material respects with all applicable transfer pricing laws and regulations.
(p) As of the date hereof, neither the Company nor any of its Subsidiaries or their Affiliates has taken or agreed to take any action, nor does the Company or any of its Subsidiaries have knowledge of any fact or circumstance that could reasonably be expected to prevent the Merger, together with the issuance of shares of Parent Common Stock to the Company Stockholders, from qualifying as a reorganization within the meaning of Section 368(a) of the Code. To the Company’s knowledge, there are no agreements, plans or other circumstances that would reasonably be expected to prevent the Merger, together with the issuance of shares of Parent Common Stock to the Company Stockholders, from qualifying as a reorganization within the meaning of Section 368(a) of the Code.
(q) Notwithstanding any provision in this Agreement to the contrary, the Company does not make (and shall not be construed to be making) any representation or warranty as to the existence, amount, utilization or any other aspect of any net operating or capital loss, carryovers, carryforwards of business or other tax credits, tax basis, earnings and profits, or any other tax attribute (whether of the Company or any of its Subsidiaries) after the Closing, and the representations contained in Section 2.13 and Section 2.14 (solely as such representations relate to Taxes or Tax Returns) (the “Company Tax Representations”) shall constitute the sole and exclusive representations and warranties by the Company with respect to Taxes or Tax Returns. Other than the Company Tax Representations in Section 2.13(h), Section 2.13(k) and Section 2.13(p), no Company Tax Representation shall be deemed to apply directly or indirectly with respect to any taxable period after the Closing.
Annex A - 23
Section 2.14 Employee Benefit Programs.
(a) Section 2.14(a) of the Company Disclosure Schedule sets forth a list of every Employee Program maintained by the Company or any of its Subsidiaries (the “Company Employee Programs”).
(b) Each Company Employee Program that is intended to qualify under Section 401(a) of the Code has received a favorable determination or approval letter from the IRS with respect to such qualification, or may rely on an opinion letter issued by the IRS with respect to a prototype plan adopted in accordance with the requirements for such reliance, or has time remaining for application to the IRS for a determination of the qualified status of such Company Employee Program for any period for which such Company Employee Program would not otherwise be covered by an IRS determination. To the Knowledge of the Company, no event or omission has occurred that would reasonably be expected to cause any Company Employee Program intended to qualify under Section 401(a) of the Code to lose its qualification or otherwise fail to satisfy the relevant requirements to provide tax-favored benefits.
(c) Each Company Employee Program has been administered in all material respects in accordance with its terms and in accordance with ERISA, the Code and other applicable Laws. No litigation or governmental administrative proceeding (or investigation) or other proceeding (other than those relating to routine claims for benefits) is pending or, to the Knowledge of the Company, threatened in writing with respect to any such Company Employee Program. All payments and/or contributions required to have been made (under the provisions of any agreements or other governing documents or applicable Laws) with respect to all Company Employee Programs, for all periods prior to the Closing Date, either have been made or have been accrued or otherwise adequately reserved on the Company Financial Statements except as would not be material.
(d) No Company Employee Program has been or is subject to Section 302 or Title IV of ERISA and/or Code Section 412, including a Multiemployer Plan, and the Company does not have any liability for any Employee Program that is subject to Title IV of ERISA and that is or has been maintained, contributed to, or required to be contributed to by an ERISA Affiliate of the Company. None of the Company Employee Programs provides (or has ever provided) health care or any other welfare benefits to any employees after their employment is terminated (other than as required by part 6 of subtitle B of title I of ERISA or state continuation Laws to which the former employee pays all required premiums) or has ever promised to provide such post-termination benefits.
(e) For purposes of this Section 2.14:
(i) An entity “maintains” an Employee Program if such entity sponsors, contributes to, or provides benefits under or through such Employee Program, or has any obligation (by agreement or under applicable Laws) to contribute to or provide benefits under or through such Employee Program, or if such Employee Program provides benefits to or otherwise covers or has covered employees of such entity (or their spouses, dependents, or beneficiaries).
(ii) An entity is an “ERISA Affiliate” of the Company if it would have ever been considered a single employer with the Company or any Subsidiary of the Company under ERISA Section 4001(b) or Code Section 414(b), (c), or (m).
(f) Notwithstanding any other provision of this Agreement, the representations and warranties contained in Section 2.14(a) through Section 2.14(e) constitute the sole and exclusive representations and warranties of the Company and its Subsidiaries relating to ERISA and other Laws relating to employee benefits matters.
Section 2.15 Labor and Employment Matters.
(a) None of the Company or any of its Subsidiaries is a party to, or otherwise bound by, any collective bargaining agreement, contract, or other written agreement with a labor union or labor organization. Neither the Company nor any of its Subsidiaries is subject to, and during the past three (3) years there has not been, any charge, demand, petition, organizational campaign, or representation proceeding seeking to compel, require, or demand it to bargain with any labor union or labor organization nor is there pending any labor strike or lockout involving the Company.
Annex A - 24
(b) Except as would not, individually or in the aggregate, have a Company Material Adverse Effect, (i) the Company and its Subsidiaries are in compliance with all applicable material Laws respecting labor, employment, fair employment practices, work safety and health, terms and conditions of employment, and wages and hours, including Title VII of the Civil Rights Act of 1964, as amended, the Equal Pay Act of 1967, as amended, the Age Discrimination in Employment Act of 1967, as amended, the Americans with Disabilities Act, as amended, the Fair Labor Standards Act, as amended, and its state and local law equivalents, and the related rules and regulations adopted by those federal and state agencies responsible for the administration of such Laws, and other than normal accruals of wages during regular payroll cycles, there are no arrearages in the payment of wages, (ii) neither the Company nor any of its Subsidiaries is delinquent in any payments to any employee or to any independent contractors, consultants, temporary employees, leased employees or other servants or agents employed or used with respect to the operation of the Company’s business and classified by the Company or any of its Subsidiaries as other than an employee or compensated other than through wages paid by the Company or any of its Subsidiaries through its respective payroll department (“Company Contingent Workers”), for any wages, salaries, commissions, bonuses, fees or other direct compensation due with respect to any services performed for it to the date hereof or amounts required to be reimbursed to such employees or Company Contingent Workers, (iii) there are no grievances, complaints or charges with respect to employment or labor matters (including allegations of employment discrimination, retaliation or unfair labor practices) pending or, to the Knowledge of the Company, threatened in writing against the Company or any of its Subsidiaries in any judicial, regulatory or administrative forum or under any private dispute resolution procedure, (iv) all employees of the Company and its Subsidiaries are employed at-will and no such employees are subject to any contract with the Company or any of its Subsidiaries or any policy or practice of the Company providing for right of notice of termination of employment or the right to receive severance payments or similar benefits upon the termination of employment by the Company or any of its Subsidiaries, (v) neither the Company nor any of its Subsidiaries has experienced a “plant closing,” “business closing,” or “mass layoff” as defined in the Worker Adjustment and Retraining Notification Act (the “WARN Act”) or any similar Law affecting any site of employment of the Company or any of its Subsidiaries or one or more facilities or operating units within any site of employment or facility of the Company or any of its Subsidiaries, and, during the ninety (90)-day period preceding the date hereof, no employee has suffered an “employment loss,” as defined in the WARN Act, with respect to the Company or any of its Subsidiaries, and (vi) there are no pending or, to the Knowledge of the Company, threatened or reasonably anticipated claims or actions against the Company or any of its Subsidiaries under any workers’ compensation policy or long-term disability policy.
(c) Notwithstanding any other provision of this Agreement, the representations and warranties contained in Section 2.15(a) and Section 2.15(b) constitute the sole and exclusive representations and warranties of the Company and its Subsidiaries relating to collective bargaining matters and compliance with Labor Laws.
Section 2.16 Environmental Matters. Except as would not, individually or in the aggregate, have a Company Material Adverse Effect:
(a) the Company and its Subsidiaries are in compliance with all Environmental Laws applicable to their operations and use of the Company Leased Real Property;
(b) none of the Company or any of its Subsidiaries has generated, transported, treated, stored, or disposed of any Hazardous Material, except in material compliance with all applicable Environmental Laws, and there has been no Release or threat of Release of any Hazardous Material by the Company or its Subsidiaries at or on the Company Leased Real Property that requires reporting, investigation or remediation by the Company or its Subsidiaries pursuant to any Environmental Law; and
(c) none of Parent or any of its Subsidiaries has (i) received written notice under the citizen suit provisions of any Environmental Law, or (ii) been subject to or, to the Knowledge of the Company, threatened in writing with any governmental or citizen enforcement action with respect to any Environmental Law.
(d) Notwithstanding any other provision of this Agreement, the representations and warranties contained in Section 2.16 constitute the sole and exclusive representations and warranties of the Company and its Subsidiaries relating to Environmental Laws.
Section 2.17 Insurance. The Company has delivered or made available to Parent accurate and complete copies of all material insurance policies relating to the business, assets, liabilities and operations of the Company and each Subsidiary of the Company, as of the date hereof. Each of such insurance policies is in full force and effect and the Company and each Subsidiary of the Company are in compliance in all material respects with the terms thereof. Other than customary end of policy notifications from insurance carriers, since January 1, 2016, neither the Company nor any Subsidiary of the Company has received any written notice regarding any actual or possible: (i) cancellation or invalidation of any insurance policy, (ii) refusal or denial of any coverage, reservation of rights or rejection of any material claim under any insurance policy, or (iii) material adjustment in the amount of the premiums payable with respect to any insurance policy.
Annex A - 25
Section 2.18 Books and Records. Each of the minute and record books of the Company has been made available to Parent and contains, in all material respects, complete and accurate minutes of all meetings of, and copies of all bylaws and resolutions passed by, or consented to in writing by, the directors (and any committees thereof) and stockholders of the Company, since January 1, 2013 and which are required to be maintained in such books under applicable Laws; all such meetings were duly called and held and all such bylaws and resolutions were duly passed or enacted.
Section 2.19 Transactions with Affiliates. Except as set forth in the Company SEC Reports filed prior to the date of this Agreement, since the date of the Company’s last proxy statement filed in 2018 with the SEC, no event has occurred that would be required to be reported by the Company pursuant to Item 404 of Regulation S-K promulgated by the SEC. Section 2.19 of the Company Disclosure Schedule identifies each Person who is (or who may be deemed to be) an “affiliate” (as that term is used in Rule 12b-2 under the Exchange Act) of the Company as of the date of this Agreement.
Section 2.20 Legal Proceedings; Orders.
(a) There is no pending Legal Proceeding, and, to the Knowledge of the Company, no Person has threatened in writing to commence any Legal Proceeding: (i) that involves the Company, any Subsidiary of Parent, any director or officer of the Company (in his or her capacity as such) or any of the material assets owned or used by the Company and/or any Subsidiary, or (ii) that challenges, or that may have the effect of preventing, delaying, making illegal or otherwise interfering with, the Merger or any of the other Contemplated Transactions. To the Knowledge of the Company, no event has occurred, and no claim, dispute or other condition or circumstance exists, that will, or that would reasonably be expected to, give rise to or serve as a basis for the commencement of any such Legal Proceeding.
(b) There is no order, writ, injunction, judgment or decree to which the Company or any Subsidiary of the Company, or any of the assets owned or used by the Company or any Subsidiary of the Company, is subject. To the Knowledge of the Company, no executive officer of the Company or any Subsidiary of the Company is subject to any order, writ, injunction, judgment or decree that prohibits such officer or other employee from engaging in or continuing any conduct, activity or practice relating to the Company’s business or to any material assets owned or used by the Company or any Subsidiary of the Company.
Section 2.21 Illegal Payments. None of the Company, any of its Subsidiaries, or, to the Knowledge of the Company, any of their respective directors, officers, employees or agents have, directly or indirectly, made, offered, promised or authorized any payment or gift of any money or anything of value to or for the benefit of any “foreign official” (as such term is defined in the U.S. Foreign Corrupt Practices Act (the “FCPA”)), foreign political party or official thereof or candidate for foreign political office for the purpose of, in violation of applicable Laws: (i) influencing any act or decision of such foreign official in his, her or its official capacity, including a decision to fail to perform his, her or its official duties or functions, or (ii) inducing such foreign official to use his, her or its influence with any Governmental Authority to affect or influence any act or decision of such Governmental Authority, or to obtain an improper advantage in order to assist the Company, any of its Subsidiaries or any other Person in obtaining or retaining business for or with, or directing business to, the Company or any of its Subsidiaries. Notwithstanding any other provision of this Agreement, the representations and warranties contained in this Section 2.21 constitute the sole and exclusive representations and warranties of the Company and its Subsidiaries relating to compliance with Anticorruption Laws.
Section 2.22 Inapplicability of Anti-takeover Statutes. The Board of Directors of the Company has taken and will take all actions necessary to ensure that the restrictions applicable to business combinations contained in Section 203 of the DGCL are, and will be, inapplicable to the execution, delivery and performance of this Agreement and to the consummation of the Merger and the other Contemplated Transactions.
Section 2.23 Vote Required. The affirmative vote (or action by written consent) of the holders of a majority of the outstanding shares of Company Common Stock (the “Company Stockholder Approval”) is the only vote or consent of the holders of any class or series of Company Capital Stock necessary to adopt or approve this Agreement, approve the Merger, and the Contemplated Transactions and the other matters set forth in Section 5.2(a) of this Agreement.
Section 2.24 No Financial Advisor. Except as set forth on Section 2.24 of the Company Disclosure Schedule, no broker, finder or investment banker is entitled to any brokerage fee, finder’s fee, opinion fee, success fee, transaction fee or other fee or commission in connection with the Merger or any of the other Contemplated Transactions based upon arrangements made by or on behalf of the Company or any Subsidiary of the Company.
Annex A - 26
Section 2.25 Investment Company Act. The Company is not, and at the Effective Time will not be, required to be registered under the Investment Company Act of 1940, as amended.
Section 2.26 Disclosure; Company Information. None of the information provided by the Company specifically for inclusion in the Joint Proxy Statement/Prospectus will, at the time of the mailing of the Joint Proxy Statement/Prospectus or any amendment or supplement thereto or at the time of the Parent Stockholder Meeting, contain any untrue statement of a material fact or omit to state any material fact required to be stated therein or necessary in order to make the statements therein, in light of the circumstances under which they were made, not misleading. None of the information provided by the Company to be included in the Form S-4 Registration Statement will, at the time the Form S-4 Registration Statement is filed with the SEC or at the S-4 Effective Date, contain any untrue statement of a material fact or omit to state any material fact required to be stated therein or necessary in order to make the statements therein, in light of the circumstances under which they were made, not misleading. Notwithstanding the foregoing, no representation is made by the Company with respect to the information that has been or will be supplied by Parent, Merger Sub, or any of their Representatives for inclusion in the Joint Proxy Statement/Prospectus.
Section 2.27 No Other Representations or Warranties. The Company hereby acknowledges and agrees that, except for the representations and warranties contained in this Agreement, neither Parent nor any of its Subsidiaries nor any other person on behalf of Parent or its Subsidiaries makes any express or implied representation or warranty with respect to Parent or its Subsidiaries or with respect to any other information provided to the Company, any of its Subsidiaries or their respective stockholders, Affiliates or Representatives in connection with the transactions contemplated hereby, and (subject to the express representations and warranties of Parent set forth in Article 3 (in each case as qualified and limited by the Parent SEC Reports and the Parent Disclosure Schedule)) none of the Company, its Subsidiaries or any of their respective stockholders, Affiliates or Representatives, has relied on any such information (including the accuracy or completeness thereof).
Article
3
REPRESENTATIONS AND WARRANTIES OF PARENT
Parent represents and warrants to the Company as follows, except as set forth in (x) the Parent SEC Reports filed after January 1, 2015 and prior to the date hereof (other than any disclosures contained or referenced therein under the captions “Risk Factors,” “Forward-Looking Statements,” “Quantitative and Qualitative Disclosures About Market Risk” and any other disclosures contained or referenced therein of information, factors or risks that are cautionary, predictive or forward-looking in nature), or (y) the written disclosure schedule delivered by Parent to the Company (the “Parent Disclosure Schedule”). The Parent Disclosure Schedule shall be arranged in parts and subparts corresponding to the numbered and lettered sections and subsections contained in this Article 3. The disclosures in any part or subpart of the Parent Disclosure Schedule shall qualify other Sections and subsections in this Article 3 to the extent it is reasonably apparent from the face of the disclosure that such disclosure is applicable to such other Sections and subsections.
Section 3.1 Organization.
(a) Parent is a corporation validly existing and in good corporate standing under the Laws of the State of Delaware. Parent has all requisite corporate power and authority to own, lease and operate its properties and assets and to carry on its business as it is now being conducted. Parent is duly licensed or qualified to do business and is in corporate good standing in each jurisdiction in which the nature of the business conducted by it or the character or location of the properties and assets owned, leased, or operated by it makes such licensing or qualification necessary, except where the failure to be so licensed or qualified and in corporate good standing would not, either individually or in the aggregate, reasonably be expected to have a Parent Material Adverse Effect. The Parent Charter and Parent Bylaws, copies of which have previously been made available to the Company, are true, correct and complete copies of such documents as currently in effect and Parent is not in violation of any provision thereof. Other than the Parent Charter and Parent Bylaws, Parent is not a party to or bound by or subject to any stockholder agreement or other similar agreement governing the voting or transfer of the capital stock of Parent and is not subject to a stockholder rights plan.
Annex A - 27
(b) Merger Sub is a corporation duly incorporated, validly existing and in good corporate standing under the Laws of the State of Delaware. Merger Sub was formed solely for the purpose of engaging in the Merger. All of the issued and outstanding capital stock of Merger Sub, which consists of 1,000 shares of common stock, $0.0001 par value, is validly issued, fully paid and non-assessable, and is owned, beneficially and of record, by Parent, free and clear of any claim, lien, Encumbrance, or agreement with respect thereto. Except for obligations and liabilities incurred in connection with its incorporation and the Merger, Merger Sub has not, and will not have, incurred, directly or indirectly, any obligations or liabilities or engaged in any business activities of any type or kind whatsoever or entered into any agreements or arrangements with any Person. The Certificate of Incorporation and Bylaws of Merger Sub, copies of which have previously been made available to the Company, are true, correct and complete copies of such documents as currently in effect and Merger Sub is not in violation of any provision thereof.
(c) Each Subsidiary of Parent is a corporation or legal entity, validly existing and, if applicable, in good standing under the Laws of the jurisdiction of its organization. Each Subsidiary of Parent has all requisite corporate power or other power and authority to own, lease and operate its properties and assets and to carry on its business as it is now being conducted. Each Subsidiary of Parent is duly licensed or qualified to do business in each jurisdiction in which the nature of the business conducted by it or the character or location of the properties and assets owned, leased, or operated by it makes such licensing or qualification necessary, except where the failure to be so licensed or qualified and in good standing would not, either individually or in the aggregate, reasonably be expected to have a Parent Material Adverse Effect. The certificate of incorporation and bylaws or equivalent organizational documents of each of Parent’s Subsidiaries (other than Merger Sub), copies of which have previously been made available to the Company, are true, correct and complete copies of such documents as currently in effect and such Subsidiaries of Parent are not in violation of any provision thereof.
Section 3.2 Capitalization.
(a) As of the date hereof, the authorized capital stock of Parent consists of (i) 250,000,000 shares of Parent Common Stock and (ii) 15,000,000 shares Parent Preferred Stock, of which (A) 1,500,000 shares are designated as Series A Preferred Stock, and (B) 500,000 shares of which are designated as Series A-1 Preferred Stock. As of December 31, 2018, there were 7,555,004 shares of Parent Common Stock issued and outstanding, 550,000 shares of Parent Series A Preferred Stock issued and outstanding and 500,000 shares of Parent Series A-1 Preferred Stock issued and outstanding. As of the date hereof, there are no shares of Parent Common Stock and no shares of Parent Preferred Stock held in the treasury of Parent. Parent has no shares of Parent Common Stock or Parent Preferred Stock reserved for issuance other than as described herein or in the Parent Disclosure Schedule. The outstanding shares of Parent Common Stock have been duly authorized, validly issued, fully paid and nonassessable, and were not issued in violation of the material terms of any agreement binding upon Parent at the time at which they were issued and were issued in compliance with the Parent Charter and Parent Bylaws and all applicable securities Laws. As of December 31, 2018, there were 1,050,000 shares of Parent Common Stock issuable, and reserved for issuance, upon conversion of all outstanding shares of Parent Series A Preferred Stock and Parent Series A-1 Preferred Stock, subject to adjustment on the terms set forth in the applicable certificates of designation.
(b) Except for the Parent Stock Option Plans and the Parent Warrants, Parent does not have and is not bound by any outstanding subscriptions, options, warrants, calls, commitments, rights agreements, or agreements of any character calling for Parent to issue, deliver, or sell, or cause to be issued, delivered, or sold any shares of Parent Common Stock or any other equity security of Parent or any Subsidiary of Parent or any securities convertible into, exchangeable for, or representing the right to subscribe for, purchase, or otherwise receive any shares of Parent Common Stock or any other equity security of Parent or any Subsidiary of Parent or obligating Parent or any such Subsidiary to grant, extend, or enter into any such subscriptions, options, warrants, calls, commitments, rights agreements, or any other similar agreements. There are no registration rights, repurchase or redemption rights, anti-dilutive rights, voting agreements, voting trusts, preemptive rights or restrictions on transfer relating to any capital stock of Parent.
(c) As of December 31, 2018, there were 1,341,000 shares of Parent Common Stock issuable upon exercise of all outstanding Parent Stock Options, subject to adjustment on the terms set forth in the Parent Stock Option Plans. Section 3.2(c) of the Parent Disclosure Schedule sets forth a true, correct and complete list, as of the date hereof, of (i) the name of the holder of each Parent Stock Option, (ii) the date each Parent Stock Option was granted, (iii) the number, issuer and type of securities subject to each such Parent Stock Option, (iv) the expiration date of each such Parent Stock Option, (v) the vesting schedule of each such Parent Stock Option, (vi) the price at which each such Parent Stock Option (or each component thereof, if applicable) may be exercised, (vii) the number of shares of Parent Common Stock issuable upon the exercise of such, or upon the conversion of all securities issuable upon the exercise of such, Parent Stock Options, and (viii) whether and to what extent the exercisability of each Parent Stock Option will be accelerated upon consummation of the Contemplated Transactions or any termination of employment thereafter.
Annex A - 28
(d) As of December 31, 2018, there were 6,075,769 shares of Parent Common Stock issuable upon exercise of all outstanding Parent Warrants, subject to adjustment on the terms set forth in the Parent Warrants. Section 3.2(d) of the Parent Disclosure Schedule sets forth a true, correct and complete list, as of the date hereof, of (i) the name of the holder of each Parent Warrant, (ii) the date each Parent Warrant was issued, (iii) the number, issuer and type of securities subject to each such Parent Warrant, (iv) the expiration date of each such Parent Warrant, (v) the price at which each such Parent Warrant (or each component thereof, if applicable) may be exercised, and (vi) the number of shares of Parent Common Stock issuable upon the exercise of such, or upon the conversion of all securities issuable upon the exercise of such, Parent Warrant.
(e) As of the date hereof, there are no shares of Parent Common Stock subject to forfeiture under outstanding Parent Restricted Stock Awards. Section 3.2(d) of the Parent Disclosure Schedule sets forth a true, correct and complete list, as of the date hereof, of (i) the name of the holder of each Parent Restricted Stock Award, (ii) the number of shares of Parent Common Stock subject to the award, (iii) the vesting schedule of each such Parent Restricted Stock Award, and (iv) whether and to what extent the vesting of each Parent Restricted Stock Award will be accelerated upon consummation of the Contemplated Transactions or any termination of employment thereafter.
(f) Section 3.2(f) of the Parent Disclosure Schedule lists each Subsidiary of Parent, other than Merger Sub, as of the date hereof and indicates for each such Subsidiary as of such date (i) the percentage and type of equity securities owned or controlled, directly or indirectly, by Parent, and (ii) the jurisdiction of incorporation or organization. No Subsidiary of Parent has or is bound by any outstanding subscriptions, options, warrants, calls, commitments, rights agreements, or agreements of any character calling for it to issue, deliver, or sell, or cause to be issued, delivered, or sold any of its equity securities or any securities convertible into, exchangeable for, or representing the right to subscribe for, purchase or otherwise receive any such equity security or obligating such Subsidiary to grant, extend or enter into any such subscriptions, options, warrants, calls, commitments, rights agreements, or other similar agreements. There are no outstanding contractual obligations of any Subsidiary of Parent to repurchase, redeem, or otherwise acquire any of its capital stock or other equity interests. All of the shares of capital stock of each of the Subsidiaries of Parent (A) have been duly authorized and are validly issued, fully paid (to the extent required under the applicable governing documents) and nonassessable, and (B) are owned by Parent free and clear of any claim, lien, Encumbrance (other than Permitted Encumbrances), or agreement with respect thereto.
(g) The Parent Common Stock to be issued in the Merger, and upon exercise of the Company Warrants and conversion of the Company Convertible Notes, will, when issued in accordance with the provisions of this Agreement, the Company Warrants and the Company Convertible Notes, have been duly authorized, and be validly issued, fully paid and nonassessable.
Section 3.3 Authority. Each of Parent and Merger Sub has all requisite corporate power and authority to execute and deliver this Agreement and to consummate the Contemplated Transactions and perform its respective obligations hereunder, subject only to obtaining Parent Stockholder Approval. The adoption, execution, delivery and performance of this Agreement and the approval of the consummation of the Contemplated Transactions have been duly and validly adopted and approved by each of the Board of Directors of Parent and Merger Sub by unanimous vote of the directors participating in such votes. The Board of Directors of Parent has recommended that the stockholders of Parent approve the Parent Stockholder Proposals at the Parent Stockholder Meeting. The Board of Directors of Merger Sub has declared this Agreement advisable and has recommended that the sole stockholder of Merger Sub adopt this Agreement and approve the Merger. Except for Parent Stockholder Approval and the filing of the Certificate of Merger with the Secretary of State of the State of Delaware, no other corporate or other proceeding on the part of Parent or Merger Sub is necessary to authorize the adoption, execution, delivery and performance of this Agreement or to consummate the Merger and the other Contemplated Transactions. This Agreement has been duly and validly executed and delivered by Parent and Merger Sub, and (assuming due authorization, execution and delivery by the other parties hereto), constitutes the legal, valid and binding obligations of Parent and Merger Sub, enforceable against Parent and Merger Sub in accordance with its terms, subject to applicable bankruptcy, insolvency, reorganization, moratorium, or other similar Laws relating to creditors’ rights and general principles of equity.
Annex A - 29
Section 3.4 Non-Contravention; Consents.
(a) The execution and delivery of this Agreement by Parent and Merger Sub does not, and the consummation by Parent and Merger Sub of the Contemplated Transactions will not, (i) conflict with, or result in any violation or breach of, any provision of the Parent Charter or Parent Bylaws or of the charter, bylaws, or other organizational document of any Subsidiary of Parent, (ii) conflict with, or result in any violation or breach of, or constitute (with or without notice or lapse of time, or both) a default (or give rise to a right of termination, cancellation or acceleration of any obligation or loss of any material benefit) under, require a consent or waiver under, constitute a change in control under, require the payment of a penalty under or result in the imposition of any Encumbrances on Parent’s or any of its Subsidiaries’ assets under, any of the terms, conditions or provisions of any Parent Material Contract or other agreement, instrument or obligation to which Parent or any of its Subsidiaries is a party or by which any of them or any of their properties or assets may be bound, or (iii) subject to obtaining Parent Stockholder Approval and subject to the consents, approvals and authorizations specified in clauses (i) through (v) of Section 3.4(b) having been obtained prior to the Effective Time and all filings and notifications described in Section 3.4(b) having been made, conflict with or violate any Law applicable to Parent or any of its Subsidiaries or any of its or their properties or assets, except in the case of clauses (ii), and (iii) of this Section 3.4(a) for any such conflicts, violations, breaches, rights of termination, Encumbrances, penalties, defaults, terminations, cancellations, accelerations, losses, changes of control, or payments, that have not had, and would not reasonably be expected to result in, a Parent Material Adverse Effect.
(b) No consent, approval, license, permit, order or authorization of, or registration, declaration, notice or filing with, any Governmental Authority is required by or with respect to Parent or any of its Subsidiaries in connection with the execution and delivery of this Agreement by Parent and Merger Sub or the consummation by Parent and Merger Sub of the Contemplated Transactions, except for (i) obtaining Parent Stockholder Approval, (ii) the filing of the Certificate of Merger with the Delaware Secretary of State and appropriate corresponding documents with the appropriate authorities of other states in which Parent is qualified as a foreign corporation to transact business, (iii) any filings required to be made with the SEC in connection with Parent Stockholder Meeting, this Agreement and the Contemplated Transactions (including (A) the filing of the Form S-4 Registration Statement and the Joint Proxy Statement/Prospectus with the SEC in accordance with the Securities Act and the Exchange Act, respectively, and (B) the filing of a Form D Notice of Exempt Offering of Securities or other filings under the Securities Act, the Exchange Act or applicable state securities Laws in connection with the Contemplated Transactions ), (iv) such consents, approvals, orders, authorizations, registrations, declarations, notices and filings as may be required under applicable state securities Laws, the rules and regulations of NASDAQ, and (v) such other consents, licenses, permits, orders, authorizations, filings, approvals and registrations which, if not obtained or made, have not had, and would not reasonably be expected to result in, a Parent Material Adverse Effect.
(c) This Section 3.4 does not relate to (i) Tax Laws, which are governed exclusively by Section 3.13 and Section 3.14, (ii) ERISA or other Laws regarding employee benefit matters, which are governed exclusively by Section 3.14, (iii) Labor Laws, which are governed exclusively by Section 3.15, (iv) Environmental Laws, which are governed exclusively by Section 3.16, or (v) Anticorruption Laws, which are governed exclusively by Section 3.21.
Section 3.5 SEC Filings; Financial Statements.
(a) Parent has filed or furnished, as applicable, on a timely basis all forms, statements, certifications, reports and documents required to be filed or furnished by it with the SEC under the Exchange Act or the Securities Act since January 1, 2012 (the forms, statements, reports and documents filed or furnished since January 1, 2012 and those filed or furnished subsequent to the date hereof, including any amendments thereto, the “Parent SEC Reports”). Each of the Parent SEC Reports, at the time of its filing or being furnished complied in all material respects with the applicable requirements of the Securities Act, the Exchange Act and the Sarbanes-Oxley Act, and any rules and regulations promulgated thereunder applicable to the Parent SEC Reports, or, if not yet filed or furnished, will to the Knowledge of Parent comply in all material respects with the applicable requirements of the Securities Act, the Exchange Act and the Sarbanes-Oxley Act, and any rules and regulations promulgated thereunder applicable to the Parent SEC Reports. As of their respective dates (or, if amended prior to the date hereof, as of the date of such amendment), the Parent SEC Reports did not contain any untrue statement of a material fact or omit to state a material fact required to be stated therein or necessary to make the statements made therein, in light of the circumstances in which they were made, not misleading, and any Parent SEC Reports filed or furnished with the SEC subsequent to the date hereof will not to Parent’s knowledge, contain any untrue statement of a material fact or omit to state a material fact required to be stated therein or necessary to make the statements made therein, in light of the circumstances in which they were made, not misleading.
(b) As of the date of this Agreement, Parent has timely responded to all comment letters of the staff of the SEC relating to the Parent SEC Reports, and the SEC has not advised Parent that any final responses are inadequate, insufficient or otherwise non-responsive. Parent has made available to the Company true, correct and complete copies of all comment letters, written inquiries and enforcement correspondence between the SEC, on the one hand, and Parent and any of its Subsidiaries, on the other hand, occurring since January 1, 2015 and will, reasonably promptly following the receipt thereof, make available to the Company any such correspondence sent or received after the date hereof. To the Knowledge of Parent, as of the date of this Agreement, none of the Parent SEC Reports is the subject of ongoing SEC review or outstanding SEC comment.
Annex A - 30
(c) (i) Each of the consolidated financial statements (including, in each case, any notes or schedules thereto) included in or incorporated by reference into the Parent SEC Reports fairly present, in all material respects, the consolidated financial position of Parent and its consolidated Subsidiaries as of its date, or, in the case of the Parent SEC Reports filed after the date hereof, will fairly present, in all material respects, the consolidated financial position of Parent and its consolidated Subsidiaries as of its date and each of the consolidated statements of income, changes in stockholders’ equity (deficit) and cash flows included in or incorporated by reference into the Parent SEC Reports (including any related notes and schedules) fairly presents in all material respects, the results of operations, retained earnings (loss) and changes in financial position, as the case may be, of such companies for the periods set forth therein (except as indicated in the notes thereto, and in the case of unaudited statements, as may be permitted by the rules of the SEC, and subject to normal year-end audit adjustments that will not be material in amount or effect), in each case in accordance with GAAP consistently applied during the periods involved, except as may be noted therein, or in the case of Parent SEC Reports filed after the date hereof, will fairly present, in all material respects, the results of operations, retained earnings (loss) and changes in financial position, as the case may be, of such companies for the periods set forth therein (except as indicated in the notes thereto, and in the case of unaudited statements, as may be permitted by the rules of the SEC, and subject to normal year-end audit adjustments that will not be material in amount or effect), in each case in accordance with GAAP consistently applied during the periods involved, except as may be noted therein (the “Parent Financial Statements”).
(d) Parent has designed and maintains a system of internal control over financial reporting (as defined in Rules 13a-15(f) and 15d-15(f) of the Exchange Act) sufficient to provide reasonable assurance regarding the reliability of financial reporting, and, to the Knowledge of Parent, such system is effective in providing such assurance. Parent (i) maintains disclosure controls and procedures (as defined in Rules 13a-15(e) and 15d-15(e) of the Exchange Act) designed to ensure that information required to be disclosed by Parent in the reports that it files or submits under the Exchange Act is recorded, processed, summarized and reported within the time periods specified by the SEC’s rules and forms and, to the Knowledge of Parent, such disclosure controls and procedures are effective (ii) has disclosed, based on the most recent evaluation of its chief executive officer and its chief financial officer prior to the date hereof, to Parent’s auditors and the Audit Committee of the Board of Directors of Parent (and made summaries of such disclosures available to the Company) (A) (i) any significant deficiencies in the design or operation of internal control over financial reporting that would adversely affect in any material respect Parent’s ability to record, process, summarize and report financial information, and (ii) any material weakness in internal control over financial reporting, and (B) any fraud, whether or not material, that involves management or other employees who have a significant role in Parent’s internal controls over financial reporting. Each of Parent and its Subsidiaries have materially complied with or substantially addressed such deficiencies, material weaknesses or fraud. Parent is in compliance in all material respects with all effective provisions of the Sarbanes-Oxley Act.
(e) Each of the principal executive officer of Parent and the principal financial officer of Parent (or each former principal executive officer of Parent and each former principal financial officer of Parent, as applicable) has made all certifications required by Rule 13a-14 or 15d-14 under the Exchange Act or Sections 302 and 906 of the Sarbanes-Oxley Act and the rules and regulations of the SEC promulgated thereunder with respect to the Parent SEC Reports, and the statements contained in such certifications were true and correct on the date such certifications were made. For purposes of this Section 3.5(e), “principal executive officer” and “principal financial officer” has the meanings given to such terms in the Sarbanes-Oxley Act. None of Parent or any of its Subsidiaries has outstanding, or has arranged any outstanding, “extensions of credit” to directors or executive officers in violation of Section 402 of the Sarbanes-Oxley Act.
(f) Neither Parent or any of its Subsidiaries nor, to the Knowledge of Parent, any director, officer, employee, or internal or external auditor of Parent or any of its Subsidiaries has received or otherwise had or obtained actual knowledge of any substantive material complaint, allegation, assertion or claim, whether written or oral, that Parent or any of its Subsidiaries has engaged in questionable accounting or auditing practices.
Annex A - 31
Section 3.6 Absence of Changes. Since September 30, 2018, Parent and each of its Subsidiaries have conducted their respective businesses in all material respects in the Ordinary Course of Business consistent with their past practices. Except as set forth (x) in the Parent SEC Reports, and (y) on Section 3.6 of the Parent Disclosure Schedule, after September 30, 2018 and on or before the date hereof:
(a) there has not been any change, event, circumstance or condition to the Knowledge of Parent that, individually or in the aggregate, has had, or would reasonably be expected to have, a Parent Material Adverse Effect;
(b) except as required as a result of a change in applicable Laws or GAAP or as disclosed in the notes to the Parent Financial Statements, there has not been any material change in any method of accounting or accounting practice by Parent or any of its Subsidiaries;
(c) there has not been any other action, event or occurrence that would have required the consent of the Company pursuant to Section 4.4(a) of this Agreement had such action, event or occurrence taken place after the execution and delivery of this Agreement;
(d) there has not been any (i) grant of or increase in any severance or termination pay to any employee, director or other service provider of Parent or its Subsidiaries, (ii) entry into any employment, consulting, deferred or equity compensation, retention, change in control, transaction bonus, severance or other similar plan or agreement (or any amendment to any such existing agreement) with any new or current employee, director or other service provider of Parent or any of its Subsidiaries, (iii) change in the compensation, bonus or other benefits payable or to become payable to its directors, officers, employees or consultants, except in the Ordinary Course of Business, or as required by any pre-existing plan or arrangement set forth in Section 3.6(d) of the Parent Disclosure Schedule, (iv) action to accelerate the vesting or payment of any compensation or benefit to any Parent employee, (v) adoption, modification or termination of any Parent Employee Program other than as required by applicable Law, or (vi) termination of any officers or key employees of Parent or any of its Subsidiaries; or
(e) Parent has not acquired or sold, pledged, leased, encumbered or otherwise disposed of any material property or assets or agreed to do any of the foregoing;
(f) Other than the grant of non-exclusive licenses in the Ordinary Course of Business, there has been no transfer (by way of a license or otherwise) of, or agreement to transfer to, any Person’s rights to any of the Parent Intellectual Property;
(g) there has been no notice delivered to Parent of any claim of ownership by a third party of any of the Parent Intellectual Property, or of infringement by Parent of any Third Party Intellectual Property; and
(h) there has not been any binding agreement to do any of the foregoing.
Section 3.7 Title to Assets. Each of Parent and its Subsidiaries owns, and has good and valid title to, or, in the case of leased properties and assets, valid leasehold interests in, all tangible properties or assets and equipment used or held for use in its business or operations or purported to be owned by it. All of said assets are owned by Parent or a Subsidiary of Parent free and clear of any Encumbrances, except for: (i) any lien for current Taxes not yet due and payable or for Taxes that are being contested in good faith and for which adequate reserves have been made on Parent’s audited consolidated balance sheet at September 30, 2018, (ii) minor liens that have arisen in the Ordinary Course of Business and that do not (in any case or in the aggregate) materially detract from the value of the assets subject thereto or materially impair the operations of Parent and its Subsidiaries, taken as a whole, and (iii) Encumbrances described in Section 3.7 of the Parent Disclosure Schedule.
Section 3.8 Properties.
(a) Section 3.8(a) of the Parent Disclosure Schedule contains a complete and correct list, as of the date hereof, of the Parent Leased Real Property, including with respect to each such Parent Lease the date of such Parent Lease and any material amendments thereto. With respect to each Parent Lease, except as would not, individually or in the aggregate, have a Parent Material Adverse Effect:
(i) the Parent Leases and the Parent Ancillary Lease Documents are valid and in full force and effect except to the extent they have previously expired or terminated in accordance with their terms. Parent has delivered to the Company full, complete and accurate copies of each of the Parent Leases and all Parent Ancillary Lease Documents described in Section 3.8(a) of the Parent Disclosure Schedule;
(ii) none of the Parent Leased Real Property is subject to any Encumbrance other than a Permitted Encumbrance;
(iii) none of Parent or its Subsidiaries, nor, to the Knowledge of Parent, any other party to any Parent Leases or Parent Ancillary Lease Documents is in breach or default, and, to the Knowledge of Parent, no event has occurred which, with notice or lapse of time, would constitute such a breach or default under the Parent Leases or any Parent Ancillary Lease Documents;
Annex A - 32
(iv) none of Parent or its Subsidiaries has assigned, transferred, conveyed, mortgaged, deeded in trust or encumbered any of its rights and interest in the leasehold or subleasehold under any of the Parent Leases or any Parent Ancillary Lease Documents in a manner that is material to Parent and that relates to the use or occupancy of all or any portion of the Parent Leased Real Property.
(b) None of Parent or its Subsidiaries has any Parent Owned Real Property.
Section 3.9 Intellectual Property.
(a) Section 3.9(a) of the Parent Disclosure Schedule contains a complete and accurate list of all (i) Patents owned by Parent or any of its Subsidiaries or exclusively licensed to Parent or any of its Subsidiaries (“Parent Patents”), registered and material unregistered Marks owned by Parent or any of its Subsidiaries (“Parent Marks”) and registered owned by Parent or any of its Subsidiaries (“Parent Copyrights”), (ii) licenses, sublicenses or other agreements under which Parent or any of its Subsidiaries is granted rights by others in the Parent Intellectual Property (“Parent In-Licenses”) (other than commercial off the shelf software or materials transfer agreements), and (iii) licenses, sublicenses or other agreements under which Parent or any of its Subsidiaries has granted rights to others in the Parent Intellectual Property (“Parent Out-Licenses”); provided that the Parent Patents, Parent Marks, Parent Copyrights, Parent In-Licenses and Parent Out-Licenses exclude all Patents, Marks, licenses, sublicenses and other agreements to be included in the Spinoff Assets.
(b) With respect to the Parent Intellectual Property (i) owned or purported to be owned by Parent or any of its Subsidiaries, Parent or one of its Subsidiaries exclusively owns such Parent Intellectual Property, and (ii) licensed to Parent or any of its Subsidiaries by a third party (other than commercial off the shelf software or materials transfer agreements), such Parent Intellectual Property (other than any Intellectual Property to be included in the Spinoff Assets) are the subject of a written license or other agreement; in the case of the foregoing clauses (i), and (ii) above, free and clear of all Encumbrances, other than Encumbrances resulting from the express terms of a Parent In-License or Parent Out- License or Permitted Encumbrances granted by Parent or one of its Subsidiaries.
(c) To the Knowledge of Parent, all Parent Patents, Parent Marks and Parent Copyrights are valid and enforceable.
(d) To the Knowledge of Parent, each Parent Patent that has been issued by, or registered with, or is the subject of an application filed with, as applicable, the U.S. Patent and Trademark Office or any similar office or agency anywhere in the world was issued, registered, or filed, as applicable, with the correct inventorship and there has been no known misjoinder or nonjoinder of inventors.
(e) No Parent Patent is now involved in any interference, reissue, re-examination or opposition proceeding.
(f) There are no pending or, to the Knowledge of Parent, threatened claims since January 1, 2016 against Parent or any of its Subsidiaries or any of their employees alleging that any of the operation of Parent’s business or any activity by Parent or any of its Subsidiaries, infringes or violates (or in the past infringed or violated) any Third Party Intellectual Property or constitutes a misappropriation of (or in the past constituted a misappropriation of) any subject matter of any Intellectual Property of any person or entity or that any Parent Intellectual Property is invalid or unenforceable.
(g) To the Knowledge of Parent, the operation of Parent’s business does not infringe or violate (or in the past infringed or violated) any Third Party Intellectual Property or constitutes a misappropriation of (or in the past constituted a misappropriation of) any subject matter of any Third Party Intellectual Property.
(h) Except with respect to fees payable to third party licensors pursuant to the Parent In-Licenses, none of Parent or any of its Subsidiaries has any obligation to compensate any person for the use of any Intellectual Property. Except as set forth in Section 3.9(h) of the Parent Disclosure Schedule, neither Parent nor any of its Subsidiaries has entered into any agreement to indemnify any other person against any claim of infringement or misappropriation of any Intellectual Property. There are no settlements, covenants not to sue, consents, judgments, or orders or similar obligations that: (i) restrict the rights of Parent or any of its Subsidiaries rights to use any Parent Intellectual Property, (ii) restrict the Parent or any of its Subsidiaries, in order to accommodate a third party’s Intellectual Property, or (iii) permit third parties to use any Parent Intellectual Property (excluding any rights granted to any third parties pursuant to the Parent Out-Licenses).
Annex A - 33
(i) All former and current employees, consultants and contractors of Parent and its Subsidiaries who have been involved in the creation and/or development of any Parent Intellectual Property have executed written instruments with Parent or one or more of its Subsidiaries that assign to Parent all rights, title and interest in and to any and all Intellectual Property created and/or developed by such employee, consultant or contractor in the course of their employment or engagement with Parent or the applicable Subsidiary.
(j) To the Knowledge of Parent, (i) there is no, nor has there been any, infringement or violation by any person or entity of any Parent Intellectual Property owned by, or exclusively licensed to, Parent or any of its Subsidiaries, or the rights of Parent or any of its Subsidiaries therein or thereto and (ii) there is no, nor has there been any, misappropriation by any person or entity of any Parent Intellectual Property owned by, or exclusively licensed to, Parent or any of its Subsidiaries, or the subject matter thereof.
(k) Parent and each of its Subsidiaries has taken reasonable security measures to protect the secrecy, confidentiality and value of all Trade Secrets owned by Parent or any of its Subsidiaries or used or held for use by Parent or any of its Subsidiaries in Parent’s business (the “Parent Trade Secrets”).
(l) Following the Effective Time, the Surviving Corporation will have substantially similar rights and privileges in the Parent Intellectual Property as Parent had in the Parent Intellectual Property immediately prior to the Effective Time.
Section 3.10 Material Contracts. Section 3.10 of the Parent Disclosure Schedule is a correct and complete list of the following currently effective Parent Contracts (each, a “Parent Material Contract” and, collectively, “Parent Material Contracts”):
(a) each Parent Material Contract that constitutes the Parent Leases and the Parent Ancillary Lease Documents;
(b) each Parent Material Contract for the purchase of materials, supplies, goods, services, equipment or other assets for annual payments by Parent or any of its Subsidiaries of, or pursuant to which in the last year Parent or any of its Subsidiaries paid, in the aggregate, $100,000 or more;
(c) each Parent Material Contract for the sale of materials, supplies, goods, services, equipment or other assets for annual payments to Parent or any of its Subsidiaries of, or pursuant to which in the last year Parent or any of its Subsidiaries received, in the aggregate, $100,000 or more;
(d) each Parent Material Contract that relates to any partnership, joint venture, strategic alliance or other similar Contract;
(e) each Parent Material Contract relating to Indebtedness for borrowed money or the deferred purchase price of property (whether incurred, assumed, guaranteed or secured by any asset), except for Contracts relating to Indebtedness in an amount not exceeding $100,000 in the aggregate;
(f) each Parent Material Contract that provides for any employment, severance, retention, transaction bonus, change in control, consulting or other similar agreement between: (i) Parent or any of its Subsidiaries, on the one hand, and (ii) any employee, director or other individual service provider of Parent or its Subsidiaries, on the other hand, other than any such Contract that is terminable “at will” or without any obligation in excess of $10,000 on the part of Parent or any of its Subsidiaries to make any severance, bonus, termination, change in control or similar payment or to provide any other benefit with a value in excess of $10,000 (other than benefits required to be provided by applicable Law);
(g) each Parent Material Contract which by its terms limits in any respect (i) the localities in which all or any significant portion of the business and operations of Parent or any Affiliate of Parent (which will include the Surviving Corporation after the Effective Time), or (ii) the right of Parent or any Affiliate of Parent (which will include the Surviving Corporation after the Effective Time) to compete with any Person;
(h) each Parent Material Contract in respect of any Parent Intellectual Property that provides for annual payments of, or pursuant to which in the last year Parent or any of its Subsidiaries paid or received, in the aggregate, $100,000 or more;
Annex A - 34
(i) each Parent Material Contract containing any royalty, dividend or similar arrangement based on the revenues or profits of Parent or any of its Subsidiaries;
(j) each Parent Material Contract with any Governmental Authority;
(k) each Parent Material Contract with (a) an executive officer or director of Parent or any of its Subsidiaries or any of such executive officer’s or director’s immediate family members, (b) an owner of more than five percent (5%) of the voting power of the outstanding capital stock of Parent, or (c) to the Knowledge of Parent, any “related person” (within the meaning of Item 404 of Regulation S-K under the Securities Act) of any such officer, director or owner (other than Parent or its Subsidiaries);
(l) each Parent Material Contract that gives rise to any material payment or benefit as a result of the performance of this Agreement or any of the other Contemplated Transactions;
(m) each Parent Material Contract relating to the acquisition or disposition of any material interest in, or any material amount of, property or assets of Parent or any of its Subsidiaries or for the grant to any Person of any preferential rights to purchase any of their assets, other than in the Ordinary Course of Business; or
(n) any other each Parent Material Contract (or group of related agreements) the performance of which requires aggregate payments to or from Parent or any of its Subsidiaries in excess of $250,000.
Parent has delivered or made available to the Company accurate and complete (except for applicable redactions thereto) copies of all material written Parent Contracts, including all amendments thereto. There are no material Parent Contracts that are not in written form. Except as set forth on Section 3.10 of the Parent Disclosure Schedule, neither Parent nor any Subsidiary of Parent has, nor to the Knowledge of Parent, has any other party to a Parent Material Contract, breached, violated or defaulted under, or received notice that it has breached, violated or defaulted under, any of the terms or conditions of any Parent Material Contract in such manner as would permit any other party to cancel or terminate any such Parent Material Contract, which has had or would reasonably be expected to have a Parent Material Adverse Effect. As to Parent and its Subsidiaries, as of the date of this Agreement, each Parent Material Contract is valid, binding, enforceable and in full force and effect, subject to: (i) Laws of general application relating to bankruptcy, insolvency and the relief of debtors, and (ii) rules of Law governing specific performance, injunctive relief and other equitable remedies. The consummation of the Contemplated Transactions will not (either alone or upon the occurrence of additional acts or events) result in any material payment or payments becoming due from Parent to any Person under any Parent Material Contract or give any Person the right to terminate or alter the provisions of any Parent Material Contract.
Section 3.11 Absence of Undisclosed Liabilities. As of the date hereof, neither Parent nor any Subsidiary of Parent has any Liability, individually or in the aggregate, except for: (a) Liabilities reflected or reserved against in the most recent consolidated balance sheet of Parent (or notes thereto) made available to the Company, (b) normal and recurring current Liabilities that have been incurred by Parent since the date of Parent’s audited consolidated balance sheet at September 30, 2018 in the Ordinary Course of Business, none of which are material, (c) Liabilities for performance of obligations of Parent or any Subsidiary of Parent under Contracts (other than for breach thereof), (d) Liabilities described in Section 3.11 of the Parent Disclosure Schedule, (e) Liabilities incurred in connection with the Contemplated Transactions or (f) Liabilities to be included in the Spinoff Assets.
Section 3.12 Compliance with Laws. Each of Parent and each of its Subsidiaries is in compliance with all Laws or Orders, except where any such failure to be in compliance has not had, or would not reasonably be expected to have, individually or in the aggregate, a Parent Material Adverse Effect or would not reasonably be expected to prevent or materially impair the consummation of the Contemplated Transactions. No investigation, inquiry, proceeding or similar action by any Governmental Authority with respect to Parent or any of its Subsidiaries is pending or, to the Knowledge of Parent, threatened in writing, nor has any Governmental Authority indicated in writing an intention to conduct the same which, in each case, would reasonably be expected to have a Parent Material Adverse Effect.
Annex A - 35
Section 3.13 Taxes and Tax Returns.
(a) Each material Tax Return required to be filed by, or on behalf of, Parent or any of its Subsidiaries, and each material Tax Return in which Parent or any of its Subsidiaries was required to be included, has been filed. Each such Tax Return is true, correct and complete in all material respects.
(b) Parent and each of its Subsidiaries (i) has paid (or has had paid on its behalf) all material Taxes due and owing, whether or not shown as due on any Tax Return, and (ii) has withheld and remitted to the appropriate Taxing Authority, or properly set aside, all material Taxes required to be withheld and paid in connection with any amounts paid or owing to or collected from any employee, independent contractor, supplier, creditor, stockholder, partner, member or other third party, and all Forms W-2 and 1099 required with respect thereto have been filed.
(c) The unpaid Taxes of Parent and its Subsidiaries (A) did not, as of September 30, 2018, exceed the reserve for Tax liability (rather than any reserve for deferred Taxes established to reflect timing differences between book and Tax income) set forth on the face of the Parent Financial Statements (rather than in any notes thereto), and (B) will not exceed that reserve as adjusted for operations and transactions through the Closing Date in accordance with the past custom and practice of Parent and its Subsidiaries in filing their Tax Returns.
(d) There are no material liens for Taxes (other than Taxes not yet due and payable or that are being contested in good faith pursuant to appropriate proceedings) upon any of the assets of Parent or any of its Subsidiaries.
(e) None of Parent or any of its Subsidiaries has waived any statute of limitations with respect to any material Taxes or agreed to any extension of the period for assessment or collection of any Taxes to a date after the Closing Date.
(f) No audit or other examination of any Tax Return of Parent or any of its Subsidiaries by any Taxing Authority has occurred within the past three (3) years and there is no material Tax claim, audit, suit, or administrative or judicial Tax proceeding now pending or presently in progress or threatened in writing by a taxing authority with respect to a material Tax Return of Parent or any of its Subsidiaries.
(g) None of Parent or any of its Subsidiaries has distributed stock of a corporation, or has had its stock distributed, in a transaction purported or intended to be governed in whole or in part by Sections 355 or 361 of the Code within the five (5) year period ending on the date of this Agreement.
(h) None of Parent or any of its Subsidiaries (A) is or has ever been a member of a group of corporations that files or has filed (or has been required to file) consolidated, combined, or unitary Tax Returns, other than a group the common parent of which is or was Parent, or (B) has any liability for the Taxes of any person (other than Parent or any of its Subsidiaries) under Treasury Regulations Section 1.1502-6 (or any similar provision of state, local or non-U.S. Law), as a transferee or successor pursuant to any Tax Sharing Agreement. None of Parent or any of its Subsidiaries is party to or has any obligation under any Tax Sharing Agreement.
(i) None of Parent or any of its Subsidiaries has been a United States real property holding corporation within the meaning of Section 897(c)(2) of the Code at any time during the applicable period specified in Section 897(c)(1)(A)(ii) of the Code.
(j) None of Parent or any of its Subsidiaries has participated in a “listed transaction” within the meaning of Treasury Regulations Section 1.6011-4(b)(2) (or any predecessor provision).
(k) None of Parent or any of its Subsidiaries will be required to include any material item of income in, or exclude any material item of deduction from, taxable income for any taxable period (or portion thereof) ending after the Closing Date as a result of any:
(i) change in method of accounting made prior to the Closing Date, or use of an improper method of accounting for a taxable period ending on or prior to the Closing Date;
(ii) “closing agreement” as described in Section 7121 of the Code (or any corresponding or similar provision of state, local or non-U.S. income Tax Law) executed prior to the Closing;
(iii) installment sale or open transaction disposition made prior to the Closing;
(iv) intercompany transaction or excess loss account described in Treasury Regulations under Section 1502 of Code (or any corresponding or similar provision of state, local, or non-U.S. income Tax Law);
(v) transactions effected or investments made prior to the Closing that result in taxable income pursuant to Section 951(a) or 951A of the Code;
(vi) prepaid amount received (or deferred revenue accrued) prior to the Closing;
(vii) election with respect to income from the discharge of indebtedness under Section 108(i) of the Code made prior to the Closing; or
(viii) an election under Section 965 of the Code made prior to the Closing.
Annex A - 36
(l) No written claim has been made by any Taxing Authority in a jurisdiction where it does not file Tax Returns that Parent or any of its Subsidiaries is or may be subject to Tax or required to file a Tax Return in the jurisdiction.
(m) None of Parent or any Subsidiary (i) has, or has ever had, a permanent establishment in any country other than the country in which it is organized and resident, (ii) has engaged in a trade or business in any country other than the country in which it is organized and resident that subjected it to Tax in such country, and (iii) is, or has ever been, subject to Tax in a jurisdiction outside the country in which it is organized and resident.
(n) No Subsidiary of Parent that is incorporated in a non-US jurisdiction has an investment in “United States Property” within the meaning of Section 956(c) of the Code.
(o) All transactions between Parent and each of its Subsidiaries are at arm’s-length, in compliance in all material respects with all applicable transfer pricing laws and regulations.
(p) As of the date hereof, neither Parent nor any of its Subsidiaries or their Affiliates has taken or agreed to take any action, nor does Parent or any of its Subsidiaries have knowledge of any fact or circumstance that could reasonably be expected to prevent the Merger, together with the issuance of shares of Parent Common Stock to the Company Stockholders, from qualifying as a reorganization within the meaning of Section 368(a) of the Code. To Parent’s knowledge, there are no agreements, plans or other circumstances that would reasonably be expected to prevent the Merger, together with the issuance of shares of Parent Common Stock to the Company Stockholders, from qualifying as a reorganization within the meaning of Section 368(a) of the Code.
(q) Merger Sub is an entity newly formed for the purpose of participating in the Merger and is wholly owned by Parent, which is in “control” of Merger Sub within the meaning of Section 368(c) of the Code.
(r) Notwithstanding any provision in this Agreement to the contrary, Parent and Merger Sub do not make any (and shall not be construed to be making) representation or warranty as to the existence, amount, utilization or any other aspect of any net operating or capital loss, carryovers, carryforwards of business or other tax credits, tax basis, earnings and profits, or any other tax attribute (whether of Parent or any of its Subsidiaries) after the Closing, and the representations contained in Section 3.13 and Section 3.14 (solely as such representations relate to Taxes or Tax Returns) (the “Parent Group Tax Representations”) shall constitute the sole and exclusive representations and warranties by Parent with respect to Taxes or Tax Returns. Other than the Parent Group Tax Representations in Section 3.13(h), Section 3.13(k), and Section 3.13(p), no Parent Group Tax Representation shall be deemed to apply directly or indirectly with respect to any taxable period after the Closing.
Section 3.14 Employee Benefit Programs.
(a) With respect to the Employee Programs maintained by Parent or its Subsidiaries prior to the Closing Date (the “Parent Employee Programs”), each such Parent Employee Program has been administered in all material respects in accordance with its terms and in accordance with ERISA, the Code and other applicable Laws. All payments and/or contributions required to have been made (under the provisions of any agreements or other governing documents or applicable Laws) with respect to all Parent Employee Programs, for all periods prior to the Closing Date, either have been made or have been accrued or otherwise adequately reserved on the Parent Financial Statements.
(b) No Parent Employee Program has been subject to Section 302 or Title IV of ERISA and/or Code Section 412, including a Multiemployer Plan, and Parent does not have any liability for any Employee Program that at any time has been subject to Title IV of ERISA or that is or has been maintained, contributed to, or required to be contributed to by an ERISA Affiliate of Parent. None of the Parent Employee Programs provides (or has ever provided) health care or any other welfare benefits to any employees after their employment is terminated (other than as required by part 6 of subtitle B of title I of ERISA or state continuation Laws to which the former employee pays all required premiums) or has ever promised to provide such post-termination benefits.
(c) Except as set forth in Section 3.14(c) of the Parent Disclosure Schedule, there is no Contract, plan, agreement or arrangement covering any employee of or other service provider to Parent or its Subsidiaries that, by itself or collectively, would give rise to any parachute payment subject to Section 280G of the Code, nor has Parent or its Subsidiaries made any such payment, and the consummation of the transactions contemplated herein shall not obligate Parent or its Subsidiaries to make any parachute payment subject to Section 280G of the Code.
Annex A - 37
(d) Parent has no Liability to gross-up or indemnify any individual with respect to any Tax imposed pursuant to Code Sections 409A or 4999.
(e) For purposes of this Section 3.14:
(i) An entity “maintains” an Employee Program if such entity sponsors, contributes to, or provides benefits under or through such Employee Program, or has any obligation (by agreement or under applicable Laws) to contribute to or provide benefits under or through such Employee Program, or if such Employee Program provides benefits to or otherwise covers or has covered employees of such entity (or their spouses, dependents, or beneficiaries).
(ii) An entity is an “ERISA Affiliate” of Parent if it would have ever been considered a single employer with Parent or any Subsidiary of Parent under ERISA Section 4001(b) or Code Section 414(b), (c), or (m).
(f) Notwithstanding any other provision of this Agreement, the representations and warranties contained in Section 3.14(a) through Section 3.14(e) constitute the sole and exclusive representations and warranties of Parent and its Subsidiaries relating to ERISA and other Laws relating to employee benefits matters.
Section 3.15 Labor and Employment Matters.
(a) None of Parent or any of its Subsidiaries is a party to, or otherwise bound by, any collective bargaining agreement, contract, or other written agreement with a labor union or labor organization. Neither Parent nor any of its Subsidiaries is subject to, and during the past three (3) years there has not been, any charge, demand, petition, organizational campaign, or representation proceeding seeking to compel, require, or demand it to bargain with any labor union or labor organization nor is there pending any labor strike or lockout involving Parent or any of its Subsidiaries.
(b) Except as would not, individually or in the aggregate, have a Parent Material Adverse Effect, (i) Parent and its Subsidiaries are in compliance in all material respects with all applicable Laws respecting labor, employment, fair employment practices, work safety and health, terms and conditions of employment, and wages and hours, including Title VII of the Civil Rights Act of 1964, as amended, the Equal Pay Act of 1967, as amended, the Age Discrimination in Employment Act of 1967, as amended, the Americans with Disabilities Act, as amended, the Fair Labor Standards Act, as amended, and its state and local law equivalents, and the related rules and regulations adopted by those federal and state agencies responsible for the administration of such Laws, and other than normal accruals of wages during regular payroll cycles, there are no arrearages in the payment of wages, (ii) neither Parent nor any of its Subsidiaries is delinquent in any payments to any employee or to any independent contractors, consultants, temporary employees, leased employees or other servants or agents employed or used with respect to the operation of Parent’s business and classified by Parent or any of its Subsidiaries as other than an employee or compensated other than through wages paid by Parent or any of its Subsidiaries through its respective payroll department (“Parent Contingent Workers”), for any wages, salaries, commissions, bonuses, fees or other direct compensation due with respect to any services performed for it to the date hereof or amounts required to be reimbursed to such employees or Parent Contingent Workers, (iii) there are no grievances, complaints or charges with respect to employment or labor matters (including allegations of employment discrimination, retaliation or unfair labor practices) pending or, to the Knowledge of Parent, threatened in writing against Parent or any of its Subsidiaries in any judicial, regulatory or administrative forum or under any private dispute resolution procedure, (iv) all employees of Parent and each of its Subsidiaries are employed at-will and no such employees are subject to any contract with Parent or any of its Subsidiaries or any policy or practice of Parent or any of its Subsidiaries providing for right of notice of termination of employment or the right to receive severance payments or similar benefits upon the termination of employment by Parent or any of its Subsidiaries, and (v) neither Parent nor any of its Subsidiaries has experienced a “plant closing,” “business closing,” or “mass layoff” as defined in the WARN Act or any similar Law affecting any site of employment of Parent or any of its Subsidiaries or one or more facilities or operating units within any site of employment or facility of Parent or any of its Subsidiaries, and, during the ninety (90)-day period preceding the date hereof, no employee has suffered an “employment loss,” as defined in the WARN Act, with respect to Parent or any of its Subsidiaries, and (vi) there are no pending or, to the Knowledge of Parent, threatened or reasonably anticipated claims or actions against Parent under any workers’ compensation policy or long-term disability policy.
(c) Notwithstanding any other provision of this Agreement, the representations and warranties contained in Section 3.15(a) and Section 3.15(b) constitute the sole and exclusive representations and warranties of Parent and its Subsidiaries relating to collective bargaining matters and compliance with Labor Laws.
Annex A - 38
Section 3.16 Environmental Matters. Except as would not, individually or in the aggregate, have a Parent Material Adverse Effect:
(a) Parent and its Subsidiaries are in compliance with all Environmental Laws applicable to their operations and use of the Parent Leased Real Property;
(b) none of Parent or any of its Subsidiaries has generated, transported, treated, stored, or disposed of any Hazardous Material, except in material compliance with all applicable Environmental Laws, and there has been no Release or threat of Release of any Hazardous Material by Parent or its Subsidiaries at or on the Parent Leased Real Property that requires reporting, investigation or remediation by Parent or its Subsidiaries pursuant to any Environmental Law; and
(c) none of Parent or any of its Subsidiaries has (i) received written notice under the citizen suit provisions of any Environmental Law, or (ii) been subject to or, to the Knowledge of Parent, threatened in writing with any governmental or citizen enforcement action with respect to any Environmental Law.
(d) Notwithstanding any other provision of this Agreement, the representations and warranties contained in Section 3.16 constitute the sole and exclusive representations and warranties of Parent and its Subsidiaries relating to Environmental Laws.
Section 3.17 Insurance. Parent has made available to the Company accurate and complete copies of all material insurance policies relating to the business, assets, liabilities and operations of Parent and each Subsidiary of Parent, as of the date hereof. Each of such insurance policies is in full force and effect and Parent and each Subsidiary of Parent are in compliance in all material respects with the terms thereof. Other than customary end of policy notifications from insurance carriers, since January 1, 2015, neither Parent nor any Subsidiary of Parent has received any written notice regarding any actual or possible: (i) cancellation or invalidation of any insurance policy, (ii) refusal or denial of any coverage, reservation of rights or rejection of any material claim under any insurance policy, or (iii) material adjustment in the amount of the premiums payable with respect to any insurance policy.
Section 3.18 Books and Records. Each of the minute and record books of Parent has been made available to the Company and contains, in all material respects, complete and accurate minutes of all meetings of, and copies of all bylaws and resolutions passed by, or consented to in writing by, the directors (and any committees thereof) and stockholders of Parent, since January 1, 2012 and which are required to be maintained in such books under applicable Laws; all such meetings were duly called and held and all such bylaws and resolutions were duly passed or enacted.
Section 3.19 Transactions with Affiliates. Except as set forth in the Parent SEC Reports filed prior to the date of this Agreement, since the date of Parent’s last proxy statement filed in 2015 with the SEC, no event has occurred that would be required to be reported by Parent pursuant to Item 404 of Regulation S-K promulgated by the SEC. Section 3.19 of the Parent Disclosure Schedule identifies each Person who is (or who may be deemed to be) an “affiliate” (as that term is used in Rule 12b-2 under the Exchange Act) of Parent as of the date of this Agreement.
Section 3.20 Legal Proceedings; Orders.
(a) There is no pending Legal Proceeding, and, to the Knowledge of Parent, no Person has threatened in writing to commence any Legal Proceeding: (i) that involves Parent, any Subsidiary of Parent or any director or officer of Parent (in his or her capacity as such) or any of the material assets owned or used by Parent and/or any Subsidiary, or (ii) that challenges, or that may have the effect of preventing, delaying, making illegal or otherwise interfering with, the Merger or any of the other Contemplated Transactions. To the Knowledge of Parent, no event has occurred, and no claim, dispute or other condition or circumstance exists, that will, or that would reasonably be expected to, give rise to or serve as a basis for the commencement of any such Legal Proceeding.
(b) There is no order, writ, injunction, judgment or decree to which Parent or any Subsidiary of Parent, or any of the assets owned or used by Parent or any Subsidiary of Parent, is subject. To the Knowledge of Parent, no executive officer of Parent or any Subsidiary of Parent is subject to any order, writ, injunction, judgment or decree that prohibits such officer or other employee from engaging in or continuing any conduct, activity or practice relating to Parent’s business or to any material assets owned or used by Parent or any Subsidiary of Parent.
Annex A - 39
Section 3.21 Illegal Payments. None of Parent, any of its Subsidiaries, or, to the Knowledge of Parent, any of their respective directors, officers, employees or agents have, directly or indirectly, made, offered, promised or authorized any payment or gift of any money or anything of value to or for the benefit of any “foreign official” (as such term is defined in the FCPA), foreign political party or official thereof or candidate for foreign political office for the purpose of, in violation of applicable Laws: (i) influencing any act or decision of such foreign official in his, her or its official capacity, including a decision to fail to perform his, her or its official duties or functions, or (ii) inducing such foreign official to use his, her or its influence with any Governmental Authority to affect or influence any act or decision of such Governmental Authority, or to obtain an improper advantage in order to assist Parent, any of its Subsidiaries or any other Person in obtaining or retaining business for or with, or directing business to, Parent or any of its Subsidiaries. Notwithstanding any other provision of this Agreement, the representations and warranties contained in this Section 3.21 constitute the sole and exclusive representations and warranties of Parent and its Subsidiaries relating to compliance with Anticorruption Laws.
Section 3.22 Inapplicability of Anti-takeover Statutes. The Board of Directors of Parent and Merger Sub have taken and will take all actions necessary to ensure that the restrictions applicable to business combinations contained in Section 203 of the DGCL are, and will be, inapplicable to the execution, delivery and performance of this Agreement and the Parent Voting Agreements and to the consummation of the Merger and the other Contemplated Transactions.
Section 3.23 Vote Required. The affirmative vote of the holders of a majority of the shares of Parent Common Stock having voting power representing a majority of the outstanding shares of Parent Common Stock (which includes the Parent Preferred Stock on an as converted basis to Parent Common Stock), and the holders of a majority of the votes properly cast at the Parent Stockholder Meeting are the only votes of the holders of any class or series of Parent’s capital stock necessary to approve the Parent Stockholder Proposals (the “Parent Stockholder Approval”).
Section 3.24 No Financial Advisor. Except as set forth on Section 3.24 of the Parent Disclosure Schedule, no broker, finder or investment banker is entitled to any brokerage fee, finder’s fee, opinion fee, success fee, transaction fee or other fee or commission in connection with the Merger or any of the other Contemplated Transactions based upon arrangements made by or on behalf of Parent or any Subsidiary of Parent.
Section 3.25 Disclosure; Parent Information. Assuming the accuracy of the representations made by the Company in Section 2.26, the Joint Proxy Statement/Prospectus will not, at the time of the mailing of the Joint Proxy Statement/Prospectus or any amendments or supplements thereto or at the time of the Parent Stockholder Meeting, contain any untrue statement of a material fact or omit to state any material fact required to be stated therein or necessary in order to make the statements therein, in light of the circumstances under which they were made, not misleading. Assuming the accuracy of the representations made by the Company in Section 2.26, the Form S-4 Registration Statement will not, at the time the Form S-4 Registration Statement is filed with the SEC or at the S-4 Effective Date, contain any untrue statement of a material fact or omit to state any material fact required to be stated therein or necessary in order to make the statements therein, in light of the circumstances under which they were made, not misleading. Notwithstanding the foregoing, no representation is made by Parent with respect to the information that has been or will be supplied by the Company or any of its Representatives for inclusion in the Joint Proxy Statement/Prospectus.
Section 3.26 No Other Representations or Warranties. Parent hereby acknowledges and agrees that, except for the representations and warranties contained in this Agreement, neither the Company nor any of its Subsidiaries nor any other person on behalf of the Company or its Subsidiaries makes any express or implied representation or warranty with respect to the Company or its Subsidiaries or with respect to any other information provided to Parent, any of its Subsidiaries or their respective stockholders, Affiliates or Representatives in connection with the transactions contemplated hereby, and (subject to the express representations and warranties of the Company set forth in Article 2 (in each case as qualified and limited by the Company SEC Reports and the Company Disclosure Schedule)) none of Parent, its Subsidiaries or any of their respective stockholders, Affiliates or Representatives, has relied on any such information (including the accuracy or completeness thereof).
Annex A - 40
Article
4
CERTAIN COVENANTS OF THE PARTIES
Section 4.1 Access and Investigation. Subject to the terms of the Confidentiality Agreement which the Parties agree will continue in full force and effect following the date of this Agreement, during the period commencing on the date of this Agreement and ending at the earlier of the date of termination of this Agreement pursuant to Section 7.1 and the Effective Time (the “Pre-Closing Period”), upon reasonable notice, each Party shall, and shall use commercially reasonable efforts to cause such Party’s Representatives to: (a) provide the other Party and such other Party’s Representatives with reasonable access during normal business hours to such Party’s Representatives, personnel and assets and to all existing books, records, work papers and other documents and information relating to such Party and its Subsidiaries, (b) provide the other Party and such other Party’s Representatives with such copies of the existing books, records, Tax Returns, work papers, product data, and other documents and information relating to such Party and its Subsidiaries, and with such additional financial, operating and other data and information regarding such Party and its Subsidiaries as the other Party may reasonably request, and (c) permit the other Party’s officers and other employees to meet, upon reasonable notice and during normal business hours, with the chief financial officer and other officers and managers of such Party responsible for such Party’s financial statements and the internal controls of such Party to discuss such matters as the other Party may deem necessary or appropriate in order to enable the other Party to satisfy its obligations under the Sarbanes-Oxley Act and the rules and regulations relating thereto. Without limiting the generality of any of the foregoing, during the Pre-Closing Period, each Party shall promptly make available to the other Party with copies of:
(i) the unaudited quarterly consolidated balance sheets of such Party as of the end of each calendar quarter and the related unaudited quarterly consolidated statements of operations, statements of stockholders’ equity and statements of cash flows for such calendar quarterly, which shall be delivered within forty-five (45) days after the end of such calendar quarter, or such longer periods as the Parties may agree to in writing;
(ii) all material operations and financial reports prepared by such Party for its senior management, including sales forecasts, marketing plans, development plans, discount reports, write-off reports, hiring reports and capital expenditure reports prepared for its management;
(iii) any written materials or communications sent by or on behalf of a Party to all of its stockholders;
(iv) any material notice, document or other communication sent by or on behalf of a Party to any party to any Parent Material Contract or Company Material Contract, as applicable, or sent to a Party by any party to any Parent Material Contract or Company Material Contract, as applicable (other than any communication that relates solely to routine commercial transactions between such Party and the other party to any such Parent Material Contract or Company Material Contract, as applicable, and that is of the type sent in the Ordinary Course of Business);
(v) any notice, report or other document filed with or otherwise furnished, submitted or sent to any Governmental Authority on behalf of a Party in connection with the Merger or any of the Contemplated Transactions;
(vi) any non-privileged notice, document or other written communication sent by or on behalf of, or sent to, a Party relating to any pending or threatened material Legal Proceeding involving or affecting such Party; and
(vii) any material notice, material report or other material document received by a Party from any Governmental Authority, other than in the Ordinary Course of Business.
Notwithstanding the foregoing, any Party may restrict the foregoing access (A) to the extent that any Law applicable to such party requires such Party to restrict or prohibit access to any such properties or information or as may be necessary to preserve the attorney-client privilege under any circumstances in which such privilege may be jeopardized by such disclosure or access, or (B) to the extent that such Party reasonably believes that allowing such access or furnishing such information would otherwise result in the disclosure of any trade secrets of third parties or violate any obligations existing on the date hereof with respect to confidentiality to any third party or otherwise breach, contravene or violate any effective Contract existing on the date hereof.
Section 4.2 Operation of Parent’s Business.
(i) Except as set forth on Section 4.2 of the Parent Disclosure Schedule, as expressly required or permitted by this Agreement, as required by applicable Law or as agreed upon in writing by the Company, during the Pre-Closing Period: (i) Parent shall conduct its business and operations: (A) in the Ordinary Course of Business, and (B) in material compliance with all applicable Laws and compliance with the material requirements of all Contracts that constitute Parent Material Contracts, and (ii) Parent shall promptly notify the Company of: (A) any notice or other communication from any Person alleging that the consent of such Person is or may be required in connection with any of the Contemplated Transactions, and (B) any material Legal Proceeding against, relating to, involving or otherwise affecting Parent that is commenced, or, to the Knowledge of Parent, threatened in writing against, Parent after the date of this Agreement.
Annex A - 41
Section 4.3 Operation of the Company’s Business. Except as set forth on Section 4.3 of the Company Disclosure Schedule, as expressly required or permitted by this Agreement, as required by applicable Law or as agreed upon in writing by the Parent, during the Pre-Closing Period: (i) the Company shall conduct its business and operations: (A) in the Ordinary Course of Business, and (B) in material compliance with all applicable Laws and compliance with the material requirements of all Contracts that constitute Company Material Contracts, (ii) the Company shall use commercially reasonable efforts to preserve intact its current business organization, keep available the services of its current key employees, officers and other employees and maintain its relations and goodwill with all suppliers, customers, landlords, creditors, licensors, licensees, employees and other Persons having business relationships with the Company, and (iii) the Company shall promptly notify Parent of: (A) any notice or other communication from any Person alleging that the consent of such Person is or may be required in connection with any of the Contemplated Transactions, and (B) any material Legal Proceeding against, relating to, involving or otherwise affecting the Company that is commenced, or, to the Knowledge of the Company, threatened against, the Company.
Section 4.4 Negative Obligations.
(a) Except (A) as expressly required by this Agreement, (B) as set forth in Section 4.4(a) of the Parent Disclosure Schedule, (C) as required by applicable Law, or (D) with the prior written consent of the Company (which consent shall not be unreasonably withheld, conditioned or delayed), at all times during the Pre-Closing Period, Parent shall not, nor shall it cause or permit any Subsidiary of Parent to, do any of the following:
(i) declare, accrue, set aside or pay any dividend or make any other distribution in respect of any shares of capital stock other than pursuant to the Contemplated Transactions;
(ii) amend the certificate of incorporation, bylaws or other charter or organizational documents of Parent or any Subsidiary of Parent, or effect or be a party to any merger, consolidation, share exchange, business combination, recapitalization, reclassification of shares, stock split, reverse stock split or similar transaction other than pursuant to the Contemplated Transactions;
(iii) form any new Subsidiary or acquire any equity interest or other interest in any other Person other than pursuant to the Contemplated Transactions;
(iv) lend money to any Person; incur or guarantee any Indebtedness for borrowed money; issue or sell any debt securities or options, warrants, calls or other rights to acquire any debt securities; or guarantee any debt securities of others;
(v) make any capital expenditure or commitment in excess of $10,000 which would not be assumed in connection with the Spinoff;
(vi) other than in the Ordinary Course of Business or pursuant to the Contemplated Transactions, (A) adopt, establish or enter into any Parent Employee Program, (B) cause or permit any Parent Employee Program to be amended other than as required by Law or in order to make amendments for the purposes of Section 409A of the Code, subject to prior review and approval (with such approval not to be unreasonably withheld) by the Company, (C) hire any new employee or consultant, (D) grant, make or pay (or agree to pay) any severance, retention, change in control, bonus or profit-sharing or similar payment to, or increase the amount of the wages, salary, commissions, fringe benefits or other compensation or remuneration payable to, any of its directors, employees or consultants (other than any payment which is to be paid prior or in connection with the Closing), or (E) accelerate the time of payment or vesting of any non-equity benefits or compensation to any of its directors, employees or consultants;
(vii) acquire any material asset nor sell, lease or otherwise irrevocably dispose of any of its material assets or properties, nor grant any Encumbrance with respect to such assets or properties, except in the Ordinary Course of Business other than pursuant to the Contemplated Transactions;
(viii) make, change or revoke any material Tax election (other than Tax elections made in the Ordinary Course of Business); file any material amendment to any Tax Return; adopt or change any material accounting method in respect of Taxes; change any annual Tax accounting period; enter into any Tax Sharing Agreement; enter into any closing agreement with respect to any material Tax Liability; settle or compromise any claim, notice, audit report or assessment in respect of any material Tax Liability; apply for or enter into any ruling from any Taxing Authority with respect to Taxes; or consent to any extension or waiver of the statute of limitations period applicable to any material Tax claim or assessment;
Annex A - 42
(ix) enter into or amend any Parent Material Contract which is not to be included in the Spinoff Assets;
(x) commence a lawsuit other than (A) for routine collection of bills, (B) in such cases as Parent in good faith determines that failure to commence such lawsuit would result in the material impairment of a valuable aspect of Parent’s and/or any Subsidiary of Parent’s business, or (C) for a breach of this Agreement;
(xi) fail to make any material payment with respect to any of Parent’s accounts payable or Indebtedness in a timely manner in accordance with the terms thereof and consistent with past practices;
(xii) hire any employees or engage any independent contractors, consultants or other Parent Contingent Workers;
(xiii) incur any Liability not expressly permitted pursuant to clauses (i) through (xii) of this Section 4.4(a), other than in the Ordinary Course of Business; or
(xiv) amend or modify the terms of the Separation Agreement (other than any amendment or modification required to address any comment from NASDAQ or the SEC), if such amendment or modification would materially, adversely affect Parent’s rights thereunder or impose any material Liability on Parent or the Company after the Effective Time.
(xv) agree to take, take or permit any Subsidiary of Parent to take or agree to take, any of the actions specified in clauses (i) through (xiii) of this Section 4.4(a).
(b) Except (A) as expressly required by this Agreement, (B) as set forth in Section 4.4(b) of the Company Disclosure Schedule, (C) as required by applicable Law, or (D) with the prior written consent of Parent (which consent shall not be unreasonably withheld, conditioned or delayed), at all times during the Pre-Closing Period, the Company shall not, nor shall it cause or permit any Subsidiary of the Company to, do any of the following:
(i) declare, accrue, set aside or pay any dividend or make any other distribution in respect of any shares of capital stock; or repurchase, redeem or otherwise reacquire any shares of capital stock or other securities (except for shares of Company Common Stock from terminated employees of the Company) other than pursuant to the Contemplated Transactions;
(ii) except for (A) contractual commitments in place at the time of this Agreement, (B) as set forth in Section 4.4(b)(ii) of the Company Disclosure Schedule or (C) pursuant to the Contemplated Transactions, sell, issue or grant, or authorize the issuance of, or make any commitments to do any of the foregoing: (i) any capital stock or other security (except for Company Common Stock issued upon the valid exercise of outstanding Company Stock Options, Company Warrants or Company Convertible Notes), (ii) any option, warrant or right to acquire any capital stock or any other security, or (iii) any instrument convertible into or exchangeable for any capital stock or other security;
(iii) amend the certificate of incorporation, bylaws or other charter or organizational documents of the Company or any Subsidiary of the Company, or effect or be a party to any merger, consolidation, share exchange, business combination, recapitalization, reclassification of shares, stock split, reverse stock split or similar transaction other than pursuant to the Contemplated Transactions;
(iv) form any Subsidiary or acquire any equity interest or other interest in any other Person;
(v) lend money to any Person; incur or guarantee any Indebtedness for borrowed money; issue or sell any debt securities or options, warrants, calls or other rights to acquire any debt securities; guarantee any debt securities of others;
(vi) or make any capital expenditure or commitment in excess of $250,000 other than in the Ordinary Course of Business;
(vii) other than in the Ordinary Course of Business, (A) adopt, establish or enter into any Company Employee Program, (B) cause or permit any Company Employee Program to be amended other than as required by Law or in order to make amendments for the purposes of Section 409A of the Code, subject to prior review and approval (with such approval not to be unreasonably withheld) by Parent, (C) hire any new employee or consultant, (D) grant, make or pay (or agree to pay) any severance, retention, change in control, bonus or profit-sharing or similar payment to, or increase the amount of the wages, salary, commissions, fringe benefits or other compensation or remuneration payable to, any of its directors, employees or consultants, or (E) accelerate the time of payment or vesting of any benefits or compensation to any of its directors, employees or consultants;
Annex A - 43
(viii) acquire any material asset nor sell, lease or otherwise irrevocably dispose of any of its material assets or properties, nor grant any Encumbrance with respect to such assets or properties, except in the Ordinary Course of Business;
(ix) make, change or revoke any material Tax election (other than Tax elections made in the Ordinary Course of Business); file any material amendment to any Tax Return; adopt or change any material accounting method in respect of Taxes; change any annual Tax accounting period; enter into any Tax Sharing Agreement; enter into any closing agreement with respect to any material Tax Liability; settle or compromise any claim, notice, audit report or assessment in respect of any material Tax Liability; apply for or enter into any ruling from any Taxing Authority with respect to Taxes; or consent to any extension or waiver of the statute of limitations period applicable to any material Tax claim or assessment;
(x) enter into, amend or terminate any Company Material Contract, or amend or terminate any material Company Permit other than in the Ordinary Course of Business;
(xi) commence a lawsuit other than (A) for routine collection of bills, (B) in such cases as the Company in good faith determines that failure to commence such lawsuit would result in the material impairment of a valuable aspect of the Company’s and/or any Subsidiary of the Company’s business, or (C) for a breach of this Agreement;
(xii) fail to make any material payment with respect to any of the Company’s accounts payable or Indebtedness in a timely manner in accordance with the terms thereof and consistent with past practices;
(xiii) incur any Liability not expressly permitted pursuant to clauses (i) through (xii) of this Section 4.4(b), other than in the Ordinary Course of Business;
(xiv) issue any shares of Company Preferred Stock or any other security convertible into or exercisable or exchangeable for shares of Company Preferred Stock; or
(xv) agree to take, take or permit any Subsidiary of the Company to take, any of the actions specified in clauses (i) through (xiv) of this Section 4.4(b).
Annex A - 44
Section 4.5 Mutual Non-Solicitation.
(a) No Solicitation by the Company.
(i) Except as expressly permitted by this Section 4.5(a), during the Pre-Closing Period, none of the Company or any Representative of the Company shall directly or indirectly (A) whether publicly or otherwise, initiate, solicit, seek, induce, cause or knowingly encourage or support any inquiries, proposals or offers that constitute or may reasonably be expected to lead to, a Company Acquisition Proposal (as defined below), (B) enter into, continue, maintain, conduct or otherwise engage or participate in, or knowingly facilitate, any discussions or negotiations regarding, or afford any Person other than Parent access to the Company’s or any of its Subsidiaries’ properties or assets, books and records, Contracts, personnel or otherwise furnish any nonpublic information relating to the Company or any of its Subsidiaries to any Person in connection with or for the purpose of encouraging, inducing or facilitating any inquiries, proposals or offers that constitute, or may reasonably be expected to lead to, a Company Acquisition Proposal (other than, solely in response to an unsolicited inquiry, solely to refer the inquiring person to this Section 4.5(a) and to limit its conversation or other communication exclusively to such referral), (C) enter into any letter of intent, memorandum of understanding, agreement in principle, acquisition agreement, merger agreement or other similar type of Contract contemplating or otherwise providing for or relating to a Company Acquisition Proposal or any inquiry, proposal or offer that may reasonably be expected to lead to a Company Acquisition Proposal, or enter into any Contract or agreement in principle requiring the Company to abandon, terminate or fail to consummate the transactions contemplated hereby, (D) take any action to make the provisions of any takeover statute or any similar provision contained in the organizational documents of the Company inapplicable to any transactions contemplated by a Company Acquisition Proposal, (E) amend, or grant a waiver or release under, any standstill or similar agreement with respect to any capital stock of the Company, or (F) publicly or otherwise, resolve, propose or agree to do any of the foregoing described in clauses (A) through (F); provided, however, that prior to the earlier of the approval of the Company Stockholder Proposals at the Company Stockholder Meeting or the termination of this Agreement in accordance with Article 7, the Company may take the following actions in response to an unsolicited bona fide written Company Acquisition Proposal received after the date hereof that the Board of Directors of the Company has determined, in good faith, after consultation with its outside counsel and financial advisors, constitutes, or would reasonably be expected to lead to, a Company Superior Offer: (1) furnish nonpublic information regarding the Company to the third party making the Company Acquisition Proposal (a “Company Qualified Bidder”), (2) engage in discussions or negotiations with the Company Qualified Bidder and its Representatives with respect to such Company Acquisition Proposal, and (3) amend, or grant a waiver or release under, any standstill or similar agreement with respect to any capital stock of the Company with any Company Qualified Bidder solely to the extent necessary to permit a third party to make, on a confidential basis to the Board of Directors of the Company, a Company Acquisition Proposal; provided that in any such case (w) the Company receives from the Company Qualified Bidder an executed confidentiality agreement the terms of which are not less restrictive to such Person and its Representatives than those contained in the Confidentiality Agreement, and containing additional provisions that expressly permit the Company to comply with the terms of this Section 4.5(a) (a “Company Acceptable Confidentiality Agreement”) (a copy of such Company Acceptable Confidentiality Agreement shall promptly, and in any event within twenty-four (24) hours, be provided to Parent for informational purposes only), (x) the Company contemporaneously supplies to Parent any such nonpublic information or access to any such nonpublic information to the extent it has not been previously provided or made available to Parent, (y) the Company has not breached this Section 4.5(a), and (z) the Board of Directors of the Company determines in good faith, after consultation with its outside legal counsel and financial advisors, that taking such actions would be required to comply with the fiduciary duties of the Board of Directors of the Company under applicable Laws. From and after the date of this Agreement, the Company shall use its reasonable best efforts to enforce, and cause its Subsidiaries and Representatives to enforce, any confidentiality provisions or provisions of similar effect to which it or any of its Subsidiaries is a party or of which it or any of its Subsidiaries is a beneficiary. Any violation of the restrictions contained in this Section 4.5(a) by any Representatives of the Company or any of its Subsidiaries shall be deemed to be a breach of this Section 4.5(a) by the Company.
(ii) For purposes of this Agreement,
(A) “Company Acquisition Proposal” means any inquiry, proposal, indication of interest or offer from any Person or group (the term “group” for purposes of this Agreement having the meaning assigned thereto in Section 13(d) of the Exchange Act and the rules and regulations thereunder), in a single transaction or series of related transactions, relating to (i) a merger, tender offer, recapitalization, reorganization, business combination, liquidation, dissolution, share exchange, arrangement or consolidation, or any similar transaction involving the Company, (ii) a sale, lease, exchange, mortgage, pledge, transfer or other acquisition of fifteen percent (15%) or more of the assets of the Company (including the acquisition of securities in any Subsidiary of the Company), including pursuant to a license or joint venture, or to which fifteen percent (15%) or more of the Company’s revenues or earnings are attributable, (iii) an issuance by the Company of securities representing fifteen percent (15%) or more of the voting power of the Company, or (iv) a purchase, tender offer or other acquisition (including by way of merger, consolidation, share exchange, arrangement, consolidation or otherwise) of beneficial ownership (the term “beneficial ownership” for purposes of this Agreement having the meaning assigned thereto in Section 13(d) of the Exchange Act and the rules and regulations thereunder) of securities representing fifteen percent (15%) or more of the voting power of the Company (including securities of the Company currently beneficially owned by such Person); provided, however, that the term “Company Acquisition Proposal” shall not include the Merger or the other transactions expressly contemplated by this Agreement; and
(B) “Company Superior Offer” shall mean an unsolicited bona fide Company Acquisition Proposal (with all references to “fifteen percent (15%)” in the definition of Company Acquisition Proposal being treated as references to “one hundred percent (100%)” for these purposes) made by a third party after the date hereof that the Board of Directors of the Company determines in good faith, after consultation with its outside legal counsel and financial advisor, and after taking into account all financial, legal, regulatory, and other aspects of such Company Acquisition Proposal, (1) is more favorable from a financial point of view to the Company Stockholders than as provided hereunder (including any changes to the terms of this Agreement proposed by Parent in response to such Company Superior Offer pursuant to and in accordance with Section 4.5(a)(iv), or otherwise), (2) is not subject to any financing condition (and if financing is required, such financing is then fully committed to the third party), (3) is reasonably capable of being completed on the terms proposed without unreasonable delay, and (4) includes termination rights exercisable by the Company on terms no less favorable to the Company than the terms set forth in this Agreement, all from a third party capable of performing such terms.
Annex A - 45
(iii) Except as otherwise expressly provided in Section 4.5(a)(iv), neither the Board of Directors of the Company nor any committee of the Board of Directors of the Company shall (A) fail to make, withhold, withdraw, qualify, amend, change or resolve or publicly propose or announce its intention to withhold, withdraw, qualify, amend or change in a manner adverse to Parent, the Company Board Recommendation, (B) fail to recommend against acceptance of a tender or exchange offer within ten (10) Business Days after commencement, (C) adopt, approve, endorse, recommend or declare advisable, or resolve or publicly propose to or announce its intention to adopt, approve, endorse, recommend or declare advisable, any Company Acquisition Proposal, or (D) make any public statement inconsistent with the Company Board Recommendation (any action described in this sentence being referred to as a “Company Change of Recommendation”).
(iv) Notwithstanding the foregoing, provided that the Company shall not have breached its obligations under this Section 4.5(b), the Board of Directors of the Company may effect a Company Change of Recommendation in the case of a Company Superior Offer, or may terminate this Agreement in order to enter into a definitive agreement with respect to a Company Superior Offer pursuant to Section 7.1(k), if prior to taking any such action:
(A) the Board of Directors of the Company determines in good faith, after consultation with outside legal counsel and financial advisors, that a Company Change of Recommendation is required in order to comply with its fiduciary duties under applicable Laws based upon the receipt of a Company Acquisition Proposal after the date hereof that has not been withdrawn that the Board of Directors of the Company determines in good faith, after consultation with outside legal counsel and financial advisors, constitutes a Company Superior Offer, but only at a time that is prior to the approval of the Company Stockholder Proposals at the Company Stockholder Meeting and is after 11:59 pm, New York City time, on the fourth Business Day following Parent’s receipt of written notice (a “Company Change of Recommendation Notice”) advising Parent that the Board of Directors of the Company desires to effect a Company Change of Recommendation or terminate this Agreement in order to enter into a definitive agreement with respect to such the Company Superior Offer pursuant to Section 7.1(j) (and the manner and timing in which it intends to do so, and specifying the identity of the Person making the Company Acquisition Proposal), unredacted written copies of all proposed transaction agreements relating to such the Company Acquisition Proposal and any other materials provided by such Person in connection with such the Company Acquisition Proposal (such four (4) Business Day period, the “Company Notice Period”);
(B) the Company provides Parent with a reasonable opportunity to make adjustments in the terms and conditions of this Agreement and negotiates (and causes its Representatives to negotiate) in good faith with Parent and its Representatives with respect thereto during the Company Notice Period, in each case as would enable the Board of Directors of the Company or committee thereof to conclude that the Company Acquisition Proposal that was determined to be a Company Superior Offer is no longer a Company Superior Offer; and
(C) following the end of the Company Notice Period, the Board of Directors of the Company determines in good faith, after consultation with outside legal counsel and financial advisors, that after considering the terms of any revised terms proposed by the by Parent, the failure to effect a Company Change of Recommendation or terminate this Agreement in order to enter into a definitive agreement with respect to a Company Superior Offer pursuant to Section 7.1(j) is still required in order to comply with its fiduciary duties under applicable Laws.
Any changes to the financial terms or other material terms of such the Company Superior Offer occurring prior to a Company Change of Recommendation pursuant to this Section 4.5(a)(iv) shall require the Company to provide to Parent a new Company Change of Recommendation Notice and a new Company Notice Period and to comply with the requirements of this Section 4.5(a)(iv) with respect to each such Company Change of Recommendation Notice, except that the references to the “fourth Business Day” shall be deemed to be the “later of (1) the second Business Day, and (2) the period remaining under the original four (4) Business Day Company Notice Period immediately prior to the delivery of such notice pursuant to this sentence,” during which the Board of Directors of the Company shall not make a Company Change of Recommendation or terminate this Agreement pursuant to Section 7.1(j) prior to the end of any such period as so extended. Any Company Change of Recommendation shall not change the approval of this Agreement or any other approval of the Board of Directors of the Company, including in any respect that would have the effect of causing any state (including Delaware) corporate takeover statute or other similar statute to be applicable to the transactions contemplated hereby or thereby, including the Merger.
Annex A - 46
(v) Nothing in this Section 4.5(a) shall prohibit the Company from complying with Rule 14e-2 or Rule 14d-9 promulgated under the Exchange Act with regard to a Company Acquisition Proposal, respectively, or from the Board of Directors of the Company making any disclosure to the Company Stockholders if, in the good faith judgment of the Board of Directors of the Company, after consultation with its outside legal counsel, that taking such action or making such disclosure would be required to comply with its fiduciary duties under applicable Laws; provided that in any event the Board of Directors of the Company shall not make or resolve to make a Company Change of Recommendation except in accordance with Section 4.5(a)(iv) or otherwise take, agree or resolve to take any action prohibited or governed by this Section 4.5(a) except in accordance with this Section 4.5(a).
(vi) Notwithstanding anything to the contrary set forth in this Agreement, the Board of Directors of the Company may effect a Company Change of Recommendation in response to a Company Intervening Event at any time prior to obtaining the Company Stockholder Approval in the event that the Board of Directors of the Company determines (after consultation with its outside legal counsel) that a Company Change of Recommendation in response to such Company Intervening Event is required in order to comply with its fiduciary duties under applicable Laws; provided that, prior to effecting a Company Change of Recommendation pursuant to this Section 4.5(a)(vi), the Board of Directors of the Company shall have given Parent at least four (4) business days’ notice of its intention to effect a Company Change of Recommendation pursuant to this Section 4.5(a)(vi) (which notice shall include the reason (in reasonable detail) for such Company Change of Recommendation) and, if requested by Parent, the Company shall have met and negotiated in good faith with Parent regarding modifications to the terms and conditions of this Agreement so that the Board of Directors of the Company no longer determines that a Company Change of Recommendation in response to such Company Intervening Event is required in order to comply with its fiduciary duties under applicable Laws.
(b) No Solicitation by Parent.
(i) Except as expressly permitted by this Section 4.5(b), during the Pre-Closing Period, none of Parent, its Subsidiaries or any Representatives of Parent or any of its Subsidiaries shall directly or indirectly (A) whether publicly or otherwise, initiate, solicit, seek, induce, cause or knowingly encourage or support any inquiries, proposals or offers that constitute or may reasonably be expected to lead to, a Parent Acquisition Proposal (as defined below), (B) enter into, continue, maintain, conduct or otherwise engage or participate in, or knowingly facilitate, any discussions or negotiations regarding, or afford any Person other than the Company access to Parent’s or any of its Subsidiaries’ properties or assets, books and records, Contracts, personnel or otherwise furnish any nonpublic information relating to Parent or any of its Subsidiaries to any Person in connection with or for the purpose of encouraging, inducing or facilitating any inquiries, proposals or offers that constitute, or may reasonably be expected to lead to, a Parent Acquisition Proposal (other than, solely in response to an unsolicited inquiry, solely to refer the inquiring person to this Section 4.5(b) and to limit its conversation or other communication exclusively to such referral), (C) enter into any letter of intent, memorandum of understanding, agreement in principle, acquisition agreement, merger agreement or other similar type of Contract contemplating or otherwise providing for or relating to a Parent Acquisition Proposal or any inquiry, proposal or offer that may reasonably be expected to lead to a Parent Acquisition Proposal, or enter into any Contract or agreement in principle requiring Parent to abandon, terminate or fail to consummate the transactions contemplated hereby, (D) take any action to make the provisions of any takeover statute or any similar provision contained in the organizational documents of Parent inapplicable to any transactions contemplated by a Parent Acquisition Proposal, (E) amend, or grant a waiver or release under, any standstill or similar agreement with respect to any capital stock of Parent, or (F) publicly or otherwise, resolve, propose or agree to do any of the foregoing described in clauses (A) through (F); provided, however, that prior to the earlier of the approval of the Parent Stockholder Proposals at the Parent Stockholder Meeting or the termination of this Agreement in accordance with Article 7, Parent may take the following actions in response to an unsolicited bona fide written Parent Acquisition Proposal received after the date hereof that the Board of Directors of Parent has determined, in good faith, after consultation with its outside counsel and financial advisors, constitutes, or would reasonably be expected to lead to, a Parent Superior Offer: (1) furnish nonpublic information regarding Parent to the third party making the Parent Acquisition Proposal (a “Parent Qualified Bidder”), (2) engage in discussions or negotiations with the Parent Qualified Bidder and its Representatives with respect to such Parent Acquisition Proposal, and (3) amend, or grant a waiver or release under, any standstill or similar agreement with respect to any capital stock of Parent with any Parent Qualified Bidder solely to the extent necessary to permit a third party to make, on a confidential basis to the Board of Directors of Parent, a Parent Acquisition Proposal; provided that in any such case (w) Parent receives from the Parent Qualified Bidder an executed confidentiality agreement the terms of which are not less restrictive to such Person and its Representatives than those contained in the Confidentiality Agreement, and containing additional provisions that expressly permit Parent to comply with the terms of this Section 4.5(b) (a “Parent Acceptable Confidentiality Agreement”) (a copy of such Parent Acceptable Confidentiality Agreement shall promptly, and in any event within twenty-four (24) hours, be provided to the Company for informational purposes only), (x) Parent contemporaneously supplies to the Company any such nonpublic information or access to any such nonpublic information to the extent it has not been previously provided or made available to the Company, (y) Parent has not breached this Section 4.5(b), and (z) the Board of Directors of Parent determines in good faith, after consultation with its outside legal counsel and financial advisors, that taking such actions would be required to comply with the fiduciary duties of the Board of Directors of Parent under applicable Laws. From and after the date of this Agreement, Parent shall use its reasonable best efforts to enforce, and cause its Subsidiaries and Representatives to enforce, any confidentiality provisions or provisions of similar effect to which it or any of its Subsidiaries is a party or of which it or any of its Subsidiaries is a beneficiary. Any violation of the restrictions contained in this Section 4.5(b) by any Representatives of Parent or any of its Subsidiaries shall be deemed to be a breach of this Section 4.5(b) by Parent.
Annex A - 47
(ii) For purposes of this Agreement,
(A) “Parent Acquisition Proposal” means any inquiry, proposal, indication of interest or offer from any Person or group (the term “group” for purposes of this Agreement having the meaning assigned thereto in Section 13(d) of the Exchange Act and the rules and regulations thereunder), in a single transaction or series of related transactions, relating to (i) a merger, tender offer, recapitalization, reorganization, business combination, liquidation, dissolution, share exchange, arrangement or consolidation, or any similar transaction involving Parent or its Subsidiaries, (ii) a sale, lease, exchange, mortgage, pledge, transfer or other acquisition of fifteen percent (15%) or more of the assets of Parent and its Subsidiaries, taken as a whole (including the acquisition of securities in any Subsidiary of Parent), including pursuant to a license or joint venture, or to which fifteen percent (15%) or more of Parent’s and its Subsidiaries’ consolidated revenues or earnings are attributable, (iii) an issuance by Parent of securities representing fifteen percent (15%) or more of the voting power of Parent, or (iv) a purchase, tender offer or other acquisition (including by way of merger, consolidation, share exchange, arrangement, consolidation or otherwise) of beneficial ownership (the term “beneficial ownership” for purposes of this Agreement having the meaning assigned thereto in Section 13(d) of the Exchange Act and the rules and regulations thereunder) of securities representing fifteen percent (15%) or more of the voting power of Parent (including securities of Parent currently beneficially owned by such Person); provided, however, that the term “Parent Acquisition Proposal” shall not include the Merger or the other transactions contemplated by this Agreement; and
(B) “Parent Superior Offer” shall mean an unsolicited bona fide Parent Acquisition Proposal (with all references to “fifteen percent (15%)” in the definition of Parent Acquisition Proposal being treated as references to “one hundred percent (100%)” for these purposes) made by a third party after the date hereof that the Board of Directors of Parent determines in good faith, after consultation with its outside legal counsel and financial advisor, and after taking into account all financial, legal, regulatory, and other aspects of such Parent Acquisition Proposal, (1) is more favorable from a financial point of view to the Parent Stockholders than as provided hereunder (including any changes to the terms of this Agreement proposed by the Company in response to such Parent Superior Offer pursuant to and in accordance with Section 4.5(b)(iv) or otherwise), (2) is not subject to any financing condition (and if financing is required, such financing is then fully committed to the third party), (3) is reasonably capable of being completed on the terms proposed without unreasonable delay, and (4) includes termination rights exercisable by Parent on terms no less favorable to Parent than the terms set forth in this Agreement, all from a third party capable of performing such terms.
(iii) Except as otherwise expressly provided in Section 4.5(b)(iv), neither the Board of Directors of Parent nor any committee of the Board of Directors of Parent shall (A) fail to make, withhold, withdraw, qualify, amend, change or resolve or publicly propose or announce its intention to withhold, withdraw, qualify, amend or change in a manner adverse to the Company, the Parent Recommendation, (B) fail to recommend against acceptance of a tender or exchange offer within ten (10) Business Days after commencement, (C) adopt, approve, endorse, recommend or declare advisable, or resolve or publicly propose to or announce its intention to adopt, approve, endorse, recommend or declare advisable, any Parent Acquisition Proposal, or (D) make any public statement inconsistent with the Parent Recommendation (any action described in this sentence being referred to as a “Parent Change of Recommendation”).
Annex A - 48
(iv) Notwithstanding the foregoing, provided that Parent shall not have breached its obligations under this Section 4.5(b), the Board of Directors of Parent may effect a Parent Change of Recommendation in the case of a Parent Superior Offer, or may terminate this Agreement in order to enter into a definitive agreement with respect to a Parent Superior Offer pursuant to Section 7.1(k), if prior to taking any such action:
(A) the Board of Directors of Parent determines in good faith, after consultation with outside legal counsel and financial advisors, that a Parent Change of Recommendation is required in order to comply with its fiduciary duties under applicable Laws based upon the receipt of a Parent Acquisition Proposal after the date hereof that has not been withdrawn that the Board of Directors of Parent determines in good faith, after consultation with outside legal counsel and financial advisors, constitutes a Parent Superior Offer, but only at a time that is prior to the approval of the Parent Stockholder Proposals at the Parent Stockholder Meeting and is after 11:59 pm, New York City time, on the fourth Business Day following the Company’s receipt of written notice (a “Parent Change of Recommendation Notice”) advising the Company that the Board of Directors of Parent desires to effect a Parent Change of Recommendation or terminate this Agreement in order to enter into a definitive agreement with respect to such Parent Superior Offer pursuant to Section 7.1(k) (and the manner and timing in which it intends to do so, and specifying the identity of the Person making the Parent Acquisition Proposal), unredacted written copies of all proposed transaction agreements relating to such Parent Acquisition Proposal and any other materials provided by such Person in connection with such Parent Acquisition Proposal (such four (4) Business Day period, the “Parent Notice Period”);
(B) Parent provides the Company with a reasonable opportunity to make adjustments in the terms and conditions of this Agreement and negotiates (and causes its Representatives to negotiate) in good faith with the Company and its Representatives with respect thereto during the Parent Notice Period, in each case as would enable the Board of Directors of Parent or committee thereof to conclude that the Parent Acquisition Proposal that was determined to be a Parent Superior Offer is no longer a Parent Superior Offer; and
(C) following the end of the Parent Notice Period, the Board of Directors of Parent determines in good faith, after consultation with outside legal counsel and financial advisors, that after considering the terms of any revised terms proposed by the by the Company, the failure to effect a Parent Change of Recommendation or terminate this Agreement in order to enter into a definitive agreement with respect to a Parent Superior Offer pursuant to Section 7.1(k) is still required in order to comply with its fiduciary duties under applicable Laws.
Any changes to the financial terms or other material terms of such Parent Superior Offer occurring prior to a Parent Change of Recommendation pursuant to this Section 4.5(b)(iv) shall require Parent to provide to the Company a new Parent Change of Recommendation Notice and a new Parent Notice Period and to comply with the requirements of this Section 4.5(b)(iv) with respect to each such Parent Change of Recommendation Notice, except that the references to the “fourth Business Day” shall be deemed to be the “later of (1) the second Business Day, and (2) the period remaining under the original four (4) Business Day Parent Notice Period immediately prior to the delivery of such notice pursuant to this sentence,” during which the Board of Directors of Parent shall not make a Parent Change of Recommendation or terminate this Agreement pursuant to Section 7.1(k) prior to the end of any such period as so extended. Any Parent Change of Recommendation shall not change the approval of this Agreement or any other approval of the Board of Directors of Parent, including in any respect that would have the effect of causing any state (including Delaware) corporate takeover statute or other similar statute to be applicable to the transactions contemplated hereby or thereby, including the Merger.
(v) Nothing in this Section 4.5(b) shall prohibit Parent from complying with Rule 14e-2 or Rule 14d-9 promulgated under the Exchange Act with regard to a Parent Acquisition Proposal, respectively, or from the Board of Directors of Parent making any disclosure to the Parent Stockholders if, in the good faith judgment of the Board of Directors of Parent, after consultation with its outside legal counsel, that taking such action or making such disclosure would be required to comply with its fiduciary duties under applicable Laws; provided that in any event the Board of Directors of Parent shall not make or resolve to make a Parent Change of Recommendation except in accordance with Section 4.5(b)(iv) or otherwise take, agree or resolve to take any action prohibited or governed by this Section 4.5(b) except in accordance with this Section 4.5(b).
(vi) Notwithstanding anything to the contrary set forth in this Agreement, the Board of Directors of Parent may effect a Parent Change of Recommendation in response to a Parent Intervening Event at any time prior to obtaining the Parent Stockholder Approval in the event that the Board of Directors of Parent determines (after consultation with its outside legal counsel) that a Parent Change of Recommendation in response to such Parent Intervening Event is required in order to comply with its fiduciary duties under applicable Laws; provided that, prior to effecting a Parent Change of Recommendation pursuant to this Section 4.5(b)(vi), the Board of Directors of Parent shall have given the Company at least four (4) business days’ notice of its intention to effect a Parent Change of Recommendation pursuant to this Section 4.5(b)(vi) (which notice shall include the reason (in reasonable detail) for such Parent Change of Recommendation) and, if requested by the Company, Parent shall have met and negotiated in good faith with the Company regarding modifications to the terms and conditions of this Agreement so that the Board of Directors of Parent no longer determines that a Parent Change of Recommendation in response to such Parent Intervening Event is required in order to comply with its fiduciary duties under applicable Laws.
Annex A - 49
(c) Both the Company and Parent shall notify the other no later than twenty-four (24) hours after receipt of any Company Acquisition Proposal or Parent Acquisition Proposal or any inquiries, discussions, negotiations, proposals, expressions of interest or requests for information that may reasonably be expected to lead to a Company Acquisition Proposal or Parent Acquisition Proposal, respectively, and any such notice shall be made orally or in writing and shall indicate in reasonable detail the terms and conditions of such proposal, inquiry, contact or request, including price, and the identity of the offeror, and shall be accompanied by a copy of such Company Acquisition Proposal or Parent Acquisition Proposal, as applicable, inquiry, proposal, expression of interest or request (if written). If the Company is in receipt of a Company Acquisition Proposal, the Company shall notify Parent, in writing, of any decision of the Board of Directors of the Company or any committee thereof as to whether to consider any Company Acquisition Proposal or to enter into discussions or negotiations concerning any Company Acquisition Proposal or to provide nonpublic information with respect to such Company Acquisition Proposal to any Person, and if Parent is in receipt of a Parent Acquisition Proposal, Parent shall notify the Company, in writing, of any decision of the Board of Directors of Parent or any committee thereof as to whether to consider any Parent Acquisition Proposal or to enter into discussions or negotiations concerning any Parent Acquisition Proposal or to provide nonpublic information with respect to such Parent Acquisition Proposal to any Person, which notice in any such case shall be given no later than twenty-four (24) hours after such determination is reached. Both the Company and Parent shall keep the other informed, on a current basis, of the status and material developments (including any changes to the terms) of such Company Acquisition Proposal or Parent Acquisition Proposal, respectively, including by providing a copy of all written proposals and a summary of all oral proposals or material oral modifications to an earlier written proposal, in each case relating to any Company Acquisition Proposal or Parent Acquisition Proposal, as applicable.
(d) The Company and Parent shall, and shall cause each of their respective Subsidiaries and their respective Representatives to, immediately cease and cause to be terminated any and all existing activities, discussions or negotiations with any Person conducted heretofore with respect to, or that may reasonably be expected to lead to, a Company Acquisition Proposal or Parent Acquisition Proposal. The Company and Parent shall each immediately revoke or withdraw access of any Person (other than Parent, the Company and their respective Representatives) to any data room (virtual or actual) containing any nonpublic information with respect to the Company or Parent, as applicable, and request from each third party (other than Parent, the Company and their Representatives) the prompt return or destruction of all nonpublic information with respect to the Company or Parent, as applicable, previously provided or made accessible to such Person.
Article
5
ADDITIONAL AGREEMENTS OF THE PARTIES
Section 5.1 Filings; Other Actions.
(a) Parent and the Company shall use reasonable best efforts to take or cause to be taken such actions as may be required to be taken under the Securities Act, the Exchange Act, any other federal securities Laws, any applicable state securities or “blue sky” Laws and any stock exchange requirements in connection with the Merger and the other transactions contemplated by this Agreement. Without limiting the foregoing, as promptly as practicable after the date of this Agreement, the Parties shall prepare and cause to be filed with the SEC the Joint Proxy Statement/Prospectus and the Form S-4 Registration Statement, in which the Joint Proxy Statement/Prospectus will be included as a prospectus; provided, however, that prior to the filing of the Joint Proxy Statement/Prospectus and the Form S-4 Registration Statement, Parent shall consult with the Company with respect to such filings and shall afford the Company reasonable opportunity to review and comment thereon (including the proposed final versions thereof), which Parent shall consider in good faith. The Parties shall use reasonable best efforts to cause the Joint Proxy Statement/Prospectus to be mailed to Parent’s stockholders and the Company’s stockholders, all as promptly as reasonably practicable after the date on which the Form S-4 Registration Statement is declared effective under the Securities Act (the “S-4 Effective Date”).
(b) The Company shall promptly provide Parent with any information for inclusion in the Joint Proxy Statement/Prospectus and the Form S-4 Registration Statement that may be required under applicable Law or that is reasonably requested by Parent. Without limiting the generality of the foregoing, if the Joint Proxy Statement/Prospectus is to be mailed after February 14, 2019, the Company shall provide Parent with a copy of the Company’s consolidated balance sheet as of December 31, 2018, and the related consolidated statements of operations, cash flows and stockholders equity for the fiscal year then ended, together with the notes thereto (collectively, the “Additional Company Financial Statements”). The Additional Company Financial Statements shall (i) comply as to form in all material respects with the published rules and regulations of the SEC with respect thereto, (ii) be prepared in accordance with GAAP applied on a consistent basis (unless otherwise noted therein) throughout the periods indicated, and (iii) fairly present, in all material respects, the financial condition and operating results of the Company as of the dates and for the periods indicated therein.
Annex A - 50
(c) Parent shall notify the Company of the receipt of comments from the SEC and of any request from the SEC for amendments or supplements to the Joint Proxy Statement/Prospectus, the Form S-4 Registration Statement or for additional information, and will promptly supply to the Company copies of all correspondence between Parent, on the one hand, and the SEC or members of its staff, on the other hand, with respect to the Joint Proxy Statement/Prospectus, the Form S-4 Registration Statement or the Merger. Parent and the Company shall use reasonable best efforts to resolve all SEC comments with respect to the Joint Proxy Statement/Prospectus, the Form S-4 Registration Statement and any other required filings as promptly as practicable after receipt thereof. Parent and the Company agree to correct any information provided by it for use in the Joint Proxy Statement/Prospectus or the Form S-4 Registration Statement, which shall have become false or misleading in any material respect. The Company will promptly notify Parent if at any time prior to the Parent Stockholder Meeting any event should occur which is required by applicable Law to be set forth in an amendment of, or a supplement to, the Joint Proxy Statement/Prospectus or the Form S-4 Registration Statement. In such case, the Parties will cooperate to promptly prepare and file such amendment or supplement with the SEC to the extent required by applicable Law and will mail such amendment or supplement to Parent’s stockholders to the extent required by applicable Law; provided, however, that prior to such filing, each Party shall consult with each other Party with respect to such amendment or supplement and shall afford each such Party reasonable opportunity to review and comment thereon (including the proposed final versions thereof), which Parent shall consider in good faith.
Section 5.2 Stockholder Approval.
(a) Company Stockholder Meeting. The Company shall take all action necessary in accordance with applicable Laws and the Company Charter and Company Bylaws to call, give notice of, convene and hold a meeting of the Company Stockholders (the “Company Stockholder Meeting”) to consider and vote on proposals to adopt and approve this Agreement and the Merger (the “Company Stockholder Proposals”). The Company shall mail the Joint Proxy Statement/Prospectus as soon as reasonably practicable after the S-4 Effective Date and shall hold the Company Stockholder Meeting no later than forty-five (45) days after mailing the Joint Proxy Statement/Prospectus, unless a later date is mutually agreed to by the Company and Parent. The Company shall take all actions as are reasonably necessary or appropriate to solicit from the Company Stockholders proxies in favor of the Company Stockholder Proposals. If on the scheduled date of the Company Stockholder Meeting, the Company has not obtained the Company Stockholder Approval, the Company shall have the right to adjourn or postpone the Company Stockholder Meeting to a later date or dates, such later date or dates not to exceed thirty (30) days from the original date that the Company Stockholder Meeting was scheduled for the approval of the Company Stockholder Proposals. Subject to the provisions of Section 4.5(a), the Board of Directors of the Company recommends that the Company Stockholders approve the Company Stockholder Proposals (the “Company Recommendation”) and the Company shall include the Company Recommendation in the Joint Proxy Statement/Prospectus. Without limiting the generality of the foregoing, the Company agrees that unless this Agreement has been terminated in accordance with Section 7.1, its obligations under this Section 5.2(a) shall not be affected by the commencement, public proposal, public disclosure or communication to the Company of any Company Acquisition Proposal or by any Company Change of Recommendation.
(b) Parent Stockholder Meeting. Parent shall take all action necessary in accordance with applicable Laws and the Parent Charter and Parent Bylaws to call, give notice of, convene and hold a meeting of the Parent Stockholders (the “Parent Stockholder Meeting”) to consider and vote on proposals to approve (i) the issuance of the shares of Parent Common Stock in connection with the Merger, (ii) the Spinoff, (iii) the New Equity Incentive Plan, and (iv) amendments to the Parent Charter to effect the Reverse Stock Split (if applicable) immediately prior to the Effective Time and to change the name of Parent to “Emmaus Life Sciences, Inc.” at the Effective Time (collectively, the “Parent Stockholder Proposals”). Parent shall mail the Joint Proxy Statement/Prospectus as soon as reasonably practicable after the S-4 Effective Date and shall hold the Parent Stockholder Meeting no later than forty-five (45) days after mailing the Joint Proxy Statement/Prospectus, unless a later date is mutually agreed to by the Company and Parent. Parent shall take all actions as are reasonably necessary or appropriate to solicit from the Parent Stockholders proxies in favor of the Parent Stockholder Proposals. If on the scheduled date of the Parent Stockholder Meeting, Parent has not obtained the Parent Stockholder Approval, Parent shall have the right to adjourn or postpone the Parent Stockholder Meeting to a later date or dates, such later date or dates not to exceed thirty (30) days from the original date that the Parent Stockholder Meeting was scheduled for the approval of the Parent Stockholder Proposals. Subject to the provisions of Section 4.5(b), the Board of Directors of Parent recommends that the Parent Stockholders approve the Parent Stockholder Proposals (the “Parent Recommendation”) and Parent shall include the Parent Recommendation in the Joint Proxy Statement/Prospectus. Without limiting the generality of the foregoing, Parent agrees that unless this Agreement has been terminated in accordance with Section 7.1, its obligations under this Section 5.2(b) shall not be affected by the commencement, public proposal, public disclosure or communication to Parent of any Parent Acquisition Proposal or by any Parent Change of Recommendation.
Annex A - 51
Section 5.3 Regulatory Approvals. Each Party shall use commercially reasonable efforts to file or otherwise submit, as soon as practicable after the date of this Agreement, all applications, notices, reports and other documents reasonably required to be filed by such Party with or otherwise submitted by such Party to any Governmental Authority with respect to the Merger and the other Contemplated Transactions, and to submit promptly any additional information requested by any such Governmental Authority.
Section 5.4 Schedules.
(a) The Company shall prepare and deliver to Parent three (3) Business Days prior to the Closing, a schedule (the “Company Net Cash Schedule”) setting forth, in reasonable detail, the Company’s good faith estimate of Net Cash to be held by the Company as of the Closing, together with the work papers and back-up materials used in preparing such Company Net Cash Schedule.
(b) Parent shall prepare and deliver to the Company three (3) Business Days prior to the Closing, a schedule (the “Parent Net Liabilities and Stockholders’ Equity Schedule”) setting forth, in reasonable detail, Parent’s good faith estimate of the Net Liabilities and stockholders’ equity of Parent, as of the Closing, together with the work papers and back-up materials used in preparing such Parent Net Liabilities and Stockholders’ Equity Schedule. For purposes of this Agreement, the term “Net Liabilities” means all Liabilities of Parent less the sum of all cash and equivalents and deposits of Parent. Stockholders’ equity (deficit) shall be determined in accordance with generally accepted accounting principles applied on a basis consistent with the Parent Financial Statements.
Section 5.5 Spinoff; Asset Sale; Reorganization; Stock Issuance.
(a) Parent shall take the actions set forth in a Separation and Spinoff Agreement being executed concurrently with the entry into this Agreement (the “Spinoff Agreement”) which provides that prior to the Closing, (i) up to all of the assets (including the capital stock of each of its Subsidiaries and Parent Contracts (other than as may be disposed of in any Permitted Asset Sale)), but excluding the Retained Liabilities, may be transferred from Parent to the Parent California Subsidiary (the “Spinoff Assets”) and (ii) the Parent California Subsidiary shall be owned by the pre-Closing stockholders of Parent (collectively, the “Spinoff”). Following the execution of this Agreement, Parent shall file with the SEC all documents necessary to consummate the Spinoff in accordance with the terms herein. Parent and the Company shall agree in good faith as to which assets of Parent shall be retained by Parent in order to cause the Parent California Subsidiary to be solvent prior to and immediately after the Spinoff (the “Retained Assets”).
(b) Notwithstanding any provision of this Agreement to the contrary, at any time prior to the Closing Date, Parent may sell, lease or dispose of any of its assets or properties in exchange for cash or other consideration, which cash or other consideration may be included in the assets to be included in the Spinoff (each, a “Permitted Asset Sale”), provided that (i) no Permitted Asset Sale shall impose on Parent or any Subsidiary of Parent (other than the Parent California Subsidiary) any ongoing monetary obligations to any third party in excess of $250,000 in the aggregate (“Permitted Asset Sale Liabilities”), (ii) no Permitted Asset Sale shall impose any non-compete, non-solicitation, exclusivity, rights of first refusal or other similar restraint or covenant on Parent or any of its Subsidiaries (other than the Parent California Subsidiary) or any other impairment on the ability of Parent or any of its Subsidiaries (other than the Parent California Subsidiary) to conduct its or their business following the Closing; and (iii) no Permitted Asset Sale shall cause the failure of a condition to the Closing or otherwise impair or delay the consummation of the transactions contemplated by this Agreement.
(c) Notwithstanding any provision of this Agreement to the contrary, at any time prior to the Closing Date, Parent may undertake one or more transactions, including one or more tender offers, exchange offers, or similar transactions, which results in the issuance, modification, conversion, exchange, acceleration, extension, or termination of Parent Warrants, Parent Stock Options or Parent Restricted Stock Awards (each, a “Permitted Parent Reorganization”).
Annex A - 52
(d) Notwithstanding any provision of this Agreement to the contrary, at any time prior to the Closing Date, the Company may undertake one or more transactions, including one or more tender offers, exchange offers, or similar transactions, which results in the modification, conversion, exchange, or termination of any Company Warrants, Company Stock Options, Company Convertible Notes, Company Debentures or other Company indebtedness (each, a “Permitted Company Reorganization”).
(e) Notwithstanding any provision of this Agreement to the contrary, at any time prior to the Closing Date, Parent may issue and sell, in or more public offerings or private placements, up to 5,000,000 shares of Parent Common Stock, on terms and conditions acceptable to Parent including pursuant to the common stock purchase agreement executed with Aspire Capital Fund, LLC on May 15, 2018 (each, a “Permitted Parent Issuance”); provided that if the proceeds received by Parent from the sales of 5,000,000 shares of Parent Common Stock, in the aggregate, are less than $5,000,000 in the aggregate, Parent may issue and sell up to 3,200,000 additional shares of Parent Common Stock for aggregate proceeds to Parent of up to $2,000,000, and such additional shares of Parent Common Stock will be part of the Permitted Parent Issuance. Any and all proceeds from any Permitted Parent Issuance may be contributed to the Parent California Subsidiary in connection with the Spinoff.
(f) Notwithstanding any provision of this Agreement to the contrary, at any time prior to the Closing Date, the Company may issue and sell, in one or more private offerings, up to 5,000,000 shares of Company Common Stock, on terms and conditions acceptable to the Company (each a “Permitted Company Issuance”).
Section 5.6 Indemnification of Officers and Directors.
(a) From and after the Effective Time, Parent and the Surviving Corporation will fulfill and honor in all respects all rights to indemnification, exculpation or advancement of expenses now existing in favor of, and all limitations on the personal liability of each present and former director, officer, employee, fiduciary, or agent of Parent or the Company provided for in the respective organizational documents of Parent and the Company in effect as of the date hereof, and shall continue to be honored and in full force and effect for a period of six (6) years after the Effective Time; provided, however, that all rights to indemnification in respect of any claims asserted or made within such period shall continue until the disposition of such claim. The certificate of incorporation of the Surviving Corporation will contain provisions with respect to indemnification, exculpation from liability and advancement of expenses that are at least as favorable as those currently in the Company Charter and Company Bylaws and during such six (6) year period following the Effective Time, Parent shall not and shall cause the Surviving Corporation not to amend, repeal or otherwise modify such provisions in any manner that would materially and adversely affect the rights thereunder of individuals who at any time prior to the Effective Time was a director, officer, employee, fiduciary, or agent of the Company in respect of actions or omissions occurring at or prior to the Effective Time, unless such modification is required by applicable Laws. From and after the Effective Time, Parent and the Surviving Corporation also agree, jointly and severally, to indemnify and hold harmless the present and former officers, directors, employees, fiduciaries and agents of the Company in respect of acts or omissions occurring prior to the Effective Time to the extent (i) provided in any existing indemnification agreements between the Company and such individuals, or (ii) required by the Company Charter or the Company Bylaws, in each case as in effect immediately prior to the Effective Time.
(b) The Company shall purchase a six-year “tail” policy under the Company’s existing directors’ and officers’ liability insurance policy, with an effective date as of the Closing. Parent shall purchase a six-year “tail” policy under Parent’s existing directors’ and officers’ liability insurance policy, with an effective date as of the Closing.
(c) The provisions of this Section 5.6 are intended to be for the benefit of, and shall be enforceable by, each of the Persons indemnified hereby, and his or her heirs and Representatives, and may not be amended, altered or repealed without the written consent of any such Person affected by such amendment, alteration or repeal. The provisions in this Section 5.6 are intended to be in addition to the rights otherwise available to the current directors, officers, employees, fiduciaries and/or agents of the Company by Laws, charters, bylaws or agreements.
(d) If Parent or the Surviving Corporation or any of the successors or assigns of Parent or the Surviving Corporation (i) consolidates with or merges into any other Person and shall not be the continuing or surviving corporation or entity of such consolidation or merger, or (ii) transfers or conveys all or substantially all of its properties and assets to any Person, then, and in each such case, to the extent necessary, proper provision shall be made so that the successors and assigns of Parent or the Surviving Corporation, as the case may be, shall assume the obligations set forth in this Section 5.6.
Annex A - 53
Section 5.7 Additional Agreements.
(a) Subject to Section 5.7(b), the Parties shall use commercially reasonable efforts to cause to be taken all actions necessary to consummate the Merger and make effective the other Contemplated Transactions. Without limiting the generality of the foregoing, but subject to Section 5.7(b), each Party to this Agreement: (i) shall make all filings and other submissions (if any) and give all notices (if any) required to be made and given by such Party in connection with the Merger and the other Contemplated Transactions, (ii) shall use commercially reasonable efforts to obtain each consent (if any) reasonably required to be obtained (pursuant to any applicable Law or Contract, or otherwise) by such Party in connection with the Merger or any of the other Contemplated Transactions or for such Contract to remain in full force and effect, (iii) shall use commercially reasonable efforts to lift any injunction prohibiting, or any other legal bar to, the Merger or any of the other Contemplated Transactions, and (iv) shall use commercially reasonable efforts to satisfy the conditions precedent to the consummation of this Agreement.
(b) Except as otherwise specifically provided in this Agreement, no Party shall have any obligation under this Agreement: (i) to dispose of or transfer or cause any of its Subsidiaries to dispose of or transfer any assets, (ii) to discontinue or cause any of its Subsidiaries to discontinue offering any product or service, (iii) to license or otherwise make available, or cause any of its Subsidiaries to license or otherwise make available to any Person any Intellectual Property, (iv) to hold separate or cause any of its Subsidiaries to hold separate any assets or operations (either before or after the Closing Date), (v) to make or cause any of its Subsidiaries to make any commitment (to any Governmental Authority or otherwise) regarding its future operations, or (vi) to contest any Legal Proceeding or any order, writ, injunction or decree relating to the Merger or any of the other Contemplated Transactions if such Party determines in good faith that contesting such Legal Proceeding or order, writ, injunction or decree might not be advisable.
Section 5.8 Disclosure. Without limiting any of either Party’s obligations under the Confidentiality Agreement, each Party shall not, and shall not permit any of its Subsidiaries or any Representative of such Party to, issue any press release or make any public disclosure regarding the Merger or any of the other Contemplated Transactions unless: (a) the other Party shall have approved such press release or disclosure in writing, which approval shall not unreasonably be withheld, or (b) such Party shall have determined in good faith, upon the advice of outside legal counsel, that such disclosure is required by applicable Laws, in which case such Party shall use reasonable best efforts before such press release or disclosure is issued or made, to advise the other Party of, and consult with the other Party regarding, the text of such press release or other disclosure and allow such other Party a reasonable opportunity to comment on such release or other disclosure in advance of such issuance and consider all such comments in good faith; provided, that the foregoing clause (b) shall not apply to the press release and a Current Report on Form 8-K to be filed by each of Parent and the Company in connection with the initial announcement of the Merger Agreement and the Contemplated Transactions; provided, further, that each of the Company and Parent may make any public statement in response to specific questions by the press, analysts, investors or those attending industry conferences or financial analyst conference calls, so long as any such statements are consistent with the filings contemplated in Section 5.1(a) or press releases, public disclosures or public statements made by the Company or Parent in compliance with this Section 5.8.
Section 5.9 Stock Exchange Listing.
(a) Parent shall use its commercially reasonable efforts to maintain its existing listing on NASDAQ. Parent shall use its commercially reasonable efforts to: (i) prepare and submit to NASDAQ a notification form for the listing of the shares of Parent Common Stock to be issued or issuable in the Merger and to cause such shares to be approved for listing (subject to notice of issuance) and (ii) to file within ten (10) days after the date hereof an initial listing application under Rule 5110 of the NASDAQ Marketplace Rules for the Parent Common Stock on NASDAQ (the “NASDAQ Listing Application”) and to cause such NASDAQ Listing Application to be approved for listing (subject to official notice of issuance).
(b) The Company will cooperate with Parent as requested by Parent with respect to the NASDAQ Listing Application and promptly furnish to Parent all information concerning the Company and its Affiliates that may be reasonably required or requested in connection with any action contemplated by this Section 5.9. The Company will use its commercially reasonable efforts to take all actions (i) to effect one or more Permitted Company Reorganizations, (ii) cause the Company Convertible Notes to become Converted Notes as of the Closing as contemplated herein, (iii) repay or convert to Company Common Stock the Company’s other Indebtedness and (iv) take any other action within the Company’s control or authority, in each case to the extent reasonably required to meet the NASDAQ stockholder equity requirements.
Annex A - 54
Section 5.10 Section 16 Matters. Subject to the following sentence, prior to the Effective Time, Parent and Company will take all such steps as may be required (to the extent permitted under applicable Laws and no-action letters issued by the SEC) to cause any acquisition of Parent Common Stock (including derivative securities with respect to Parent Common Stock) by each individual who is subject to the reporting requirements of Section 16(a) of the Exchange Act with respect to Parent, to be exempt under Rule 16b-3 under the Exchange Act. At least thirty (30) days prior to the Closing Date, Company will furnish the following information to Parent for each individual who, immediately after the Effective Time, will become subject to the reporting requirements of Section 16(a) of the Exchange Act with respect to Parent: (a) the number of shares of Company Capital Stock owned by such individual and expected to be exchanged for shares of Parent Common Stock pursuant to the Merger, and (b) the number of other derivative securities (if any) with respect to Company Capital Stock owned by such individual and expected to be converted into shares of Parent Common Stock or derivative securities with respect to Parent Common Stock in connection with the Merger.
Section 5.11 Tax Matters.
(a) For U.S. federal and state income Tax purposes, the parties hereto intend that the Merger will constitute a “reorganization” within the meaning of Section 368(a) of the Code. Parent, Merger Sub, and the Company (i) shall use their respective reasonable best efforts to cause the Merger, together with the issuance of shares of Parent Common Stock to the Company Stockholders, to qualify as a “reorganization” under Section 368(a) of the Code, and (ii) agree not to, and not to take any actions or positions or cause or permit any action or position to be taken or fail to take or cause to be failed to be taken any actions or positions, which action, position or failure would or could reasonably be expected to prevent or impede the Merger, together with the issuance of shares of Parent Common Stock to the Company Stockholders, from qualifying as a “reorganization” under Section 368(a) of the Code. For the avoidance of any doubt, this Section 5.11 shall not prohibit the Spinoff.
(b) This Agreement is intended to constitute, and the parties hereto hereby adopt this Agreement as, a “plan of reorganization” within the meaning Treasury Regulation Sections 1.368-1(c), 1.368-2(g) and 1.368-3(a). Parent, Merger Sub, and the Company shall treat, and shall not take any tax reporting position inconsistent with the treatment of, the Merger, together with the issuance of shares of Parent Common Stock to the Company Stockholders, as a “reorganization” within the meaning of Section 368(a) of the Code for U.S. federal, state and other relevant Tax purposes, unless otherwise required pursuant to a “determination” within the meaning of Section 1313(a) of the Code.
(c) For U.S. federal and state income Tax purposes, the parties hereto acknowledge and agree that the Merger will constitute a “reverse acquisition” as described in Treasury Regulations Section 1.1502-75(d)(3), and to refrain from taking any position inconsistent with the foregoing for U.S. federal, state and other relevant Tax purposes, unless otherwise required pursuant to a “determination” within the meaning of Section 1313(a) of the Code. Notwithstanding the foregoing, subject to Section 8.12 of the Spinoff Agreement, the net operating losses of the Parent California Subsidiary shall follow such Subsidiary after the Spinoff to the extent permitted under applicable Law. None of Parent or the Company shall make any election with respect to the net operating losses of the Parent California Subsidiary without the prior written approval of the Parent California Subsidiary, which approval shall be provided by the Parent California Subsidiary in its sole and absolute discretion.
Section 5.12 Cooperation. Each Party shall cooperate reasonably with the other Party and shall provide the other Party with such assistance as may be reasonably requested for the purpose of facilitating the performance by each Party of their obligations under this Agreement and to enable the combined entity to continue to meet its obligations following the Closing.
Section 5.13 Directors and Officers of Parent.
(a) At and immediately after the Effective Time, the directors of Parent shall be those Persons specified or designated as provided in Schedule 5.13(a), who shall include up to six Persons designated by the Company and one Person designated by Parent and who shall serve until their respective successors are duly elected or appointed and qualified or their earlier death, resignation or removal. Parent shall take all actions necessary to cause such Company designees to be elected or appointed to the Board of Directors of Parent. If any Person listed or designated in Schedule 5.13(a) is unable or unwilling to serve as a director of Parent as set forth therein, the Party designating such Person (as set forth in Schedule 5.13(a)) shall designate a successor.
(b) At and immediately after the Effective Time, the officers of Parent shall be those Persons specified or designated as provided in Schedule 5.13(b). If any Person listed or designated in Schedule 5.13(b) is unable or unwilling to serve as an officer of Parent as set forth therein, the Company shall designate a successor.
Annex A - 55
Section 5.14 Stockholder Litigation. Until the earlier of the termination of this Agreement in accordance with its terms or the Effective Time, Parent, on the one hand, and the Company, on the other hand, shall give the other Party the opportunity to participate in the defense or settlement of any stockholder litigation relating to this Agreement or any of the Contemplated Transactions, and shall not settle any such litigation without the other Party’s written consent, which will not be unreasonably withheld, conditioned or delayed.
Section 5.15 Allocation Certificate and Capitalization Certificate.
(a) The Company shall prepare and deliver to Parent at least five (5) Business Days prior to the Closing Date a certificate signed by the Chief Financial Officer of the Company in a form reasonably acceptable to Parent setting forth (as of immediately prior to the Effective Time) (i) each record holder of Company Capital Stock, Company Stock Options, Company Warrants and Company Convertible Notes, (ii) such holder’s name and address, (iii) the number and type of Company Capital Stock held by such holder, (iv) the number of shares of Company Common Stock underlying the Company Stock Options, Company Warrants or Company Convertible Notes as of the Closing Date for each such holder, (v) the number and type of Company Capital Stock issuable or exchangeable for any other indebtedness of the Company, and (vi) the number of shares of Parent Common Stock to be issued to such holder pursuant to this Agreement in respect of the Company Capital Stock, or to be issued pursuant to this Agreement upon exercise or conversion of any Company Stock Options, Company Warrants or Company Convertible Notes or in exchange for any other Company indebtedness held by such holder as of immediately prior to the Effective Time (the “Company Allocation Certificate”). Except in connection with the Contemplated Transactions, the Company (and Parent after the Effective Time for a period of six (6) months after the Effective Time) shall not amend the terms of any Company Stock Options, Company Warrants, Company Convertible Notes or such other Company Indebtedness after the delivery of the Company Allocation Certificate, whether before or after the Effective Time, to increase the number of shares of Parent Common Stock issuable upon conversion thereof or to substitute any other share of Capital Stock of Parent to be issued upon exercise of any such Company Stock Options, Company Warrants, Company Convertible Notes or such other Company indebtedness after the Effective Time. The Spinoff Agreement shall provide that if Parent (or the Surviving Corporation or any other Subsidiary of Parent after the Effective Time) converts any Company Indebtedness (other than Company Convertible Notes that are included in the calculation of the Exchange Ratio) into equity during the six (6) month period after closing, Parent will issue shares of the same class of stock issued in connection with such conversion to the Parent California Subsidiary. The number of shares to be issued to the Parent California Subsidiary will cause the Parent California Subsidiary to own 5.9% of the total number of shares issued in such debt conversion (including the shares issued to the Parent California Subsidiary) in excess of the number of shares included in the calculation of the Exchange Ratio.
(b) Parent shall prepare and deliver to the Company at least five (5) Business Days prior to the Closing Date a certificate signed by the Chief Financial Officer of Parent in a form reasonably acceptable to the Company setting forth (as of immediately prior to the Effective Time) (i) each record holder of Parent Capital Stock, Parent Stock Options, Parent Warrants, and other instrument exercisable or exchangeable for or convertible into Parent Capital Stock, (ii) such holder’s name and address and (iii) the number and type of Parent Capital Stock held and/or underlying the Parent Stock Options, Parent Warrants or such instrument as of the Closing Date for each such holder (the “Parent Capitalization Certificate”).
Section 5.16 Reverse Split. If deemed necessary or advisable by the Parties, Parent shall submit to the Parent Stockholders at the Parent Stockholder Meeting a proposal to approve and adopt an amendment to the Parent Charter to authorize the Board of Directors of Parent to effect a reverse stock split prior to the Effective Time of all outstanding shares of Parent Common Stock at a reverse stock split ratio in the range mutually agreed to by the Company and the Board of Directors of Parent (the “Reverse Stock Split”), and shall take such other actions as shall be reasonably necessary to effectuate the Reverse Stock Split prior to the Effective Time.
Section 5.17 Termination of Certain Agreements and Rights. Parent shall cause the Contracts set forth on Section 5.17 Parent Disclosure Schedule to be either (a) transferred to the Parent California Subsidiary or (b) terminated immediately prior to the Effective Time, without any material liability being imposed on the part of Parent or the Surviving Corporation.
Annex A - 56
Article
6
CONDITIONS PRECEDENT
Section 6.1 Conditions to Each Party’s Obligation to Effect the Merger. The obligations of each Party to effect the Merger and otherwise consummate the transactions to be consummated at the Closing are subject to the satisfaction or, to the extent permitted by applicable Law, the written waiver by each of the Parties, at or prior to the Closing, of each of the following conditions:
(a) No Restraints. No temporary restraining order, preliminary or permanent injunction or other order preventing the consummation of the Merger shall have been issued by any court of competent jurisdiction or other Governmental Authority and remain in effect, and there shall not be any Law which has the effect of making the consummation of the Merger illegal.
(b) Stockholder Approval. This Company Stockholder Proposal shall have been duly approved by the Company Stockholder Approval, and the Parent Stockholder Proposals shall have been duly approved by the Parent Stockholder Approval.
(c) S-4 Registration Statement. The Form S-4 Registration Statement shall have become effective in accordance with the provisions of the Securities Act and shall not be subject to any stop order or proceeding (or threatened proceeding by the SEC) seeking a stop order with respect to the Form S-4 Registration Statement.
(d) NASDAQ. The NASDAQ Listing Application shall have been approved and the shares of Parent Common Stock to be issued in the Merger shall have been approved for listing on NASDAQ as of the Effective Time, in each case subject to official notice of issuance (the “NASDAQ Condition”).
(e) Dissenting Shares. The Dissenting Shares shall not exceed 20% of the outstanding shares of Company Common Stock entitled to vote at the Company Stockholder Meeting.
(f) Spinoff. The Spinoff shall have occurred or shall be expected to occur simultaneously with or after the Merger and Parent shall have reasonably determined in good faith that the Spinoff will not result in any material Tax Liability (which is to be a Liability of the Parent California Subsidiary after the Spinoff pursuant to the terms of the Spinoff Agreement).
Section 6.2 Additional Conditions Precedent to Obligation of Parent. The obligations of Parent and Merger Sub to effect the Merger and otherwise consummate the transactions to be consummated at the Closing are subject to the satisfaction or the written waiver by Parent, at or prior to the Closing, of each of the following conditions:
(a) Accuracy of Representations. The Company Fundamental Representations shall have been true and correct in all respects as of the date of this Agreement (other than in any de minimis respect) and shall be true and correct on and as of the Closing Date with the same force and effect as if made on and as of such date (except to the extent such representations and warranties are specifically made as of a particular date, in which case such representations and warranties shall be true and correct as of such date). The representations and warranties of the Company contained in Article 2 of this Agreement (other than the Company Fundamental Representations) shall be true and correct on and as of the Closing Date with the same force and effect as if made on the Closing Date except (i) in each case, or in the aggregate, where the failure to be so true and correct would not reasonably be expected to have a Company Material Adverse Effect (without giving effect to any references therein to any Company Material Adverse Effect or other materiality qualifications), or (ii) for those representations and warranties which address matters only as of a particular date (which representations shall have been true and correct, subject to the qualifications as set forth in the preceding clause (i), as of such particular date) (it being understood that, for purposes of determining the accuracy of such representations and warranties, any update of or modification to the Company Disclosure Schedule made or purported to have been made after the date of this Agreement shall be disregarded).
(b) Performance of Covenants. Each of the covenants and obligations in this Agreement that the Company is required to comply with or to perform at or prior to the Closing shall have been complied with and performed by the Company in all material respects.
(c) No Company Material Adverse Effect. Since the date of this Agreement, there shall not have occurred any Company Material Adverse Effect.
(d) Cash, Converted Notes and Other Company Indebtedness. (i) The Company will have sufficient cash on hand and working capital to operate its business for at least 12 months after the Closing and (ii) at least 90% of the Company Convertible Notes shall have become Converted Notes. In addition, the Company shall have used its commercially reasonable efforts to repay or convert to Company Common Stock the Company’s other Indebtedness.
(e) FIRPTA Certificate. At or prior to the Closing, the Company shall have delivered to Parent (i) a notice to the IRS, in accordance with the requirements of Treasury Regulation Section 1.897-2(h)(2), dated as of the Closing Date, together with written authorization for Parent to deliver such notice to the IRS on behalf of the Company after the Closing and (ii) a certificate that the shares of common stock of the Company are not a “United States real property holding interests” (as defined in Section 897(c)(2) of the Code) prepared in accordance with the Treasury Regulations issued pursuant to Sections 897 and 1445 of the Code and reasonably satisfactory to Parent.
Annex A - 57
(f) Officers’ Certificate. Parent shall have received a certificate executed by the chief executive officer and chief financial officer of the Company certifying (i) that the conditions set forth in Section 6.2(a) and Section 6.2(b) have been duly satisfied, (ii) that the contents of the Company Net Cash Schedule, delivered three (3) Business Days prior to Closing, as well as the work papers and back-up materials provided therewith, are true and correct in all respects and that the Company Net Cash Condition has been satisfied, and (iii) that the Company Allocation Certificate, delivered five (5) Business Days prior to the Closing, is true and correct in all material respects as of the Closing.
Section 6.3 Additional Conditions Precedent to Obligation of the Company. The obligations of the Company to effect the Merger and otherwise consummate the transactions to be consummated at the Closing are subject to the satisfaction or the written waiver by the Company, at or prior to the Closing, of each of the following conditions:
(a) Accuracy of Representations. Each of the Parent Fundamental Representations shall have been true and correct in all respects as of the date of this Agreement (other than in any de minimis respect) and shall be true and correct on and as of the Closing Date with the same force and effect as if made on and as of such date (except to the extent such representations and warranties are specifically made as of a particular date, in which case such representations and warranties shall be true and correct as of such date). The representations and warranties of Parent contained in Article 3 of this Agreement (other than the Parent Fundamental Representations) shall be true and correct on and as of the Closing Date except (i) in each case, or in the aggregate, where the failure to be true and correct would not reasonably be expected to have a Parent Material Adverse Effect (without giving effect to any references therein to any Parent Material Adverse Effect or other materiality qualifications), or (ii) for those representations and warranties which address matters only as of a particular date (which representations shall have been true and correct, subject to the qualifications as set forth in the preceding clause (i), as of such particular date) (it being understood that, for purposes of determining the accuracy of such representations and warranties, any update of or modification to the Parent Disclosure Schedule made or purported to have been made after the date of this Agreement shall be disregarded).
(b) Performance of Covenants. All of the covenants and obligations in this Agreement that Parent and Merger Sub is required to comply with or to perform at or prior to the Closing shall have been complied with and performed in all material respects.
(c) No Parent Material Adverse Effect. Since the date of this Agreement, there shall not have occurred any Parent Material Adverse Effect.
(d) Unpaid Transaction Expenses. The unpaid expenses of Parent incurred in connection with the entry into this Agreement, the Merger, the Form S-4 Registration Statement and the Joint Proxy Statement/Prospectus and the Parent Stockholder Meeting shall not exceed $500,000 and all of the expenses and fees incurred by Parent in connection with any fairness opinion of its financial advisor, the Spinoff and any Permitted Parent Reorganization shall have been paid, settled or extinguished and Parent shall have provided evidence reasonably satisfactory to the Company of the payment, settlement or extinguishment of such expenses and fees. The Net Liabilities of Parent, including the Retained Liabilities, Permitted Asset Sale Liabilities and the unpaid expenses of Parent referred to above shall not exceed $750,000. The consolidated stockholders’ equity of Parent shall not be less than zero.
(e) Officers’ Certificate. The Company shall have received (i) a certificate executed by the chief executive officer and chief financial officer of Parent certifying that the conditions set forth in Section 6.3(a) and Section 6.3(b) have been duly satisfied, (ii) that the Parent Capitalization Certificate, delivered five (5) Business Days prior to the Closing, is true and correct in all material respects as of the Closing, and (iii) written resignations, in forms satisfactory to the Company, dated as of the Closing Date and effective as of the Closing executed by the officers and directors of Parent (other than any director of Parent who is to continue as a director pursuant to Section 5.13 hereof).
(f) Transfer or Termination of Certain Agreements. The Contracts set forth in Section 5.17 Parent Disclosure Schedule shall have been either transferred to the Parent California Subsidiary or terminated, without any material liability being imposed on the part of Parent or the Surviving Corporation.
Annex A - 58
(g) Sarbanes-Oxley Certifications. Neither the principal executive officer nor the principal financial officer of Parent shall have failed to provide, with respect to any Parent SEC Reports filed with the SEC on or after the date of this Agreement, any necessary certification in the form required under Rule 13a-14 under the Exchange Act and the Sarbanes-Oxley Act.
(h) Parent Preferred Stock. There shall be outstanding no shares of Parent Preferred Stock or securities or other rights to acquire any Parent Preferred Stock as of immediately prior to the Effective Time.
Article
7
TERMINATION
Section 7.1 Termination. This Agreement may be terminated prior to the Effective Time (whether before or after Company Stockholder Approval and whether before or after Parent Stockholder Approval, unless otherwise specified below):
(a) by mutual written consent of Parent and the Company duly authorized by the Board of Directors of Parent and the Company;
(b) by either Parent or the Company if the Merger shall not have been consummated by May 31, 2019 (the “Outside Date”); provided, however, that the right to terminate this Agreement under this Section 7.1(b) shall not be available to any Party whose action or failure to act has been a principal cause of the failure of the Merger to occur on or before such date and such action or failure to act constitutes a breach of this Agreement; and provided, further, however, that, in the event that a request for additional information has been made by any Governmental Authority, or in the event that the S-4 Effective Date shall not have occurred by the date which is sixty (60) days prior to the Outside Date, then either the Company or Parent shall be entitled to extend the Outside Date for an additional sixty (60) days by written notice to the other;
(c) by either Parent or the Company if a court of competent jurisdiction or other Governmental Authority shall have issued an order, decree or ruling, or shall have taken any other action, having the effect of permanently restraining, enjoining or otherwise prohibiting the Merger; provided, however, that a Party shall not be permitted to terminate this Agreement pursuant to this Section 7.1(c) if the issuance of any such order, decree, ruling or other action shall have been caused principally by the action or failure to act of such Party and such action or failure to act constitutes a material breach by such party of this Agreement;
(d) by either Parent or the Company if (i) the Parent Stockholder Meeting (including any adjournments and postponements thereof) shall have been held and completed and Parent’s stockholders shall have taken a vote on the Parent Stockholder Proposals and such Parent Stockholder Proposals shall not have been approved at the Parent Stockholder Meeting (or at any adjournment or postponement thereof) by the Parent Stockholder Approval; provided, however, that the right to terminate this Agreement under this Section 7.1(d) shall not be available to Parent where the failure to obtain the Parent Stockholder Approval shall have been caused by the action or failure to act of Parent and such action or failure to act constitutes a material breach by Parent of this Agreement;
(e) by either Parent or the Company if (i) the Company Stockholder Meeting (including any adjournments and postponements thereof) shall have been held and completed and the Company’s stockholders shall have taken a vote on the Company Stockholder Proposals and such Company Stockholder Proposals shall not have been approved at the Company Stockholder Meeting (or at any adjournment or postponement thereof) by the Company Stockholder Approval; provided, however, that the right to terminate this Agreement under this Section 7.1(e) shall not be available to the Company where the failure to obtain the Company Stockholder Approval shall have been caused by the action or failure to act of the Company and such action or failure to act constitutes a material breach by the Company of this Agreement;
(f) by the Company (at any time prior to the Parent Stockholder Approval) if (i) a Parent Change of Recommendation shall have occurred, (ii) Parent fails to include the Parent Recommendation in the Joint Proxy Statement/Prospectus, or (iii) the Board of Directors of Parent fails to publicly recommend against any Parent Acquisition Proposal within ten (10) Business Days of the request of the Company to do so or fails to reaffirm (publicly, if so requested) the Parent Recommendation within ten (10) Business Days of the Company’s request to do so;
(g) by Parent (at any time prior to the Company Stockholder Approval) if (i) a Company Change of Recommendation shall have occurred, (ii) the Company fails to include the Company Recommendation in the Joint Proxy Statement/Prospectus, or (iii) the Board of Directors of the Company fails to publicly recommend against any Company Acquisition Proposal within ten (10) Business Days of the request of Parent to do so or fails to reaffirm (publicly, if so requested) the Company Recommendation within ten (10) Business Days of Parent’s request to do so
Annex A - 59
(h) by the Company, upon a breach of any representation, warranty, covenant or agreement on the part of Parent or Merger Sub set forth in this Agreement, or if any representation or warranty of Parent shall have become inaccurate, in either case such that the conditions set forth in Section 6.3(a) or Section 6.3(b) would not be satisfied as of the time of such breach or as of the time such representation or warranty shall have become inaccurate, provided that if such inaccuracy in Parent’s representations and warranties or breach by Parent is curable by Parent prior to the Outside Date, then this Agreement shall not terminate pursuant to this Section 7.1(h) as a result of such particular breach or inaccuracy until the earlier of (i) the expiration of a thirty (30) day period commencing upon delivery of written notice from the Company to Parent of such breach or inaccuracy, and (ii) Parent ceasing to exercise commercially reasonable efforts to cure such breach (it being understood that this Agreement shall not terminate pursuant to this Section 7.1(h) as a result of such particular breach or inaccuracy if such breach by Parent is cured prior to such termination becoming effective); provided, further, that the Company shall not have the right to terminate this Agreement pursuant to this Section 7.1(h) if the Company is then in material breach of any representation, warranty, covenant or obligation hereunder, which breach has not been cured;
(i) by Parent, upon a breach of any representation, warranty, covenant or agreement on the part of the Company set forth in this Agreement, or if any representation or warranty of the Company shall have become inaccurate, in either case such that the conditions set forth in Section 6.2(a) or Section 6.2(b) would not be satisfied as of the time of such breach or as of the time such representation or warranty shall have become inaccurate, provided that if such inaccuracy in the Company’s representations and warranties or breach by the Company is curable by the Company prior to the Outside Date, then this Agreement shall not terminate pursuant to this Section 7.1(i) as a result of such particular breach or inaccuracy until the earlier of (i) the expiration of a 30 day period commencing upon delivery of written notice from Parent to the Company of such breach or inaccuracy, and (ii) the Company ceasing to exercise commercially reasonable efforts to cure such breach (it being understood that this Agreement shall not terminate pursuant to this Section 7.1(i) as a result of such particular breach or inaccuracy if such breach by the Company is cured prior to such termination becoming effective); provided, further, that Parent shall not have the right to terminate this Agreement pursuant to this Section 7.1(i) if Parent is then in material breach of any representation, warranty, covenant or obligation hereunder, which breach has not been cured;
(j) by the Company (at any time prior to the Company Stockholder Approval) if each of the following occur: (A) the Company shall have received a Company Superior Offer, (B) the Company shall have complied with its obligations under Section 4.5(a) in order to accept such Company Superior Offer, (C) the Board of Directors of Company approves, and the Company concurrently with the termination of this Agreement enters into, a definitive agreement with respect to such Company Superior Offer, and (D) prior to or concurrently with such termination, the Company pays to the Company the amount contemplated by Section 7.3(d); or
(k) by Parent (at any time prior to the Parent Stockholder Approval) if each of the following occur: (A) Parent shall have received a Parent Superior Offer, (B) Parent shall have complied with its obligations under Section 4.5(b) in order to accept such Parent Superior Offer, (C) the Board of Directors of Parent approves, and Parent concurrently with the termination of this Agreement enters into, a definitive agreement with respect to such Parent Superior Offer, and (D) prior to or concurrently with such termination, Parent pays to the Company the amount contemplated by Section 7.3(d).
Section 7.2 Effect of Termination. In the event of the termination of this Agreement as provided in Section 7.1, written notice thereof shall be given to the other party or parties, specifying the provisions hereof pursuant to which such termination is made and describing the basis therefor in reasonable detail, and this Agreement shall be of no further force or effect; provided, however, that (a) this Section 7.2, Section 5.8, Section 7.3 and Article 8 and the definitions of the defined terms contained in such Sections and the Confidentiality Agreement shall survive the termination of this Agreement and shall remain in full force and effect, and (b) the termination of this Agreement shall not relieve any Party from any liability or damages resulting from or arising out of any fraud or willful or intentional breach of any representation, warranty, covenant, obligation or other provision contained in this Agreement.
Annex A - 60
Section 7.3 Expenses; Termination Fees.
(a) Except as set forth in this Section 7.3, all fees and expenses incurred in connection with this Agreement and the Contemplated Transactions shall be paid by the Party incurring such expenses, whether or not the Merger or the Contemplated Transactions are consummated; provided, however, that Parent shall bear all Transfer Taxes in connection with the transactions contemplated by this Agreement.
(b) If this Agreement is terminated by either the Company or Parent pursuant to Section 7.1(e) or by the Company pursuant to Section 7.1(f) or Section 7.1(h), Parent shall pay to the Company (by wire transfer of immediately available funds to an account designated in writing by the Company) within two (2) Business Days after termination of the Agreement an amount equal to the total documented expenses incurred by the Company in connection with the negotiation and execution of this Agreement and the Contemplated Transactions, not to exceed $600,000 in the aggregate.
(c) If this Agreement is terminated by either Parent or the Company pursuant to Section 7.1(d) or by Parent pursuant to Section 7.1(g) or Section 7.1(i), the Company shall pay to Parent (by wire transfer of immediately available funds to an account designated in writing by Parent) within two (2) Business Days after termination of the Agreement an amount equal to the total documented expenses incurred by Parent in connection with the negotiation and execution of this Agreement and the Contemplated Transactions, not to exceed $600,000 in the aggregate.
(d) If this Agreement is terminated by the Company pursuant to Section 7.1(j), then, substantially concurrently with and as a condition to the effectiveness of such termination, the Company shall pay or cause to be paid to Parent (i) a termination fee of $750,000 and (ii) an amount equal to the total documented expenses incurred by Parent in connection with the negotiation and execution of this Agreement and the Contemplated Transactions, not to exceed $600,000 in the aggregate (collectively, the “Company Termination Fee”).
(e) If this Agreement is terminated by Parent pursuant to Section 7.1(k), then, substantially concurrently with and as a condition to the effectiveness of such termination, Parent shall pay or cause to be paid to the Company (i) a termination fee of $750,000 and (ii) an amount equal to the total documented expenses incurred by the Company in connection with the negotiation and execution of this Agreement and the Contemplated Transactions, not to exceed $600,000 in the aggregate (collectively, the “Parent Termination Fee”).
(f) If (i) this Agreement is terminated: (x) by Parent or the Company pursuant to Section 7.1(b) or Section 7.1(e), or (y) by Parent pursuant to Section 7.1(g), or Section 7.1(i), (ii) a Company Acquisition Proposal has been publicly disclosed at any time after the date of this Agreement and prior to the Company Stockholder Meeting (and not publicly withdrawn prior to the date of the Company Stockholder Meeting) and (iii) within twelve (12) months after the date of such termination, the Company enters into a definitive agreement with respect to any Company Acquisition Proposal which is consummated (whether or not within the twelve (12)-month period), then within one (1) business day after the date any such Company Acquisition Proposal is consummated, the Company will pay or cause to be paid to Parent the Company Termination Fee (minus any amount paid by the Company pursuant to Section 7.3(c)); provided, however, that for purposes of this Section 7.3(f), the references to “fifteen (15%)” in the definition of Company Acquisition Proposal shall be deemed to be references to “fifty percent (50%)”.
(g) If (i) this Agreement is terminated: (x) by Parent or the Company pursuant to Section 7.1(b) or Section 7.1(d), or (y) by the Company pursuant to Section 7.1(f) or Section 7.1(h), (ii) a Parent Acquisition Proposal has been publicly disclosed at any time after the date of this Agreement and prior to the Parent Stockholder Meeting (and not publicly withdrawn prior to the date of the Parent Stockholder Meeting) and (iii) within twelve (12) months after the date of such termination Parent enters into a definitive agreement with respect to any Parent Acquisition Proposal which is consummated (whether or not within the twelve (12)-month period), then within one (1) business day after the date any such Parent Acquisition Proposal is consummated, Parent will pay or cause to be paid to the Company the Parent Termination Fee (minus any amount paid by Parent pursuant to Section 7.3(b)); provided, however, that for purposes of this Section 7.3(g), the references to “fifteen (15%)” in the definition of Parent Acquisition Proposal shall be deemed to be references to “fifty percent (50%)”.
(h) If this Agreement is terminated by Parent or the Company pursuant to Section 7.1(b) solely as a result of the failure to satisfy the NASDAQ Condition, then within two (2) Business Days after termination of the Agreement, the Company will pay or cause to be paid to Parent the Company Termination Fee plus an additional fee of $850,000.
(i) The Parent Termination Fee shall be paid by wire transfer of immediately available funds to an account designated in writing by the Company. In no event will Parent be obligated to pay the Parent Termination Fee on more than one occasion. The Company Termination Fee shall be paid by wire transfer of immediately available funds to an account designated in writing by Parent. In no event will the Company be obligated to pay the Company Termination Fee on more than one occasion.
Annex A - 61
(j) Each of the Parties acknowledges that (i) the agreements contained in this Section 7.3 are an integral part of the transactions contemplated by this Agreement, (ii) each of the Parent Termination Fee and the Company Termination Fee is not a penalty, but is liquidated damages, in a reasonable amount that will compensate the applicable Party in the circumstances in which such fee is payable for the efforts and resources expended and opportunities foregone while negotiating this Agreement and in reliance on this Agreement and on the expectation of the consummation of the Contemplated Transactions, which amount would otherwise be impossible to calculate with precision, and (iii) without these agreements, the Parties would not enter into this Agreement; accordingly, if either Party fails to pay when due any amount payable by such Party under this Section 7.3, then such Party shall reimburse the other Party for reasonable costs and expenses (including reasonable fees and disbursements of counsel) incurred in connection with the collection of such overdue amount and the enforcement by the other Party of its rights under this Section 7.3.
Article
8
MISCELLANEOUS PROVISIONS
Section 8.1 Non-Survival of Representations and Warranties. The representations and warranties of the Company and Parent contained in this Agreement or any certificate or instrument delivered pursuant to this Agreement shall terminate at the Effective Time, and only the covenants that by their terms survive the Effective Time and this Article 8 shall survive the Effective Time.
Section 8.2 Amendment. This Agreement may be amended with the approval of the respective Board of Directors of each of the Company and Parent at any time (whether before or after the Company Stockholder Approval or before or after the Parent Stockholder Approval); provided, however, that after any such adoption and approval of this Agreement by a Party’s stockholders, no amendment shall be made which by Law requires further approval of the stockholders of such Party without the further approval of such stockholders. This Agreement may not be amended except by an instrument in writing signed on behalf of each of the Company and Parent.
Section 8.3 Waiver.
(a) No failure on the part of any Party to exercise any power, right, privilege or remedy under this Agreement, and no delay on the part of any Party in exercising any power, right, privilege or remedy under this Agreement, shall operate as a waiver of such power, right, privilege or remedy, and no single or partial exercise of any such power, right, privilege or remedy shall preclude any other or further exercise thereof or of any other power, right, privilege or remedy.
(b) No Party shall be deemed to have waived any claim arising out of this Agreement, or any power, right, privilege or remedy under this Agreement, unless the waiver of such claim, power, right, privilege or remedy is expressly set forth in a written instrument duly executed and delivered on behalf of such Party, and any such waiver shall not be applicable or have any effect except in the specific instance in which it is given.
Section 8.4 Entire Agreement. This Agreement and the other agreements referred to in this Agreement constitute the entire agreement and supersede all prior agreements and understandings, both written and oral, among or between any of the Parties with respect to the subject matter hereof and thereof; provided, however, that the Confidentiality Agreement shall not be superseded and shall remain in full force and effect in accordance with its terms.
Section 8.5 Counterparts; Exchanges Electronic Transmission. This Agreement may be executed in several counterparts, each of which shall be deemed an original and all of which shall constitute one and the same instrument. The exchange of a fully executed Agreement (in counterparts or otherwise) by all Parties by electronic transmission via “.pdf” shall be sufficient to bind the Parties to the terms and conditions of this Agreement.
Annex A - 62
Section 8.6 Applicable Law; Jurisdiction. This Agreement shall be governed by, and construed in accordance with, the Laws of the State of Delaware, regardless of the Laws that might otherwise govern under applicable principles of conflicts of Laws. In any action or proceeding between any of the parties arising out of or relating to this Agreement or any of the Contemplated Transactions, each of the parties: (i) irrevocably and unconditionally consents and submits to the exclusive jurisdiction and venue of the Court of Chancery of the State of Delaware or to the extent such court does not have subject matter jurisdiction, the Superior Court of the State of Delaware or the United States District Court for the District of Delaware, (ii) agrees that all claims in respect of such action or proceeding shall be heard and determined exclusively in accordance with clause (i) of this Section 8.6, (iii) waives any objection to laying venue in any such action or proceeding in such courts, (iv) waives any objection that such courts are an inconvenient forum or do not have jurisdiction over any party, and (v) agrees that service of process upon such party in any such action or proceeding shall be effective if notice is given in accordance with Section 8.9 of this Agreement.
Section 8.7 Attorneys’ Fees. In any action at Law or suit in equity to enforce this Agreement or the rights of any of the parties under this Agreement, the prevailing Party in such action or suit shall be entitled to receive a reasonable sum for its attorneys’ fees and all other reasonable costs and expenses incurred in such action or suit.
Section 8.8 Assignability. This Agreement shall be binding upon, and shall be enforceable by and inure solely to the benefit of, the parties hereto and their respective successors and assigns; provided, however, that neither this Agreement nor any of a Party’s rights or obligations hereunder may be assigned or delegated by such Party without the prior written consent of the other Party, and any attempted assignment or delegation of this Agreement or any of such rights or obligations by such Party without the other Party’s prior written consent shall be void and of no effect. Nothing in this Agreement, express or implied, is intended to or shall confer upon any Person (other than: (a) the parties hereto, and (b) the directors and officers of the Company referred to in Section 5.6(a) to the extent of their respective rights pursuant to Section 5.6) any right, benefit or remedy of any nature whatsoever under or by reason of this Agreement.
Section 8.9 Notices. Any notice or other communication required or permitted to be delivered to any Party under this Agreement shall be in writing and shall be deemed properly delivered, given and received when delivered by hand, by registered mail, by courier or express delivery service or by facsimile to the address or facsimile telephone number set forth beneath the name of such Party below (or to such other address or facsimile telephone number as such Party shall have specified in a written notice given to the other parties hereto):
if to Parent or Merger Sub:
MYnd Analytics, Inc.
26522 La Alameda, Suite 290
Mission Viejo, CA 92691
| Attention: | Patrick Herguth |
| Email: | pherguth@myndanalytics.com |
with a copy to:
Dentons US LLP
1221 Avenue of the Americas
New York, NY 10020-1089
| Email: | jeffrey.baumel@dentons.com |
ilan.katz@dentons.com
| Attention: | Jeffrey A. Baumel, Esq. |
Ilan Katz, Esq.
if to the Company:
Emmaus Life Sciences, Inc.
21250 Hawthorne Boulevard
Suite 800, Torrance, CA 90503
| Attention: | Chief Executive Officer |
| Email: | yniihara@emmauslifesciences.com |
with a copy to:
Emmaus Life Sciences, Inc.
21250 Hawthorne Boulevard
Suite 800, Torrance, CA 90503
| Attention: | General Counsel |
| Email: | dshort@emmauslifesciences.com |
Section 8.10 Cooperation. Each Party agrees to cooperate fully with the other Party and to execute and deliver such further documents, certificates, agreements and instruments and to take such other actions as may be reasonably requested by the other Party to evidence or reflect the Contemplated Transactions and to carry out the intent and purposes of this Agreement.
Annex A - 63
Section 8.11 Severability. Any term or provision of this Agreement that is invalid or unenforceable in any situation in any jurisdiction shall not affect the validity or enforceability of the remaining terms and provisions of this Agreement or the validity or enforceability of the offending term or provision in any other situation or in any other jurisdiction. If a final judgment of a court of competent jurisdiction declares that any term or provision of this Agreement is invalid or unenforceable, the Parties agree that the court making such determination shall have the power to limit such term or provision, to delete specific words or phrases or to replace such term or provision with a term or provision that is valid and enforceable and that comes closest to expressing the intention of the invalid or unenforceable term or provision, and this Agreement shall be valid and enforceable as so modified. In the event such court does not exercise the power granted to it in the prior sentence, the Parties agree to replace such invalid or unenforceable term or provision with a valid and enforceable term or provision that will achieve, to the extent possible, the economic, business and other purposes of such invalid or unenforceable term or provision.
Section 8.12 Other Remedies; Specific Performance. Except as otherwise provided herein, any and all remedies herein expressly conferred upon a Party will be deemed cumulative with and not exclusive of any other remedy conferred hereby, or by Law or equity upon such Party, and the exercise by a Party of any one remedy will not preclude the exercise of any other remedy. The Parties agree that irreparable damage would occur in the event that any of the provisions of this Agreement were not performed in accordance with their specific terms or were otherwise breached. It is accordingly agreed that the Parties shall be entitled to seek an injunction or injunctions to prevent breaches of this Agreement and to enforce specifically the terms and provisions hereof in any court of the United States or any state having jurisdiction, this being the addition to any other remedy to which they are entitled at Law or in equity.
Section 8.13 Construction.
(a) For purposes of this Agreement, whenever the context requires: the singular number shall include the plural, and vice versa; the masculine gender shall include the feminine and neuter genders; the feminine gender shall include the masculine and neuter genders, and the neuter gender shall include masculine and feminine genders.
(b) The Parties are each represented by legal counsel and have participated jointly in the negotiation and drafting of this Agreement and the agreements contemplated hereby. In the event an ambiguity or question of intent or interpretation arises, this Agreement shall be construed as if drafted jointly by the Parties, and no presumption or burden of proof shall arise favoring or disfavoring any Party by virtue of the authorship of any provision of this Agreement.
(c) As used in this Agreement, the words “include” and “including,” and variations thereof, shall not be deemed to be terms of limitation, but rather shall be deemed to be followed by the words “without limitation.” The words, “herein,” “hereto,” “hereof” and words of similar import refer to this Agreement as a whole and not to any particular Article, Section or paragraph hereof.
(d) Except as otherwise indicated, all references in this Agreement to “Sections,” “Exhibits” and “Schedules” are intended to refer to Sections of this Agreement and Exhibits and Schedules to this Agreement, respectively.
(e) The table of contents and bold-faced headings contained in this Agreement are for convenience of reference only, shall not be deemed to be a part of this Agreement and shall not be referred to in connection with the construction or interpretation of this Agreement.
(f) Any reference to any Laws will be deemed also to refer to such Laws and all rules and regulations promulgated thereunder, in each case as amended, modified, codified, replaced or reenacted, in whole or in part.
(g) A reference to any Person in this Agreement or any other agreement or document shall include such Person’s predecessors-in-interest, successors and permitted assigns.
(h) Each accounting term used herein that is not specifically defined herein shall have the meaning given to it under GAAP.
Annex A - 64
Section 8.14 Definitions. As used in this Agreement (except as specifically otherwise defined):
“Additional Company Financial Statements” has the meaning set forth in Section 5.1(b).
“Affiliate” means with respect to any Person, any other Person controlling, controlled by, or under common control with such Person. As used in this definition, “control” (including, with its correlative meanings, “controlled by” and “under common control with”) means the possession, directly or indirectly, of power to direct or cause the direction of the management and policies of a Person whether through the ownership of voting securities, by contract or otherwise.
“Agreement” has the meaning set forth in the Preamble.
“Anticorruption Laws” means the FCPA and all similar anti-bribery Laws applicable to the Company or the Parent and its Subsidiaries, as applicable.
“Business Day” means any day other than (a) a Saturday or Sunday, or (b) a day on which banking and savings and loan institutions are authorized or required by Laws to be closed in the State of California.
“Certificate of Merger” has the meaning set forth in Section 1.3.
“Certificates” has the meaning set forth in Section 1.8(a).
“Closing” has the meaning set forth in Section 1.3.
“Closing Date” has the meaning set forth in Section 1.3.
“Code” means the Internal Revenue Code of 1986, as amended.
“Company” has the meaning set forth in the Preamble.
“Company Acceptable Confidentiality Agreement” has the meaning set forth in Section 4.5(a).
“Company Acquisition Proposal” has the meaning set forth in Section 4.5(a)(ii).
“Company Allocation Certificate” has the meaning set forth in Section 5.15(a).
“Company Ancillary Lease Documents” means all subleases, overleases and other ancillary agreements or documents pertaining to the tenancy at each such parcel of the Company Leased Real Property the material breach or invalidity of which has had, or would reasonably be expected to have, a Company Material Adverse Effect.
“Company Board Recommendation” has the meaning set forth in Section 5.2(a).
“Company Bylaws” means the bylaws of the Company, as amended and in effect on the date hereof.
“Company Capital Stock” means the Company Common Stock and the Company Preferred Stock.
“Company Change of Recommendation” has the meaning set forth in Section 4.5(a).
“Company Charter” means the Certificate of Incorporation of the Company, as amended and in effect on the date hereof.
“Company Common Stock” means the common stock, $0.001 par value per share, of the Company.
“Company Contingent Workers” has the meaning set forth in Section 2.15(b).
“Company Contract” and “Company Contracts” means each and every Contract together with any amendments, waivers or other modifications thereto, to which the Company is a party.
“Company Convertible Notes” means promissory notes of the Company which by their terms are convertible into shares of Company Common Stock.
“Company Copyrights” has the meaning set forth in Section 2.9(a).
“Company Debentures” means the outstanding 10% Senior Secured Debentures Due April 21, 2020 of the Company.
“Company Disclosure Schedule” has the meaning set forth in Article 2.
Annex A - 65
“Company Employee Program” has the meaning set forth in Section 2.14(a).
“Company Financial Statements” has the meaning set forth in Section 2.5(c).
“Company Fundamental Representations” means the representations and warranties of the Company set forth in Section 2.1, Section 2.2, Section 2.3 and Section 2.24.
“Company In-Licenses” has the meaning set forth in Section 2.9(a).
“Company Intellectual Property” means all Intellectual Property owned by the Company or used or held for use by the Company in the Company’s business. “Company Intellectual Property” includes, without limitation, Company Patents, Company Marks, Company Copyrights and Company Trade Secrets.
“Company Intervening Event” means a material development or change in circumstances (other than a Company Acquisition Proposal) that affects the business, assets or operations of the Company that occurs or arises after the date of this Agreement that was neither known to the Company or the Board of Directors of the Company nor reasonably foreseeable as of the date of this Agreement.
“Company Lease” means the lease, license, sublease or other occupancy agreements and all amendments, modifications, supplements, and assignments thereto, together with all exhibits, addenda, riders and other documents constituting a part thereof for each parcel of the Company Leased Real Property.
“Company Leased Real Property” means the real property leased, subleased or licensed by the Company or any of its Subsidiaries that is related to or used in connection with the Company’s business, and the real property leased, subleased or licensed by the Company or any of its Subsidiaries as tenant, subtenant, licensee or other similar party, together with, to the extent leased, licensed or owned by the Company or any of its Subsidiaries, all buildings and other structures, facilities or leasehold improvements, currently or hereafter located thereon.
“Company Lock-up Agreements” has the meaning set forth in the Recitals.
“Company Marks” has the meaning set forth in Section 2.9(a).
“Company Material Adverse Effect” means any change, circumstance, condition, development, effect, event, occurrence, result or state of facts that, individually or when taken together with any other such change, circumstance, condition, development, effect, event, occurrence, result or state of facts, has or would reasonably be expected to (a) have a material adverse effect on the business, financial condition, assets, liabilities or results of operations of the Company, or (b) prevent or materially delay the ability of Company to consummate the Contemplated Transactions, except that “Company Material Adverse Effect” shall not include any change, circumstance, condition, development, effect, event, occurrence, result or state of facts, directly or indirectly, arising out of or attributable to: (i) any rejection by a Governmental Authority of a marketing approval application, registration or other filing by the Company relating to the Company Intellectual Property; (ii) changes in general economic or political conditions or the securities market in general (whether as a result of acts of terrorism, war (whether or not declared), armed conflicts or otherwise) to the extent they do not disproportionately affect the Company, (iii) changes in or affecting the industries in which the Company operates to the extent they do not disproportionately affect the Company in any material respect, (iv) changes, effects or circumstances resulting from the announcement or pendency of this Agreement or the consummation of the Contemplated Transactions or compliance with the terms of this Agreement, (v) any specific action taken at the written request of Parent or Merger Sub or required by this Agreement, (vi) any changes in applicable Laws or accounting rules, (vii) continued losses from operations or increases in liabilities or decreases in cash balances of the Company not materially inconsistent with kind and degree of losses from operations and increases in liabilities and decreases in cash balances which have occurred between December 31, 2017 and the date of this Agreement; (viii) any failure by the Company to meet any projections, forecasts or revenue or earnings projections, (ix) any natural or man-made disaster or acts of God or acts of war or terrorism, or (x) any reductions, either voluntary or involuntary, in the Company’s workforce.
“Company Material Contract” has the meaning set forth in Section 2.10.
“Company Net Cash Schedule” has the meaning set forth in Section 5.4(a).
“Company Notice Period” has the meaning set forth in Section 4.5(a)(iv).
“Company Out-Licenses” has the meaning set forth in Section 2.9(a).
“Company Owned Real Property” means the real property in which the Company has any fee title (or equivalent).
“Company Patents” has the meaning set forth in Section 2.9(a).
Annex A - 66
“Company Permits” has the meaning set forth in Section 2.12(b).
“Company Preferred Stock” means the preferred stock, $0.001 par value per share, of the Company.
“Company Qualified Bidder” has the meaning set forth in Section 4.5(a)(i).
“Company Regulatory Agency” has the meaning set forth in Section 2.12(b).
“Company SEC Reports” has the meaning set forth in Section 2.5(a).
“Company Stock Certificate” has the meaning set forth in Section 1.7.
“Company Stock Option Plan” means the Emmaus Life Sciences, Inc. Amended and Restated 2011 Stock Incentive Plan.
“Company Stock Options” means options to purchase Company Common Stock issued under any of the Company Stock Option Plan.
“Company Stockholder Approval” has the meaning set forth in Section 2.23.
“Company Stockholder Proposal” has the meaning set forth in Section 5.5.
“Company Stockholders” means holders of capital stock of the Company.
“Company Superior Offer” has the meaning set forth in Section 4.5(a)(ii).
“Company Trade Secrets” has the meaning set forth in Section 2.9(k).
“Company Voting Agreements” has the meaning set forth in the Recitals.
“Company Warrants” means the outstanding warrants to purchase Company Common Stock.
“Confidentiality Agreement” means that certain confidential disclosure agreement, dated as of October 8, 2018, by and between the Company and Parent.
“Contemplated Transactions” means the transactions proposed under this Agreement and the Spinoff Agreement, including the Merger, the Reverse Stock Split, the adoption of the New Equity Incentive Plan, the Spinoff, any Permitted Asset Sale, Permitted Company Issuance, Permitted Company Reorganization or Permitted Parent Reorganization.
“Contract” means any loan or credit agreement, bond, debenture, note, mortgage, indenture, lease, supply agreement, license agreement, development agreement or other contract, agreement, arrangement, understanding, obligation, commitment or instrument that is legally binding, whether written or oral.
“Converted Notes” has the meaning set forth in Section 1.8(a).
“DGCL” means the Delaware General Corporation Law.
“Dissenting Shares” has the meaning set forth in Section 1.9(a).
“Effective Time” has the meaning set forth in Section 1.3.
“Employee Program” means (A) all employee benefit plans within the meaning of ERISA Section 3(3), including multiple employer welfare arrangements (within the meaning of ERISA Section 3(40)), plans to which more than one unaffiliated employer contributes and employee benefit plans (such as foreign or excess benefit plans) which are not subject to ERISA, and (B) all employment, consulting, salary, equity and equity-based compensation, retention, bonus, incentive, severance, deferred compensation, supplemental income, vacation, profit sharing, executive compensation, change in control, material fringe benefit, vacation, retiree benefit, health or other medical, dental, life, disability or other insurance plan, program, agreement or arrangement and all other written employee benefit plans, agreements, and arrangements not described in (A) above, including without limitation, any arrangement intended to comply with Code Section 120, 125, 127, 129 or 137. In the case of an Employee Program funded through a trust described in Code Section 401(a) or an organization described in Code Section 501(c)(9), or any other funding vehicle, each reference to such Employee Program shall include a reference to such trust, organization or other vehicle.
Annex A - 67
“Encumbrance” means any mortgage, deed of trust, pledge, security interest, attachment, hypothecation, lien (statutory or otherwise), violation, charge, lease, license, option, right of first offer, right of first refusal, encumbrance, servient easement, deed restriction, adverse claim, reversion, preferential arrangement, restrictive covenant, condition or restriction of any kind or charge of any kind (including any conditional sale or title retention agreement or lease in the nature thereof) or any agreement to file any of the foregoing, any sale of receivables with recourse against either the Company or Parent, as the case may be, or any subsidiary, stockholder or Affiliate thereof, and any filing or agreement to file any financing statement as debtor under the Uniform Commercial Code or any similar statute.
“Environment” means soil, surface waters, groundwater, land, stream sediments, surface or subsurface strata and ambient air and biota living in or on such media.
“Environmental Laws” means Laws relating to protection of the Environment or the protection of human health as it relates to the Environment, including the federal Comprehensive Environmental Response, Compensation and Liability Act, the Resource Conservation and Recovery Act, the Clean Air Act, the Clean Water Act, the Toxic Substances Control Act, the Endangered Species Act and similar foreign, federal, state and local Laws as in effect on the Closing Date.
“ERISA” means the Employee Retirement Income Security Act of 1974, as amended.
“ERISA Affiliate” has the meaning ascribed thereto in Section 2.14(e)(i).
“Exchange Act” means the Securities Exchange Act of 1934, as amended.
“Exchange Agent” means an exchange agent to be engaged by mutual agreement of the Company and Parent.
“Exchange Fund” has the meaning set forth in Section 1.8(a).
“Exchange Ratio” means a number, which shall be mutually agreed upon by Parent and the Company based upon the Company Allocation Certificate and the Parent Capitalization Certificate, which will cause the holders of shares of Company Common Stock, Company Stock Options (including shares issued or issuable upon exercise of the Company Stock Options), Company Warrants (including shares issued or issuable upon exercise of the Company Warrants) and Company Convertible Notes (including shares issued or issuable upon exercise of the Company Convertible Notes), in the aggregate, in each case outstanding immediately prior to the Effective Time and giving effect to any and all Permitted Parent Reorganizations, Permitted Company Reorganizations, Permitted Company Issuances and Permitted Parent Issuances, to own beneficially 94.1% of the fully diluted equity of Parent immediately following the Effective Time.
“FDA” has the meaning set forth in Section 2.12(b).
“FDCA” has the meaning set forth in Section 2.12(b).
“Form S-4 Registration Statement” means the registration statement on Form S-4 to be filed with the SEC by Parent in connection with issuance of Parent Common Stock in the Merger, as said registration statement may be amended prior to the time it is declared effective by the SEC.
“GAAP” means generally accepted accounting principles and practices in effect from time to time within the United States applied consistently throughout the period involved.
“Governmental Authority” means any U.S. or foreign, federal, state, or local governmental commission, board, body, bureau, or other regulatory authority, agency, including courts and other judicial bodies, or any self-regulatory body or authority, including any instrumentality or entity designed to act for or on behalf of the foregoing.
“Hazardous Material” means any pollutant, toxic substance, hazardous waste, hazardous materials, hazardous substances, petroleum or petroleum-containing products as defined in, or listed under, any Environmental Law.
“Health Care Law” has the meaning set forth in Section 2.12(c).
“Indebtedness” means Liabilities (a) for borrowed money, (b) evidenced by bonds, debentures, notes or similar instruments, (c) upon which interest charges are customarily paid (other than obligations accepted in connection with the purchase of products or services in the Ordinary Course of Business), (d) of others secured by (or which the holder of such Liabilities has an existing right, contingent or otherwise, to be secured by) any Encumbrance or security interest (other than Permitted Encumbrances) on property owned or acquired by the Person in question whether or not the obligations secured thereby have been assumed, (e) under leases required to be accounted for as capital leases under GAAP, (f) all obligations in respect of outstanding letters of credit, (g) guarantees relating to any such Liabilities.
Annex A - 68
“Intellectual Property” means any and all of the following, as they exist throughout the world: (A) patents, patent applications of any kind, patent rights, inventions, discoveries and invention disclosures (whether or not patented) (collectively, “Patents”), (B) rights in registered and unregistered trademarks, service marks, trade names, trade dress, logos, packaging design, slogans and Internet domain names, and registrations and applications for registration of any of the foregoing (collectively, “Marks”), (C) copyrights in both published and unpublished works, including without limitation all compilations, databases and computer programs, manuals and other documentation and all copyright registrations and applications, and all derivatives, translations, adaptations and combinations of the above (collectively, “Copyrights”), (D) rights in know-how, trade secrets, confidential or proprietary information, research in progress, algorithms, data, designs, processes, formulae, drawings, schematics, blueprints, flow charts, models, strategies, prototypes, techniques, beta testing procedures and beta testing results (collectively, “Trade Secrets”), (E) any and all other intellectual property rights and/or proprietary rights relating to any of the foregoing, and (F) goodwill, franchises, licenses, permits, consents, approvals, and claims of infringement and misappropriation against third parties.
“IRS” means the Internal Revenue Service of the United States.
“Joint Proxy Statement/Prospectus” means a Joint Proxy Statement/Prospectus of Parent and the Company and prospectus of Parent to be sent to the stockholders of Parent and the stockholders of the Company (together with any amendments or supplements thereto) in connection with the Merger, the Company Stockholder Proposals and the Parent Stockholder Proposals.
“Knowledge of Parent” means the actual knowledge of the chief executive officer and chief financial officer of Parent, after reasonable inquiry by each such individual of each such individual’s direct reports and no other inquiry.
“Knowledge of the Company” means the actual knowledge of the chief executive officer and chief financial officer of the Company, after reasonable inquiry by each such individual of each such individual’s direct reports and no other inquiry.
“Labor Laws” means all Laws regarding labor, employment and employment practices, conditions of employment, occupational safety and health, and wages and hours, including any bargaining or other obligations under the National Labor Relations Act.
“Law” or “Laws” means any federal, state, local, municipal, foreign (including foreign political subdivisions) or other law, Order, statute, constitution, principle of common law or equity, resolution, ordinance, code, writ, edict, decree, consent, approval, concession, franchise, permit, rule, regulation, judicial or administrative ruling, franchise, license, judgment, injunction, treaty, convention or other governmental certification, authorization or requirement issued, enacted, adopted, promulgated, implemented or otherwise put into effect by or under the authority of any Governmental Authority, and the term “applicable” with respect to such Laws and in the context that refers to one or more Persons means that such Laws apply to such Person or Persons or its or their business, undertaking, property or security and put into effect by or under the authority of a Governmental Authority having jurisdiction over the Person or Persons or its or their business, undertaking, property or security.
“Legal Proceeding” means any action, arbitration, cause of action, claim, complaint, criminal prosecution, demand letter, governmental or other examination or investigation, hearing, inquiry, administrative or other proceeding, or notice by any Person alleging potential liability.
“Liability” has the meaning set forth in Section 2.11.
“Merger” has the meaning set forth in the Recitals.
“Merger Shares” means the shares of Parent Common Stock issuable as provided in Section 1.5.
“Merger Sub” has the meaning set forth in the Preamble.
“Multiemployer Plan” means an employee pension benefit plan or welfare benefit plan described in Section 4001(a)(3) of ERISA.
“NASDAQ” means the NASDAQ Capital Market.
“NASDAQ Condition” has the meaning set forth in Section 6.1(d).
Annex A - 69
“NASDAQ Listing Application” has the meaning set forth in Section 5.9.
“Net Cash” means, as of any particular time, (a) the Company’s cash (excluding any restricted cash), cash equivalents and marketable securities, minus (b) the aggregate amount of the Liabilities of the Company.
“Net Liabilities” has the meaning set forth in Section 5.4(b).
“New Equity Incentive Plan” means a new equity incentive plan to be adopted by Parent (or amendments to existing Parent Stock Option Plans), pursuant to which a number of shares of Parent Common Stock to be mutually agreed to by the Company and Parent are to be reserved for issuance after the Closing.
“Order” means any judgment, order, writ, injunction, ruling, decision or decree of, or any settlement under the jurisdiction of, any Court or Governmental Authority.
“Ordinary Course of Business” means with respect to a Party, the ordinary and usual course of normal day-to-day operations of such Party, consistent with past practice.
“Parent” has the meaning set forth in the Preamble.
“Parent Acceptable Confidentiality Agreement” has the meaning set forth in Section 4.5(b).
“Parent Acquisition Proposal” has the meaning set forth in Section 4.5(b)(ii).
“Parent Ancillary Lease Documents” means all subleases, overleases and other ancillary agreements or documents pertaining to the tenancy at each such parcel of the Parent Leased Real Property that materially affect or may materially affect the tenancy at any Parent Leased Real Property.
“Parent Bylaws” means the bylaws of Parent, as amended and in effect on the date hereof.
“Parent California Subsidiary” means MYnd Analytics, Inc., a California corporation wholly-owned by Parent.
“Parent Capital Stock” means the Parent Common Stock and Parent Preferred Stock.
“Parent Capitalization Certificate” has the meaning set forth in Section 5.15(b).
“Parent Change of Recommendation” has the meaning set forth in Section 4.5(b)(iii).
“Parent Change of Recommendation Notice” has the meaning set forth in Section 4.5(b)(iv).
“Parent Charter” means the Restated Certificate of Incorporation of Parent, as amended and in effect on the date hereof.
“Parent Common Stock” means the common stock, par value $0.001 per share, of Parent.
“Parent Contingent Workers” has the meaning set forth in Section 3.15(b).
“Parent Contract” means any Contract together with any amendments, waivers or other modifications thereto, to which Parent is a party and which is not intended to be included in the Spinoff Assets.
“Parent Copyrights” has the meaning set forth in Section 3.9(a).
“Parent Disclosure Schedule” has the meaning set forth in Article 3.
“Parent Employee Programs” has the meaning set forth in Section 3.14(a).
“Parent Financial Statements” has the meaning set forth in Section 3.5(c).
“Parent Fundamental Representations” means the representations and warranties of the Company set forth in Section 3.1, Section 3.2, Section 3.3 and Section 3.24.
“Parent In-Licenses” has the meaning set forth in Section 3.9(a).
“Parent Intellectual Property” means all Intellectual Property owned by Parent or any of its Subsidiaries or used or held for use by Parent or any of its Subsidiaries other than Intellectual Property which is intended to be included in the Spinoff Assets. “Parent Intellectual Property” includes, without limitation, Parent Patents, Parent Marks, Parent Copyrights and Parent Trade Secrets.
Annex A - 70
“Parent Intervening Event” means a material development or change in circumstances (other than a Parent Acquisition Proposal) that affects the business, assets or operations of Parent that occurs or arises after the date of this Agreement that was neither known to Parent or the Board of Directors of Parent nor reasonably foreseeable as of the date of this Agreement.
“Parent Leased Real Property” means the real property leased, subleased or licensed by Parent, or any of its Subsidiaries, and the real property leased, subleased or licensed by Parent or any of its Subsidiaries, in each case, as tenant, subtenant, licensee or other similar party, together with, to the extent leased, licensed or owned by Parent or any of its Subsidiaries, all buildings and other structures, facilities or leasehold improvements, currently or hereafter located thereon, other than real property and the buildings and other structures, facilities or leasehold improvements located thereon which is intended to be included in the Spinoff Assets.
“Parent Leases” means the lease, license, sublease or other occupancy agreements and all amendments, modifications, supplements, and assignments thereto, together with all exhibits, addenda, riders and other documents constituting a part thereof for each parcel of Parent Leased Real Property.
“Parent Lock-up Agreements” has the meaning set forth in the Recitals.
“Parent Marks” has the meaning set forth in Section 3.9(a).
“Parent Material Adverse Effect” means any change, circumstance, condition, development, effect, event, occurrence, result or state of facts that, individually or when taken together with any other such change, circumstance, condition, development, effect, event, occurrence, result or state of facts, has or would reasonably be expected to (a) have a material adverse effect on the business, financial condition, assets, liabilities or results of operations of Parent and its Subsidiaries, taken as a whole, or (b) prevent or materially delay the ability of Parent and Merger Sub to consummate the Contemplated Transactions, except that “Parent Material Adverse Effect” shall not include any change, circumstance, condition, development, effect, event, occurrence, result or state of facts, directly or indirectly, arising out of or attributable to: (i) changes in general economic or political conditions or the securities market in general (whether as a result of acts of terrorism, war (whether or not declared), armed conflicts or otherwise) to the extent they do not disproportionately affect Parent and its Subsidiaries, taken as a whole, (ii) changes in or affecting the industries in which Parent operates to the extent they do not disproportionately affect Parent and its Subsidiaries, taken as a whole, in any material respect, (iii) changes, effects or circumstances resulting from the announcement or pendency of this Agreement or the consummation of the Contemplated Transactions or compliance with the terms of this Agreement, (iv) any specific action taken at the written request of the Company or required by this Agreement, (v) any reductions, either voluntary or involuntary, in Parent’s workforce, (vi) any changes in applicable Laws or accounting rules, (vii) any natural or man-made disaster or acts of God or acts of war or terrorism, or (viii) any failure by Parent to meet any projections, forecasts or revenue or earnings projections.
“Parent Material Contract” has the meaning set forth in Section 3.10.
“Parent Net Cash Schedule” has the meaning set forth in Section 5.4(b).
“Parent Notice Period” has the meaning set forth in Section 4.5(b)(iv).
“Parent Out-Licenses” has the meaning set forth in Section 3.9(a).
“Parent Owned Real Property” means the real property in which Parent or any of its Subsidiaries has any fee title (or equivalent).
“Parent Patents” has the meaning set forth in Section 3.9(a).
“Parent Preferred Stock” means the Series A Preferred Stock, par value $0.001 per share, of Parent and the Series A-1 Preferred Stock par value $0.001 per share, of Parent.
“Parent Qualified Bidder” has the meaning set forth in Section 4.5(b)(i).
“Parent Recommendation” has the meaning set forth in Section 5.2(b).
“Parent Restricted Stock Award” or “Parent Restricted Stock Awards” means awards of restricted stock issued under of the Parent Stock Option Plan.
“Parent SEC Reports” has the meaning set forth in Section 3.5(a).
Annex A - 71
“Parent Stock Option Plans” means Parent’s 2006 Stock Incentive Plan, as amended, and Parent’s 2012 Omnibus Incentive Compensation Plan, as amended.
“Parent Stock Options” means options to purchase Parent Common Stock issued under the Parent Stock Option Plan.
“Parent Stockholder Approval” has the meaning set forth in Section 3.23.
“Parent Stockholder Meeting” has the meaning set forth in Section 5.2(b).
“Parent Stockholder Proposals” has the meaning set forth in Section 5.2(b).
“Parent Stockholders” means the holders of the capital stock of Parent.
“Parent Superior Offer” has the meaning set forth in Section 4.5(b)(ii).
“Parent Trade Secrets” has the meaning set forth in Section 3.9(k).
“Parent Voting Agreements” has the meaning set forth in the Recitals.
“Parent Warrants” means the outstanding warrants to purchase Parent Common Stock.
“Party” or “Parties” means Parent, Merger Sub, and the Company.
“Permit” means any franchise, authorization, approval, Order, consent, license, certificate, permit, registration, qualification or other right or privilege.
“Permitted Asset Sale” has the meaning set forth in Section 5.5(b).
“Permitted Company Reorganization” has the meaning set forth in Section 5.5(d).
“Permitted Encumbrances” means (i) Encumbrances for Taxes or other governmental charges, assessments or levies that are not yet due and payable or being contested in good faith by appropriate proceedings, (ii) statutory landlord’s, mechanic’s, carrier’s, workmen’s, repairmen’s or other similar Encumbrances arising or incurred in the Ordinary Course of Business, the existence of which does not, and would not reasonably be expected to, materially impair the marketability, value or use and enjoyment of the asset subject to such Encumbrances, and (iii) Encumbrances and other conditions, easements and reservations of rights, including rights of way, for sewers, electric lines, telegraph and telephone lines and other similar purposes, and affecting the fee title to any real property leased by Parent or the Company which are of record as of the date of this Agreement and the existence of which does not, and would not reasonably be expected to, materially impair use and enjoyment of such real property, (iv) with respect to any Parent Leased Real Property only, Encumbrances (including Indebtedness) encumbering the fee title interested in any Parent Leased Real Property which are not attributable to Parent and (v) with respect to any Company Leased Real Property only, Encumbrances (including Indebtedness) encumbering the fee title interested in any Company Leased Real Property which are not attributable to the Company. Notwithstanding the foregoing, any Encumbrances for Indebtedness of the Company or Parent as of the Closing will not be a Permitted Encumbrance.
“Permitted Parent Issuance” has the meaning set forth in Section 5.5(e).
“Permitted Parent Reorganization” has the meaning set forth in Section 5.5(c).
“Person” means any individual, corporation, firm, partnership, joint venture, association, trust, company, Governmental Authority, syndicate, body corporate, unincorporated organization, or other legal entity, or any governmental agency or political subdivision thereof.
“PHSA” has the meaning set forth in Section 2.12(b).
“Pre-Closing Period” has the meaning set forth in Section 4.1.
“Release” means any releasing, disposing, discharging, injecting, spilling, leaking, pumping, dumping, emitting, escaping or emptying of a Hazardous Material into the Environment.
“Representatives” means the directors, officers, employees, Affiliates, investment bankers, financial advisors, attorneys, accountants, brokers, finders or representatives of the Company, Parent, Merger Sub, or any of their respective Subsidiaries, as the case may be.
“Retained Liabilities” has the meaning set forth in Section 5.5(a).
Annex A - 72
“Reverse Stock Split” has the meaning set forth in Section 5.16.
“S-4 Effective Date” has the meaning set forth in Section 5.1(a).
“Sarbanes-Oxley Act” means the Sarbanes-Oxley Act of 2002.
“SEC” means the Securities and Exchange Commission.
“Securities Act” means the Securities Act of 1933, as amended.
“Spinoff” has the meaning set forth in Section 5.5(a).
“Spinoff Agreement” has the meaning set forth in Section 5.5(a).
“Spinoff Assets” has the meaning set forth in Section 5.5(a).
“Subsidiary” or “Subsidiaries” means, when used with reference to a party, any corporation or other organization, whether incorporated or unincorporated, of which such party or any other subsidiary of such party is a general partner (excluding partnerships the general partnership interests of which held by such party or any subsidiary of such party do not have a majority of the voting interests in such partnership) or serves in a similar capacity, or, with respect to such corporation or other organization, at least 50% of the securities or other interests having by their terms ordinary voting power to elect a majority of the board of directors or others performing similar functions is directly or indirectly owned or controlled by such party or by any one or more of its subsidiaries, or by such party and one or more of its subsidiaries.
“Surviving Corporation” has the meaning set forth in Section 1.1.
“Tax” or “Taxes” means any net or gross income, net or gross receipts, net or gross proceeds, capital gains, capital stock, sales, use, user, leasing, lease, transfer, natural resources, premium, ad valorem, value added, franchise, profits, gaming, license, capital, withholding, payroll or other employment, estimated, goods and services, severance, excise, stamp, fuel, interest equalization, registration, recording, occupation, premium, turnover, personal property (tangible and intangible), real property, escheat, unclaimed or abandoned property, alternative or add-on, windfall or excess profits, environmental (including Section 59A of the Code as in effect for Tax years beginning prior to January 1, 2018), social security, disability, unemployment or other tax or customs duties or amount imposed by (or otherwise payable to) any Taxing Authority, or any interest, any penalties, additions to tax or additional amounts assessed, imposed, or otherwise due or payable under applicable Laws with respect to taxes, in each case, whether disputed or not.
“Tax Return” means any report, return, document, declaration, election, schedule or other information or filing, or any amendment thereto, required to be supplied to any Taxing Authority or jurisdiction (foreign or domestic) with respect to Taxes, including information returns and any documents with respect to or accompanying payments of estimated Taxes or requests for the extension of time in which to file any such report, return, document, declaration, or other information.
“Tax Sharing Agreement” has the meaning set forth in Section 2.13(h).
“Taxing Authority” means any Governmental Authority responsible for the imposition of any Tax.
“Third Party Intellectual Property” has the meaning set forth in Section 2.9(f).
“Transfer Taxes” means any transfer, documentary, sales, use, stamp, registration and other such Taxes, and all conveyance fees, recording charges and other fees and charges (including any penalties and interest) incurred in connection with the consummation of the transactions contemplated by this Agreement.
“WARN Act” has the meaning set forth in Section 2.15(b).
(Signature Page Follows)
Annex A - 73
IN WITNESS WHEREOF, the parties have caused this Agreement to be executed as of the date first above written.
| MYND ANALYTICS, INC. | ||
| By: | /s/ Patrick Herguth | |
| Name: Patrick Herguth | ||
| Title: Chief Executive Officer | ||
| ATHENA MERGER SUBSIDIARY INC. | ||
| By: | /s/ Patrick Herguth | |
| Name: Patrick Herguth | ||
| Title: President | ||
| EMMAUS LIFE SCIENCES, INC. | ||
| By: | /s/ Yutaka Niihara | |
| Name: Yutaka Niihara | ||
| Title: CEO & Chairman | ||
Signature Page to Merger Agreement
Annex A - 74
AMENDMENT NO. 1
TO
AGREEMENT AND PLAN OF MERGER
This AMENDMENT NO. 1 (this “Amendment”), dated as of April [●], 2019, to the Agreement and Plan of Merger (the “Merger Agreement”), dated as of January 4, 2019, is made and entered into by and among MYND ANALYTICS, INC., a Delaware corporation (“Parent”), ATHENA MERGER SUBSIDIARY INC., a Delaware corporation and a direct wholly owned subsidiary of Parent (“Merger Sub”), and EMMAUS LIFE SCIENCES, INC., a Delaware corporation (the “Company”). Parent, Merger Sub and the Company are each sometimes referred to collectively as the “Parties.”
WHEREAS, the Parties desire to amend certain provisions of the Merger Agreement as described herein; and
WHEREAS, the respective Boards of Directors of the Company and Parent have approved this Amendment.
NOW, THEREFORE, in consideration of the mutual covenants and agreements contained in the Merger Agreement and this Amendment, and for other good and valuable consideration, the receipt and adequacy of which are acknowledged, the Parties agree as follows:
1. Definitions. Terms used herein and not defined shall have the meanings ascribed thereto in the Merger Agreement.
2. Amendments.
(a) The definition of “Parent California Subsidiary” is hereby amended and restated in its entirety to read as:
“Parent California Subsidiary” means Telemynd Inc., a Delaware corporation wholly-owned by Parent.”
(b) The definition of “Contemplated Transactions” is hereby amended and restated in its entirety to read as:
“Contemplated Transactions” means the transactions proposed under this Agreement and the Spinoff Agreement, including the Merger, the Reverse Stock Split, the Spinoff, any Permitted Asset Sale, Permitted Company Issuance, Permitted Company Reorganization or Permitted Parent Reorganization.”
(c) The definition of “New Equity Incentive Plan” is hereby deleted in its entirety.
(d) The first sentence of Section 5.2(b) of the Merger Agreement is hereby amended and restated in its entirety to read as follows:
“Parent Stockholder Meeting. Parent shall take all action necessary in accordance with applicable Laws and the Parent Charter and Parent Bylaws to call, give notice of, convene and hold a meeting of the Parent Stockholders (the “Parent Stockholder Meeting”) to consider and vote on proposals to approve (i) the issuance of the shares of Parent Common Stock in connection with the Merger, (ii) the Spinoff and (iii) amendments to the Parent Charter to effect the Reverse Stock Split (if applicable) immediately prior to the Effective Time and to change the name of Parent to “Emmaus Life Sciences, Inc.” at the Effective Time (collectively, the “Parent Stockholder Proposals”).”
(e) Section 5.4(b) of the Merger Agreement is hereby amended and restated in its entirety to read as follows:
“Parent shall prepare and deliver to the Company three (3) Business Days prior to the Closing, a schedule (the “Parent Net Liabilities and Stockholders’ Equity Schedule”) setting forth, in reasonable detail, Parent’s good faith estimate of the Net Liabilities and stockholders’ equity of Parent, as of the Closing, together with the work papers and back-up materials used in preparing such Parent Net Liabilities and Stockholders’ Equity Schedule. For purposes of this Agreement, the term “Net Liabilities” means all Liabilities of Parent less the sum of (i) all cash and equivalents and deposits of Parent and (ii) all prepaid expenses or obligations paid by Parent prior to the Effective Time which will be for the benefit of the Company after the Effective Time. Stockholders’ equity (deficit) shall be determined in accordance with generally accepted accounting principles applied on a basis consistent with the Parent Financial Statements.”
Annex A - 75
(f) Section 5.15 of the Merger Agreement is hereby amended to add the following sentence:
“In addition, if any exchange ratio applicable to any Company Warrants, Company Convertible Notes or Company Debentures is reduced during the six (6) month period after the closing of the Merger for any reason, Parent will issue to Telemynd a number of shares of Parent common stock equal to 5.9% of the total number of shares that may be issued upon conversion of any Company Warrants, Company Convertible Notes or Company Debentures which are in excess of the number of shares already included in the calculation of the Exchange Ratio.”
(g) Section 7.1(b) of the Merger Agreement is hereby amended and restated in its entirety to read as follows:
“by either Parent or the Company if the Merger shall not have been consummated by July 31, 2019 (the “Outside Date”); provided, however, that the right to terminate this Agreement under this Section 7.1(b) shall not be available to any Party whose action or failure to act has been a principal cause of the failure of the Merger to occur on or before such date and such action or failure to act constitutes a breach of this Agreement; and provided, further, however, that, in the event that a request for additional information has been made by any Governmental Authority, or in the event that the S-4 Effective Date shall not have occurred by the date which is sixty (60) days prior to the Outside Date, then either the Company or Parent shall be entitled to extend the Outside Date for an additional sixty (60) days by written notice to the other;.”
3. Effect of Amendment. This Amendment shall not constitute an amendment or waiver of any provision of the Merger Agreement not expressly amended or waived herein and shall not be construed as an amendment, waiver or consent to any action that would require an amendment, waiver or consent except as expressly stated herein. The Merger Agreement, as amended by this Amendment, is and shall continue to be in full force and effect and is in all respects ratified and confirmed hereby.
4. Counterparts. This Amendment may be executed in several counterparts, each of which shall be deemed an original and all of which shall constitute one and the same instrument. The exchange of a fully executed Amendment (in counterparts or otherwise) by all Parties by electronic transmission via “.pdf” shall be sufficient to bind the Parties to the terms and conditions of this Amendment.
5. Governing Law. This Amendment shall be governed by, and construed in accordance with, the Laws of the State of Delaware, regardless of the Laws that might otherwise govern under applicable principles of conflicts of Laws.
6. Other Miscellaneous Terms. The provisions of Article 8 (Miscellaneous Provisions) of the Merger Agreement shall apply mutatis mutandis to this Amendment, and to the Merger Agreement as modified by this Amendment, taken together as a single agreement, reflecting the terms as modified hereby.
(Signature Page Follows)
Annex A - 76
IN WITNESS WHEREOF, each of the Parties has caused this Amendment to be duly executed as of the date first written above.
| MYND ANALYTICS, INC. | ||
| By: | /s/ Patrick Herguth | |
| Name: Patrick Herguth | ||
| Title: President | ||
| ATHENA MERGER SUBSIDIARY INC. | ||
| By: | /s/ Patrick Herguth | |
| Name: Patrick Herguth | ||
| Title: President | ||
| EMMAUS LIFE SCIENCES, INC. | ||
| By: | /s/ Yutaka Niihara | |
| Name: Yutaka Niihara | ||
| Title: CEO & Chairman | ||
EXECUTION COPY
AMENDED AND RESTATED
SEPARATION AND DISTRIBUTION AGREEMENT
This AMENDED AND RESTATED SEPARATION AND DISTRIBUTION AGREEMENT (this “Agreement”) is made and entered into as of March 27, 2019, by and between MYND ANALYTICS, INC., a Delaware corporation (“Parent”), TELEMYND, INC., a Delaware corporation and a direct wholly owned subsidiary of Parent (“Telemynd”), and MYND ANALYTICS, INC., a California corporation and a direct wholly owned subsidiary of Parent (“MYnd California”). Capitalized terms used herein and not otherwise defined shall have the respective meanings assigned to them in Article I.
RECITALS
WHEREAS, on January 4, 2019 Parent, ATHENA MERGER SUBSIDIARY INC., a Delaware corporation and a direct wholly owned subsidiary of Parent (“Merger Sub”), and EMMAUS LIFE SCIENCES, INC., a Delaware corporation (the “Emmaus”), entered into an Agreement and Plan of Merger and Reorganization (the “Merger Agreement”) pursuant to which Merger Sub will merge with and into Emmaus with Emmaus surviving as a wholly owned subsidiary of Parent (the “Merger”);
WHEREAS, on January 4, 2019 Parent and MYnd California entered into a Separation and Distribution Agreement (the “Prior Agreement”);
WHEREAS, Parent, MYnd California and Telemynd desire to enter into this Agreement to amend and restate the Prior Agreement in its entirety and to cause Telemynd to assume all of the rights and obligations of MYnd California;
WHEREAS, the execution, delivery of this Agreement, and the consummation of the transactions contemplated by this Agreement are contemplated by the Merger Agreement, and Parent has represented to Emmaus in the Merger Agreement that certain of the transactions contemplated by this Agreement will be consummated prior to or contemporaneously with the closing of the Merger;
WHEREAS, the board of directors of Parent (the “Parent Board”) has determined that it is in the best interests of Parent and its stockholders to separate the Telemynd Business from Parent (the “Separation”) and, following the Separation, make a distribution on a pro rata basis, to holders on the Record Date of Parent Shares and Other Parent Securities, of all of the outstanding Telemynd Shares owned by Parent (the “Distribution”);
WHEREAS, Telemynd and Parent have prepared, and Telemynd will file with the SEC, the Form 10, which will set forth disclosure concerning Telemynd, the Separation and the Distribution; and
WHEREAS, each of Parent and Telemynd has determined that it is appropriate and desirable to set forth the principal corporate transactions required to effect the Separation and the Distribution and certain other agreements that will govern certain matters relating to the Separation and the Distribution and the relationship of Parent and Telemynd following the Distribution.
NOW, THEREFORE, in consideration of the mutual agreements, provisions and covenants contained in this Agreement, and for other good and valuable consideration, the receipt and sufficiency of which are hereby acknowledged, the Parties, intending to be legally bound, hereby agree as follows:
ARTICLE I.
DEFINITIONS
For the purpose of this Agreement, the following terms shall have the following meanings:
“Action” shall mean any demand, action, claim, dispute, suit, countersuit, arbitration, inquiry, subpoena, proceeding or investigation of any nature (whether criminal, civil, legislative, administrative, regulatory, prosecutorial or otherwise) by or before any federal, state, local, foreign or international Governmental Authority or any arbitration or mediation tribunal.
“Affiliate” means with respect to any Person, any other Person controlling, controlled by, or under common control with such Person. As used in this definition, “control” (including, with its correlative meanings, “controlled by” and “under common control with”) means the possession, directly or indirectly, of power to direct or cause the direction of the management and policies of a Person whether through the ownership of voting securities, by contract or otherwise. It is expressly agreed that, prior to, at and after the Effective Time, for purposes of this Agreement and the Ancillary Agreements, (a) no member of the Telemynd Group shall be deemed to be an Affiliate of any member of the Parent Group and (b) no member of the Parent Group shall be deemed to be an Affiliate of any member of the Telemynd Group.
“Agent” shall mean the entity duly appointed by Parent to act as distribution agent, transfer agent and registrar for the Telemynd Shares in connection with the Distribution.
“Agreement” shall have the meaning set forth in the Preamble.
“Ancillary Agreements” shall mean all agreements (other than this Agreement) entered into by the Parties or the members of their respective Groups (but as to which no Third Party is a party) in connection with the Separation, the Distribution, or the other transactions contemplated by this Agreement.
“Approvals or Notifications” shall mean any consents, waivers, approvals, permits or authorizations to be obtained from, notices, registrations or reports to be submitted to, or other filings to be made with, any third Person, including any Governmental Authority.
“Arbitration Request” shall have the meaning set forth in Section 9.03(a).
“Assets” shall mean, with respect to any Person, the assets, properties, claims and rights (including goodwill) of such Person, wherever located (including in the possession of vendors or other third Persons or elsewhere), of every kind, character and description, whether real, personal or mixed, tangible, intangible or contingent, in each case whether or not recorded or reflected or required to be recorded or reflected on the books and records or financial statements of such Person, including rights and benefits pursuant to any contract, license, permit, indenture, note, bond, mortgage, agreement, concession, franchise, instrument, undertaking, commitment, understanding or other arrangement.
“Benefit Plan” shall mean any contract, agreement, policy, practice, program, plan, trust, commitment or arrangement providing for benefits, perquisites or compensation of any nature from an employer to any Telemynd Employee, or to any family member, dependent, or beneficiary of any such Telemynd Employee, including cash or deferred arrangement plans, profit sharing plans, post-employment programs, pension plans, thrift plans, supplemental pension plans, welfare plans, stock option, stock purchase, stock appreciation rights, restricted stock, restricted stock units, performance stock units, other equity-based compensation and contracts, agreements, policies, practices, programs, plans, trusts, commitments and arrangements providing for terms of employment, fringe benefits, severance benefits, change in control protections or benefits, travel and accident, life, accidental death and dismemberment, disability and accident insurance, tuition reimbursement, adoption assistance, travel reimbursement, vacation, sick, personal or bereavement days, leaves of absences and holidays; provided, however, that the term “Benefit Plan” does not include any government-sponsored benefits, such as workers’ compensation, unemployment or any similar plans, programs or policies or Individual Agreements.
“CEO Negotiation Request” shall have the meaning set forth in Section 9.02.
“Code” shall mean the Internal Revenue Code of 1986, as amended.
“Common Parent” means the “common parent corporation” of an “affiliated group” (in each case, within the meaning of Section 1504 of the Code) filing a U.S. federal consolidated Income Tax Return.
“Delayed Telemynd Asset” shall have the meaning set forth in Section 2.05(b).
“Delayed Telemynd Liability” shall have the meaning set forth in Section 2.05(b).
“Disclosure Document” shall mean any registration statement (including the Form 10) filed with the SEC by or on behalf of any Party or any member of its Group, and also includes any proxy statement, prospectus, offering memorandum, offering circular, periodic report or similar disclosure document, whether or not filed with the SEC or any other Governmental Authority, in each case that describes the Merger, the Separation or the Distribution or the Telemynd Group or primarily relates to the transactions contemplated hereby.
“Dispute” shall have the meaning set forth in Section 9.01.
“Distribution” shall have the meaning set forth in the Recitals.
“Distribution Date” shall mean the date of the consummation of the Distribution, which shall be determined by the Parent Board in its sole and absolute discretion.
Annex B - 2
“Due Date” means (a) with respect to a Tax Return, the date (taking into account all valid extensions) on which such Tax Return is required to be filed under applicable Law and (b) with respect to a payment of Taxes, the date on which such payment is required to be made to the applicable Taxing Authority to avoid the incurrence of interest, penalties and/or additions to Tax. “Effective Time” shall mean 12:01 a.m., Eastern standard time, on the Distribution Date.
“Environmental Law” shall mean any Law relating to pollution, protection or restoration of or prevention of harm to the environment or natural resources, including the use, handling, transportation, treatment, storage, disposal, Release or discharge of Hazardous Materials or the protection of or prevention of harm to human health and safety.
“Exchange Act” shall mean the U.S. Securities Exchange Act of 1934, as amended, together with the rules and regulations promulgated thereunder.
“Form 10” shall mean a registration statement on Form 10 to be filed by Telemynd with the SEC to effect the registration of Telemynd Shares pursuant to the Exchange Act in connection with the Distribution, as such registration statement may be amended or supplemented from time to time prior to the Distribution.
“Governmental Approvals” shall mean any Approvals or Notifications to be made to, or obtained from, any Governmental Authority.
“Governmental Authority” shall mean any U.S. or non-U.S., federal, state, or local governmental commission, board, body, bureau, or other regulatory authority, agency, including courts and other judicial bodies, or any self-regulatory body or authority, including any instrumentality or entity designed to act for or on behalf of the foregoing.
“Group” shall mean either the Telemynd Group or the Parent Group, as the context requires.
“Hazardous Materials” shall mean any chemical, material, substance, waste, pollutant, emission, discharge, release or contaminant that could result in Liability under, or that is prohibited, limited or regulated by or pursuant to, any Environmental Law, and any natural or artificial substance (whether solid, liquid or gas, noise, ion, vapor or electromagnetic) that could cause harm to human health or the environment, including petroleum, petroleum products and byproducts, asbestos and asbestos-containing materials, urea formaldehyde foam insulation, electronic, medical or infectious wastes, polychlorinated biphenyls, radon gas, radioactive substances, chlorofluorocarbons and all other ozone-depleting substances.
“Income Tax Return” means any Tax Return on which Income Taxes are reflected or reported.
“Income Taxes” means any net income, net receipts, net profits, excess net profits or similar Taxes based upon, measured by, or calculated with respect to net income.
“Indemnifying Party” shall have the meaning set forth in Section 4.04(a).
“Indemnitee” shall have the meaning set forth in Section 4.04(a).
“Indemnity Payment” shall have the meaning set forth in Section 4.04(a).
“Individual Agreement” shall mean any individual (a) employment contract, or (b) retention, severance or change in control agreement, in each case as in effect immediately prior to the Effective Time.
“Insurance Proceeds” shall mean those monies: (i) received by an insured from an insurance carrier or (ii) paid by an insurance carrier on behalf of the insured, in any such case net of any applicable premium adjustments (including reserves and retrospectively rated premium adjustments) and net of any costs or expenses incurred in the collection thereof; provided, however, that with respect to a captive insurance arrangement, Insurance Proceeds shall only include amounts received by the captive insurer in respect of any reinsurance arrangement.
“Intellectual Property” shall mean all of the following whether arising under the Laws of the United States (or any state or other jurisdiction thereof) or of any other foreign or multinational jurisdiction: (a) patents, (b) trademarks, (c) copyrights, (d) any other intellectual property rights arising from or in respect of any Technology or Software, and (e) any claims for damages by reason of past infringement, misappropriation, or other unauthorized use of any of the foregoing, with the right to sue for and collect the same.
“IRS” means the U.S. Internal Revenue Service.
Annex B - 3
“Law” shall mean any national, supranational, federal, state, provincial, local or similar law (including common law), statute, code, order, ordinance, rule, regulation, treaty (including any Tax treaty), license, permit, authorization, approval, consent, decree, injunction, binding judicial or administrative interpretation or other requirement, in each case, enacted, promulgated, issued or entered by a Governmental Authority.
“Liabilities” shall mean all debts, guarantees, assurances, commitments, liabilities, responsibilities, Taxes, Losses, remediation, deficiencies, damages, fines, penalties, settlements, sanctions, costs, expenses, interest and obligations of any nature or kind, whether accrued or fixed, absolute or contingent, matured or unmatured, accrued or not accrued, asserted or unasserted, liquidated or unliquidated, foreseen or unforeseen, known or unknown, reserved or unreserved, or determined or determinable, including those arising under any Law, claim (including any Third-Party Claim), demand, Action, or order, writ, judgment, injunction, decree, stipulation, determination or award entered by or with any Governmental Authority or arbitration tribunal, and those arising under any contract, agreement, obligation, indenture, instrument, lease, promise, arrangement, release, warranty, commitment or undertaking, or any fines, damages or equitable relief that is imposed, in each case, including all costs and expenses relating thereto.
“Losses” shall mean actual losses, costs, damages, penalties and expenses (including reasonable legal and accounting fees and expenses and costs of investigation and litigation), whether or not involving a Third-Party Claim.
“Mixed Business Tax Return” means any Tax Return (other than a Parent Consolidated Return), including any consolidated, combined or unitary Tax Return, that reflects or reports Taxes that relate to at least one asset or activity that is part of the Parent Business, on the one hand, and at least one asset or activity that is part of the Telemynd Business, on the other hand.
“Nasdaq” shall mean the Nasdaq Capital Market.
“Offer Negotiation Request” shall have the meaning set forth in Section 9.01.
“Other Parent Securities” shall mean the other outstanding securities of the Parent described on Schedule 1.2 which are entitled to participate in the distribution of the Telemynd Shares on a pro rata basis together with the holders of Parent Shares as of the Record Date.
“Parent” shall have the meaning set forth in the Preamble.
“Parent Accounts” shall have the meaning set forth in Section 2.08(a).
“Parent Board” shall have the meaning set forth in the Recitals.
“Parent Business” shall mean the business of Emmaus to be carried on by Parent after the Effective Time.
“Parent Consolidated Return” means the U.S. federal Income Tax Return filed or required to be filed by Parent as the Common Parent.
“Parent Consolidated Taxes” means any U.S. federal Income Taxes attributable to any Parent Consolidated Return.
“Parent Group” shall mean Parent and each Person that is a Subsidiary of Parent (other than Telemynd and any other member of the Telemynd Group).
“Parent Indemnitees” shall have the meaning set forth in Section 4.02.
“Parent Liabilities” shall have the meaning set forth in Section 2.03(b).
“Parent Shares” shall mean shares of Parent common stock, par value $0.001 per share.
“Parent Taxes” means, without duplication, other than Telemynd Taxes: (a) any Parent Consolidated Taxes, (b) any Taxes imposed on Telemynd or any member of the Telemynd Group under Treasury Regulations Section 1.1502-6 (or any similar provision of other Law) as a result of Telemynd or any such member being or having been included as part of a Parent Consolidated Return (or similar consolidated or combined Tax Return under any other provision of Law) on or prior to the Distribution Date, (c) any Taxes of the Parent Group and any former Subsidiary of Parent (excluding any member of the Telemynd Group) for any Pre-Closing Period (including any Straddle Period Taxes allocated to the Pre-Closing Period pursuant to Section 8.06), and (d) for the avoidance of any doubt, any Taxes of Parent or any Affiliate thereof for a Post-Closing Period (including any Straddle Period Taxes allocated to the Post-Closing Period pursuant to Section 8.06).
Annex B - 4
“Parent Transaction Taxes” means any Taxes (a) imposed on or by reason of the 6 Separation or the Distribution and (b) payable by reason of the distribution of cash or other property from Parent to Telemynd (in each case including Transfer Taxes imposed on such transactions described in (a) and (b)). For the avoidance of doubt, Parent Transaction Taxes include, without limitation, Taxes payable by reason of deferred intercompany transactions or excess loss accounts triggered by the Distribution and Taxes attributable to any election under Code Section 336 made in connection with the transactions contemplated by this Agreement.
“Parties” or the singular “Party” shall mean the parties or a party to this Agreement.
“Past Practice” means past practices, accounting methods, elections and conventions.
“Permits” shall mean permits, approvals, authorizations, consents, licenses or certificates issued by any Governmental Authority.
“Person” shall mean an individual, a general or limited partnership, a corporation, a trust, a joint venture, an unincorporated organization, a limited liability entity, any other entity and any Governmental Authority.
“Policies” shall mean insurance policies and insurance contracts of any kind, including but not limited to property, excess and umbrella, commercial general liability, director and officer liability, fiduciary liability, cyber technology professional liability, libel liability, employment practices liability, automobile, aircraft, marine, workers’ compensation and employers’ liability, employee dishonesty/crime/fidelity, foreign, bonds and self-insurance and captive insurance company arrangements, together with the rights, benefits, privileges and obligations thereunder.
“Post-Closing Period” means any taxable period (or portion thereof) beginning after the Distribution Date, including for the avoidance of doubt, the portion of any Straddle Period beginning on the day after the Distribution Date.
“Pre-Closing Period” means any taxable period (or portion thereof) ending on or before the Distribution Date, including for the avoidance of doubt, the portion of any Straddle Period ending at the end of the day on the Distribution Date.
“Privilege” means any privilege that may be asserted under applicable Law, including any privilege arising under or relating to the attorney-client relationship (including the attorney-client and work product privileges), the accountant-client privilege and any privilege relating to internal evaluation processes.
“Privileged Information” shall mean any information, in written, oral, electronic or other tangible or intangible forms, including without limitation any communications by or to attorneys (including attorney-client privileged communications), memoranda and other materials protected by the work product doctrine, as to which a Party or any member of its Group would be entitled to assert or have asserted a privilege or other protection, including the attorney-client and work product privileges.
“Record Date” shall mean the close of business on the date to be determined by the Parent Board as the record date for determining holders of Parent Shares and Other Parent Securities entitled to receive Telemynd Shares pursuant to the Distribution.
“Record Holders” shall mean the holders of record of Parent Shares and holders of Other Parent Securities as of the Record Date.
“Refund” means any refund (or credit in lieu thereof) of Taxes (including any overpayment of Taxes that can be refunded or, alternatively, applied to other Taxes payable), including any interest paid on or with respect to such refund of Taxes by the applicable Taxing Authority; provided, however, that for purposes of this Agreement, the amount of any Refund required to be paid to another Party shall be reduced by (i) the amount of any Taxes imposed on, related to, or attributable to, the receipt or accrual of such Refund, (ii) any reasonable out-of-pocket expenses incurred in obtaining such Refund and (iii) any Tax required to be withheld on such payment to the extent required under Section 2.11 (and subject to, for avoidance of doubt, any limitations on such withholding set forth in Section 2.11).
“Release” shall mean any release, spill, emission, discharge, leaking, pumping, pouring, dumping, injection, deposit, disposal, dispersal, leaching or migration of Hazardous Materials into the environment (including, ambient air, surface water, groundwater and surface or subsurface strata).
“Representatives” shall mean, with respect to any Person, any of such Person’s directors, officers, employees, agents, consultants, advisors, accountants, attorneys or other representatives.
Annex B - 5
“Reserve” shall have the meaning set forth in Section 3.04(c).
“Reserve Shares” shall have the meaning set forth in Section 3.04(c). “SEC” shall mean the U.S. Securities and Exchange Commission.
“Security Interest” shall mean any mortgage, security interest, pledge, lien, charge, claim, option, right to acquire, voting or other restriction, right-of-way, covenant, condition, easement, encroachment, restriction on transfer, or other encumbrance of any nature whatsoever.
“Separation” shall have the meaning set forth in the Recitals.
“Single Business Return” means any Tax Return, including any consolidated, combined or unitary Tax Return, that reflects or reports Tax Items relating only to the Parent Business, on the one hand, or the Telemynd Business, on the other (but not both).
“Software” shall mean any and all (a) computer programs, including any and all software implementation of algorithms, models and methodologies, whether in source code, object code, human readable form or other form, (b) databases and compilations, including any and all data and collections of data, whether machine readable or otherwise, (c) descriptions, flow charts and other work products used to design, plan, organize and develop any of the foregoing, (d) screens, user interfaces, report formats, firmware, development tools, templates, menus, buttons and icons and (e) documentation, including user manuals and other training documentation, relating to any of the foregoing.
“Straddle Period” means any taxable period that begins on or before and ends after the Distribution Date.
“Subsidiary” shall mean, with respect to any Person, any corporation, limited liability company, joint venture or partnership of which such Person (a) beneficially owns, either directly or indirectly, more than 50% of (i) the total combined voting power of all classes of voting securities, (ii) the total combined equity interests or (iii) the capital or profit interests, in the case of a partnership, or (b) otherwise has the power to vote, either directly or indirectly, sufficient securities to elect a majority of the board of directors or similar governing body.
“Tangible Information” shall mean information that is contained in written, electronic or other tangible forms.
“Tax” means any net or gross income, net or gross receipts, net or gross proceeds, capital gains, capital stock, sales, use, user, leasing, lease, transfer, natural resources, premium, ad valorem, value added, franchise, profits, gaming, license, capital, withholding, payroll or other employment, estimated, goods and services, severance, excise, stamp, fuel, interest equalization, registration, recording, occupation, premium, turnover, personal property (tangible and intangible), real property, escheat, unclaimed or abandoned property, alternative or add-on, windfall or excess profits, environmental (including Section 59A of the Code as in effect for Tax years beginning prior to January 1, 2018), social security, disability, unemployment or other tax or customs duties or amount imposed by (or otherwise payable to) any Taxing Authority, or any interest, any penalties, additions to tax or additional amounts assessed, imposed, or otherwise due or payable under applicable Laws with respect to taxes, in each case, whether disputed or not.
“Tax Group” means the members of a consolidated, combined, unitary or other tax group (determined under applicable U.S., State or foreign Income Tax law) which includes Parent or Telemynd, as the context requires, but for the avoidance of doubt, (i) Parent’s Tax Group does not include any members of the Telemynd Group and (ii) Telemynd’s Tax Group does not include any members of the Parent Group.
“Tax Indemnified Party” means the Party which is entitled to seek indemnification from the other Party pursuant to the provisions of Article VIII.
“Tax Item” means any item of income, gain, loss, deduction, credit, recapture of credit or any other item which increases or decreases Taxes paid or payable.
“Tax Proceeding” means any audit, assessment of Taxes, other examination by any Taxing Authority, proceeding, appeal of a proceeding or litigation relating to Taxes, whether administrative or judicial, including proceedings relating to competent authority determinations.
“Tax Return” means any return, report, certificate, form or similar statement or document (including any related or supporting information or schedule attached thereto and any information return, or declaration of estimated Tax) supplied to, or filed with, or required to be supplied to, or filed with, a Taxing Authority in connection with the payment, determination, assessment or collection of any Tax or the administration of any Laws relating to any Tax and any amended Tax return or claim for refund.
Annex B - 6
“Taxing Authority” means any governmental authority or any subdivision, agency, commission or entity thereof or any quasi-governmental or private body having jurisdiction over the assessment, determination, collection or imposition of any Tax (including the IRS).
“Technology” shall mean all technology, know-how and information, including sales methodologies and processes, training protocols and similar methods and processes, algorithms, apparatus, circuit designs and assemblies, gate arrays, net lists, test vectors, diagrams, models, formulae, inventions, discoveries, innovations, products, services, ideas, concepts, designs, drawings, methods, network configurations and architectures, processes, confidential or proprietary information, trade secrets, protocols, schematics, specifications, subroutines, techniques, URLs, web sites, works of authorship and other forms of technology, in each case whether or not patentable, copyrightable or otherwise registerable, whether or not embodied in any tangible form and including all tangible embodiments of any of the foregoing, including documents, reports, records, instruction manuals, laboratory notebooks, prototypes, samples, surveys, studies and summaries; provided, however, that Technology shall not include any Software.
“Telemynd” shall have the meaning set forth in the Preamble.
“Telemynd Accounts” shall have the meaning set forth in Section 2.08(a).
“Telemynd Assets” shall have the meaning set forth in Section 2.02.
“Telemynd Balance Sheet” shall mean the pro forma combined balance sheet of the Telemynd Business, including any notes and subledgers thereto, as of December 31, 2018.
“Telemynd Business” shall mean the business, operations and activities of Telemynd related to its telebehavioral health and predictive healthcare operations.
“Telemynd Contracts” shall mean the following contracts and agreements to which either Party or any member of its Group is a party or by which it or any member of its Group or any of their respective Assets is bound, whether or not in writing; provided that Telemynd Contracts shall not include any contract or agreement that is contemplated to be retained by Parent or any member of the Parent Group from and after the Effective Time pursuant to any provision of this Agreement or any Ancillary Agreement:
(a) any customer, reseller, distributor or development contract or agreement entered into prior to the Effective Time related to the Telemynd Business;
(b) any supply or vendor contract or agreement entered into prior to the Effective Time related to the Telemynd Business;
(c) any joint venture or partnership contract or agreement that relates to the Telemynd Business as of the Effective Time;
(d) any proprietary information and inventions agreement or similar Intellectual Property assignment or license agreement with any current or former Telemynd Group employee, Parent Group employee, consultant of the Telemynd Group or consultant of the Parent Group, in each case entered into prior to the Effective Time that is related to the Telemynd Business;
(e) any contract or agreement that is expressly contemplated pursuant to this Agreement or any of the Ancillary Agreements to be assigned to, or be a contract or agreement in the name of, Telemynd or any member of the Telemynd Group;
(f) any other contract or agreement related to the Telemynd Business or Telemynd Assets;
(k) Telemynd Leases; and
(l) any contracts, agreements or settlements set forth on Schedule 1.3, including the right to recover any amounts under such contracts, agreements, leases or settlements.
“Telemynd Group” shall mean (a) prior to the Effective Time, Telemynd and each Person that will be a Subsidiary of Telemynd as of immediately after the Effective Time, including the Transferred Entities, even if, prior to the Effective Time, such Person is not a Subsidiary of Telemynd; and (b) on and after the Effective Time, Telemynd and each Person that is a Subsidiary of Telemynd.
Annex B - 7
“Telemynd Indemnitees” shall have the meaning set forth in Section 4.03.
“Telemynd Leases” shall mean the leases to real property and, to the extent covered by such leases, any and all buildings, structures, improvements and fixtures located thereon, to which Telemynd or a member of the Telemynd Group is party as of the Effective Time set forth on Schedule 1.04.
”Telemynd Liabilities” shall have the meaning set forth in Section 2.03(a).
“Telemynd Name and Telemynd Marks” shall mean the names, marks, trade dress, logos, monograms, domain names and other source or business identifiers of either Party or any member of its Group that (a) use or contain “Telemynd” (including any stylized versions or design elements thereof) or (b) otherwise identify Telemynd as a whole, either alone or in combination with other words or elements, and all names, marks, trade dress, logos, monograms, domain names and other source or business identifiers confusingly similar to or embodying any of the foregoing, either alone or in combination with other words or elements, together with (y) any common law rights in and to any of the foregoing, any registrations or applications for registration of any of the foregoing, any rights in and to any of the foregoing provided by international treaties or conventions, and any reissues, extensions or renewals of any of the foregoing and (z) the goodwill associated with any of the foregoing.
“Telemynd Permits” shall mean all Permits owned or licensed by either Party or any member of its Group primarily used or primarily held for use in the Telemynd Business as of the Effective Time.
“Telemynd Shares” shall mean shares of Telemynd common stock, par value $0.001 per share.
“Telemynd Taxes” means, without duplication, any and all Liabilities (a) of Parent or any Subsidiary or former Subsidiary of Parent or any of their Affiliates for Taxes resulting from (i) the assets or activities of the Telemynd Business, the Telemynd Assets or the transactions contemplated by this Agreement or (ii) any Permitted Asset Sale or Permitted Parent Reorganization (each as defined in the Merger Agreement) undertaken pursuant to the Merger Agreement, (b) for Taxes of any member of the Telemynd Group for any Pre-Closing Period (including, for the avoidance of doubt, (i) any Straddle Period Taxes allocated to the Pre-Closing Period pursuant to Section 8.06 and (ii) any Taxes resulting from the transactions contemplated by this Agreement), (c) for Taxes of any member of the Telemynd Group resulting from any Permitted Asset Sale or Permitted Parent Reorganization (each as defined in the Merger Agreement) undertaken pursuant to the Merger Agreement, (d) for any Transfer Taxes, (e) for Parent Transaction Taxes and (f) for the avoidance of any doubt, any Taxes of Telemynd or any Affiliate thereof for a Post-Closing Period (including any Straddle Period Taxes allocated to the Post-Closing Period pursuant to Section 8.06); provided, however, that Telemynd Taxes shall not include any Taxes that arise as a result of any actions taken by Parent or any Affiliate of Parent on or after the Closing Date of the Merger, that are outside of the ordinary course, other than, for the avoidance of any doubt, any Taxes of Parent or any Subsidiary or former Subsidiary of Parent or any of their Affiliates or any member of the Telemynd Group or any of their Affiliates arising as a result of the transactions contemplated by this Agreement, including the Section 336(e) Election.
“Third Party” shall mean any Person other than the Parties or any members of their respective Groups.
“Third-Party Claim” shall have the meaning set forth in Section 4.05(a). “Transfer Documents” shall have the meaning set forth in Section 2.01(b).
“Transfer Taxes” means all sales, use, transfer, real property transfer, intangible, recordation, registration, documentary, stamp or similar Taxes imposed on the Separation or the Distribution.
“Transferred Entities” shall mean the entities set forth on Schedule 1.1.
“Unreleased Telemynd Liability” shall have the meaning set forth in Section 2.06(b).
ARTICLE II.
THE SEPARATION
Section 2.01 Transfer of Assets and Assumption of Liabilities.
(a) On or prior to the Effective Time, but in any case prior to the Distribution:
(i) Transfer and Assignment of Telemynd Assets. Parent shall contribute, assign, transfer, convey and deliver to Telemynd, and Telemynd shall accept from Parent, all of Parent’s direct or indirect right, title and interest in and to all of the Telemynd Assets (it being understood that if any Telemynd Asset shall be held by a Transferred Entity or a wholly owned Subsidiary of a Transferred Entity, such Telemynd Asset may be assigned, transferred, conveyed and delivered to Telemynd as a result of the transfer of all of the equity interests in such Transferred Entity from Parent to Telemynd);
Annex B - 8
(ii) Acceptance and Assumption of Telemynd Liabilities. Telemynd shall accept, assume and agree faithfully to perform, discharge and fulfill all the Telemynd Liabilities, including Telemynd Liabilities held by Parent, and Telemynd and the applicable members of the Telemynd Group shall be responsible for all Telemynd Liabilities in accordance with their respective terms (it being understood that if any Telemynd Liability is a liability of a Transferred Entity or a wholly owned Subsidiary of a Transferred Entity, such Telemynd Liability may be assumed by Telemynd as a result of the transfer of all of the equity interests in such Transferred Entity from Parent to Telemynd). Telemynd shall be responsible for all Telemynd Liabilities, regardless of when or where such Telemynd Liabilities arose or arise, or whether the facts on which they are based occurred prior to or subsequent to the Effective Time, regardless of where or against whom such Telemynd Liabilities are asserted or determined (including any Telemynd Liabilities arising out of claims made by Parent’s or Telemynd’s respective directors, officers, employees, agents, Subsidiaries or Affiliates against any member of the Parent Group or the Telemynd Group) or whether asserted or determined prior to the date hereof;
(b) Transfer Documents. In furtherance of the contribution, assignment, transfer, conveyance and delivery of the Assets and the assumption of the Liabilities in accordance with Section 2.01(a), (i) each Party shall execute and deliver, and shall cause the applicable members of its Group to execute and deliver, to the other Party, such bills of sale, quitclaim deeds, stock powers, certificates of title, assignments of contracts and other instruments of transfer, conveyance and assignment as and to the extent necessary to evidence the transfer, conveyance and assignment of all of such Party’s and the applicable members of its Group’s right, title and interest in and to such Assets to the other Party and the applicable members of its Group in accordance with Section 2.01(a), and (ii) each Party shall execute and deliver, and shall cause the applicable members of its Group to execute and deliver, to the other Party, such assumptions of contracts and other instruments of assumption as and to the extent necessary to evidence the valid and effective assumption of the Liabilities by such Party and the applicable members of its Group in accordance with Section 2.01(a). All of the foregoing documents contemplated by this Section 2.01(b) shall be referred to collectively herein as the “Transfer Documents.” The Transfer Documents shall effect certain of the transactions contemplated by this Agreement and, notwithstanding anything in this Agreement to the contrary, shall not expand or limit any of the obligations, covenants or agreements in this Agreement. It is expressly agreed that in the event of any conflict between the terms of the Transfer Documents and the terms of this Agreement, the terms of this Agreement shall control.
(c) Misallocations. In the event that at any time or from time to time (whether prior to, at or after the Effective Time), one Party (or any member of such Party’s Group) shall receive or otherwise possess any Asset that is allocated to the other Party (or any member of such Party’s Group) pursuant to this Agreement or any Ancillary Agreement, such Party shall promptly transfer, or cause to be transferred, such Asset to the Party so entitled thereto (or to any member of such Party’s Group), and such Party (or member of such Party’s Group) shall accept such Asset. Prior to any such transfer, the Person receiving or possessing such Asset shall hold such Asset in trust for such other Person. In the event that at any time or from time to time (whether prior to, at or after the Effective Time), one Party hereto (or any member of such Party’s Group) shall be liable for or otherwise assume any Liability that is allocated to the other Party (or any member of such Party’s Group) pursuant to this Agreement or any Ancillary Agreement, such other Party shall promptly assume, or cause to be assumed, such Liability and agree to faithfully perform such Liability.
(d) Intellectual Property Rights. If and to the extent that, as a matter of Law in any jurisdiction, Parent or the applicable members of its Group cannot assign, transfer or convey any of Parent’s or such Parent Group members’ respective direct or indirect right, title and interest in and to any Technology, Software or Intellectual Property included in the Telemynd Assets, then, to the extent possible, Parent shall, and shall cause the applicable members of its Group to, irrevocably grant to Telemynd an exclusive, irrevocable, assignable, transferable, sublicenseable, worldwide, perpetual, royalty-free license to use, exploit and commercialize in any manner now known or in the future discovered and for whatever purpose, any such right, title or interest.
Section 2.02 Telemynd Assets. Subject to Section 2.05, “Telemynd Assets” shall include:
(a) all issued and outstanding capital stock or other equity interests of the Transferred Entities that are owned by either Party or any members of its Group as of the Effective Time;
(b) all Assets of either Party or any members of its Group included or reflected as assets of the Telemynd Group on the Telemynd Balance Sheet, subject to any dispositions of such Assets subsequent to the date of the Telemynd Balance Sheet; provided that the amounts set forth on the Telemynd Balance Sheet with respect to any Assets shall not be treated as minimum amounts or limitations on the amount of such Assets that are included in the definition of Telemynd Assets pursuant to this clause (b);
Annex B - 9
(c) all Assets of either Party or any of the members of its Group as of the Effective Time that are of a nature or type that would have resulted in such Assets being included as Assets of Telemynd or members of the Telemynd Group on a pro forma combined balance sheet of the Telemynd Group or any notes or subledgers thereto as of the Effective Time (were such balance sheet, notes and subledgers to be prepared on a basis consistent with the determination of the Assets included on the Telemynd Balance Sheet), it being understood that (y) the Telemynd Balance Sheet shall be used to determine the types of, and methodologies used to determine, those Assets that are included in the definition of Telemynd Assets pursuant to this clause (c); and (z) the amounts set forth on the Telemynd Balance Sheet with respect to any Assets shall not be treated as minimum amounts or limitations on the amount of such Assets that are included in the definition of Telemynd Assets pursuant to this clause (iii);
(d) all Assets of either Party or any of the members of its Group as of the Effective Time that are expressly provided by any provision of this Agreement or any Ancillary Agreement as Assets to be transferred to or owned by Telemynd or any other member of the Telemynd Group;
(e) all Telemynd Contracts as of the Effective Time and all rights, interests or claims of either Party or any of the members of its Group thereunder as of the Effective Time;
(f) all Telemynd Permits as of the Effective Time and all rights, interests or claims of either Party or any of the members of its Group thereunder as of the Effective Time;
(g) to the extent not already identified in clauses (a) through (f) of this Section 2.02, all Assets of either Party or any of the members of its Group as of the Effective Time that are used or held for use in the Telemynd Business; and
(h) all rights to the Telemynd Name and Telemynd Marks.
Section 2.03 Telemynd Liabilities; Parent Liabilities.
(a) Telemynd Liabilities. Subject to Section 2.05, for the purposes of this Agreement, “Telemynd Liabilities” shall mean the following Liabilities of either Party or any of the members of its Group:
(i) all Liabilities included or reflected as liabilities or obligations of Telemynd or the members of the Telemynd Group on the Telemynd Balance Sheet, subject to any discharge of such Liabilities subsequent to the date of the Telemynd Balance Sheet; provided that the amounts set forth on the Telemynd Balance Sheet with respect to any Liabilities shall not be treated as minimum amounts or limitations on the amount of such Liabilities that are included in the definition of Telemynd Liabilities pursuant to this clause (i);
(ii) all Liabilities as of the Effective Time that are of a nature or type that would have resulted in such Liabilities being included or reflected as liabilities or obligations of Telemynd or the members of the Telemynd Group on a pro forma combined balance sheet of the Telemynd Group or any notes or subledgers thereto as of the Effective Time (were such balance sheet, notes and subledgers to be prepared on a basis consistent with the determination of the Liabilities included on the Telemynd Balance Sheet ), it being understood that (x) the Telemynd Balance Sheet shall be used to determine the types of, and methodologies used to determine, those Liabilities that are included in the definition of Telemynd Liabilities pursuant to this clause (ii); and (y) the amounts set forth on the Telemynd Balance Sheet with respect to any Liabilities shall not be treated as minimum amounts or limitations on the amount of such Liabilities that are included in the definition of Telemynd Liabilities pursuant to this clause (ii);
(iii) all Liabilities relating to, arising out of or resulting from the actions, inactions, events, omissions, conditions, facts or circumstances occurring or existing prior to, at or after the Effective Time (whether or not such Liabilities cease being contingent, mature, become known, are asserted or foreseen, or accrue, in each case before, at or after the Effective Time), in each case to the extent that such Liabilities relate to, arise out of or result from the Telemynd Business or a Telemynd Asset;
(iv) any and all Liabilities that are expressly provided by this Agreement or any Ancillary Agreement (or the Schedules hereto or thereto) as Liabilities to be assumed by Telemynd or any other member of the Telemynd Group, and all agreements, obligations and Liabilities of any member of the Telemynd Group under this Agreement or any of the Ancillary Agreements;
Annex B - 10
(v) any and all Liabilities relating to, arising out of or resulting from the Telemynd Contracts, or the Telemynd Permits;
(vi) any and all MYnd California Taxes; and
(vii) all Liabilities arising out of claims made by any Third Party (including Parent’s or Telemynd’s respective directors, officers, stockholders, employees and agents) against any member of the Parent Group or the Telemynd Group to the extent relating to, arising out of or resulting from the Telemynd Business or the Telemynd Assets or the other business, operations, activities or Liabilities referred to in clauses (i) through (vi) above;
(b) Parent Liabilities. For the purposes of this Agreement, “Parent Liabilities” shall mean the following Liabilities of either Party or any of the members of its Group:
(i) all Liabilities relating to, arising out of or resulting from actions, inactions, events, omissions, conditions, facts or circumstances occurring or existing prior to, at or after the Effective Time (whether or not such Liabilities cease being contingent, mature, become known, are asserted or foreseen, or accrue, in each case before, at or after the Effective Time) of any member of the Parent Group and, prior to the Effective Time, any member of the Telemynd Group, in each case, to the extent that such Liabilities are not Telemynd Liabilities;
(ii) all Liabilities that are expressly provided by this Agreement or any Ancillary Agreement (or the Schedules hereto or thereto) as Liabilities to be assumed by Parent or any other member of the Parent Group, and all agreements, obligations and Liabilities of any member of the Parent Group under this Agreement or any of the Ancillary Agreements;
(iii) all Liabilities arising out of claims made by any Third Party (including Parent’s or Telemynd’s respective directors, officers, stockholders, employees and agents) against any member of the Parent Group or the Telemynd Group to the extent relating to, arising out of or resulting from the Parent Business or the Parent Group’s assets or the other business, operations, activities or Liabilities referred to in clauses (i) through (ii) above, in each case, to the extent that such Liabilities are not Telemynd Liabilities; and
(iv) any and all Parent Taxes.
Section 2.04 Approvals and Notifications for Telemynd Assets. To the extent that the transfer or assignment of any Telemynd Asset, the assumption of any Telemynd Liability, the Separation, or the Distribution requires any Approvals or Notifications, the Parties shall use their commercially reasonable efforts to obtain or make such Approvals or Notifications as soon as reasonably practicable; provided, however, that, except to the extent expressly provided in this Agreement or any of the Ancillary Agreements or as otherwise agreed between Parent and Telemynd, neither Parent nor Telemynd shall be obligated to contribute capital or pay any consideration in any form (including providing any letter of credit, guaranty or other financial accommodation) to any Person in order to obtain or make such Approvals or Notifications.
Section 2.05 Delayed Telemynd Transfers.
(a) Delayed Telemynd Transfers. If and to the extent that the valid, complete and perfected transfer or assignment to the Telemynd Group of any Telemynd Asset or assumption by the Telemynd Group of any Telemynd Liability in connection with the Separation or the Distribution would (i) be a violation of applicable Law or regulation, (b) require any Approvals or Notifications that have not been obtained or made by the Effective Time or (c) be, as determined by Telemynd in its sole consent prior to the Effective Time to be detrimental to the Separation or the Distribution or to the Telemynd Group, then, unless the Parties mutually shall otherwise determine, the transfer or assignment to the Telemynd Group of such Telemynd Assets or the assumption by the Telemynd Group of such Telemynd Liabilities, as the case may be, shall be automatically deemed deferred and any such purported transfer, assignment or assumption shall be null and void until such time as all legal impediments are removed or such Approvals or Notifications have been obtained or made. Notwithstanding the foregoing, any such Telemynd Assets or Telemynd Liabilities shall continue to constitute Telemynd Assets and Telemynd Liabilities for all other purposes of this Agreement.
Annex B - 11
(b) Treatment of Delayed Telemynd Assets and Delayed Telemynd Liabilities. If any transfer or assignment of any Telemynd Asset (or a portion thereof) or any assumption of any Telemynd Liability (or a portion thereof) intended to be transferred, assigned or assumed hereunder, as the case may be, is not consummated on or prior to the Effective Time, whether as a result of the provisions of Section 2.04 or for any other reason (any such Telemynd Asset (or a portion thereof), a “Delayed Telemynd Asset” and any such Telemynd Liability (or a portion thereof), a “Delayed Telemynd Liability”), then, insofar as reasonably possible and subject to applicable Law, the member of the Parent Group retaining such Delayed Telemynd Asset or such Delayed Telemynd Liability, as the case may be, shall thereafter hold such Delayed Telemynd Asset or Delayed Telemynd Liability for the use and benefit (or the performance and obligation, in the case of a Liability) of the member of the Telemynd Group entitled thereto (at the expense of the member of the Telemynd Group entitled thereto). In addition, the member of the Parent Group retaining such Delayed Telemynd Asset or such Delayed Telemynd Liability shall, insofar as reasonably possible and to the extent permitted by applicable Law, treat such Delayed Telemynd Asset or Delayed Telemynd Liability in the ordinary course of business in accordance with past practice and take such other actions as may be reasonably requested by the member of the Telemynd Group to whom such Delayed Telemynd Asset is to be transferred or assigned, or which will assume such Delayed Telemynd Liability, as the case may be, in order to place such member of the Telemynd Group in a substantially similar position as if such Delayed Telemynd Asset or Delayed Telemynd Liability had been transferred, assigned or assumed as contemplated hereby and so that all the benefits and burdens relating to such Delayed Telemynd Asset or Delayed Telemynd Liability, as the case may be, including use, risk of loss, potential for gain, and dominion, control and command over such Delayed Telemynd Asset or Delayed Telemynd Liability, as the case may be, and all costs, Taxes and expenses related thereto, shall inure from and after the Effective Time to the Telemynd Group.
(c) Transfer of Delayed Telemynd Assets and Delayed Telemynd Liabilities. If and when the Approvals or Notifications, the absence of which caused the deferral of transfer or assignment of any Delayed Telemynd Asset or the deferral of assumption of any Delayed Telemynd Liability pursuant to Section 2.05(a), are obtained or made, and, if and when any other legal impediments for the transfer or assignment of any Delayed Telemynd Asset or the assumption of any Delayed Telemynd Liability have been removed, the transfer or assignment of the applicable Delayed Telemynd Asset or the assumption of the applicable Delayed Telemynd Liability, as the case may be, shall be effected in accordance with the terms of this Agreement and/or the applicable Ancillary Agreement.
(d) Costs for Delayed Telemynd Assets and Delayed Telemynd Liabilities. Except as otherwise agreed in writing between the Parties, any member of the Parent Group retaining a Delayed Telemynd Asset or Delayed Telemynd Liability due to the deferral of the transfer or assignment of such Delayed Telemynd Asset or the deferral of the assumption of such Delayed Telemynd Liability, as the case may be, shall not be obligated, in connection with the foregoing, to expend any more than $250,000 in the aggregate, unless the necessary funds in excess of $250,000 are advanced (or otherwise made available) by Telemynd, other than reasonable out-of-pocket expenses, reasonable attorneys’ fees and recording or similar fees, all of which and any Taxes imposed on any member of the Parent Group solely as a result of retaining a Delayed Telemynd Asset or Delayed Telemynd Liability shall be promptly reimbursed by Telemynd or the member of the Telemynd Group entitled to such Delayed Telemynd Asset or Delayed Telemynd Liability.
(e) Decisions Regarding Delayed Telemynd Assets and Delayed Telemynd Liabilities.
(i) For so long as Parent continues to own any Delayed Telemynd Asset or Delayed Telemynd Liability, Parent shall take all action required to nominate to its board of directors one Person nominated by Telemynd (the “Telemynd Director”).
(ii) Until the first anniversary of the Distribution Date, any and all decisions with respect to any transfer, sale or other disposition of any Delayed Telemynd Asset or Delayed Telemynd Liability shall be made only with the consent of the Telemynd Director. During such year, Parent shall use its commercially reasonable efforts to maintain the value of the Delayed Telemynd Assets.
(iii) If any Delayed Telemynd Asset or Delayed Telemynd Liability is sold or transferred to a Third Party on or before the first anniversary of the Distribution Date, subject to Section 2.05(d), any and all net proceeds (in cash or otherwise) from such sale or transfer shall be promptly, and in any case within three (3) business days, be paid or transferred to Telemynd, net of without duplication (i) the amount of any Taxes imposed on, related to, or attributable to, the receipt or accrual of such proceeds, (ii) any reasonable out-of-pocket expenses incurred in obtaining such proceeds and (iii) any Tax required to be withheld on such payment or transfer to the extent required under Section 2.11 (and subject to, for the avoidance of doubt, any limitations on such withholding set forth in Section 2.11).
Annex B - 12
Section 2.06 Assignment and Novation of Telemynd Liabilities.
(a) Each of Parent and Telemynd, at the request of the other, shall use its commercially reasonable efforts to obtain, or to cause to be obtained, as soon as reasonably practicable, any consent, substitution, approval or amendment required to novate or assign all Telemynd Liabilities and obtain in writing the unconditional release of each member of the Parent Group that is a party to any such arrangements, so that, in any such case, the members of the Telemynd Group shall be solely responsible for such Telemynd Liabilities; provided, however, that, except as otherwise expressly provided in this Agreement or any of the Ancillary Agreements, neither Parent nor Telemynd shall be obligated to contribute any capital or pay any consideration in any form (including providing any letter of credit, guaranty or other financial accommodation) to any third Person from whom any such consent, substitution, approval, amendment or release is requested.
(b) If Parent or Telemynd is unable to obtain, or to cause to be obtained, any such required consent, substitution, approval, amendment or release and the applicable member of the Parent Group continues to be bound by such agreement, lease, license or other obligation or Liability (each, an “Unreleased Telemynd Liability”), Telemynd shall, to the extent not prohibited by Law, indemnify or guarantee fully all the obligations or other Liabilities of such member of the Parent Group that constitute Unreleased Telemynd Liabilities from and after the Effective Time. If and when any such consent, substitution, approval, amendment or release shall be obtained or the Unreleased Telemynd Liabilities shall otherwise become assignable or able to be novated, Parent shall promptly assign, or cause to be assigned, and Telemynd or the applicable Telemynd Group member shall assume, such Unreleased Telemynd Liabilities without exchange of further consideration.
(c) Release of Guarantees. On or prior to the Effective Time or as soon as practicable thereafter, each of Parent and Telemynd shall, with the reasonable cooperation of such other Party and the applicable members of such other Party’s Group, use commercially reasonable efforts to have any members of the Parent Group removed as guarantor of or obligor for any Telemynd Liability, other than any Telemynd Liability set forth on Schedule 2.06(c). If Parent or Telemynd is unable to obtain, or to cause to be obtained, any such required removal or release, (i) the Party or the relevant member of its Group that is responsible pursuant to this Agreement for the Liability associated with such guarantee shall indemnify, defend and hold harmless the guarantor or obligor, as applicable, against or from any Liability arising from or relating thereto in accordance with the provisions of Article IV and shall, as agent or subcontractor for such guarantor or obligor, pay, perform and discharge fully all the obligations or other Liabilities of such guarantor or obligor thereunder; and (ii) each of Parent and Telemynd, on behalf of itself and the other members of their respective Group, agree not to renew or extend the term of, increase any obligations under, or transfer to a Third Party, any loan, guarantee, lease, contract or other obligation for which the other Party or a member of its Group is or may be liable unless all obligations of such other Party and the members of such other Party’s Group with respect thereto are thereupon terminated by documentation satisfactory in form and substance to such other Party.
Section 2.07 Termination of Agreements.
(a) Except for this Agreement, Telemynd and each member of the Telemynd Group, on the one hand, and Parent and each member of the Parent Group, on the other hand, hereby terminate any and all agreements, arrangements, commitments or understandings, whether or not in writing, between or among Telemynd and/or any member of the Telemynd Group, on the one hand, and Parent and/or any member of the Parent Group, on the other hand, effective as of the Effective Time. No such terminated agreement, arrangement, commitment or understanding (including any provision thereof which purports to survive termination) shall be of any further force or effect after the Effective Time. Each Party shall, at the reasonable request of the other Party, take, or cause to be taken, such other actions as may be necessary to effect the foregoing.
(b) All of the intercompany accounts receivable and accounts payable between any member of the Parent Group, on the one hand, and any member of the Telemynd Group, on the other hand, outstanding as of the Effective Time, shall be repaid or settled following the Effective Time in the ordinary course of business or, if otherwise mutually agreed prior to the Effective Time by duly authorized representatives of Parent and Telemynd, cancelled.
Section 2.08 Bank Accounts; Cash Balances; Cash Transfers.
(a) Each Party agrees to take, or cause the members of its Group to take, at the Effective Time (or such earlier time as the Parties may agree), all actions necessary to amend all contracts or agreements governing each bank and brokerage account owned by Telemynd or any other member of the Telemynd Group (collectively, the “Telemynd Accounts”) and all contracts or agreements governing each bank or brokerage account owned by Parent or any other member of the Parent Group (collectively, the “Parent Accounts”) so that each such Telemynd Account and Parent Account, if currently linked (whether by automatic withdrawal, automatic deposit or any other authorization to transfer funds from or to) to any Parent Account or Telemynd Account, respectively, is de-linked from such Parent Account or Telemynd Account, respectively.
Annex B - 13
(b) It is intended that, following consummation of the actions contemplated by Section 2.09(a), there will be in place a cash management process pursuant to which the Telemynd Accounts will be managed and funds collected will be transferred into one or more accounts maintained by Telemynd or a member of the Telemynd Group.
(c) It is intended that, following consummation of the actions contemplated by Section 2.09(a), there will continue to be in place a cash management process pursuant to which the Parent Accounts will be managed and funds collected will be transferred into one or more accounts maintained by Parent or a member of the Parent Group.
(d) With respect to any outstanding checks issued or payments initiated by Parent, Telemynd, or any of the members of their respective Groups prior to the Effective Time, such outstanding checks and payments shall be honored following the Effective Time by the Person or Group owning the account on which the check is drawn or from which the payment was initiated, respectively.
(e) As between Parent and Telemynd (and the members of their respective Groups), all payments made and reimbursements received after the Effective Time by either Party (or member of its Group) that relate to a business, Asset or Liability of the other Party (or member of its Group), shall be held by such Party in trust for the use and benefit of the Party entitled thereto and, promptly following receipt by such Party of any such payment or reimbursement, such Party shall pay over, or shall cause the applicable member of its Group to pay over to the other Party the amount of such payment or reimbursement net of (i) the amount of any Taxes imposed on, related to, or attributable to, the receipt or accrual of such payment or reimbursement, (ii) any reasonable out-of-pocket expenses incurred in obtaining such payment or reimbursement and (iii) any Tax required to be withheld on such payment to the extent required under Section 2.11 (and subject to, for avoidance of doubt, any limitations on such withholding set forth in Section 2.11).
(f) Cash Transfer at the Effective Time. At the Effective Time, Parent shall contribute from Parent’s cash to Telemynd a cash payment in an amount to be determined by Parent and Telemynd prior to the Effective Time. Such amount shall not exceed Parent’s cash balance prior to the Effective Time.
(g) Post-Closing Cash Transfers. After the Effective Time, Parent shall make additional cash payments to Telemynd, not to exceed $2,500,000 in the aggregate, from all cash received by Parent as a result of the exercise of any warrants or stock options of Parent that were in effect prior to the Effective Time, to the extent that the proceeds from such warrant and option exercises exceeds $500,000, and less all such proceeds, if any, theretofore transferred or paid by Parent to Telemynd pursuant to this Agreement after the Effective Time.
(h) Certain Required Issuances of Parent Shares to Telemynd After Closing. If Parent (or any member of the Parent Group) converts any Company Indebtedness (as defined in the Merger Agreement) into equity during the six (6) month period after the closing of the Merger, Parent will issue to Telemynd a number of shares of the same class of stock issued in connection with such conversion equal to 5.9% of the total number of shares issued in such debt conversion which are in excess of the number of shares already included in the calculation of the Exchange Ratio (as defined in the Merger Agreement). In addition, if any exchange ratio applicable to any Company Warrants, Company Convertible Notes or Company Debentures (each as defined in the Merger Agreement) is reduced during the six (6) month period after the closing of the Merger for any reason, Parent will issue to Telemynd a number of shares of Parent common stock equal to 5.9% of the total number of shares that may be issued upon conversion of any Company Warrants, Company Convertible Notes or Company Debentures (each as defined in the Merger Agreement) which are in excess of the number of shares already included in the calculation of the Exchange Ratio (as defined in the Merger Agreement).
Section 2.09 Ancillary Agreements. Effective on or prior to the Effective Time, each of Parent and Telemynd will, or will cause the applicable members of their Groups to, execute and deliver all Ancillary Agreements to which it is a party.
Annex B - 14
Section 2.10 Disclaimer of Representations and Warranties. EACH OF PARENT (ON BEHALF OF ITSELF AND EACH MEMBER OF THE PARENT GROUP) AND TELEMYND (ON BEHALF OF ITSELF AND EACH MEMBER OF THE TELEMYND GROUP) UNDERSTANDS AND AGREES THAT, EXCEPT AS EXPRESSLY SET FORTH HEREIN OR IN ANY ANCILLARY AGREEMENT, NO PARTY TO THIS AGREEMENT, ANY ANCILLARY AGREEMENT OR ANY OTHER AGREEMENT OR DOCUMENT CONTEMPLATED BY THIS AGREEMENT, ANY ANCILLARY AGREEMENT OR OTHERWISE, IS REPRESENTING OR WARRANTING IN ANY WAY AS TO THE ASSETS, BUSINESSES OR LIABILITIES TRANSFERRED OR ASSUMED AS CONTEMPLATED HEREBY OR THEREBY, AS TO ANY CONSENTS OR APPROVALS REQUIRED IN CONNECTION THEREWITH (INCLUDING WITHOUT LIMITATION GOVERNMENTAL APPROVALS OR PERMITS OF ANY KIND), AS TO THE VALUE OR FREEDOM FROM ANY SECURITY INTERESTS OF, OR ANY OTHER MATTER CONCERNING, ANY ASSETS OF SUCH PARTY, OR AS TO THE ABSENCE OF ANY DEFENSES OR RIGHT OF SETOFF OR FREEDOM FROM COUNTERCLAIM WITH RESPECT TO ANY CLAIM OR OTHER ASSET, INCLUDING ANY ACCOUNTS RECEIVABLE, OF ANY PARTY, OR AS TO THE LEGAL SUFFICIENCY OF ANY ASSIGNMENT, DOCUMENT OR INSTRUMENT DELIVERED HEREUNDER TO CONVEY TITLE TO ANY ASSET OR THING OF VALUE UPON THE EXECUTION, DELIVERY AND FILING HEREOF OR THEREOF. EXCEPT AS MAY EXPRESSLY BE SET FORTH HEREIN OR IN ANY ANCILLARY AGREEMENT, ALL SUCH ASSETS ARE BEING TRANSFERRED ON AN “AS IS,” “WHERE IS” BASIS AND THE RESPECTIVE TRANSFEREES SHALL BEAR THE ECONOMIC AND LEGAL RISKS THAT (I) ANY CONVEYANCE WILL PROVE TO BE INSUFFICIENT TO VEST IN THE TRANSFEREE GOOD AND MARKETABLE TITLE, FREE AND CLEAR OF ANY SECURITY INTEREST, AND (II) ANY NECESSARY APPROVALS OR NOTIFICATIONS ARE NOT OBTAINED OR MADE OR THAT ANY REQUIREMENTS OF LAWS OR JUDGMENTS ARE NOT COMPLIED WITH.
Section 2.11 Withholding. Each member of the Parent Group shall be entitled to deduct and withhold from the consideration otherwise payable pursuant to this Agreement such amounts as are required to be deducted and withheld with respect to the making of such payment under the Code or any provision of state, local or non-U.S. Tax Law and shall be entitled to request any reasonably appropriate Tax forms, including an IRS Form W-9 (or the appropriate IRS Form W-8, as applicable), from any recipient of payments hereunder; provided that the Parties shall cooperate and undertake commercially reasonable efforts to minimize or avoid withholding, and the applicable withholding agent shall use best efforts to provide written notice (to the applicable Party) of any intention to withhold (other than any such withholding that is imposed on consideration that is properly treated as compensation for applicable income, employment and/or payroll Tax purposes) at least five (5) business days before the making of such payment. To the extent that amounts are so withheld, such withheld amounts (i) subject to (ii), shall be treated for all purposes of this Agreement as having been paid to the Person in respect of whom such deduction and withholding was made, and (ii) shall be remitted by the applicable withholding agent to the applicable Governmental Authority.
ARTICLE III.
THE DISTRIBUTION
Section 3.01 Sole and Absolute Discretion; Cooperation.
(a) Parent shall, in its sole and absolute discretion, determine the terms of the Distribution, including the form, structure and terms of any transactions and/or offerings to effect the Distribution and the timing and conditions to the consummation of the Distribution. In addition, Parent may, at any time and from time to time until the consummation of the Distribution, modify or change the terms of the Distribution, including by accelerating or delaying the timing of the consummation of all or part of the Distribution. Nothing shall in any way limit Parent’s right to terminate this Agreement or the Distribution as set forth in Article IX or alter the consequences of any such termination from those specified in Article IX.
(b) Telemynd shall cooperate with Parent to accomplish the Distribution and shall, at Parent’s direction, promptly take any and all actions necessary or desirable to effect the Distribution, including in respect of the registration under the Exchange Act of Telemynd Shares on the Form 10. Parent shall select any investment bank or manager in connection with the Distribution, as well as any financial printer, solicitation and/or exchange agent and financial, legal, accounting and other advisors for Parent. Telemynd and Parent, as the case may be, will provide to the Agent any information required in order to complete the Distribution.
Section 3.02 Actions Prior to the Distribution. Prior to the Effective Time and subject to the terms and conditions set forth herein, the Parties shall take, or cause to be taken, the following actions in connection with the Distribution:
(a) Notice to Nasdaq. Parent shall, to the extent possible, give Nasdaq not less than ten (10) days’ advance notice of the Record Date in compliance with Rule 10b-17 under the Exchange Act.
Annex B - 15
(b) Telemynd Directors and Officers. On or prior to the Distribution Date, Parent and Telemynd shall take all necessary actions so that as of the Effective Time: (i) the directors and executive officers of Telemynd shall be those set forth in the Form 10, unless otherwise agreed by the Parties; and (ii) Telemynd shall have such other officers as Telemynd shall appoint.
(c) Quotation or Listing of the Telemynd Shares. Telemynd shall prepare and file, and shall use its reasonable best efforts to have approved, an application for (i) listing of the Telemynd Shares to be distributed in the Distribution on NASDAQ, subject to official notice of distribution; or (ii) the quotation of the Telemynd Shares to be distributed in the Distribution on the OTCQB Venture Market of the OTC Markets Group, Inc., subject to official notice of distribution.
(d) Securities Law Matters. Telemynd shall file any amendments or supplements to the Form 10 as may be necessary or advisable in order to cause the Form 10 to become and remain effective as required by the SEC or federal, state or other applicable securities Laws.
(e) Parent Cooperation. Parent and Telemynd shall cooperate in preparing, filing with the SEC and causing to become effective registration statements or amendments thereof which are required to reflect the establishment of, or amendments to, any employee benefit and other plans necessary or advisable in connection with the transactions contemplated by this Agreement and the Ancillary Agreements. Parent and Telemynd will prepare, and Telemynd will, to the extent required under applicable Law, file with the SEC, any such documentation and any requisite no-action letters which Parent determines are necessary or desirable to effectuate the Distribution, and Parent and Telemynd shall each use its reasonable best efforts to obtain all necessary approvals from the SEC with respect thereto as soon as practicable. Parent and Telemynd shall take all such action as may be necessary or appropriate under the securities or blue sky laws of the United States (and any comparable Laws under any foreign jurisdiction) in connection with the Distribution.
(f) The Distribution Agent. Parent shall enter into a distribution agent agreement with the Agent or otherwise provide instructions to the Agent regarding the Distribution.
(g) Stock-Based Employee Benefit Plans. Parent and Telemynd shall take all actions as may be necessary to approve the grants of adjusted equity awards by Parent (in respect of Parent Shares) and Telemynd (in respect of Telemynd Shares) in connection with the Distribution in order to satisfy the requirements of Rule 16b-3 under the Exchange Act.
Section 3.03 Conditions to the Distribution.
(a) The consummation of the Distribution will be subject to the satisfaction, or waiver by Parent in its sole and absolute discretion, of the following conditions:
(i) The SEC shall have declared effective the Form 10; no order suspending the effectiveness of the Form 10 shall be in effect; and no proceedings for such purposes shall have been instituted or threatened by the SEC.
(ii) An independent appraisal firm acceptable to Parent shall have delivered one or more opinions to the Parent Board confirming the solvency and financial viability of Parent prior to the Distribution and of Parent and Telemynd after consummation of the Distribution, and such opinions shall be acceptable to Parent in form and substance in Parent’s sole discretion and such opinions shall not have been withdrawn or rescinded;
(iii) The transfer of the Telemynd Assets (other than any Delayed Telemynd Asset) and Telemynd Liabilities (other than any Delayed Telemynd Liability) contemplated to be transferred from Parent to Telemynd on or prior to the Distribution shall have occurred as contemplated by Section 2.01.
(iv) The actions and filings necessary or appropriate under applicable U.S. federal, U.S. state or other securities Laws or blue sky Laws and the rules and regulations thereunder shall have been taken or made, and, where applicable, have become effective or been accepted by the applicable Governmental Authority.
(v) No order, injunction or decree issued by any Governmental Authority of competent jurisdiction or other legal restraint or prohibition preventing the consummation of the Separation, the Distribution or any of the transactions related thereto shall be in effect.
Annex B - 16
(vi) No other events or developments shall exist or shall have occurred that, in the judgment of the Parent Board, in its sole and absolute discretion, makes it inadvisable to effect the Separation, the Distribution or the transactions contemplated by this Agreement or any Ancillary Agreement.
(vii) Parent shall have received from each Record Holder a true, correct and complete IRS Form W-9 or applicable IRS Form W-8, duly executed by such Record Holder on the Distribution Date.
(b) The foregoing conditions are for the sole benefit of Parent and shall not give rise to or create any duty on the part of Parent or the Parent Board to waive or not waive any such condition or in any way limit Parent’s right to terminate this Agreement as set forth in Article IX or alter the consequences of any such termination from those specified in Article IX. Any determination made by the Parent Board prior to the Distribution concerning the satisfaction or waiver of any or all of the conditions set forth in Section 3.03(a) shall be conclusive and binding on the Parties. If Parent waives any material condition, it shall promptly issue a press release disclosing such fact and file a Current Report on Form 8-K with the SEC describing such waiver.
Section 3.04 The Distribution.
(a) Subject to Section 3.03, on or prior to the Effective Time, Telemynd will deliver to the Agent, for the benefit of the Record Holders, book-entry transfer authorizations for such number of the outstanding Telemynd Shares as is necessary to effect the Distribution, and shall cause the transfer agent for the Parent Shares to instruct the Agent to distribute at the Effective Time the appropriate number of Telemynd Shares to each such holder or designated transferee or transferees of such holder by way of direct registration in book-entry form. Telemynd will not issue paper stock certificates in respect of the Telemynd Shares. The Distribution shall be effective at the Effective Time.
(b) Subject to Sections 3.03, 3.04(c) and 3.04(d), each Record Holder will be entitled to receive in the Distribution one Telemynd Share for a number of Parent Share to be determined by Parent and held by such Record Holder on the Record Date or issuable to such Record Holder upon complete conversion or exercise of the Other Parent Securities, as applicable.
(c) Telemynd shall establish a reserve of Telemynd Shares (the “Reserve” and the Telemynd Shares held in the Reserve the “Reserve Shares”) that shall be retained in treasury by Telemynd for distribution to those holders of Other Parent Securities (i) who are prevented by contractual restrictions, including beneficial ownership limitations, from taking possession of Telemynd Shares in the Distribution or (ii) who hold a warrant issued by the Parent giving the holder a contractual right to receive Telemynd Shares issued in the Distribution if and when such warrant is exercised. As and when the contractual restrictions are no longer applicable or the warrants are exercised, Telemynd shall instruct the Agent to distribute from the Reserve the Reserve Shares to any such holder of Other Parent Securities entitled to then receive the Reserve Shares.
(d) No fractional shares will be distributed or credited to book-entry accounts in connection with the Distribution, and any such fractional share interests to which a Record Holder would otherwise be entitled shall not entitle such Record Holder to vote or to any other rights as a stockholder of Telemynd. In lieu of any such fractional shares, Parent will round up fractional shares that recipients of Telemynd Shares will otherwise be entitled to receive.
(e) Until the Telemynd Shares are duly transferred in accordance with this Section 3.04 and applicable Law, from and after the Effective Time, Telemynd will regard the Persons entitled to receive such Telemynd Shares as record holders of Telemynd Shares in accordance with the terms of the Distribution without requiring any action on the part of such Persons. Telemynd agrees that, subject to any transfers of such shares, from and after the Effective Time (i) each such holder will be entitled to receive all dividends, if any, payable on, and exercise voting rights and all other rights and privileges with respect to, the Telemynd Shares then held by such holder, and (ii) each such holder will be entitled, without any action on the part of such holder, to receive evidence of ownership of the Telemynd Shares then held by such holder.
Annex B - 17
ARTICLE IV.
RELEASE; INDEMNIFICATION
Section 4.01 Parent Release of Telemynd. Effective as of the Effective Time, Parent does hereby, for itself and each other member of the Parent Group and their respective successors and assigns, and, to the extent permitted by Law, all Persons who at any time prior to the Effective Time have been stockholders, directors, officers, agents or employees of any member of the Parent Group (in each case, in their respective capacities as such), remise, release and forever discharge (i) Telemynd and the members of the Telemynd Group and their respective successors and assigns, and (ii) all Persons who at any time prior to the Effective Time have been stockholders, directors, officers, agents or employees of any member of the Telemynd Group (in each case, in their respective capacities as such), and their respective heirs, executors, administrators, successors and assigns, from (A) all Parent Liabilities, (B) all Liabilities (other than Telemynd Taxes) arising from or in connection with the transactions and all other activities to implement the Separation and the Distribution (for the avoidance of doubt this clause (B) shall not limit or affect indemnification obligations of the Parties set forth in this Agreement or any Ancillary Agreement) and (C) all Liabilities (other than Telemynd Taxes) arising from or in connection with actions, inactions, events, omissions, conditions, facts or circumstances occurring or existing prior to the Effective Time (whether or not such Liabilities cease being contingent, mature, become known, are asserted or foreseen, or accrue, in each case before, at or after the Effective Time), in each case to the extent relating to, arising out of or resulting from the Parent Business, the Parent Group’s assets or the Parent Liabilities but excluding any Liabilities resulting from actions by any member of the Telemynd Group that are the result of intentional misconduct, wrongdoing, fraud or misrepresentation by such member of the Telemynd Group.
Section 4.02 Indemnification by Telemynd. Except as otherwise specifically set forth in this Agreement or in any Ancillary Agreement, to the fullest extent permitted by Law, Telemynd shall, and shall cause the other members of the Telemynd Group to, indemnify, defend and hold harmless Parent, each member of the Parent Group and each of their respective past, present and future directors, officers, employees and agents, in each case in their respective capacities as such, and each of the heirs, executors, successors and assigns of any of the foregoing (collectively, the “Parent Indemnitees”), from and against any and all Liabilities of the Parent Indemnitees (including for their own contributory negligence) relating to, arising out of or resulting from, directly or indirectly, any of the following items (without duplication); provided, however, that Telemynd shall have no obligation to indemnify any of the Parent Indemnitees with respect to any matter to the extent that such party has engaged in any intentional misconduct, wrongdoing, fraud or misrepresentation:
(a) any Telemynd Liability and Delayed Telemynd Liability;
(b) any failure of Telemynd, any other member of the Telemynd Group or any other Person to pay, perform or otherwise promptly discharge any Telemynd Liabilities in accordance with their terms, whether prior to, on or after the Effective Time;
(c) any breach by Telemynd or any other member of the Telemynd Group of this Agreement or any of the Ancillary Agreements;
(d) except to the extent it relates to a Parent Liability, any guarantee, indemnification or contribution obligation, surety bond or other credit support agreement, arrangement, commitment or understanding for the benefit of any member of the Telemynd Group by any member of the Parent Group that survives following the Distribution; and
(e) any untrue statement or alleged untrue statement of a material fact or omission or alleged omission to state a material fact required to be stated therein or necessary to make the statements therein not misleading, with respect to all information contained in the Form 10 (as amended or supplemented if Telemynd shall have furnished any amendments or supplements thereto) or any other Disclosure Document.
Section 4.03 Indemnification by Parent. Except as otherwise specifically set forth in this Agreement or in any Ancillary Agreement, to the fullest extent permitted by Law, Parent shall, and shall cause the other members of the Parent Group to, indemnify, defend and hold harmless Telemynd, each member of the Telemynd Group and each of their respective past, present and future directors, officers, employees or agents, in each case in their respective capacities as such, and each of the heirs, executors, successors and assigns of any of the foregoing (collectively, the “Telemynd Indemnitees”), from and against any and all Liabilities of the Telemynd Indemnitees (including for their own contributory negligence) relating to, arising out of or resulting from, directly or indirectly, any of the following items (without duplication); provided, however, that Parent shall have no obligation to indemnify any of the Telemynd Indemnitees with respect to any matter to the extent that such party has engaged in any intentional misconduct, wrongdoing, fraud or misrepresentation:
(a) any Parent Liability;
(b) any failure of Parent, any other member of the Parent Group or any other Person to pay, perform or otherwise promptly discharge any Parent Liabilities in accordance with their terms, whether prior to, on or after the Effective Time;
(c) any breach by Parent or any other member of the Parent Group of this Agreement or any of the Ancillary Agreements; and
(d) except to the extent it relates to a Telemynd Liability, any guarantee, indemnification or contribution obligation, surety bond or other credit support agreement, arrangement, commitment or understanding for the benefit of any member of the Parent Group by any member of the Telemynd Group that survives following the Distribution.
Section 4.04 Indemnification Obligations Net of Insurance Proceeds and Other Amounts.
(a) The Parties intend that any Liability subject to indemnification, contribution or reimbursement pursuant to this Article IV or Article V will be net of Insurance Proceeds or other amounts actually recovered (net of any out-of-pocket costs or expenses incurred in the collection thereof) from any Person by or on behalf of the Indemnitee in respect of any indemnifiable Liability. Accordingly, the amount which either Party (an “Indemnifying Party”) is required to pay to any Person entitled to indemnification or contribution hereunder (an “Indemnitee”) will be reduced by any Insurance Proceeds or other amounts actually recovered (net of any out-of-pocket costs or expenses incurred in the collection thereof) from any Person by or on behalf of the Indemnitee in respect of the related Liability. If an Indemnitee receives a payment (an “Indemnity Payment”) required by this Agreement from an Indemnifying Party in respect of any Liability and subsequently receives Insurance Proceeds or any other amounts in respect of such Liability, then within ten (10) calendar days of receipt of such Insurance Proceeds, the Indemnitee will pay to the Indemnifying Party an amount equal to the excess of the Indemnity Payment received over the amount of the Indemnity Payment that would have been due if the Insurance Proceeds or such other amounts (net of any out-of-pocket costs or expenses incurred in the collection thereof) had been received, realized or recovered before the Indemnity Payment was made.
(b) The Parties agree that an insurer that would otherwise be obligated to pay any claim shall not be relieved of the responsibility with respect thereto or, solely by virtue of any provision contained in this Agreement or any Ancillary Agreement, have any subrogation rights with respect thereto, it being understood that no insurer or any other Third Party shall be entitled to a “windfall” (i.e., a benefit they would not be entitled to receive in the absence of the indemnification provisions) by virtue of the indemnification and contribution provisions hereof. Each Party shall, and shall cause the members of its Group to, use commercially reasonable efforts (taking into account the probability of success on the merits and the cost of expending such efforts, including reasonable attorneys’ fees and expenses) to collect or recover any Insurance Proceeds that may be collectible or recoverable respecting the Liabilities for which indemnification or contribution may be available under this Article IV. Notwithstanding the foregoing, an Indemnifying Party may not delay making any indemnification payment required under the terms of this Agreement, or otherwise satisfying any indemnification obligation, pending the outcome of any Action to collect or recover Insurance Proceeds, and an Indemnitee need not attempt to collect any Insurance Proceeds prior to making a claim for indemnification or contribution or receiving any Indemnity Payment otherwise owed to it under this Agreement or any Ancillary Agreement.
Section 4.05 Procedures for Indemnification of Third-Party Claims.
(a) Notice of Claims. If, at or following the Effective Time, an Indemnitee shall receive notice or otherwise learn of the assertion by a Person (including any Governmental Authority) who is not a member of the Parent Group or the Telemynd Group of any claim or of the commencement by any such Person of any Action (collectively, a “Third-Party Claim”) with respect to which an Indemnifying Party may be obligated to provide indemnification to such Indemnitee pursuant to Section 4.02 or Section 4.03, or any other Section of this Agreement or any Ancillary Agreement, such Indemnitee shall give such Indemnifying Party written notice thereof as soon as practicable, but in any event within fourteen (14) days (or sooner if the nature of the Third-Party Claim so requires) after becoming aware of such Third-Party Claim. Any such notice shall describe the Third-Party Claim in reasonable detail, including the facts and circumstances giving rise to such claim for indemnification, and include copies of all notices and documents (including court papers) received by the Indemnitee relating to the Third-Party Claim. Notwithstanding the foregoing, the failure of an Indemnitee to provide notice in accordance with this Section 4.05(a) shall not relieve an Indemnifying Party of its indemnification obligations under this Agreement, except to the extent to which the Indemnifying Party is actually prejudiced by the Indemnitee’s failure to provide notice in accordance with this Section 4.05(a).
Annex B - 18
(b) Control of Defense. An Indemnifying Party may elect to defend (and seek to settle or compromise), at its own expense and with its own counsel, any Third-Party Claim; provided that, prior to the Indemnifying Party assuming and controlling defense of such Third-Party Claim, it shall first confirm to the Indemnitee in writing that, assuming the facts presented to the Indemnifying Party by the Indemnitee being true, the Indemnifying Party shall indemnify the Indemnitee for any such damages to the extent resulting from, or arising out of, such Third-Party-Claim. Notwithstanding the foregoing, if the Indemnifying Party assumes such defense and, in the course of defending such Third-Party Claim, (i) the Indemnifying Party discovers that the facts presented at the time the Indemnifying Party acknowledged its indemnification obligation in respect of such Third-Party Claim were not true in all material respects and (ii) such untruth provides a reasonable basis for asserting that the Indemnifying Party does not have an indemnification obligation in respect of such Third-Party Claim, then (A) the Indemnifying Party shall not be bound by such acknowledgment, (B) the Indemnifying Party shall promptly thereafter provide the Indemnitee written notice of its assertion that it does not have an indemnification obligation in respect of such Third-Party Claim and (C) the Indemnitee shall have the right to assume the defense of such Third-Party Claim. Within thirty (30) days after the receipt of a notice from an Indemnitee in accordance with Section 4.05(a) (or sooner, if the nature of the Third-Party Claim so requires), the Indemnifying Party shall provide written notice to the Indemnitee indicating whether the Indemnifying Party shall assume responsibility for defending the Third-Party Claim and specifying any reservations or exceptions to its defense. If an Indemnifying Party elects not to assume responsibility for defending any Third-Party Claim or fails to notify an Indemnitee of its election within thirty (30) days after receipt of the notice from an Indemnitee as provided in Section 4.05(a), then the Indemnitee that is the subject of such Third-Party Claim shall be entitled to continue to conduct and control the defense of such Third-Party Claim.
(c) Allocation of Defense Costs. If an Indemnifying Party has elected to assume the defense of a Third-Party Claim, whether with or without any reservations or exceptions with respect to such defense, then such Indemnifying Party shall be solely liable for all fees and expenses incurred by it in connection with the defense of such Third-Party Claim and shall not be entitled to seek any indemnification or reimbursement from the Indemnitee for any such fees or expenses incurred by the Indemnifying Party during the course of the defense of such Third-Party Claim by such Indemnifying Party, regardless of any subsequent decision by the Indemnifying Party to reject or otherwise abandon its assumption of such defense. If an Indemnifying Party elects not to assume responsibility for defending any Third-Party Claim or fails to notify an Indemnitee of its election within thirty (30) days after receipt of a notice from an Indemnitee as provided in Section 4.5(a), and the Indemnitee conducts and controls the defense of such Third-Party Claim and the Indemnifying Party has an indemnification obligation with respect to such Third-Party Claim, then the Indemnifying Party shall be liable for all reasonable fees and expenses incurred by the Indemnitee in connection with the defense of such Third-Party Claim.
(d) Right to Monitor and Participate. An Indemnitee that does not conduct and control the defense of any Third-Party Claim, or an Indemnifying Party that has failed to elect to defend any Third-Party Claim as contemplated hereby, nevertheless shall have the right to employ separate counsel (including local counsel as necessary) of its own choosing to monitor and participate in (but not control) the defense of any Third-Party Claim for which it is a potential Indemnitee or Indemnifying Party, but the fees and expenses of such counsel shall be at the expense of such Indemnitee or Indemnifying Party, as the case may be, and the provisions of Section 4.05(c) shall not apply to such fees and expenses. Notwithstanding the foregoing, but subject to Sections 6.07 and 6.08, such Party shall cooperate with the Party entitled to conduct and control the defense of such Third-Party Claim in such defense and make available to the controlling Party, at the non-controlling Party’s expense, all witnesses, information and materials in such Party’s possession or under such Party’s control relating thereto as are reasonably required by the controlling Party. In addition to the foregoing, if any Indemnitee shall in good faith determine that such Indemnitee and the Indemnifying Party have actual or potential differing defenses or conflicts of interest between them that make joint representation inappropriate, then the Indemnitee shall have the right to employ separate counsel (including local counsel as necessary) and to participate in (but not control) the defense, compromise, or settlement thereof, and in such case the Indemnifying Party shall bear the reasonable fees and expenses of such counsel for all Indemnitees.
(e) No Settlement. Neither Party may settle or compromise any Third-Party Claim for which either Party is seeking to be indemnified hereunder without the prior written consent of the other Party, which consent may not be unreasonably withheld, unless such settlement or compromise is solely for monetary damages that are fully payable by the settling or compromising Party, does not involve any admission, finding or determination of wrongdoing or violation of Law by the other Party and provides for a full, unconditional and irrevocable release of the other Party from all Liability in connection with the Third-Party Claim. The Parties hereby agree that if a Party presents the other Party with a written notice containing a proposal to settle or compromise a Third-Party Claim for which either Party is seeking to be indemnified hereunder and the Party receiving such proposal does not respond in any manner to the Party presenting such proposal within thirty (30) days (or within any such shorter time period that may be required by applicable Law or court order) of receipt of such proposal, then the Party receiving such proposal shall be deemed to have consented to the terms of such proposal.
Annex B - 19
Section 4.06 Additional Matters.
(a) Timing of Payments. Indemnification or contribution payments in respect of any Liabilities for which an Indemnitee is entitled to indemnification or contribution under this Article IV shall be paid reasonably promptly (but in any event within forty-five (45) days of the final determination of the amount that the Indemnitee is entitled to indemnification or contribution under this Article IV) by the Indemnifying Party to the Indemnitee as such Liabilities are incurred upon demand by the Indemnitee, including reasonably satisfactory documentation setting forth the basis for the amount of such indemnification or contribution payment, including documentation with respect to calculations made and consideration of any Insurance Proceeds that actually reduce the amount of such Liabilities. The indemnity and contribution provisions contained in this Article IV shall remain operative and in full force and effect, regardless of (i) any investigation made by or on behalf of any Indemnitee, and (ii) the knowledge by the Indemnitee of Liabilities for which it might be entitled to indemnification hereunder.
(b) Notice of Direct Claims. Any claim for indemnification or contribution under this Agreement or any Ancillary Agreement that does not result from a Third-Party Claim shall be asserted by written notice given by the Indemnitee to the applicable Indemnifying Party; provided, that the failure by an Indemnitee to so assert any such claim shall not prejudice the ability of the Indemnitee to do so at a later time except to the extent (if any) that the Indemnifying Party is prejudiced thereby. Such Indemnifying Party shall have a period of thirty (30) days after the receipt of such notice within which to respond thereto. If such Indemnifying Party does not respond within such 30-day period, such specified claim shall be conclusively deemed a Liability of the Indemnifying Party under this Section 4.06(b) or, in the case of any written notice in which the amount of the claim (or any portion thereof) is estimated, on such later date when the amount of the claim (or such portion thereof) becomes finally determined. If such Indemnifying Party does not respond within such thirty (30)-day period or rejects such claim in whole or in part, such Indemnitee shall, subject to the provisions of Article VII, be free to pursue such remedies as may be available to such party as contemplated by this Agreement and the Ancillary Agreements, as applicable, without prejudice to its continuing rights to pursue indemnification or contribution hereunder.
(c) Pursuit of Claims Against Third Parties. If (i) a Party incurs any Liability arising out of this Agreement or any Ancillary Agreement; (ii) an adequate legal or equitable remedy is not available for any reason against the other Party to satisfy the Liability incurred by the incurring Party; and (iii) a legal or equitable remedy may be available to the other Party against a Third Party for such Liability, then the other Party shall use its commercially reasonable efforts to cooperate with the incurring Party, at the incurring Party’s expense, to permit the incurring Party to obtain the benefits of such legal or equitable remedy against the Third Party.
(d) Subrogation. In the event of payment by or on behalf of any Indemnifying Party to any Indemnitee in connection with any Third-Party Claim, such Indemnifying Party shall be subrogated to and shall stand in the place of such Indemnitee as to any events or circumstances in respect of which such Indemnitee may have any right, defense or claim relating to such Third-Party Claim against any claimant or plaintiff asserting such Third-Party Claim or against any other Person. Such Indemnitee shall cooperate with such Indemnifying Party in a reasonable manner, and at the cost and expense of such Indemnifying Party, in prosecuting any subrogated right, defense or claim.
Section 4.07 Covenant Not to Sue. Each Party hereby covenants and agrees that none of it, the members of such Party’s Group or any Person claiming through it shall bring suit or otherwise assert any claim against any Indemnitee, or assert a defense against any claim asserted by any Indemnitee, before any court, arbitrator, mediator or administrative agency anywhere in the world, alleging that: (a) the assumption of any Telemynd Liabilities by Telemynd or a member of the Telemynd Group on the terms and conditions set forth in this Agreement and the Ancillary Agreements is void or unenforceable for any reason; (b) the retention of any Parent Liabilities by Parent or a member of the Parent Group on the terms and conditions set forth in this Agreement and the Ancillary Agreements is void or unenforceable for any reason; or (c) the provisions of this Article IV are void or unenforceable for any reason.
Annex B - 20
Section 4.08 Remedies Cumulative. The remedies provided in this Article IV shall be cumulative and, subject to the provisions of Article VIII, shall not preclude assertion by any Indemnitee of any other rights or the seeking of any and all other remedies against any Indemnifying Party.
Section 4.09 Survival of Indemnities. The rights and obligations of each of Parent and Telemynd and their respective Indemnitees under this Article IV shall survive (a) the sale or other transfer by either Party or any member of its Group of any assets or businesses or the assignment by it of any liabilities; or (b) any merger, consolidation, business combination, sale of all or substantially all of its Assets, restructuring, recapitalization, reorganization or similar transaction involving either Party or any of the members of its Group.
ARTICLE V.
CERTAIN OTHER MATTERS
Section 5.01 Insurance Matters.
(a) Parent and Telemynd agree to cooperate in good faith to provide for an orderly transition of insurance coverage from the date hereof through the Effective Time. In no event shall Parent, any other member of the Parent Group or any Parent Indemnitee have Liability or obligation whatsoever to any member of the Telemynd Group in the event that any insurance policy or insurance policy related contract shall be terminated or otherwise cease to be in effect for any reason, shall be unavailable or inadequate to cover any Liability of any member of the Telemynd Group for any reason whatsoever or shall not be renewed or extended beyond the current expiration date.
(b) From and after the Effective Time, with respect to any losses, damages and Liability incurred by any member of the Telemynd Group prior to the Effective Time, Parent will pursue claims, at Telemynd’s sole cost and expense on behalf of Telemynd (with Telemynd entitled to all Insurance Proceeds resulting from or arising out of any such claims) under Parent’s Policies in place immediately prior to the Effective Time (and any extended reporting periods for claims made Policies) and Parent’s historical Policies, but solely to the extent that such Policies provided coverage for members of the Telemynd Group or the Telemynd Business prior to the Effective Time; provided that such right to require Parent to make claims on behalf of Telemynd under such Policies shall be subject to the terms, conditions and exclusions of such Policies, including but not limited to any limits on coverage or scope, any deductibles, self-insured retentions and other fees and expenses, and shall be subject to the following additional conditions:
(i) Telemynd shall provide written notification to Parent of any request for Parent to pursue a claim on behalf Telemynd pursuant to this Section 5.01(b), and Parent shall use commercially reasonable efforts to pursue such claim, at Telemynd’s sole cost and expense, as promptly as is reasonably practicable;
(ii) Telemynd and the members of the Telemynd Group shall indemnify, hold harmless and reimburse Parent and the members of the Parent Group for any deductibles, self-insured retention, fees, indemnity payments, settlements, judgments, legal fees, allocated claims expenses and claim handling fees, and other expenses incurred by Parent or any members of the Parent Group to the extent resulting from any pursuit of claims on behalf of Telemynd or any other members of the Telemynd Group under any insurance provided pursuant to this Section 5.01(b), whether such claims are pursued on behalf of Telemynd, its employees or third Persons; and
(iii) Telemynd shall exclusively bear (and neither Parent nor any members of the Parent Group shall have any obligation to repay or reimburse Telemynd or any member of the Telemynd Group for) and shall be liable for all excluded, uninsured, uncovered, unavailable or uncollectible amounts of all such claims pursued on behalf of Telemynd or any member of the Telemynd Group under the Policies as provided for in this Section 5.01(b).
In the event that any member of the Parent Group incurs any losses, damages or Liability prior to or in respect of the period prior to the Effective Time for which such member of the Parent Group is entitled to coverage under Telemynd’s third-party Policies, the same process pursuant to this Section 5.01(b) shall apply, substituting “Parent” for “Telemynd” and “Telemynd” for “Parent”, including for purposes of the first sentence of Section 5.01(e).
(c) Except as provided in Section 5.01(b), from and after the Effective Time, neither Telemynd nor any member of the Telemynd Group shall have any rights to or under any of the Policies of Parent or any other member of the Parent Group. At the Effective Time, Telemynd shall have in effect all insurance programs required to comply with Telemynd’s contractual obligations and such other Policies required by Law or as reasonably necessary or appropriate for companies operating a business similar to Telemynd’s.
Annex B - 21
(d) In connection with Parent’s pursuit of a claim on behalf of Telemynd or a member of the Telemynd Group under any insurance policy of Parent or any member of the Parent Group pursuant to this Section 5.01, Parent shall not be required to take any action that would be reasonably likely to (i) have a material and adverse impact on the then-current relationship between Parent or any member of the Parent Group, on the one hand, and the applicable insurance company, on the other hand; (ii) result in the applicable insurance company terminating or materially reducing coverage, or materially increasing the amount of any premium owed by Parent or any member of the Parent Group under the applicable insurance policy; or (iii) otherwise compromise, jeopardize or interfere in any material respect with the rights of Parent or any member of the Parent Group under the applicable insurance policy.
(e) All payments and reimbursements by Telemynd pursuant to this Section 5.01 will be made within forty-five (45) days after Telemynd’s receipt of an invoice therefor from Parent. Parent shall retain the exclusive right to control its Policies and programs, including the right to exhaust, settle, release, commute, buy-back or otherwise resolve disputes with respect to any of its Policies and programs and to amend, modify or waive any rights under any such Policies and programs, notwithstanding whether any such Policies or programs apply to any Telemynd Liabilities and/or claims Telemynd has made or could make in the future, and no member of the Telemynd Group shall erode, exhaust, settle, release, commute, buyback or otherwise resolve disputes with Parent’s insurers with respect to any of Parent’s Policies and programs, or amend, modify or waive any rights under any such Policies and programs. Telemynd shall cooperate with Parent and share such information as is reasonably necessary in order to permit Parent to manage and conduct its insurance matters as Parent deems appropriate. Neither Parent nor any member of the Parent Group shall have any obligation to secure extended reporting for any claims under any Policies of Parent or any member of the Parent Group for any acts or omissions by any member of the Telemynd Group incurred prior to the Effective Time. For the avoidance of doubt, each Party and any member of its applicable Group has the sole right to settle or otherwise resolve third party claims made against it or any member of its applicable Group covered under an applicable insurance Policy.
(f) This Agreement shall not be considered as an attempted assignment of any policy of insurance or as a contract of insurance and shall not be construed to waive any right or remedy of any member of the Parent Group in respect of any insurance policy or any other contract or policy of insurance.
(g) Telemynd does hereby, for itself and each other member of the Telemynd Group, agree that no member of the Parent Group shall have any Liability whatsoever as a result of the Policies and practices of Parent and the members of the Parent Group as in effect at any time, including as a result of the level or scope of any such insurance, the creditworthiness of any insurance carrier, the terms and conditions of any policy, or the adequacy or timeliness of any notice to any insurance carrier with respect to any claim or potential claim or otherwise.
Section 5.02 Late Payments. Except as expressly provided to the contrary in this Agreement or in any Ancillary Agreement, any amount not paid when due pursuant to this Agreement or any Ancillary Agreement (and any amounts billed or otherwise invoiced or demanded and properly payable that are not paid within forty-five (45) days of such bill, invoice or other demand) shall accrue interest at a rate per annum equal to 7.5%, provided that notice of any such late payment has been provided and the other Party has been provided fifteen (15) days to cure any such late payment.
Section 5.03 Inducement. Telemynd acknowledges and agrees that Parent’s willingness to cause, effect and consummate the Separation and the Distribution has been conditioned upon and induced by Telemynd’s covenants and agreements in this Agreement and the Ancillary Agreements, including Telemynd’s assumption of the Telemynd Liabilities pursuant to the Separation and the provisions of this Agreement and Telemynd’s covenants and agreements contained in Article IV.
Section 5.04 Post-Effective Time Conduct. The Parties acknowledge that, after the Effective Time, each Party shall be independent of the other Party, with responsibility for its own actions and inactions and its own Liabilities relating to, arising out of or resulting from the conduct of its business, operations and activities following the Effective Time, except as may otherwise be provided in any Ancillary Agreement, and each Party shall (except as otherwise provided in Article IV) use commercially reasonable efforts to prevent such Liabilities from being inappropriately borne by the other Party.
Annex B - 22
ARTICLE VI.
EXCHANGE OF INFORMATION; CONFIDENTIALITY
Section 6.01 Agreement for Exchange of Information.
(a) Subject to Section 6.09 and any other applicable confidentiality obligations, each of Parent and Telemynd, on behalf of itself and each member of its Group, agrees to use commercially reasonable efforts to provide or make available, or cause to be provided or made available, to the other Party and the members of such other Party’s Group, at any time before, on or after the Effective Time, as soon as reasonably practicable after written request therefor is received by such Party, any information (or a copy thereof) in the possession or under the control of such Party or its Group which the requesting Party requests to the extent that (i) such information relates to the Telemynd Business, or any Telemynd Asset or Telemynd Liability, if Telemynd is the requesting Party, or to the Parent Business, or any Parent Group asset or Parent Liability, if Parent is the requesting Party; (ii) such information is required by the requesting Party to comply with its obligations under this Agreement or any Ancillary Agreement; or (iii) such information is required by the requesting Party to comply with any obligation imposed by any Governmental Authority; provided, however, that, in the event that the Party to whom the request has been made determines that any such provision of information could be detrimental to the Party providing the information, violate any Law or agreement, or waive any privilege available under applicable Law, including any attorney-client privilege, then the Parties shall use commercially reasonable efforts to permit compliance with such obligations to the extent and in a manner that avoids any such harm or consequence. The Party providing information pursuant to this Section 6.01 shall only be obligated to provide such information in the form, condition and format in which it then exists, and in no event shall such Party be required to perform any improvement, modification, conversion, updating or reformatting of any such information, and nothing in this Section 6.01 shall expand the obligations of a Party under Section 6.04.
(b) Without limiting the generality of the foregoing, until September 30, 2019 (and for a reasonable period of time afterwards as required for each Party to prepare consolidated financial statements or complete a financial statement audit for such fiscal year), each Party shall use its commercially reasonable efforts to cooperate with the other Party’s information requests to enable (i) the other Party to meet its timetable for dissemination of its earnings releases, financial statements and management’s assessment of the effectiveness of its disclosure controls and procedures and its internal control over financial reporting in accordance with Items 307 and 308, respectively, of Regulation S-K promulgated under the Exchange Act; and (ii) the other Party’s accountants to timely complete their review of the quarterly financial statements and audit of the annual financial statements, including, to the extent applicable to such Party, its auditor’s audit of its internal control over financial reporting and management’s assessment thereof in accordance with Section 404 of the Sarbanes-Oxley Act of 2002, the SEC’s and Public Company Accounting Oversight Board’s rules and auditing standards thereunder and any other applicable Laws.
Section 6.02 Ownership of Information. The provision of any information pursuant to Section 6.01 or Section 6.07 shall not affect the ownership of such information (which shall be determined solely in accordance with the terms of this Agreement and the Ancillary Agreements), or constitute a grant of rights in or to any such information.
Section 6.03 Compensation for Providing Information. The Party requesting information agrees to reimburse the other Party for the reasonable costs, if any, of creating, gathering, copying, transporting and otherwise complying with the request with respect to such information (including any reasonable costs and expenses incurred in any review of information for purposes of protecting the Privileged Information of the providing Party or in connection with the restoration of backup media for purposes of providing the requested information). Except as may be otherwise specifically provided elsewhere in this Agreement, any Ancillary Agreement or any other agreement between the Parties, such costs shall be computed in accordance with the providing Party’s standard methodology and procedures.
Section 6.04 Record Retention. To facilitate the possible exchange of information pursuant to this Article VI and other provisions of this Agreement after the Effective Time, the Parties agree to use their commercially reasonable efforts, which shall be no less rigorous than those used for retention of such Party’s own information, to retain all information in their respective possession or control at the Effective Time in accordance with their respective policies regarding retention of records; provided, however, that in the case of any information relating to Taxes, such retention period shall be extended to the expiration of the applicable statute of limitations (giving effect to any extensions thereof).
Section 6.05 Limitations of Liability. Neither Party shall have any Liability to the other Party in the event that any information exchanged or provided pursuant to this Agreement is found to be inaccurate in the absence of gross negligence, bad faith or willful misconduct by the Party providing such information. Neither Party shall have any Liability to any other Party if any information is destroyed after commercially reasonable efforts by such Party to comply with the provisions of Section 6.04.
Annex B - 23
Section 6.06 Other Agreements Providing for Exchange of Information.
(a) The rights and obligations granted under this Article VI are subject to any specific limitations, qualifications or additional provisions on the sharing, exchange, retention, destruction or confidential treatment of information set forth in any Ancillary Agreement.
(b) Any party that receives, pursuant to a request for information in accordance with this Article VI, Tangible Information that is not relevant to its request shall, at the request of the providing Party, (i) return it to the providing Party or, at the providing Party’s request, destroy such Tangible Information; and (ii) deliver to the providing Party written confirmation that such Tangible Information was returned or destroyed, as the case may be, which confirmation shall be signed by an authorized representative of the requesting Party.
Section 6.07 Production of Witnesses; Records; Cooperation.
(a) After the Effective Time, except in the case of a Dispute between Parent and Telemynd, or any members of their respective Groups, each Party shall use its commercially reasonable efforts to make available to the other Party, upon written request, the former, current and future directors, officers, employees, other personnel and agents of the members of its respective Group as witnesses and any books, records or other documents within its control or which it otherwise has the ability to make available without undue burden, to the extent that any such person (giving consideration to business demands of such directors, officers, employees, other personnel and agents) or books, records or other documents may reasonably be required in connection with any Action in which the requesting Party (or member of its Group) may from time to time be involved, regardless of whether such Action is a matter with respect to which indemnification may be sought hereunder. The requesting Party shall bear all costs and expenses in connection therewith.
(b) If an Indemnifying Party chooses to defend or to seek to compromise or settle any Third-Party Claim, the other Party shall make available to such Indemnifying Party, upon written request, the former, current and future directors, officers, employees, other personnel and agents of the members of its respective Group as witnesses and any books, records or other documents within its control or which it otherwise has the ability to make available without undue burden, to the extent that any such person (giving consideration to business demands of such directors, officers, employees, other personnel and agents) or books, records or other documents may reasonably be required in connection with such defense, settlement or compromise, or such prosecution, evaluation or pursuit, as the case may be, and shall otherwise cooperate in such defense, settlement or compromise, or such prosecution, evaluation or pursuit, as the case may be.
(c) Without limiting the foregoing, the Parties shall cooperate and consult to the extent reasonably necessary with respect to any Actions.
(d) Without limiting any provision of this Section 6.07, each of the Parties agrees to cooperate, and to cause each member of its respective Group to cooperate, with each other in the defense of any infringement or similar claim with respect to any Intellectual Property and shall not claim to acknowledge, or permit any member of its respective Group to claim to acknowledge, the validity or infringing use of any Intellectual Property of a third Person in a manner that would hamper or undermine the defense of such infringement or similar claim.
(e) The obligation of the Parties to provide witnesses pursuant to this Section 6.07 is intended to be interpreted in a manner so as to facilitate cooperation and shall include the obligation to provide as witnesses directors, officers, employees, other personnel and agents without regard to whether such person could assert a possible business conflict (subject to the exception set forth in the first sentence of Section 6.07(a)).
Section 6.08 Privileged Matters.
(a) The Parties recognize that legal and other professional services that have been and will be provided prior to the Effective Time have been and will be rendered for the collective benefit of each of the members of the Parent Group and the Telemynd Group, and that each of the members of the Parent Group and the Telemynd Group should be deemed to be the client with respect to such services for the purposes of asserting all privileges which may be asserted under applicable Law in connection therewith. The Parties recognize that legal and other professional services will be provided following the Effective Time, which services will be rendered solely for the benefit of the Parent Group or the Telemynd Group, as the case may be. In furtherance of the foregoing, each Party shall authorize the delivery to and/or retention by the other Party of materials existing as of the Effective Time that are necessary for such other Party to perform such services.
Annex B - 24
(b) The Parties agree as follows:
(i) Parent shall be entitled, in perpetuity, to control the assertion or waiver of all privileges and immunities in connection with any Privileged Information that relates solely to the Parent Business and not to the Telemynd Business, whether or not the Privileged Information is in the possession or under the control of any member of the Parent Group or any member of the Telemynd Group. Parent shall also be entitled, in perpetuity, to control the assertion or waiver of all privileges and immunities in connection with any Privileged Information that relates solely to any Parent Liabilities resulting from any Actions that are now pending or may be asserted in the future, whether or not the Privileged Information is in the possession or under the control of any member of the Parent Group or any member of the Telemynd Group;
(ii) Telemynd shall be entitled, in perpetuity, to control the assertion or waiver of all privileges and immunities in connection with any Privileged Information that relates solely to the Telemynd Business and not to the Parent Business, whether or not the Privileged Information is in the possession or under the control of any member of the Telemynd Group or any member of the Parent Group. Telemynd shall also be entitled, in perpetuity, to control the assertion or waiver of all privileges and immunities in connection with any Privileged Information that relates solely to any Telemynd Liabilities resulting from any Actions that are now pending or may be asserted in the future, whether or not the Privileged Information is in the possession or under the control of any member of the Telemynd Group or any member of the Parent Group; and
(iii) if the Parties do not agree as to whether certain information is Privileged Information, then such information shall be treated as Privileged Information, and the Party that believes that such information is Privileged Information shall be entitled to control the assertion or waiver of all privileges and immunities in connection with any such information unless the Parties otherwise agree. The Parties shall use the procedures set forth in Article VII to resolve any disputes as to whether any information relates solely to the Parent Business, solely to the Telemynd Business, or to both the Parent Business and the Telemynd Business.
(c) Subject to the remaining provisions of this Section 6.08, the Parties agree that they shall have a shared privilege or immunity with respect to all privileges and immunities not allocated pursuant to Section 6.08(b) and all privileges and immunities relating to any Actions or other matters that involve both Parties (or one or more members of their respective Groups) and in respect of which both Parties have Liabilities under this Agreement, and that no such shared privilege or immunity may be waived by either Party without the consent of the other Party.
(d) If any Dispute arises between the Parties or any members of their respective Groups regarding whether a privilege or immunity should be waived to protect or advance the interests of either Party and/or any member of their respective Groups, each Party agrees that it shall (i) negotiate with the other Party in good faith; (ii) endeavor to minimize any prejudice to the rights of the other Party; and (iii) not unreasonably withhold consent to any request for waiver by the other Party. Further, each Party specifically agrees that it shall not withhold its consent to the waiver of a privilege or immunity for any purpose except in good faith to protect its own legitimate interests.
(e) In the event of any Dispute between Parent and Telemynd, or any members of their respective Groups, either Party may waive a privilege in which the other Party or member of such other Party’s Group has a shared privilege, without obtaining consent pursuant to Section 6.08(c); provided that the Parties intend such waiver of a shared privilege to be effective only as to the use of information with respect to the Action between the Parties and/or the applicable members of their respective Groups, and is not intended to operate as a waiver of the shared privilege with respect to any Third Party.
(f) Upon receipt by either Party, or by any member of its respective Group, of any subpoena, discovery or other request that may reasonably be expected to result in the production or disclosure of Privileged Information subject to a shared privilege or immunity or as to which another Party has the sole right hereunder to assert a privilege or immunity, or if either Party obtains knowledge that any of its, or any member of its respective Group’s, current or former directors, officers, agents or employees have received any subpoena, discovery or other requests that may reasonably be expected to result in the production or disclosure of such Privileged Information, such Party shall promptly notify the other Party of the existence of the request (which notice shall be delivered to such other Party no later than five (5) business days following the receipt of any such subpoena, discovery or other request) and shall provide the other Party a reasonable opportunity to review the Privileged Information and to assert any rights it or they may have under this Section 6.08 or otherwise, to prevent the production or disclosure of such Privileged Information.
Annex B - 25
(g) Any furnishing of, or access or transfer of, any information pursuant to this Agreement is made in reliance on the agreement of Parent and Telemynd set forth in this Section 6.08 and in Section 6.09 to maintain the confidentiality of Privileged Information and to assert and maintain all applicable privileges and immunities. The Parties agree that their respective rights to any access to information, witnesses and other Persons, the furnishing of notices and documents and other cooperative efforts between the Parties contemplated by this Agreement, and the transfer of Privileged Information between the Parties and members of their respective Groups as needed pursuant to this Agreement, is not intended to be deemed a waiver of any privilege that has been or may be asserted under this Agreement or otherwise.
(h) In connection with any matter contemplated by Section 6.07 or this Section 6.08, the Parties agree to, and to cause the applicable members of their Group to, use commercially reasonable efforts to maintain their respective separate and joint privileges and immunities, including by executing joint defense and/or common interest agreements where necessary or useful for this purpose.
Section 6.09 Confidentiality.
(a) Confidentiality. Subject to Section 6.10, from and after the Effective Time each of Parent and Telemynd, on behalf of itself and each member of its respective Group, agrees to hold, and to cause its respective Representatives to hold, in strict confidence, with at least the same degree of care that applies to Parent’s confidential and proprietary information pursuant to policies in effect as of the Effective Time, all confidential and proprietary information concerning the other Party or any member of the other Party’s Group or their respective businesses (giving effect to the Separation and Distribution) that is either in its possession (including confidential and proprietary information in its possession prior to the date hereof) or furnished by any such other Party or any member of such Party’s Group or their respective Representatives at any time pursuant to this Agreement, any Ancillary Agreement or otherwise, and shall not use any such confidential and proprietary information other than for such purposes as shall be expressly permitted hereunder or thereunder, except, in each case, to the extent that such confidential and proprietary information has been (i) in the public domain or generally available to the public, other than as a result of a disclosure by such Party or any member of such Party’s Group or any of their respective Representatives in violation of this Agreement, (ii) later lawfully acquired from other sources by such Party (or any member of such Party’s Group) which sources are not themselves bound by a confidentiality obligation or other contractual, legal or fiduciary obligation of confidentiality with respect to such confidential and proprietary information, or (iii) independently developed or generated without reference to or use of any proprietary or confidential information of the other Party or any member of such Party’s Group. If any confidential and proprietary information of one Party or any member of its Group is disclosed to the other Party or any member of such other Party’s Group in connection with providing services to such first Party or any member of such first Party’s Group under this Agreement or any Ancillary Agreement, then such disclosed confidential and proprietary information shall be used only as required to perform such services.
(b) No Release; Return or Destruction. Each Party agrees not to release or disclose, or permit to be released or disclosed, any information addressed in Section 6.09(a) to any other Person, except its Representatives who need to know such information in their capacities as such (who shall be advised of their obligations hereunder with respect to such information), and except in compliance with Section 6.10. Without limiting the foregoing, when any such information is no longer needed for the purposes contemplated by this Agreement or any Ancillary Agreement, and is no longer subject to any legal hold or other document preservation obligation, each Party will promptly after request of the other Party either return to the other Party all such information in a tangible form (including all copies thereof and all notes, extracts or summaries based thereon) or notify the other Party in writing that it has destroyed such information (and such copies thereof and such notes, extracts or summaries based thereon); provided, that the Parties may retain electronic back-up versions of such information maintained on routine computer system backup tapes, disks or other backup storage devices; provided further, that any such information so retained shall remain subject to the confidentiality provisions of this Agreement or any Ancillary Agreement.
(c) Third-Party Information; Privacy or Data Protection Laws. Each Party acknowledges that it and members of its Group may presently have and, following the Effective Time, may gain access to or possession of confidential or proprietary information of, or legally-protected personal information relating to, Third Parties (i) that was received under privacy policies and/or confidentiality or non-disclosure agreements entered into between such Third Parties, on the one hand, and the other Party or members of such other Party’s Group, on the other hand, prior to the Effective Time; or (ii) that, as between the two Parties, was originally collected by the other Party or members of such other Party’s Group and that may be subject to and protected by privacy policies, as well as privacy, data protection or other applicable Laws. Each Party agrees that it shall hold, protect and use, and shall cause the members of its Group and its and their respective Representatives to hold, protect and use, in strict confidence the confidential and proprietary information of, or legally-protected personal information relating to, Third Parties in accordance with privacy policies and privacy, data protection or other applicable Laws and the terms of any agreements that were either entered into before the Effective Time or affirmative commitments or representations that were made before the Effective Time by, between or among the other Party or members of the other Party’s Group, on the one hand, and such Third Parties, on the other hand. With respect to legally-protected personal information received from consumers before the Effective Time, each Party agrees that it will not use data in a manner that is materially inconsistent with promises made at the time the data was collected unless it first obtains affirmative express consent from the relevant consumer.
Annex B - 26
(d) Protective Arrangements. In the event that a Party or any member of its Group either determines on the advice of its counsel that it is required to disclose any information pursuant to applicable Law or receives any request or demand under lawful process or from any Governmental Authority to disclose or provide information of the other Party (or any member of the other Party’s Group) that is subject to the confidentiality provisions hereof, such Party shall notify the other Party (to the extent legally permitted) as promptly as practicable under the circumstances prior to disclosing or providing such information and shall cooperate, at the expense of the other Party, in seeking any appropriate protective order requested by the other Party. In the event that such other Party fails to receive such appropriate protective order in a timely manner, then the Party that received such request or demand may thereafter disclose or provide information to the extent required by such Law (as so advised by its counsel) or by lawful process or such Governmental Authority, and the disclosing Party shall promptly provide the other Party with a copy of the information so disclosed, in the same form and format so disclosed, together with a list of all Persons to whom such information was disclosed, in each case to the extent legally permitted.
ARTICLE VII.
EMPLOYEE PROVISIONS
Section 7.01 Assignment and Transfer of Employees. Effective as of no later than the Effective Time and except as otherwise agreed by the Parties, the Parties shall have taken such actions as are necessary to ensure that each individual who is intended to be an employee of the Telemynd Group as of immediately after the Effective Time (including any such individual who is not actively working as of the Effective Time as a result of an illness, injury or leave of absence approved by the Parent human resources department or otherwise taken in accordance with applicable Law) (collectively, the “Telemynd Employees”) is employed by a member of the Telemynd Group as of immediately after the Effective Time. Each of the Parties agrees to execute, and to seek to have the applicable Telemynd Employees execute, such documentation, if any, as may be necessary to reflect such assignment and/or transfer.
Section 7.02 At-Will Status. Nothing in this Agreement shall create any obligation on the part of any member of the Telemynd Group to (a) continue the employment of any Telemynd Employee or permit the return from a leave of absence for any period after the date of this Agreement (except as required by applicable Law) or (b) change the employment status of any Telemynd Employee from “at-will,” to the extent that such Telemynd Employee is an “at-will” employee under applicable Law.
Section 7.03 Severance. The Parties acknowledge and agree that, except as required by applicable Law, the Separation, Distribution and the assignment, transfer or continuation of the employment of Telemynd Employees as contemplated by this Article VII shall not be deemed an involuntary termination of employment entitling any Telemynd Employee to severance payments or benefits.
Section 7.04 Director Compensation. Subject to the terms of the Merger Agreement, Parent shall be responsible for the payment of any fees for service on the Parent Board that are earned at, before, or after the Effective Time, and Telemynd shall not have any responsibility for any such payments.
Section 7.05 Adoption and Transfer and Assumption of Benefit Plans.
(a) Adoption by Parent of Benefit Plans. As of no later than the Effective Time or as soon thereafter as is practicable, Telemynd shall adopt Benefit Plans (and related trusts, if applicable) as contemplated by, and in accordance with, the terms of this Agreement.
(b) Information and Operation. Parent shall use its commercially reasonable efforts to provide Telemynd with information describing each Benefit Plan election made by a Telemynd Employee that may have application to such Party’s Benefit Plans from and after the Effective Time, and each Party shall use its commercially reasonable efforts to administer its Benefit Plans using those elections. Each Party shall, upon reasonable request, use its commercially reasonable efforts to provide the other Party and the other Party’s respective Affiliates, agents, and vendors all information reasonably necessary to the other Party’s operation or administration of its Benefit Plans.
Annex B - 27
Section 7.06 Individual Agreements. To the extent necessary, Parent shall assign, or cause an applicable member of the Parent Group to assign, to Telemynd or another member of the Telemynd Group, as designated by Telemynd, all Individual Agreements with Telemynd Employees, with such assignment to be effective as of no later than the Effective Time; provided, however, that to the extent that assignment of any such Individual Agreement is not permitted by the terms of such agreement or by applicable Law, effective as of the Effective Time, each member of the Telemynd Group shall be considered to be a successor to each member of the Parent Group for purposes of, and a third-party beneficiary with respect to, such Individual Agreement, such that each member of the Telemynd Group shall enjoy all of the rights and benefits under such agreement (including rights and benefits as a third-party beneficiary), with respect to the business operations of the Telemynd Group.
Section 7.07 Information Sharing and Access.
(a) Sharing of Information. Subject to any limitations imposed by applicable Law, each of Parent and Telemynd (acting directly or through members of the Parent Group or the Telemynd Group, respectively) shall provide to the other Party and its authorized agents and vendors all information necessary (including information for purposes of determining benefit eligibility, participation, vesting, calculation of benefits) on a timely basis under the circumstances for the Party to perform its duties under this Agreement. Such information shall include information relating to equity awards under stock plans. To the extent that such information is maintained by a third-party vendor, each Party shall use its commercially reasonable efforts to require the third-party vendor to provide the necessary information and assist in resolving discrepancies or obtaining missing data.
(b) Transfer of Personnel Records and Authorization. Subject to any limitation imposed by applicable Law and to the extent that it has not done so before the Effective Time, Parent shall transfer to Telemynd any and all employment records (including any Form I-9, Form W-2 or other IRS forms) with respect to Telemynd Employees and other records reasonably required by Telemynd to enable Telemynd properly to carry out its obligations under this Agreement. Such transfer of records generally shall occur as soon as administratively practicable at or after the Effective Time. Each Party shall permit the other Party reasonable access to its Telemynd Employee records, to the extent reasonably necessary for such accessing Party to carry out its obligations hereunder.
ARTICLE VIII.
TAXES
Section 8.01 Parent Consolidated Returns. Parent shall prepare and file or cause to be prepared and filed all Parent Consolidated Returns for a Pre-Closing Period or a Straddle Period, and shall pay all Taxes shown to be due and payable on such Tax Returns. Telemynd shall elect and join, and will cause its respective Subsidiaries and Affiliates to join, in filing any Parent Consolidated Returns that Telemynd is joining consistent with Past Practice or that Parent and Telemynd determine in good faith are required to be filed or for which Telemynd and Parent mutually elect to do so. Telemynd shall pay to Parent any Telemynd Taxes shown as due and payable on any Parent Consolidated Return prepared and filed pursuant to this Section 8.01. For the avoidance of doubt any Taxes for a Straddle Period shall be allocated to the Pre-Closing Period and the Post-Closing Period as set forth in Section 8.06.
Section 8.02 Mixed Business Tax Returns.
(a) Subject to Section 8.02(b), Parent shall prepare (or cause a member of the Parent Group to prepare) and Parent, a member of the Parent Group or Telemynd or another member of the Telemynd Group shall timely file (or cause to be timely filed) any Mixed Business Tax Returns for a Pre-Closing Period (including a Straddle Period) and Parent shall pay, or cause such member of the Parent Group to pay, all Taxes shown to be due and payable on such Tax Returns; provided that Telemynd shall reimburse Parent for any Telemynd Taxes (including any Taxes for a Straddle Period as determined under Section 8.06).
(b) Telemynd shall prepare and file (or cause a member of the Telemynd Group to prepare and file) any Mixed Business Tax Returns for a Pre-Closing Period (including a Straddle Period) required to be filed by Telemynd or a member of the Telemynd Group after the Distribution Date, and Telemynd shall pay, or cause such member of the Telemynd Group to pay, all Taxes shown to be due and payable on such Tax Returns; provided that Parent shall reimburse Telemynd for any Parent Taxes (including any Taxes for a Straddle Period as determined under Section 8.06).
Annex B - 28
Section 8.03 Single Business Returns.
(a) Parent shall prepare and file (or cause a member of the Parent Group to prepare and file) any Single Business Returns for a Pre-Closing Period (including a Straddle Period) required to be filed by Parent or a member of the Parent Group and shall pay, or cause such member of the Parent Group to pay, all Taxes shown to be due and payable on such Tax Returns; provided that Telemynd shall reimburse Parent for any Telemynd Taxes (including any Taxes for a Straddle Period as determined under Section 8.06).
(b) Telemynd shall prepare and file (or cause a member of the Telemynd Group to prepare and file) any Single Business Returns for a Pre-Closing Period (including a Straddle Period) required to be filed by Telemynd or a member of the Telemynd Group and shall pay, or cause such member of the Telemynd Group to pay, all Taxes shown to be due and payable on such Tax Returns; provided that Parent shall reimburse Telemynd for any Parent Taxes (including any Taxes for a Straddle Period as determined under Section 8.06).
Section 8.04 Procedures relating to Tax Returns other than Single Business Returns.
(a) Parent Consolidated Returns. With respect to all Parent Consolidated Returns for the taxable year which includes the Distribution Date, Parent shall use the closing of the books method under Treasury Regulation Section 1.1502-76 (including adopting the “end of the day rule” described therein). To the extent that the positions taken on any Parent Consolidated Return would reasonably be expected to materially adversely affect the Tax position of Telemynd or a member of the Telemynd Group for any period after the Distribution Date, Parent shall prepare the portions of such Tax Return in a manner that is consistent with Past Practice unless otherwise required by applicable Law or agreed to in writing by the Parties, and shall provide a draft of such portion of such Tax Return to Telemynd for its review and comment at least thirty (30) days prior to the Due Date for such Tax Return, provided, however, that nothing herein shall prevent Parent from timely filing any such Tax Return. In the event that Past Practice is not applicable to a particular item or matter, Parent shall determine the reporting of such item or matter in good faith. The Parties shall negotiate in good faith to resolve all disputed issues. Any disputes that the Parties are unable to resolve shall be resolved by the Accounting Firm pursuant to Section 8.16. In the event that any dispute is not resolved (whether pursuant to good faith negotiations among the Parties or by the Accounting Firm) prior to the Due Date for the filing of any such Tax Return, such Tax Return shall be timely filed by Parent and Parent agrees to amend such Tax Return as necessary to reflect the resolution of such dispute in a manner consistent with such resolution.
(b) Mixed Business Tax Returns. To the extent that the positions taken on any Mixed Business Tax Return would reasonably be expected to materially adversely affect the Tax position of the party other than the party that is required to prepare and file any such Tax Return pursuant to Section 8.02 (the “Reviewing Party”) in any Post-Closing Period, the party required to prepare and file such Tax Return (the “Preparing Party”) shall prepare the portions of such Tax Return that relates to the business of the Reviewing Party in a manner that is consistent with Past Practice unless otherwise required by applicable Law or agreed to in writing by the Parties, and shall provide a draft of such portion of such Tax Return to the Reviewing Party for its review and comment at least thirty (30) days prior to the Due Date for such Tax Return, provided, however, that nothing herein shall prevent the Preparing Party from timely filing any such Tax Return. In the event that Past Practice is not applicable to a particular item or matter, the Preparing Party shall determine the reporting of such item or matter in good faith. The Parties shall negotiate in good faith to resolve all disputed issues. Any disputes that the Parties are unable to resolve shall be resolved by the Accounting Firm pursuant to Section 8.16. In the event that any dispute is not resolved (whether pursuant to good faith negotiations among the Parties or by the Accounting Firm) prior to the Due Date for the filing of any such Tax Return, such Tax Return shall be timely filed by the Preparing Party and the Parties agree to amend such Tax Return as necessary to reflect the resolution of such dispute in a manner consistent with such resolution.
Section 8.05 Amended Returns. Except as provided in Section 8.04 to reflect the resolution of any dispute by the Accounting Firm pursuant to Section 8.16, (a) except with the prior written consent of Parent (such consent not to be unreasonably withheld, delayed or conditioned), Telemynd shall not, and shall not permit any member of the Telemynd Group to, amend any Tax Return of Telemynd or any member of the Telemynd Group for any Pre-Closing Period (including any Straddle Period) to the extent such amendment could reasonably be expected to result in an indemnification obligation on the part of Parent pursuant to Section 8.10 or otherwise increase the Taxes of any member of the Parent Group and (b) except with the prior written consent of Telemynd (such consent not to be unreasonably withheld, delayed or conditioned), Parent shall not, and shall not permit any member of the Parent Group to, amend any Tax Return for any Pre-Closing Period (including any Straddle Period) to the extent such amendment could reasonably be expected to result in an indemnification obligation on the part of Telemynd pursuant to Section 8.10 or otherwise increase the Taxes of any member of the Telemynd Group.
Annex B - 29
Section 8.06 Straddle Period Tax Allocation. Parent and Telemynd shall take all actions necessary or appropriate to close the taxable year of Telemynd and each member of the Telemynd Group for all Tax purposes as of the close of the Distribution Date to the extent permissible or required under applicable Law. If applicable Law does not require or permit Telemynd or a member of the Telemynd Group, as the case may be, to close its taxable year on the Distribution Date, then the allocation of income or deductions required to determine any Taxes or other amounts attributable to the portion of the Straddle Period ending on, or beginning after, the Distribution Date shall be made by means of a closing of the books and records of Telemynd or such member of the Telemynd Group as of the close of the Distribution Date; provided that exemptions, allowances or deductions that are calculated on an annual or periodic basis shall be allocated between such portions in proportion to the number of days in each such portion; provided, further, that real property and other property and similar periodic Taxes shall be apportioned on a per diem basis.
Section 8.07 Timing of Payments. All Taxes required to be paid or caused to be paid pursuant to this Article VIII by either Parent or a member of the Parent Group or Telemynd or a member of the Telemynd Group, as the case may be, to an applicable Taxing Authority or reimbursed by Parent or Telemynd to the other Party pursuant to this Agreement, shall, in the case of a payment to a Taxing Authority, be paid on or before the Due Date for the payment of such Taxes and, in the case of a reimbursement to the other Party, be paid at least five (5) business days before the Due Date for the payment of such Taxes by the other Party; provided that the Party seeking reimbursement shall furnish such other Party reasonably satisfactory documentation setting forth the basis for, and calculation of, the amount of such reimbursement obligation at least twenty (20) days before such Due Date.
Section 8.08 Expenses. Except as expressly provided in Section 8.09(b) and Section 8.16, each Party shall bear its own expenses incurred in connection with this Article VIII.
Section 8.09 Distribution Tax Reporting.
(a) The Parties shall cause the Distribution to be reported to holders of Parent Shares in accordance with applicable Law. The Parties shall not take any position on any U.S. federal or state income tax return or take any other U.S. tax reporting position that is inconsistent with the treatment of the Distribution as a distribution to which Section 301 of the Code applies, except as otherwise required by applicable Law or a “determination” as defined in Code Section 1313.
(b) Section 336(e) Election. Pursuant to Treasury Regulation Section 1.336-2(h)(1), if requested by Telemynd in its sole discretion, Parent shall make a timely election under Section 336(e) of the Code and the Treasury Regulations issued thereunder for Telemynd respect to the Distribution (a “Section 336(e) Election”). If so elected by Telemynd, Parent shall cooperate with Telemynd in making the Section 336(e) Election, including filing any statements, amending any Tax Returns or taking such other action reasonably necessary to carry out the Section 336(e) Election; provided that Parent shall not be required to take any action requested by Telemynd in furtherance of this Section 8.09(b) that Parent reasonably and in good faith determines to be materially adverse to Parent or any other member of the Parent Group. For the avoidance of doubt, this Agreement is intended to constitute a written, binding agreement by Parent and Telemynd to make such Section 336(e) Election within the meaning of Treasury Regulation Section 1.336-2(h)(1)(i) if Telemynd determines that such election shall be made. In such event, within sixty (60) days after the Distribution Date, Telemynd shall provide Parent with a proposed determination of the “aggregate deemed asset disposition price” and the “adjusted grossed-up basis” (each as defined under applicable Treasury Regulations) and the allocation of such “aggregate deemed asset disposition price” and “adjusted grossed-up basis” among the Telemynd Assets, each in accordance with the applicable provisions of Section 336(e) of the Code and applicable Treasury Regulations (the “Section 336(e) Allocation Statement”). Within thirty (30) days after Parent’s receipt of the Section 336(e) Allocation Statement, Parent shall provide comments (if any) to Telemynd to the Section 336(e) Allocation Statement and Telemynd shall consider such comments in good faith; provided, however, that Telemynd may not reject any such Parent comment if such rejection would materially adversely affect Parent without Parent’s consent, which consent may not be unreasonably withheld, delayed or conditioned (taking into account the rights and obligations under this Agreement); provided, however, that if Telemynd may not reject any such comment pursuant to this sentence then the Parties shall work together in good faith and any remaining disagreement with respect to such comment shall be resolved pursuant to Section 8.04. If Telemynd determines that the Section 336(e) Election shall be made, no member of the Parent Group or the Telemynd Group shall take any position inconsistent with the Section 336(e) Election including the Section 336(e) Allocation Statement (as finally resolved pursuant to this Section 8.09(b)) except as may be required by a “determination” as defined in Section 1313 of the Code. For the avoidance of doubt, Telemynd shall bear all costs, expenses and Liabilities of Parent arising solely as a result of this Section 8.09(b), including out of pocket costs and expenses arising in connection with amending any Parent Tax Returns.
Annex B - 30
Section 8.10 Tax Indemnification.
(a) Indemnification by Parent. Parent shall pay, and shall indemnify and hold the Telemynd Group harmless from and against, without duplication, (a) all Parent Taxes, (b) all Taxes incurred by Telemynd or any member of the Telemynd Group that would not have been imposed but for the breach by Parent of any of its covenants hereunder, and (c) any out-of-pocket costs and expenses related to the foregoing (including reasonable attorneys’ fees and expenses).
(b) Indemnification by Telemynd. Telemynd shall pay, and shall indemnify and hold the Parent Group harmless from and against, without duplication, (a) all Telemynd Taxes, (b) all Taxes incurred by Parent or any member of the Parent Group that would not have been imposed but for the breach by Telemynd of any of its covenants hereunder, and (c) any out-of-pocket costs and expenses related to the foregoing (including reasonable attorneys’ fees and expenses).
(c) Characterization of and Adjustments to Payments. For all Tax purposes, unless otherwise required under applicable Law or pursuant to a “determination” as defined in Code Section 1313, Parent and Telemynd shall treat any payment by Parent to a member of the Telemynd Group or by Telemynd to a member of the Parent Group required by this Agreement (other than payments with respect to interest accruing after the Distribution Date) as either a contribution by Parent to Telemynd or a distribution by Telemynd to Parent, as the case may be, occurring immediately prior to the Distribution.
(d) Timing of Indemnification Payments. Indemnification payments in respect of any liabilities for which a Tax Indemnified Party is entitled to indemnification pursuant to this Article VIII shall be paid by the Indemnifying Party to the Tax Indemnified Party within ten (10) days after written notification thereof by the Tax Indemnified Party (or such shorter period specified in this Article VIII), including reasonably satisfactory documentation setting forth the basis for, and calculation of, the amount of such indemnification payment, or within ten (10) days after resolution of any Tax Proceeding pursuant to Section 8.13.
(e) To the extent that the provisions of this Section 8.10 conflict with the provisions of Section 4.02 or Section 4.03, the provision set forth in this Section 8.10 shall control.
Section 8.11 Refunds.
(a) Refunds and Credits.
(i) Parent shall be entitled to all Refunds received by any member of the Telemynd Group or any of their Affiliates of Taxes paid by any member of the Parent Group to a Taxing Authority or to Telemynd pursuant to this Agreement or otherwise borne by Parent pursuant to a claim for indemnity under this Agreement, and Telemynd shall be entitled to all Refunds received by any member of the Parent Group or any of their Affiliates of Taxes paid by any member of the Telemynd Group to a Taxing Authority or to Parent pursuant to this Agreement or otherwise borne by Telemynd pursuant to a claim for indemnity under this Agreement; provided, however, that all Refunds of Taxes shall be offset and reduced by any amounts owed by the Party otherwise entitled to the Refund under this Section 8.11(a)(i) to the other Party under this Agreement. For the avoidance of doubt, to the extent that a particular Refund of Taxes is allocable to a Straddle Period with respect to which the Parties have shared responsibility pursuant to Section 8.06, the portion of such Refund to which each Party will be entitled shall be determined by comparing the amount of payments made by a Party (or any of member of such Party’s Group) to a Taxing Authority or to the other Party (and reduced by the amount of payments received from the other Party) pursuant to this Article VIII with the Tax liability of such Party as determined under Section 8.06, taking into account the facts as utilized for purposes of claiming such Refund. If a Party (or any member of its Tax Group) receives a Refund to which the other Party is entitled pursuant to this Agreement, such Party shall pay the net amount to which such other Party is entitled (including, for avoidance of doubt, net of any Taxes imposed with respect to such refund and any other reasonable out-of-pocket costs incurred by such Party) within ten (10) days after the receipt of the Refund. Notwithstanding the foregoing, neither Party shall be entitled to any payment or other benefit from the other Party pursuant to this Section 8.11(a)(i) related to any Refund that is attributable to the carrying back to a Pre-Closing Period of a net operating loss or tax credit that arose in a Post-Closing Period.
(ii) For the avoidance of doubt, to the extent that a Party (or any member of its Tax Group) applies or causes to be applied an overpayment of Taxes as a credit toward or a reduction in Taxes otherwise payable (or a Taxing Authority requires such application in lieu of a Refund) and such overpayment of Taxes, if received as a cash refund, would have been payable by such Party to the other Party pursuant to this Section 8.11, such Party shall pay such amount to the other Party no later than ten (10) days following the Due Date of the Tax Return on which the overpayment is reflected.
Annex B - 31
(iii) If there is a subsequent reduction by a Taxing Authority (or by virtue of a change in applicable Tax Law) of any amounts with respect to which a payment has been made pursuant to Section 8.11(a)(i), then the applicable Party that received the benefit of the Refund from the other Party shall pay to such other Party an amount equal to such reduction plus any interest or penalties imposed by a Taxing Authority with respect to such reduction.
Section 8.12 Net Operating Losses. The Parties agree to allocate the net operating losses of Telemynd existing on the Distribution Date to first reduce any Parent Transaction Taxes. Any net operating losses of Telemynd remaining after such use shall follow the Telemynd Group after the Distribution Date to the fullest extent permitted under applicable Law, and, except in accordance with the foregoing provisions of this Section 8.12, Parent shall not utilize the net operating losses of Telemynd after the Distribution Date unless otherwise required under applicable Law. Parent and Telemynd hereby agree to compute all Taxes for Post-Closing Periods consistently with the allocation of Telemynd net operating losses pursuant to this Section 8.12. Parent and Telemynd hereby agree not to make any election with respect to the net operating losses allocated pursuant to this Section 8.12 to Telemynd without the prior written approval of Telemynd, which approval shall be provided by Telemynd in its sole and absolute discretion. Notwithstanding anything to the contrary herein, to the extent that the net operating losses of Telemynd are not sufficient to eliminate entirely the Parent Transaction Taxes, to maximum extent allowed by Law, any net operating losses of Parent (or any Affiliate of Parent) shall be used to reduce the Parent Transaction taxes to zero.
Section 8.13 Tax Proceedings. To the extent the provisions of this Section 8.13 conflict with the provisions of Section 4.05, the provisions of this Section 8.13 shall control.
(a) Notification of Tax Proceedings. Within ten (10) days after a Tax Indemnified Party becomes aware of the commencement of a Tax Proceeding with respect to a Pre-Closing Period (including a Straddle Period), such Tax Indemnified Party shall notify the Indemnifying Party of such Tax Proceeding, and thereafter shall promptly forward or make available to the Indemnifying Party copies of material notices and material communications relating to such Tax Proceeding. The failure of the Tax Indemnified Party to notify the Indemnifying Party of the commencement of any such Tax Proceeding within such 10 day period or promptly forward any further material notices or material communications shall not relieve the Indemnifying Party of any obligation which it may have to the Tax Indemnified Party under this Agreement except to the extent to which the Indemnifying Party is actually prejudiced by the Tax Indemnified Party’s failure to provide notice in accordance with this Section 8.13(a).
(b) Tax Proceeding Procedures Generally.
(i) Tax Proceedings relating to Parent Consolidated Returns. Parent shall be entitled to contest, compromise, control and settle any adjustment or deficiency proposed, asserted or assessed pursuant to any Tax Proceeding with respect to any Parent Consolidated Return; provided that to the extent such Tax Proceeding could reasonably be expected to adversely affect the amount of Taxes for which Telemynd is responsible pursuant to Section 8.10, Parent shall (A) defend such Tax Proceeding diligently and in good faith and (B) shall keep Telemynd informed in a timely manner of all actions proposed to be taken by Parent with respect to such Tax Proceeding (or to the extent practicable the portion of such Tax Proceeding that relates to Taxes for which Telemynd is responsible pursuant to Section 8.10), (C) shall permit Telemynd to participate (at Telemynd’s sole expense) in all proceedings with respect to such Tax Proceeding (or to the extent practicable the portion of such Tax Proceeding that relates to Taxes for which Telemynd is responsible pursuant to Section 8.10), and (D) shall not settle any such Tax Proceeding without the prior written consent of Telemynd, which shall not be unreasonably withheld, conditioned or delayed.
(ii) Tax Proceedings relating to Other Returns. The Preparing Party (in the case of a Mixed Business Tax Return) or the Single Business Return Preparing Party (in the case of a Single Business Return) shall be entitled to contest, compromise, control and settle any adjustment or deficiency proposed, asserted or assessed pursuant to any Tax Proceeding with respect to any Mixed Business Tax Return or Single Business Return; provided that to the extent such Tax Proceeding could reasonably be expected to adversely affect the amount of Taxes for which non-controlling Party is responsible pursuant to Section 8.10, the controlling Party shall (A) defend such Tax Proceeding diligently and in good faith, (B) shall keep the non-controlling party informed in a timely manner of all actions proposed to be taken by the controlling party with respect to such Tax Proceeding (or to the extent practicable the portion of such Tax Proceeding that relates to Taxes for which the non-controlling party is responsible pursuant to Section 8.10), (C) shall permit the non-controlling Party to participate (at the non-controlling Party’s sole expense) in all material proceedings with respect to such Tax Proceeding (or to the extent practicable the portion of such Tax Proceeding that relates to Taxes for which the non-controlling Party is responsible pursuant to Section 8.10), and (D) shall not settle any such Tax Proceeding without the prior written consent of the non-controlling Party, which shall not be unreasonably withheld, conditioned or delayed.
Annex B - 32
Section 8.14 Tax Cooperation.
(a) General Cooperation. The Parties shall each cooperate fully (and each shall cause its respective Subsidiaries to cooperate fully) with all reasonable requests in writing from another Party hereto, or from an agent, representative or advisor to such Party, in connection with the preparation and filing of Tax Returns, claims for Refunds, Tax Proceedings, and calculations of amounts required to be paid pursuant to this Agreement, in each case, related or attributable to or arising in connection with Taxes of either of the Parties or their respective Subsidiaries covered by this Agreement and in connection with any financial reporting matter relating to Taxes (a “Tax Matter”). Such cooperation shall include the provision of any information reasonably necessary in connection with a Tax Matter (“Information”) and shall include, without limitation:
(i) the provision of any Tax Returns, other than any Parent
Consolidated Return, of the Parties and their respective Subsidiaries and other documentation and information which is reasonably relevant to any such Tax Return, claim for Refund, Tax Proceeding or calculation;
(ii) the execution of any document (including any power of attorney) reasonably necessary in connection with any Tax Proceedings of either of the Parties or their respective Subsidiaries for Pre-Closing Periods (including Straddle Periods); and
(iii) the making of each Party’s employees, advisors, and facilities available on a reasonable and mutually convenient basis in connection with the foregoing matters.
(b) Notwithstanding anything in this Agreement to the contrary, neither Party shall be required to provide the other Party or any of such other Party’s Subsidiaries access to or copies of information, documents or personnel if such action could reasonably be expected to result in the waiver of any Privilege. In the event that either Party determines that the provision of any information or documents to the other Party or any of such other Party’s Subsidiaries could be commercially detrimental, violate any law or agreement or waive any Privilege, the Parties shall use commercially reasonable efforts to permit compliance with its obligations hereunder in a manner that avoids any such harm or consequence.
(c) The Parties shall perform all actions required or permitted under this Agreement in good faith. If one Party requests the cooperation of the other Party pursuant to this Section 8.14, the requesting Party shall reimburse such other Party for all reasonable out-of-pocket costs and expenses incurred by such other Party in complying with the requesting Party’s request.
Section 8.15 Retention of Records. Parent and Telemynd shall retain or cause to be retained all Tax Returns, material schedules and material work papers, and all material records or other material documents relating thereto in their possession, in each case that relate to a Pre-Closing Period, until the expiration of all applicable statutes of limitations (the “Retention Period”). Upon the expiration of the Retention Period, the foregoing information may be destroyed or disposed of by the Party retaining such documentation or other information unless the other Party otherwise requests in writing before the expiration of the Retention Period. In such case, the Party retaining such documentation or other information shall deliver such materials to the other Party at the expense of such other Party.
Section 8.16 Tax Dispute Resolution. In the event of any dispute between the Parties as to any matter covered by this Article VIII, the Parties shall appoint a nationally recognized public accounting firm reasonably acceptable to both of the Parties (the “Accounting Firm”) to resolve such dispute. In this regard, the Accounting Firm shall make determinations with respect to the disputed items based solely on representations made by Parent and Telemynd and their respective representatives, and not by independent review, and shall function only as an expert and not as an arbitrator and shall be required to make a determination within the ranges submitted by the Parties. The Parties shall require the Accounting Firm to resolve all disputes no later than thirty (30) days after the submission of such dispute to the Accounting Firm, and agree that all decisions by the Accounting Firm with respect thereto shall be final and conclusive and binding on the Parties. The Accounting Firm shall resolve all disputes in a manner consistent with this Agreement and, to the extent not inconsistent with this Agreement, in a manner consistent with the Past Practices of Parent and its Subsidiaries, except as otherwise required by applicable Law. The Parties shall require the Accounting Firm to render all determinations in writing and to set forth, in reasonable detail, the basis for such determination. The total costs and expenses of the Accounting Firm will be allocated and borne between Parent and Telemynd based upon that percentage of such fees and expenses equal to the percentage of the dollar value of the proposed determinations submitted to the Accounting Firm determined in favor of the other Party; provided, that if in light of the nature of the dispute the foregoing is not feasible, such costs and expenses shall be borne equally by the Parties. Any initial retainer required by the Accounting Firm shall be funded equally by the Parties (and, following the Accounting Firm’s determination, the Parties shall make appropriate payments between themselves as are necessary to give effect to the preceding sentence). To the extent the provisions of this Section 8.16 conflict with the provisions of Article IX, the provisions of this Section 8.16 shall control. Notwithstanding anything to the contrary contained herein, in the case of Parent Consolidated Returns, the Accounting Firm shall resolve any dispute in favor of Telemynd if Telemynd’s position is supported by a “more likely than not” standard under the Code or if no position is supported by a “more likely than not” standard, if Telemynd’s position has “substantial authority” within the meaning of Treasury Regulation Section 1.6662-4(d)(2).
Annex B - 33
Section 8.17 Transfer Taxes. All Transfer Taxes, if any, shall be borne by Telemynd and shall be paid by Telemynd when due. Telemynd will prepare and timely file all necessary Tax Returns and other documentation with respect to all such Transfer Taxes (the expense of which shall be borne by Telemynd) and, if required by applicable Law, Parent will join in the execution of any such Tax Returns and other documentation.
ARTICLE IX.
DISPUTE RESOLUTION
Section 9.01 Good Faith Offer Negotiation. Subject to Section 9.04, either Party seeking resolution of any dispute, controversy or claim arising out of or relating to this Agreement or any Ancillary Agreement (including regarding whether any Assets are Telemynd Assets, any Liabilities are Telemynd Liabilities or the validity, interpretation, breach or termination of this Agreement or any Ancillary Agreement) (a “Dispute”), shall provide written notice thereof to the other Party (the “Offer Negotiation Request”). Within fifteen (15) days of the delivery of the Offer Negotiation Request, the Parties shall attempt to resolve the Dispute through good faith negotiation. All such negotiations shall be conducted by executives who hold, at a minimum, the title of Senior Vice President and who have authority to settle the Dispute. All such negotiations shall be confidential and shall be treated as compromise and settlement negotiations for purposes of applicable rules of evidence. If the Parties are unable for any reason to resolve a Dispute within thirty (30) days of receipt of the Offer Negotiation Request, and such thirty (30) day period is not extended by mutual written consent of the Parties, the Chief Executive Officers of the Parties shall enter into good faith negotiations in accordance with Section 9.02.
Section 9.02 Good-Faith Negotiation. If any Dispute is not resolved pursuant to Section 9.01, the Party that delivered the Offer Negotiation Request shall provide written notice of such Dispute to the Chief Executive Officer of each Party (a “CEO Negotiation Request”). As soon as reasonably practicable following receipt of a CEO Negotiation Request, the Chief Executive Officers of the Parties shall begin conducting good-faith negotiations with respect to such Dispute. All such negotiations shall be confidential and shall be treated as compromise and settlement negotiations for purposes of applicable rules of evidence. If the Chief Executive Officers of the Parties are unable for any reason to resolve a Dispute within thirty (30) days of receipt of a CEO Negotiation Request, and such 30 day period is not extended by mutual written consent of the Parties, the Dispute shall be submitted to arbitration in accordance with Section 9.03.
Section 9.03 Arbitration.
(a) In the event that a Dispute has not been resolved within thirty (30) days of the receipt of a CEO Negotiation Request in accordance with Section 9.02, or within such longer period as the Parties may agree to in writing, then such Dispute shall, upon the written request of a Party (the “Arbitration Request”) be submitted to be finally resolved by binding arbitration in accordance with the then current International Institute for Conflict Prevention and Resolution (“CPR”) arbitration procedure, except as modified herein. The arbitration shall be held in (i) Orange County, California, or (ii) such other place as the Parties may mutually agree in writing. Unless otherwise agreed by the Parties in writing, any Dispute to be decided pursuant to this Section 9.03 will be decided before a sole arbitrator. The sole independent arbitrator will be appointed by agreement of the Parties within fifteen (15) days of the date of receipt of the Arbitration Request. If the Parties cannot agree to a sole independent arbitrator during such fifteen (15) day period, then upon written application by either party, the sole independent arbitrator will be appointed pursuant to the CPR arbitration procedure.
(b) The arbitrator will have the right to award, on an interim basis, or include in the final award, any relief which it deems proper in the circumstances, including money damages (with interest on unpaid amounts from the due date), injunctive relief (including specific performance) and reasonable attorneys’ fees and costs; provided that the arbitrators will not award any relief not specifically requested by the Parties and, in any event, will not award any indirect, punitive, exemplary, remote, speculative or similar damages in excess of compensatory damages of the other arising in connection with the transactions contemplated hereby (other than any such Liability with respect to a Third-Party Claim). The award of the arbitrator shall be final and binding on the Parties, and may be enforced in any court of competent jurisdiction. The initiation of arbitration pursuant to this Article IX will toll the applicable statute of limitations for the duration of any such proceedings.
Annex B - 34
ARTICLE X.
FURTHER ASSURANCES AND ADDITIONAL
COVENANTS
Section 10.01 Further Assurances.
(a) In addition to the actions specifically provided for elsewhere in this Agreement, each of the Parties shall use its reasonable best efforts, prior to, on and after the Effective Time, to take, or cause to be taken, all actions, and to do, or cause to be done, all things, reasonably necessary, proper or advisable under applicable Laws, regulations and agreements to consummate and make effective the transactions contemplated by this Agreement and the Ancillary Agreements.
(b) Without limiting the foregoing, prior to, on and after the Effective Time, each Party hereto shall cooperate with the other Party, and without any further consideration, but at the expense of the requesting Party, to execute and deliver, or use its reasonable best efforts to cause to be executed and delivered, all instruments, including instruments of conveyance, assignment and transfer, and to make all filings with, and to obtain all Approvals or Notifications of, any Governmental Authority or any other Person under any permit, license, agreement, indenture or other instrument (including any consents or Governmental Approvals), and to take all such other actions as such Party may reasonably be requested to take by the other Party from time to time, consistent with the terms of this Agreement and the Ancillary Agreements, in order to effectuate the provisions and purposes of this Agreement and the Ancillary Agreements and the transfers of the Telemynd Assets and the Parent Group’s assets and the assignment and assumption of the Telemynd Liabilities and the Parent Liabilities and the other transactions contemplated hereby and thereby. Without limiting the foregoing, each Party will, at the reasonable request, cost and expense of the other Party, take such other actions as may be reasonably necessary to vest in such other Party good and marketable title to the Assets allocated to such Party under this Agreement or any of the Ancillary Agreements, free and clear of any Security Interest, if and to the extent it is practicable to do so.
(c) On or prior to the Effective Time, Parent and Telemynd, in their respective capacities as direct and indirect stockholders of the members of their Groups, shall each ratify any actions which are reasonably necessary or desirable to be taken by Parent, Telemynd or any of the members of their respective Groups, as the case may be, to effectuate the transactions contemplated by this Agreement and the Ancillary Agreements.
(d) Parent and Telemynd, and each of the members of their respective Groups, waive (and agree not to assert against any of the others) any claim or demand that any of them may have against any of the others for any Liabilities or other claims relating to or arising out of: (i) the failure of Telemynd or any other member of the Telemynd Group, on the one hand, or of Parent or any other member of the Parent Group, on the other hand, to provide any notification or disclosure required under any state Environmental Law in connection with the Separation or the other transactions contemplated by this Agreement, including the transfer by any member of any Group to any member of the other Group of ownership or operational control of any Assets not previously owned or operated by such transferee; or (ii) any inadequate, incorrect or incomplete notification or disclosure under any such state Environmental Law by the applicable transferor. To the extent any Liability to any Governmental Authority or any third Person arises out of any action or inaction described in clause (i) or (ii) above, the transferee of the applicable Asset hereby assumes and agrees to pay any such Liability.
ARTICLE XI.
TERMINATION
Section 11.01 Termination. This Agreement and all Ancillary Agreements may be terminated and the Distribution may be amended, modified or abandoned at any time prior to the Effective Time by Parent, in its sole and absolute discretion, without the approval or consent of any other Person, including Telemynd. After the Effective Time, this Agreement may not be terminated except by an agreement in writing signed by a duly authorized officer of each of the Parties.
Section 11.02 Effect of Termination. In the event of any termination of this Agreement prior to the Effective Time, no Party (nor any of its directors, officers or employees) shall have any Liability or further obligation to the other Party by reason of this Agreement.
Annex B - 35
ARTICLE XII.
MISCELLANEOUS
Section 12.01 Counterparts; Entire Agreement; Corporate Power.
(a) This Agreement and each Ancillary Agreement may be executed in one or more counterparts, all of which shall be considered one and the same agreement, and shall become effective when one or more counterparts have been signed by each of the Parties and delivered to the other Party.
(b) This Agreement, the Ancillary Agreements and the Exhibits, Schedules and appendices hereto and thereto contain the entire agreement between the Parties with respect to the subject matter hereof, supersede all previous agreements, negotiations, discussions, writings, understandings, commitments and conversations with respect to such subject matter, and there are no agreements or understandings between the Parties other than those set forth or referred to herein or therein. This Agreement and the Ancillary Agreements together govern the arrangements in connection with the Separation and Distribution and would not have been entered independently.
(c) Parent represents on behalf of itself and each other member of the Parent Group, and Telemynd represents on behalf of itself and each other member of the Telemynd Group, as follows:
(i) each such Person has the requisite corporate or other power and authority and has taken all corporate or other action necessary in order to execute, deliver and perform this Agreement and each Ancillary Agreement to which it is a party and to consummate the transactions contemplated hereby and thereby; and
(ii) this Agreement and each Ancillary Agreement to which it is a party has been duly executed and delivered by it and constitutes a valid and binding agreement of it enforceable in accordance with the terms thereof.
(iii) No broker, finder or other Person is entitled to any fee or commission in connection with the transactions contemplated in this Agreement based upon any arrangement made by or on behalf of Parent or Telemynd.
(d) Each Party acknowledges that it and each other Party is executing certain of the Ancillary Agreements by facsimile, stamp or mechanical signature, and that delivery of an executed counterpart of a signature page to this Agreement or any Ancillary Agreement (whether executed by manual, stamp or mechanical signature) by facsimile or by email in portable document format (PDF) shall be effective as delivery of such executed counterpart of this Agreement or any Ancillary Agreement. Each Party expressly adopts and confirms each such facsimile, stamp or mechanical signature (regardless of whether delivered in person, by mail, by courier, by facsimile or by email in portable document format (PDF)) made in its respective name as if it were a manual signature delivered in person, agrees that it will not assert that any such signature or delivery is not adequate to bind such Party to the same extent as if it were signed manually and delivered in person and agrees that, at the reasonable request of the other Party at any time, it will as promptly as reasonably practicable cause each such Ancillary Agreement to be manually executed (any such execution to be as of the date of the initial date thereof) and delivered in person, by mail or by courier.
Section 12.02 Governing Law. This Agreement and, unless expressly provided therein, each Ancillary Agreement (and any claims or disputes arising out of or related hereto or thereto or to the transactions contemplated hereby and thereby or to the inducement of any party to enter herein and therein, whether for breach of contract, tortious conduct or otherwise and whether predicated on common law, statute or otherwise) shall be governed by and construed and interpreted in accordance with the Laws of the State of Delaware irrespective of the choice of laws principles of the State of Delaware including all matters of validity, construction, effect, enforceability, performance and remedies.
Section 12.03 Assignability. Except as set forth in any Ancillary Agreement, this Agreement and each Ancillary Agreement shall be binding upon and inure to the benefit of the Parties and the parties thereto, respectively, and their respective successors and permitted assigns; provided, however, that neither Party nor any such party thereto may assign its rights or delegate its obligations under this Agreement or any Ancillary Agreement without the express prior written consent of the other Party hereto or other parties thereto, as applicable. Notwithstanding the foregoing, no such consent shall be required for the assignment of a party’s rights and obligations under this Agreement and the Ancillary Agreements (except as may be otherwise provided in any such Ancillary Agreement) in whole (i.e., the assignment of a party’s rights and obligations under this Agreement and all Ancillary Agreements all at the same time) in connection with a change of control of a Party so long as the resulting, surviving or transferee Person assumes all the obligations of the relevant party thereto by operation of Law or pursuant to an agreement in form and substance reasonably satisfactory to the other Party.
Annex B - 36
Section 12.04 Third-Party Beneficiaries. Except for the indemnification rights under this Agreement and each Ancillary Agreement of any Parent Indemnitee or Telemynd Indemnitee in their respective capacities as such, (a) the provisions of this Agreement and each Ancillary Agreement are solely for the benefit of the Parties and are not intended to confer upon any Person except the Parties any rights or remedies hereunder, and (b) there are no third-party beneficiaries of this Agreement or any Ancillary Agreement and neither this Agreement nor any Ancillary Agreement shall provide any third person with any remedy, claim, Liability, reimbursement, claim of action or other right in excess of those existing without reference to this Agreement or any Ancillary Agreement.
Section 12.05 Notices. Any notice or other communication required or permitted to be delivered to any Party under this Agreement shall be in writing and shall be deemed properly delivered, given and received when delivered by hand, by registered mail, by courier or express delivery service or by facsimile to the address or facsimile telephone number set forth beneath the name of such Party below (or to such other address or facsimile telephone number as such Party shall have specified in a written notice given to the other parties hereto):
if to Parent prior to the Effective Time to:
MYnd Analytics, Inc.
26522 La Alameda, Suite 290
Mission Viejo, CA 92691
| Attention: | Patrick Herguth |
| Email: | pherguth@myndanalytics.com |
with a copy to:
Dentons US LLP
1221 Avenue of the Americas
New York, NY 10020-1089
| Email: | jeffrey.baumel@dentons.com |
ilan.katz@dentons.com
| Attention: | Jeffrey A. Baumel, Esq. |
Ilan Katz, Esq.
if to Parent after the Effective Time to:
Emmaus Life Sciences, Inc.
21250 Hawthorne Boulevard
Suite 800, Torrance, CA 90503
| Attention: | Chief Executive Officer |
| Email: | yniihara@emmauslifesciences.com |
with a copy to:
Emmaus Life Sciences, Inc.
21250 Hawthorne Boulevard
Suite 800, Torrance, CA 90503
| Attention: | General Counsel |
| Email: | dshort@emmauslifesciences.com |
if to Telemynd:
MYnd Analytics, Inc.
26522 La Alameda, Suite 290
Mission Viejo, CA 92691
| Attention: | Patrick Herguth |
| Email: | pherguth@myndanalytics.com |
with a copy to:
Dentons US LLP
1221 Avenue of the Americas
New York, NY 10020-1089
| Email: | jeffrey.baumel@dentons.com |
ilan.katz@dentons.com
| Attention: | Jeffrey A. Baumel, Esq. |
Ilan Katz, Esq.
Annex B - 37
Section 12.06 Severability. If any provision of this Agreement or any Ancillary Agreement or the application thereof to any Person or circumstance is determined by a court of competent jurisdiction to be invalid, void or unenforceable, the remaining provisions hereof or thereof, or the application of such provision to Persons or circumstances or in jurisdictions other than those as to which it has been held invalid or unenforceable, shall remain in full force and effect and shall in no way be affected, impaired or invalidated thereby. Upon such determination, the Parties shall negotiate in good faith in an effort to agree upon such a suitable and equitable provision to effect the original intent of the Parties.
Section 12.07 No Set-Off. Except as expressly set forth in this Agreement or any Ancillary Agreement or as otherwise mutually agreed to in writing by the Parties, neither Party nor any member of such Party’s Group shall have any right of set-off or other similar rights with respect to (a) any amounts received pursuant to this Agreement or any Ancillary Agreement; or (b) any other amounts claimed to be owed to the other Party or any member of its Group arising out of this Agreement or any Ancillary Agreement.
Section 12.08 Expenses. Except as otherwise expressly set forth in this Agreement or any Ancillary Agreement, or as otherwise agreed to in writing by the Parties, all fees, costs and expenses incurred on or prior to the Effective Time in connection with the preparation, execution, delivery and implementation of this Agreement, including the Separation and the Distribution, and any Ancillary Agreement, the Form 10 and the consummation of the transactions contemplated hereby and thereby will be borne by the Party or its applicable Subsidiary incurring such fees, costs or expenses.
Section 12.09 Headings. The article, section and paragraph headings contained in this Agreement and in the Ancillary Agreements are for reference purposes only and shall not affect in any way the meaning or interpretation of this Agreement or any Ancillary Agreement.
Section 12.10 Survival of Covenants. Except as expressly set forth in this Agreement or any Ancillary Agreement, the covenants, representations and warranties contained in this Agreement and each Ancillary Agreement, and Liability for the breach of any obligations contained herein, shall survive the Separation and the Distribution and shall remain in full force and effect.
Section 12.11 Waivers of Default. Waiver by a Party of any default by the other Party of any provision of this Agreement or any Ancillary Agreement shall not be deemed a waiver by the waiving Party of any subsequent or other default, nor shall it prejudice the rights of the other Party. No failure or delay by a Party in exercising any right, power or privilege under this Agreement or any Ancillary Agreement shall operate as a waiver thereof, nor shall a single or partial exercise thereof prejudice any other or further exercise thereof or the exercise of any other right, power or privilege.
Section 12.12 Specific Performance. Subject to the provisions of Article XI, in the event of any actual or threatened default in, or breach of, any of the terms, conditions and provisions of this Agreement or any Ancillary Agreement, the Party or Parties who are, or are to be, thereby aggrieved shall have the right to specific performance and injunctive or other equitable relief in respect of its or their rights under this Agreement or such Ancillary Agreement, in addition to any and all other rights and remedies at law or in equity, and all such rights and remedies shall be cumulative. The Parties agree that the remedies at law for any breach or threatened breach, including monetary damages, are inadequate compensation for any loss and that any defense in any Action for specific performance that a remedy at law would be adequate is waived. Any requirements for the securing or posting of any bond with such remedy are waived by each of the Parties.
Section 12.13 Amendments. No provisions of this Agreement or any Ancillary Agreement shall be deemed waived, amended, supplemented or modified by a Party, unless such waiver, amendment, supplement or modification is in writing and signed by the authorized representative of the Party against whom it is sought to enforce such waiver, amendment, supplement or modification.
Annex B - 38
Section 12.14 Interpretation. In this Agreement and any Ancillary Agreement, (a) words in the singular shall be deemed to include the plural and vice versa and words of one gender shall be deemed to include the other genders as the context requires; (b) the terms “hereof,” “herein,” and “herewith” and words of similar import shall, unless otherwise stated, be construed to refer to this Agreement (or the applicable Ancillary Agreement) as a whole (including all of the Schedules, Exhibits and Appendices hereto and thereto) and not to any particular provision of this Agreement (or such Ancillary Agreement); (c) Article, Section, Schedule, Exhibit and Appendix references are to the Articles, Sections, Schedules, Exhibits and Appendices to this Agreement (or the applicable Ancillary Agreement) unless otherwise specified; (d) unless otherwise stated, all references to any agreement (including this Agreement and each Ancillary Agreement) shall be deemed to include the exhibits, schedules and annexes (including all Schedules, Exhibits and Appendixes) to such agreement; (e) the word “including” and words of similar import when used in this Agreement (or the applicable Ancillary Agreement) shall mean “including, without limitation,” unless otherwise specified; (f) the word “or” shall not be exclusive; (g) unless otherwise specified in a particular case, the word “days” refers to calendar days; (h) references to “business day” shall mean any day other than a Saturday, a Sunday or a day on which banking institutions are generally authorized or required by law to close in the United States or New York, New York; (i) references herein to this Agreement or any other agreement contemplated herein shall be deemed to refer to this Agreement or such other agreement as of the date on which it is executed and as it may be amended, modified or supplemented thereafter, unless otherwise specified; and (j) unless expressly stated to the contrary in this Agreement or in any Ancillary Agreement, all references to “the date hereof,” “the date of this Agreement,” “hereby” and “hereupon” and words of similar import shall all be references to the date set forth in the introductory paragraph of this Agreement.
Section 12.15 Limitations of Liability. Notwithstanding anything in this Agreement to the contrary, neither Telemynd or any member of the Telemynd Group, on the one hand, nor Parent or any member of the Parent Group, on the other hand, shall be liable under this Agreement to the other for any indirect, punitive, exemplary, remote, speculative or similar damages in excess of compensatory damages of the other arising in connection with the transactions contemplated hereby.
Section 12.16 Performance. Parent will cause to be performed, and hereby guarantees the performance of, all actions, agreements and obligations set forth in this Agreement or in any Ancillary Agreement to be performed by any member of the Parent Group. Telemynd will cause to be performed, and hereby guarantees the performance of, all actions, agreements and obligations set forth in this Agreement or in any Ancillary Agreement to be performed by any member of the Telemynd Group. Each Party (including its permitted successors and assigns) further agrees that it will (a) give timely notice of the terms, conditions and continuing obligations contained in this Agreement and any applicable Ancillary Agreement to all of the other members of its Group and (b) cause all of the other members of its Group not to take any action or fail to take any such action inconsistent with such Party’s obligations under this Agreement, any Ancillary Agreement or the transactions contemplated hereby or thereby.
Section 12.17 Mutual Drafting. This Agreement and the Ancillary Agreements shall be deemed to be the joint work product of the Parties and any rule of construction that a document shall be interpreted or construed against a drafter of such document shall not be applicable.
Section 12.18 Prior Agreement. The Prior Agreement is hereby amended and restated and will be of no further force of effect.
(Signature Page Follows)
Annex B - 39
IN WITNESS WHEREOF, the Parties have caused this Agreement to be executed by their duly authorized representatives as of the date first written above.
| PARENT: | ||
| MYND ANALYTICS, INC. | ||
| By: | /s/ Patrick Herguth | |
| Name: Patrick Herguth | ||
| Title: Chief Executive Officer | ||
| TELEMYND: | ||
| MYND ANALYTICS, INC. | ||
| By: | /s/ Patrick Herguth | |
| Name: Patrick Herguth | ||
| Title: Chief Executive Officer | ||
January 3, 2019
STRICTLY CONFIDENTIAL
Board
of Directors
MYnd Analytics, Inc.
Attn: Patrick Herguth
Ladies and Gentlemen:
We understand that MYnd Analytics, Inc., a Delaware corporation (“MYnd”) has signed a letter of intent (“LOI”), to merge with Emmaus Life Sciences, Inc. a Delaware corporation (“Emmaus”) in which Emmaus would merge into a new, wholly owned merger subsidiary of MYnd (“Merger Sub”) and Emmaus equity holders would be issued shares of common stock of MYnd as the parent company. Emmaus will merge (the “Merger’) with Merger Sub in exchange for which Emmaus stockholders will be issued common stock of MYnd. In connection with the merger, MYnd will change its name to include the Emmaus name (after such name change, the “Public Company”), Emmaus will survive the Merger as a wholly owned subsidiary of the Public Company. MYnd and Emmaus have agreed upon an exchange ratio that will result in, upon completion of the Merger, Emmaus equity holders owning 94.1% of the full-diluted equity in the Public Company and MYnd equity holders owning 5.9% of the fully diluted equity in the Public Company (the “Exchange Ratio”). Prior to the Merger, MYnd may spinoff to its stockholders or sell or dispose of (together the “Spin-off”), in a single transaction or a series of transactions, the assets of MYnd.
You have requested our opinion (the “Opinion”), as investment bankers, as to the fairness of the Exchange Ratio and Spin-off of MYnd in connection with the Merger from a financial point of view of MYnd’s stockholders. Our Opinion therefore addresses only the fairness, from a financial point of view, of the Exchange Ratio and Spin-off of MYnd in connection with the Merger, and we do not express any views on any other terms of the Transaction, nor do we express an opinion about the fairness of the amount or nature of the compensation to any of MYnd’s officers, directors, or employees, or class of such persons, relative to the compensation to the public shareholders of MYnd. Specifically, we have not been requested to opine as to, and our Opinion does not in any manner address, the relative merits of the Merger as compared to any alternative business strategy that might exist.
In arriving at our Opinion, we have:
| ● | reviewed historical and projected financial information prepared by Emmaus; |
| ● | reviewed publicly available non-financial information concerning Emmaus; |
| ● | conducted discussions with MYnd and Emmaus senior management concerning Emmaus’s historical financial results, business prospects and projected financial information; |
| ThinkEquity | 17 State Street, 22nd Floor |
| A division of Fordham Financial Management, Inc. | New York, NY 10004 |
| Member FINRA – SIPC | Tel: 646-968-9355 |
| ● | reviewed the LOI; |
| ● | reviewed Emmaus’ public filings |
| ● | conducted such other analyses and examinations and considered such other information and financial, economic and market criteria as we deemed appropriate in arriving at our Opinion, including discounted cash flow analyses; |
| ● | analyzed certain financial, stock market and other publicly available information relating to the businesses of other companies whose operations we considered relevant in evaluating those of Emmaus; |
In arriving at our Opinion, we have assumed and relied upon the accuracy and completeness of the financial and other information used by us without assuming any responsibility for the independent verification of such information, and we have further relied upon the assurances of MYnd management that they are not aware of any facts or circumstances that would make such information inaccurate or misleading. We have also assumed that obtaining all regulatory approvals and third party consents, including the approval by MYnd shareholders if applicable, required for the consummation of the Merger will not have a materially adverse impact on MYnd or on the anticipated benefits of the Merger. In addition, we have assumed that the Merger will be consummated in accordance with the terms set forth in the LOI without any waiver, amendment or delay of any material terms or conditions thereof. In arriving at our Opinion, we did not conduct an independent evaluation or appraisal of the assets or liabilities (contingent or otherwise) of Emmaus. Our Opinion set forth herein is therefore necessarily based upon financial, market, economic and other conditions and circumstances as they exist and have been disclosed, and can be evaluated, as of the date hereof without independent verification.
MYnd has agreed to indemnify us for certain liabilities that may arise out of the rendering of this Opinion. We have been engaged by MYnd to render this Opinion and will receive a fee in connection therewith upon delivery of this Opinion, which is not contingent upon the consummation of the Merger. No part of our fee is conditioned upon the conclusion expressed in this Opinion. Our affiliates, employees, officers and partners may at any time own securities (long or short) of the MYnd. We are currently engaged to provide advisory services to MYnd, unrelated to the Merger, for which services we have received compensation. We disclaim any undertaking or obligation to advise any person of any change in any fact or matter affecting our Opinion that may come or be brought to our attention after the date of this Merger. No limitations were imposed upon us by MYnd with respect to the investigations made or procedures followed by us in rendering our Opinion.
Our Opinion expressed herein is for the use and benefit of the Board of Directors of and is rendered to the Board of Directors. This Opinion is not intended and does not constitute a recommendation as to any action the Board of Directors of MYnd should take in connection with the Merger or to any stockholder of MYnd as to how a stockholder should vote with respect to the Merger if, in fact, a shareholder vote is deemed necessary by MYnd. Further, we express no opinion herein as to the structure, terms or effect of any other aspect of the Merger, including, without limitation, the tax, accounting or regulatory consequences thereof. This Opinion is not to be reprinted, reproduced or disseminated without our prior written consent, and is not to be quoted or referred to, in whole or in part, in connection with the Merger or any other matter; provided that we understand and agree that if this Opinion is required pursuant to any applicable statue or regulation to be included in any materials to be filed with the Securities and Exchange Commission or mailed to the shareholders of MYnd in connection with the Merger, the Opinion may be reproduced in such materials only in its entirety, and any description of or reference to us or any summary of this Opinion in such materials must be in a form acceptable to and consented to in advance in writing by us, such consent not to be unreasonably withheld.
Annex C - 2
Based upon and subject to the foregoing, including the various assumptions, limitations, and qualifications set forth herein, and after approval from our Fairness Committee, we are of the opinion that, as of the date hereof, the Exchange Ratio and Spin-off of MYnd in connection with the Merger is fair from a financial point of view.
| Respectfully submitted, | |
| ThinkEquity, a division of Fordham Financial Management, Inc. |
Annex C - 3
CERTIFICATE
OF AMENDMENT TO CERTIFICATE OF INCORPORATION
OF MYND TO EFFECT NAME CHANGE
CERTIFICATE OF AMENDMENT OF
CERTIFICATE OF INCORPORATION
OF MYND ANALYTICS, INC.
MYND ANALYTICS, INC., a corporation organized and existing under and by virtue of the General Corporation Law of the State of Delaware (the “DGCL”), does hereby certify:
FIRST: The name of the corporation is MYND ANALYTICS, INC. (the “Corporation”).
SECOND: The date of filing of its original Certificate of Incorporation with the Secretary of State of the State of Delaware was March 20, 1987.
THIRD: The Board of Directors (the “Board”) of the Corporation, acting in accordance with the provisions of Sections 141 and 242 of the DGCL, adopted resolutions amending its Certificate of Incorporation as follows:
1. ARTICLE ONE of the Certificate of Incorporation, as presently in effect, of the Corporation is hereby amended and restated in its entirety as follows:
“The name of the corporation is Emmaus Life Sciences, Inc. (the “Corporation”).”
FOURTH: Thereafter, pursuant to a resolution by the Board, this Certificate of Amendment was submitted to the stockholders of the Corporation for their approval in accordance with the provisions of Section 211 and 242 of the DGCL. Accordingly, said proposed amendment has been adopted in accordance with Section 242 of the DGCL.
IN WITNESS WHEREOF, MYND ANALYTICS, INC. has caused this Certificate of Amendment to be signed by its duly authorized officer this day of , 2019.
| MYND ANALYTICS, INC. | ||
| By: | ||
| Name: | ||
| Title: | ||
CERTIFICATE
OF AMENDMENT TO
CERTIFICATE OF INCORPORATION OF MYND TO EFFECT REVERSE STOCK SPLIT
CERTIFICATE OF AMENDMENT OF
CERTIFICATE OF INCORPORATION
OF MYND ANALYTICS, INC.
MYND ANALYTICS, INC., a corporation organized and existing under and by virtue of the provisions of the General Corporation Law of the State of Delaware (the “Corporation”), does hereby certify as follows:
FIRST: PART A of ARTICLE FOUR of the Certificate of Incorporation shall be amended to add the following paragraph at the end of PART A of ARTICLE FOUR of the Certificate of Incorporation:
Upon the effectiveness of the Certificate of Amendment of the Certificate of Incorporation adding this paragraph (the “Effective Time”), each two to ten shares of the Corporation’s Common Stock, par value $0.001 per share, issued and outstanding immediately prior to the Effective Time shall automatically be combined into one (1) validly issued, fully paid and non-assessable share of Common Stock, par value $0.001 per share, without any further action by the Corporation or the holder thereof, the exact ratio within the two to ten range to be determined by the Board of Directors of the Corporation prior to the Effective Time and publicly announced by the Corporation, subject to the treatment of fractional share interests as described below (the “Reverse Stock Split”). No certificates representing fractional shares of Common Stock shall be issued in connection with the Reverse Stock Split. Stockholders who otherwise would be entitled to receive fractional shares of Common Stock shall be entitled to receive cash (without interest or deduction) from the Corporation’s exchange agent in lieu of such fractional share interests, upon receipt by the Corporation’s exchange agent of any required transmittal letter properly completed and duly executed by the stockholder, and, where shares are held in certificated form, the surrender of the stockholder’s Old Certificates (as defined below), in an amount equal to the proceeds attributable to the sale of such fractional shares following the aggregation and sale by the Corporation’s exchange agent of all fractional shares otherwise issuable. Each certificate that immediately prior to the Effective Time represented shares of Common Stock (“Old Certificates”) shall thereafter represent that number of shares of Common Stock into which the shares of Common Stock represented by the Old Certificate shall have been combined, subject to the elimination of fractional share interests as described above.
SECOND: On [●] 2019, the Board of Directors of the Corporation determined that each [●] shares of the Corporation’s Common Stock, par value $0.001 per share, issued and outstanding immediately prior to the Effective Time shall automatically be combined into one (1) validly issued, fully paid and non-assessable share of Common Stock, par value $0.001 per share. The Corporation publicly announced this ratio on [●], 2019.
THIRD: This Certificate of Amendment shall become effective on [●], 2019 at [●].
FOURTH: This Certificate of Amendment was duly adopted in accordance with Section 242 of the DGCL.
IN WITNESS WHEREOF, MYND ANALYTICS, INC. has caused this Certificate of Amendment to be signed by its duly authorized officer this [●] day of [●], 2019.
| MYND ANALYTICS, INC. | ||
| By: | ||
| Name: | ||
| Title: | ||
ANNEX F
SECTION 262 OF THE DELAWARE GENERAL CORPORATION LAW
(a) Any stockholder of a corporation of this State who holds shares of stock on the date of the making of a demand pursuant to subsection (d) of this section with respect to such shares, who continuously holds such shares through the effective date of the merger or consolidation, who has otherwise complied with subsection (d) of this section and who has neither voted in favor of the merger or consolidation nor consented thereto in writing pursuant to § 228 of this title shall be entitled to an appraisal by the Court of Chancery of the fair value of the stockholder’s shares of stock under the circumstances described in subsections (b) and (c) of this section. As used in this section, the word “stockholder” means a holder of record of stock in a corporation; the words “stock” and “share” mean and include what is ordinarily meant by those words; and the words “depository receipt” mean a receipt or other instrument issued by a depository representing an interest in 1 or more shares, or fractions thereof, solely of stock of a corporation, which stock is deposited with the depository.
(b) Appraisal rights shall be available for the shares of any class or series of stock of a constituent corporation in a merger or consolidation to be effected pursuant to § 251 (other than a merger effected pursuant to § 251(g) of this title), § 252, § 254, § 255, § 256, § 257, § 258, § 263 or § 264 of this title:
(1) Provided, however, that, except as expressly provided in § 363(b) of this title, no appraisal rights under this section shall be available for the shares of any class or series of stock, which stock, or depository receipts in respect thereof, at the record date fixed to determine the stockholders entitled to receive notice of the meeting of stockholders to act upon the agreement of merger or consolidation (or, in the case of a merger pursuant to § 251(h), as of immediately prior to the execution of the agreement of merger), were either: (i) listed on a national securities exchange or (ii) held of record by more than 2,000 holders; and further provided that no appraisal rights shall be available for any shares of stock of the constituent corporation surviving a merger if the merger did not require for its approval the vote of the stockholders of the surviving corporation as provided in § 251(f) of this title.
(2) Notwithstanding paragraph (b)(1) of this section, appraisal rights under this section shall be available for the shares of any class or series of stock of a constituent corporation if the holders thereof are required by the terms of an agreement of merger or consolidation pursuant to §§ 251, 252, 254, 255, 256, 257, 258, 263 and 264 of this title to accept for such stock anything except:
a. Shares of stock of the corporation surviving or resulting from such merger or consolidation, or depository receipts in respect thereof;
b. Shares of stock of any other corporation, or depository receipts in respect thereof, which shares of stock (or depository receipts in respect thereof) or depository receipts at the effective date of the merger or consolidation will be either listed on a national securities exchange or held of record by more than 2,000 holders;
c. Cash in lieu of fractional shares or fractional depository receipts described in the foregoing paragraphs (b)(2)a. and b. of this section; or
d. Any combination of the shares of stock, depository receipts and cash in lieu of fractional shares or fractional depository receipts described in the foregoing paragraphs (b)(2)a., b. and c. of this section.
(3) In the event all of the stock of a subsidiary Delaware corporation party to a merger effected under § 253 or § 267 of this title is not owned by the parent immediately prior to the merger, appraisal rights shall be available for the shares of the subsidiary Delaware corporation.
(4) In the event of an amendment to a corporation’s certificate of incorporation contemplated by § 363(a) of this title, appraisal rights shall be available as contemplated by § 363(b) of this title, and the procedures of this section, including those set forth in subsections (d) and (e) of this section, shall apply as nearly as practicable, with the word “amendment” substituted for the words “merger or consolidation,” and the word “corporation” substituted for the words “constituent corporation” and/or “surviving or resulting corporation.”
(c) Any corporation may provide in its certificate of incorporation that appraisal rights under this section shall be available for the shares of any class or series of its stock as a result of an amendment to its certificate of incorporation, any merger or consolidation in which the corporation is a constituent corporation or the sale of all or substantially all of the assets of the corporation. If the certificate of incorporation contains such a provision, the provisions of this section, including those set forth in subsections (d), (e), and (g) of this section, shall apply as nearly as is practicable.
(d) Appraisal rights shall be perfected as follows:
(1) If a proposed merger or consolidation for which appraisal rights are provided under this section is to be submitted for approval at a meeting of stockholders, the corporation, not less than 20 days prior to the meeting, shall notify each of its stockholders who was such on the record date for notice of such meeting (or such members who received notice in accordance with § 255(c) of this title) with respect to shares for which appraisal rights are available pursuant to subsection (b) or (c) of this section that appraisal rights are available for any or all of the shares of the constituent corporations, and shall include in such notice a copy of this section and, if 1 of the constituent corporations is a nonstock corporation, a copy of § 114 of this title. Each stockholder electing to demand the appraisal of such stockholder’s shares shall deliver to the corporation, before the taking of the vote on the merger or consolidation, a written demand for appraisal of such stockholder’s shares. Such demand will be sufficient if it reasonably informs the corporation of the identity of the stockholder and that the stockholder intends thereby to demand the appraisal of such stockholder’s shares. A proxy or vote against the merger or consolidation shall not constitute such a demand. A stockholder electing to take such action must do so by a separate written demand as herein provided. Within 10 days after the effective date of such merger or consolidation, the surviving or resulting corporation shall notify each stockholder of each constituent corporation who has complied with this subsection and has not voted in favor of or consented to the merger or consolidation of the date that the merger or consolidation has become effective; or
(2) If the merger or consolidation was approved pursuant to § 228, § 251(h), § 253, or § 267 of this title, then either a constituent corporation before the effective date of the merger or consolidation or the surviving or resulting corporation within 10 days thereafter shall notify each of the holders of any class or series of stock of such constituent corporation who are entitled to appraisal rights of the approval of the merger or consolidation and that appraisal rights are available for any or all shares of such class or series of stock of such constituent corporation, and shall include in such notice a copy of this section and, if 1 of the constituent corporations is a nonstock corporation, a copy of § 114 of this title. Such notice may, and, if given on or after the effective date of the merger or consolidation, shall, also notify such stockholders of the effective date of the merger or consolidation. Any stockholder entitled to appraisal rights may, within 20 days after the date of mailing of such notice or, in the case of a merger approved pursuant to § 251(h) of this title, within the later of the consummation of the offer contemplated by § 251(h) of this title and 20 days after the date of mailing of such notice, demand in writing from the surviving or resulting corporation the appraisal of such holder’s shares. Such demand will be sufficient if it reasonably informs the corporation of the identity of the stockholder and that the stockholder intends thereby to demand the appraisal of such holder’s shares. If such notice did not notify stockholders of the effective date of the merger or consolidation, either (i) each such constituent corporation shall send a second notice before the effective date of the merger or consolidation notifying each of the holders of any class or series of stock of such constituent corporation that are entitled to appraisal rights of the effective date of the merger or consolidation or (ii) the surviving or resulting corporation shall send such a second notice to all such holders on or within 10 days after such effective date; provided, however, that if such second notice is sent more than 20 days following the sending of the first notice or, in the case of a merger approved pursuant to § 251(h) of this title, later than the later of the consummation of the offer contemplated by § 251(h) of this title and 20 days following the sending of the first notice, such second notice need only be sent to each stockholder who is entitled to appraisal rights and who has demanded appraisal of such holder’s shares in accordance with this subsection. An affidavit of the secretary or assistant secretary or of the transfer agent of the corporation that is required to give either notice that such notice has been given shall, in the absence of fraud, be prima facie evidence of the facts stated therein. For purposes of determining the stockholders entitled to receive either notice, each constituent corporation may fix, in advance, a record date that shall be not more than 10 days prior to the date the notice is given, provided, that if the notice is given on or after the effective date of the merger or consolidation, the record date shall be such effective date. If no record date is fixed and the notice is given prior to the effective date, the record date shall be the close of business on the day next preceding the day on which the notice is given.
Annex F - 2
(e) Within 120 days after the effective date of the merger or consolidation, the surviving or resulting corporation or any stockholder who has complied with subsections (a) and (d) of this section hereof and who is otherwise entitled to appraisal rights, may commence an appraisal proceeding by filing a petition in the Court of Chancery demanding a determination of the value of the stock of all such stockholders. Notwithstanding the foregoing, at any time within 60 days after the effective date of the merger or consolidation, any stockholder who has not commenced an appraisal proceeding or joined that proceeding as a named party shall have the right to withdraw such stockholder’s demand for appraisal and to accept the terms offered upon the merger or consolidation. Within 120 days after the effective date of the merger or consolidation, any stockholder who has complied with the requirements of subsections (a) and (d) of this section hereof, upon written request, shall be entitled to receive from the corporation surviving the merger or resulting from the consolidation a statement setting forth the aggregate number of shares not voted in favor of the merger or consolidation (or, in the case of a merger approved pursuant to § 251(h) of this title, the aggregate number of shares (other than any excluded stock (as defined in § 251(h)(6)d. of this title)) that were the subject of, and were not tendered into, and accepted for purchase or exchange in, the offer referred to in § 251(h)(2)), and, in either case, with respect to which demands for appraisal have been received and the aggregate number of holders of such shares. Such written statement shall be mailed to the stockholder within 10 days after such stockholder’s written request for such a statement is received by the surviving or resulting corporation or within 10 days after expiration of the period for delivery of demands for appraisal under subsection (d) of this section hereof, whichever is later. Notwithstanding subsection (a) of this section, a person who is the beneficial owner of shares of such stock held either in a voting trust or by a nominee on behalf of such person may, in such person’s own name, file a petition or request from the corporation the statement described in this subsection.
(f) Upon the filing of any such petition by a stockholder, service of a copy thereof shall be made upon the surviving or resulting corporation, which shall within 20 days after such service file in the office of the Register in Chancery in which the petition was filed a duly verified list containing the names and addresses of all stockholders who have demanded payment for their shares and with whom agreements as to the value of their shares have not been reached by the surviving or resulting corporation. If the petition shall be filed by the surviving or resulting corporation, the petition shall be accompanied by such a duly verified list. The Register in Chancery, if so ordered by the Court, shall give notice of the time and place fixed for the hearing of such petition by registered or certified mail to the surviving or resulting corporation and to the stockholders shown on the list at the addresses therein stated. Such notice shall also be given by 1 or more publications at least 1 week before the day of the hearing, in a newspaper of general circulation published in the City of Wilmington, Delaware or such publication as the Court deems advisable. The forms of the notices by mail and by publication shall be approved by the Court, and the costs thereof shall be borne by the surviving or resulting corporation.
(g) At the hearing on such petition, the Court shall determine the stockholders who have complied with this section and who have become entitled to appraisal rights. The Court may require the stockholders who have demanded an appraisal for their shares and who hold stock represented by certificates to submit their certificates of stock to the Register in Chancery for notation thereon of the pendency of the appraisal proceedings; and if any stockholder fails to comply with such direction, the Court may dismiss the proceedings as to such stockholder. If immediately before the merger or consolidation the shares of the class or series of stock of the constituent corporation as to which appraisal rights are available were listed on a national securities exchange, the Court shall dismiss the proceedings as to all holders of such shares who are otherwise entitled to appraisal rights unless (1) the total number of shares entitled to appraisal exceeds 1% of the outstanding shares of the class or series eligible for appraisal, (2) the value of the consideration provided in the merger or consolidation for such total number of shares exceeds $1 million, or (3) the merger was approved pursuant to § 253 or § 267 of this title.
Annex F - 3
(h) After the Court determines the stockholders entitled to an appraisal, the appraisal proceeding shall be conducted in accordance with the rules of the Court of Chancery, including any rules specifically governing appraisal proceedings. Through such proceeding the Court shall determine the fair value of the shares exclusive of any element of value arising from the accomplishment or expectation of the merger or consolidation, together with interest, if any, to be paid upon the amount determined to be the fair value. In determining such fair value, the Court shall take into account all relevant factors. Unless the Court in its discretion determines otherwise for good cause shown, and except as provided in this subsection, interest from the effective date of the merger through the date of payment of the judgment shall be compounded quarterly and shall accrue at 5% over the Federal Reserve discount rate (including any surcharge) as established from time to time during the period between the effective date of the merger and the date of payment of the judgment. At any time before the entry of judgment in the proceedings, the surviving corporation may pay to each stockholder entitled to appraisal an amount in cash, in which case interest shall accrue thereafter as provided herein only upon the sum of (1) the difference, if any, between the amount so paid and the fair value of the shares as determined by the Court, and (2) interest theretofore accrued, unless paid at that time. Upon application by the surviving or resulting corporation or by any stockholder entitled to participate in the appraisal proceeding, the Court may, in its discretion, proceed to trial upon the appraisal prior to the final determination of the stockholders entitled to an appraisal. Any stockholder whose name appears on the list filed by the surviving or resulting corporation pursuant to subsection (f) of this section and who has submitted such stockholder’s certificates of stock to the Register in Chancery, if such is required, may participate fully in all proceedings until it is finally determined that such stockholder is not entitled to appraisal rights under this section.
(i) The Court shall direct the payment of the fair value of the shares, together with interest, if any, by the surviving or resulting corporation to the stockholders entitled thereto. Payment shall be so made to each such stockholder, in the case of holders of uncertificated stock forthwith, and the case of holders of shares represented by certificates upon the surrender to the corporation of the certificates representing such stock. The Court’s decree may be enforced as other decrees in the Court of Chancery may be enforced, whether such surviving or resulting corporation be a corporation of this State or of any state.
(j) The costs of the proceeding may be determined by the Court and taxed upon the parties as the Court deems equitable in the circumstances. Upon application of a stockholder, the Court may order all or a portion of the expenses incurred by any stockholder in connection with the appraisal proceeding, including, without limitation, reasonable attorney’s fees and the fees and expenses of experts, to be charged pro rata against the value of all the shares entitled to an appraisal.
(k) From and after the effective date of the merger or consolidation, no stockholder who has demanded appraisal rights as provided in subsection (d) of this section shall be entitled to vote such stock for any purpose or to receive payment of dividends or other distributions on the stock (except dividends or other distributions payable to stockholders of record at a date which is prior to the effective date of the merger or consolidation); provided, however, that if no petition for an appraisal shall be filed within the time provided in subsection (e) of this section, or if such stockholder shall deliver to the surviving or resulting corporation a written withdrawal of such stockholder’s demand for an appraisal and an acceptance of the merger or consolidation, either within 60 days after the effective date of the merger or consolidation as provided in subsection (e) of this section or thereafter with the written approval of the corporation, then the right of such stockholder to an appraisal shall cease. Notwithstanding the foregoing, no appraisal proceeding in the Court of Chancery shall be dismissed as to any stockholder without the approval of the Court, and such approval may be conditioned upon such terms as the Court deems just; provided, however that this provision shall not affect the right of any stockholder who has not commenced an appraisal proceeding or joined that proceeding as a named party to withdraw such stockholder’s demand for appraisal and to accept the terms offered upon the merger or consolidation within 60 days after the effective date of the merger or consolidation, as set forth in subsection (e) of this section.
(l) The shares of the surviving or resulting corporation to which the shares of such objecting stockholders would have been converted had they assented to the merger or consolidation shall have the status of authorized and unissued shares of the surviving or resulting corporation.
Annex F - 4
PART II
INFORMATION NOT REQUIRED IN PROXY STATEMENT/PROSPECTUS
Item 20. Indemnification of Directors and Officers
The Registrant’s amended and restated certificate of incorporation contains provisions that eliminate, to the maximum extent permitted by the General Corporation Law of the State of Delaware, the personal liability of the Registrant’s directors and executive officers for monetary damages for breach of their fiduciary duties as directors or officers. The Registrant’s amended and restated certificate of incorporation and amended and restated bylaws provide that the Registrant must indemnify its directors and executive officers and may indemnify its employees and other agents to the fullest extent permitted by the General Corporation Law of the State of Delaware.
Sections 145 and 102(b)(7) of the General Corporation Law of the State of Delaware provide that a corporation may indemnify any person made a party to an action by reason of the fact that he or she was a director, executive officer, employee or agent of the corporation or is or was serving at the request of a corporation against expenses (including attorneys’ fees), judgments, fines and amounts paid in settlement actually and reasonably incurred by him or her in connection with such action if he or she acted in good faith and in a manner he or she reasonably believed to be in, or not opposed to, the best interests of the corporation and, with respect to any criminal action or proceeding, had no reasonable cause to believe his or her conduct was unlawful, except that, in the case of an action by or in right of the corporation, no indemnification may generally be made in respect of any claim as to which such person is adjudged to be liable to the corporation.
The Registrant has entered into indemnification agreements with its directors and executive officers, in addition to the indemnification provided for in its amended and restated certificate of incorporation and amended and restated bylaws, and intends to enter into indemnification agreements with any new directors and executive officers in the future.
The Registrant has purchased and intends to maintain insurance on behalf of any person who is or was a director or officer of the Registrant against any loss arising from any claim asserted against him or her and incurred by him or her in any such capacity, subject to certain exclusions.
Item 21. Exhibits and Financial Statement Schedules
(a) Exhibit Index
A list of exhibits filed with this registration statement on Form S-4 is set forth on the Exhibit Index and is incorporated herein by reference.
(b) Financial Statements
The financial statements filed with this registration statement on Form S-4 are set forth on the Financial Statement Index and is incorporated herein by reference.
Item 22. Undertakings
(a) The undersigned registrant hereby undertakes as follows:
(1) That prior to any public reoffering of the securities registered hereunder through use of a prospectus which is a part of this registration statement, by any person or party who is deemed to be an underwriter within the meaning of Rule 145(c), the issuer undertakes that such reoffering prospectus will contain the information called for by the applicable registration form with respect to reofferings by persons who may be deemed underwriters, in addition to the information called for by the other items of the applicable form.
(2) That every prospectus (i) that is filed pursuant to paragraph (a)(1) immediately preceding, or (ii) that purports to meet the requirements of Section 10(a)(3) of the Securities Act and is used in connection with an offering of securities subject to Rule 415, will be filed as a part of an amendment to the registration statement and will not be used until such amendment is effective, and that, for purposes of determining any liability under the Securities Act, each such post-effective amendment shall be deemed to be a new registration statement relating to the securities offered therein, and the offering of such securities at that time shall be deemed to be the initial bona fide offering thereof.
II-1
(3) To respond to requests for information that is incorporated by reference into this joint proxy statement/prospectus/prospectus pursuant to Item 4, 10(b), 11, or 13 of Form S-4, within one business day of receipt of such request, and to send the incorporated documents by first class mail or other equally prompt means. This includes information contained in documents filed subsequent to the effective date of the registration statement through the date of responding to the request.
(4) To supply by means of a post-effective amendment all information concerning a transaction, and the company being acquired involved therein, that was not the subject of and included in the registration statement when it became effective.
(b) Insofar as indemnification for liabilities arising under the Securities Act may be permitted to directors, officers and controlling persons of the registrant pursuant to the foregoing provisions, or otherwise, the registrant has been advised that in the opinion of the Securities and Exchange Commission such indemnification is against public policy as expressed in the Securities Act and is, therefore, unenforceable. In the event that a claim for indemnification against such liabilities (other than the payment by the registrant of expenses incurred or paid by a director, officer or controlling person of the registrant in the successful defense of any action, suit or proceeding) is asserted by such director, officer or controlling person in connection with the securities being registered, the registrant will, unless in the opinion of its counsel the matter has been settled by controlling precedent, submit to a court of appropriate jurisdiction the question whether such indemnification by it is against public policy as expressed in the Securities Act and will be governed by the final adjudication of such issue.
II-2
EXHIBIT INDEX
II-3
II-4
| * | Previously Filed |
| ** | Filed herewith |
| † | Management compensatory plan, contract or arrangement |
| + | All schedules (or similar attachments) have been omitted from this filing pursuant to Item 601(b)(2) of Regulation S-K. MYnd Analytics, Inc. will furnish copies of any schedules to the Securities and Exchange Commission upon request. |
| # | To be filed by amendment. |
II-5
Pursuant to the requirements of the Securities Act, the registrant has duly caused this registration statement to be signed on its behalf by the undersigned, thereunto duly authorized in the City of Mission Viejo, State of California, on the 10th day of June, 2019.
| MYND ANALYTICS, INC. | ||
| By: | /s/ Patrick Herguth | |
| Name: | Patrick Herguth | |
| Title: | Chief Executive Officer | |
Pursuant to the requirements of the Securities Act, this registration statement has been signed by the following persons on behalf of the Registrant in the capacities and on the dates indicated.
| Signature | Signature | Date | ||
| /s/ Patrick Herguth | Chief Executive Officer and Director | June 10, 2019 | ||
| Patrick Herguth | (Principal Executive Officer) | |||
| * | Chief Financial Officer | June 10, 2019 | ||
| Donald E. D’Ambrosio | (Principal Financial and Accounting Officer) | |||
| * | ||||
| Robin L. Smith, M.D. | Chairman of the board of directors | June 10, 2019 | ||
| * | ||||
| Geoffrey E. Harris | Director | June 10, 2019 | ||
| * | ||||
| John Pappajohn | Director | June 10, 2019 | ||
| * | ||||
| Peter Unanue | Director | June 10, 2019 | ||
| * | ||||
| Michal Votruba | Director | June 10, 2019 |
| *By: | /s/ Patrick Herguth | |
| Patrick Herguth | ||
| Attorney-in-Fact |
II-6